Abstract
We found an effective catalytic consortium capable of converting glucose to 5-hydroxymethylfurfural (HMF) in high yields (50%). The reaction consists of a consortium of a Lewis acid (NbCl5) and a Brønsted acid (p-sulfonic acid calix[4]arene (CX4SO3H)), in a microwave-assisted reactor and in a biphasic system. The best result for the conversion of glucose to HMF (yield of 50%) was obtained with CX4SO3H/NbCl5 (5 wt%/7.5 wt%), using water/NaCl and MIBK (1:3), at 150 °C, for 17.5 min. The consortium catalyst recycling was tested, allowing its reuse for up to seven times, while maintaining the HMF yield constant. Additionally, it proposed a catalytic cycle by converting glucose to HMF, highlighting the following two key points: the isomerization of glucose into fructose, in the presence of Lewis acid (NbCl5), and the conversion of fructose into HMF, in the presence of CX4SO3H/NbCl5. A mechanism for the conversion of glucose to HMF was proposed and validated.
1. Introduction
Biomass is a renewable source of carbohydrates from which important chemicals can be obtained, such as 5-hydroxymethylfurfural (HMF) [1]. HMF is a versatile substance with a high market value, used in several industries as a fine chemical, medicine, energy, degradable plastic, and others [2]. Its price ranges from 500 to 1500 USD/kg and it has an expected growth of roughly 1.4% over the next years, possibly reaching USD 61 million by 2024 [3].
Glucose is present in large amounts in vegetable biomass, which can also be obtained from agricultural and/or forest residues, and is a promising substrate for HMF production [1,4]. The conversion of glucose to HMF occurs in a two-step process that involves the glucose to fructose isomerization and the subsequent dehydration of fructose to HMF. The direct conversion of glucose to HMF with high yields depends on combining the Lewis acid catalyst, for glucose isomerization in fructose, and the Brønsted acid catalyst, for fructose dehydration to HMF [1,5,6,7]. The development of a consortium catalyst with both properties (Lewis–Brønsted) is one of the major challenges in the conversion of biomass to HMF.
Several efforts have been made to develop a catalytic system with those features that is simple, efficient, not aggressive to equipment and environment, reproducible on a large scale, and that allows for its recovery and reuse [8,9,10,11]. The niobium catalyst and p-sulfonic acid calix[4]arene (CX4SO3H) organocatalyst are promising catalysts with the potential to convert carbohydrates, or biomass, into HMF.
Calix[n]arenes are used in several chemical transformations and have many advantages, such as high selectivity, easy manipulation, non-corrosiveness, low toxicity, and good thermal and chemical stability [4,12,13,14,15,16,17,18,19,20].
Recently, the great potential of calix[n]arenes has been adopted, and in some cases, for thin biorefinery processes, for the synthesis of Julolidines, HMF, levulinate esters, and biomass pretreatment, followed by fast pyrolysis to obtain levoglucosan [4,12,21].
Niobium catalysts are versatile, easy to handle, inexpensive, chemically stable, and commercially available [22,23]. To obtain HMF, the niobium catalyst has been used either on its own or in association with other catalytic systems. The use of niobium phosphate (NbP) as the only catalyst has shown a 15% yield of HMF from glucose at 145 °C and a reaction time of 180 min [24]. Carniti et al. used NbP for the direct conversion of cellobiose to HMF and reached yields between 5% and 10% in the temperature interval 110–130 °C after 3000 min of reaction [25]. The use of niobium acid (NbO) has also been reported. In the work of Catrinck et al., for example, 26% of the HMF yield was obtained from glucose at 152 °C and 120 min [26].
Moreover, when used in association with other systems, niobium has been reported as a promoter or active phase, support, solid acid catalyst, or redox material [5,6,27,28,29,30,31,32]. Some studies show a higher concentration of acid sites in niobium species, which is a key factor for obtaining HMF, along with high reaction temperatures and long reaction times [6,7,33,34].
In the work of Kreissl et al., a yield of 36% was reported when using mesoporous Nb2O5 as catalyst, and the reaction was performed in an autoclave at 500 rpm stirring speed, at 180 °C, for 180 min [35], whereas Liu et al. obtained a 26.8% yield in the conversion of glucose into HMF using Nb2O5, at 180 °C, for 180 min [36]. Using niobic acid, Huang et al. (2020) immobilized on regenerated cellulose, reaching 27.8% of the HMF and yield using glucose as substrate in a glass reactor at 150 °C for 250 min [37]. Meanwhile, Torres-Olea et al. evaluated the glucose dehydration to HMF, and found a yield of 44% using Nb3Zr7 as an acid catalyst after 90 min at 175 °C [6].
Herein, we report an efficient method for the conversion of glucose into HMF using the consortium catalyst, CX4SO3H/NbCl5, in a biphasic system (water/NaCl and methyl isobutyl ketone (MIBK)) in a MW reactor. To achieve the best results, different conditions such as temperature, reaction time, catalytic load, and different Lewis acids were evaluated.
2. Results and Discussion
2.1. Evaluation of Different Niobium Catalysts in HMF Synthesis
Different types of niobium catalysts (NbCl5, Nb2O5, NbOPO4, and HNb3O8) were evaluated under the initial reaction conditions: 0.25 mmol glucose (45 mg), CX4SO3H 5 wt%, niobium-based catalyst 7.5 wt%, MW, 150 °C, and 10 min of time reaction using water/NaCl and MIBK as the biphasic system.
In our results, when using CX4SO3H/Nb2O5 or HNb3O8, a yield of 19% of HMF was obtained for the two consortium catalysts (Figure 1). When using CX4SO3H/NbOPO4 or NbCl5 consortium catalysts for the conversion of glucose to HMF, yields of 23% and 42% were obtained, respectively (Figure 1).
Figure 1.
Comparison of different Lewis acids (niobium) fixed holding of CX4SO3H Brønsted acid catalysts.
Once it was determined that the CX4SO3H/NbCl5 consortium catalyst was the best system for the conversion of glucose into HMF, we further investigated the proportion between Brønsted and Lewis acids in the catalytic system.
2.2. Evaluation of CX4SO3H/NbCl5 Consortium Catalyst Ratio
To investigate the need for a consortium catalyst (CX4SO3H/NbCl5) for the conversion of glucose into HMF, different ratios between Brønsted and Lewis acids were evaluated (Table 1). Initially, we evaluated CX4SO3H (5 wt%) and different proportions of NbCl5 (0–10 wt%) (Table 1, Entries 1–5). In the absence of NbCl5, a marginal yield of only trace was obtained (Table 1, Entry 1). For amounts of 2.5, 5.0, and 7.5 wt% NbCl5, the yield of HMF increased to 42%, and for 10 wt%, the yield decreased to 29% (Table 1, Entries 2–5). After establishing that 7.5 wt% NbCl5 is the best ratio for the conversion of glucose into HMF, we evaluated different proportions of CX4SO3H (Table 1, Entries 6–9). In the absence of CX4SO3H, a 20% yield of HMF was obtained (Table 1, Entry 6). With the addition of increasing amounts of CX4SO3H, the conversion of glucose into HMF reached a maximum value of 42% with the CX4SO3H/NbCl5 consortium (Table 1, Entry 4). For CX4SO3H amounts greater than 5 wt%, the HMF yield decreased to 39% and 32% (Table 1, Entries 8 and 9) and the formation of humins was observed.
Table 1.
Evaluation of ratio CX4SO3H/NbCl5 consortium catalyst.
Several works [38,39,40,41] have been published seeking to understand the association between Brønsted and Lewis acid and its good performance in the conversion of glucose into HMF. The first step toward glucose to HMF conversion involves the isomerization of glucose to fructose, followed by the dehydration of fructose, resulting in HMF. The isomerization of glucose has been described as the most difficult step of the process and a Lewis acid is usually used to effectively promote the isomerization; a Brønsted or Lewis acid is then used to promote the dehydration of fructose [38,39,42,43,44,45]. Consequently, we can infer that the NbCl5 acts as Lewis acid, effectively promoting the isomerization of glucose, and partially helping in the dehydration of fructose; it is the CX4SO3H, however, that improves the production of HMF due to its Brønsted acidic nature.
2.3. Evaluation of Temperature and Time
Following the evaluation of the catalyst charge, we tested different reaction temperatures keeping the other reaction parameters unchanged (0.25 mmol of glucose, 10 min, water/NaCl, and MIBK (1/3 v/v)). For temperatures below 150 °C, the HMF yield decreased to 21% and 30%, respectively (Table 2, Entries 1 and 2). However, when the temperature was greater than 150 °C, the HMF yield decreased from 42% to 33% (Table 2, Entries 3 and 4).
Table 2.
Evaluation of reaction temperature.
This behavior has been reported in other studies on the dehydration of sugars to HMF. One study [46], for example, obtained an HMF yield of 51.5% in a MW glucose to HMF conversion, performed at 180 °C; however, when the temperature was increased to 190 °C, the HMF yield decreased to 40%. It is known that, although increasing the temperature promotes the dehydration of fructose to HMF, a very high temperature can lead to the formation of secondary compounds [47]. In our work, we noticed the same behavior in the formation of humin when the reaction was conducted at 160 °C.
The effect of the reaction time on the formation of HMF from glucose was evaluated by performing experiments between 5.0 and 22.5 min (Figure 2). We observed that the yield of HMF improved with the increase in the reaction time, until obtaining a maximum yield of 50% at 17.5 min of reaction (Figure 2). Further increases in the reaction time, however, resulted in a yield decrease, from 50% to 42% (Figure 2). It has been reported in the literature that long periods of reactions decrease the selectivity, leading to secondary reactions, such as humin formation and other undesirable products [48,49].
Figure 2.
Evaluation of HMF yield over time. Reagents and conditions: 0.25 mmol glucose (45 mg), CX4SO3H/NbCl5 (5/7.5 wt%), MW, 150 °C, water/NaCl, and MIBK (1/3 v/v).
2.4. Evaluation of the Addition of Different Salt in Biphasic System
In order to determine how the composition of the biphasic system could affect the conversion of glucose to HMF, experiments were carried out with different salts using an organic phase MIBK (Table 3).
Table 3.
Evaluation of the addition of different salt in biphasic system.
The effect of adding different salts to an aqueous phase was verified, and the best performance was obtained with NaCl (Table 3, Entry 1). When using KCl, CaCl2, and MgCl2, the yield was 29, 24, and 11%, respectively (Table 3, Entries 2–4). To verify the effect of the extracting solvent and the aqueous phase, experiments were carried out in the absence of MIBK, obtaining only 3% of HMF; whereas, without an aqueous phase, no product was detected.
The use of a biphasic system allows the reaction to be carried out in an aqueous phase and the organic solvent to act as an extractor for the product [50]. HMF is easily extracted in organic solvents that are immiscible with water. The biphasic reaction mixture is used for the continuous removal of HMF from the aqueous phase by an organic phase to prevent its side reactions (humin) [46,47,48,49,51,52].
It is known from the literature that the addition of salt, such as NaCl, KCl, CaCl2, and MgCl2, helps to modify the aqueous phase by modifying the partition coefficient of the system, allowing a larger fraction of a product to migrate toward the organic phase. This is called the salting-out effect, which is generated when the ions of the salts modify the intermolecular forces between the liquids in equilibrium, allowing greater immiscibility between them [53].
The lower yield observed in the presence of bivalent cations (Table 3, Entries 3 and 4) can be explained by the hydration radius size of these species. The smaller the ion’s hydration radius, the greater the salting-out effect [54]. Additionally, since Ca2+ and Mg2+ have the largest hydration radium among the studied cations, their salting-out effect is smaller, and the extraction efficiency is lower [55,56].
2.5. Evaluation of Catalytic Effect of Other Lewis Acids
To demonstrate the efficiency of Lewis (NbCl5) and Brønsted (CX4SO3H) acids acting as a consortium, other metallic chlorides were also evaluated: CrCl3, CoCl2, MnCl2, AlCl3, NiCl2, FeCl3, FeCl2, ZnCl2, SnCl2, and CuCl2 (Figure 3). The highest HMF yield continued to occur when using NbCl5 as the Lewis acid. However, the AlCl3 and CrCl3 salts presented moderate yields of 41% and 39%, respectively (Figure 3). The other Lewis acids that were evaluated showed yields between 31 and 14% (Figure 3).
Figure 3.
Evaluation of different Lewis acids. Reagents and conditions: 0.25 mmol glucose (45 mg), CX4SO3H/NbCl5 (5/7.5 wt%), MW, 150 °C, 17.5 min, water/NaCl, and MIBK (1/3 v/v).
2.6. Literature Comparison of Methods for the Conversion Glucose to HMF
In Table 4, some parameters of the methodology developed in this study, for the conversion of glucose into HMF, are compared with other studies found in the literature. References shown in Table 4 used, as a catalyst, a mixture of a Lewis and Brønsted acid (Table 4, Entries 2–4) or a bifunctional catalyst with Lewis–Brønsted acids. Viera et al. (Table 4, Entry 2) reported that the niobium catalyst acts in the formation of mannose and fructose, allowing the formation of HMF when combined with the Brønsted catalyst (HCl) in a biphasic THF/water system, using a rate of the catalyst of 1:2 wt% [7]. The biphasic THF/water system was also reported by Choudhary et al., (Table 4, Entry 3) who used chromium chloride (CrCl3) as the Lewis acid and HCl as the Brønsted catalyst [57].
Table 4.
Comparison of methodology developed for the conversion of glucose to HMF with data from the literature.
On the other hand, Pagán-Torres also used HCl as a Brønsted catalyst, but with AlCl3 as a Lewis catalyst (3:10 catalyst ratio) and a 2-sec-butylphenol/water biphasic system. Bounoukta et al. reported a yield of 57% of HMF (Table 4, Entry 5), using the bifunctional catalyst of p-toluenesulfonic acid on an activated carbon surface and functionalized with activated charcoal (1:1) [60]. The catalyst ratio that they used is close to the one used in our study, 1:1.5 of CX4SO3H/NbCl5; this parameter varies greatly between published studies (Table 4). Although the reported yields are generally good, the use of THF (Table 4, Entries 2–3) as the organic phase is not recommended, since it is a problematic solvent according to the principles of green chemistry [62]. Moreover, the use of HCl as the Brønsted acid (Table 4, Entries 2–4) presents difficulties for an industrial scale production due to its corrosive qualities as a highly toxic reagent. Finally, while it is possible to use a green solvent, such as MIBK, as the organic phase for the bifunctional catalyst, its reaction time is too long (1440 min or 24 h) to be viable.
2.7. Evaluation of Other Carbohydrates to Produce HMF
Other carbohydrates, in addition to glucose, were also evaluated: sucrose, mannose, maltose, raffinose melibiose, galactose, and cellulose, the yields of which were, respectively, 50, 42, 32, 31, 19, 19, 17, and 15% (Figure 4). In general, to obtain 5-HMF directly from sugars, it is necessary that a sequence of the reaction involves catalysts for hydrolysis, isomerization of glucose to fructose, and finally, the acid-catalyzed dehydration of fructose. For example, the direct conversion of cellulose to 5-HMF using heterogeneous catalysts is difficult due to the low reactivity of cellulose and the high instability of 5-HMF [48,57,60,63,64].
Figure 4.
Evaluation of different carbohydrates.
Sucrose showed to have the best HMF performance; since it is a dimer formed by the union of α-D-glucose and β-D-fructose through a glycosidic bond, sucrose can undergo a hydrolysis in which the carbohydrate units that make it up are separated. Additionally, it is more prone to undergo dehydration directly to HMF, since the glucose that must undergo an initial isomerization to fructose is converted into HMF [47]. On the other hand, the evaluation of cellulose is also interesting; its result was comparable with that of a more complex biomass system [65]. The 15% yield obtained from cellulose is not far from the 20% HMF obtained by one study [66] that achieved this performance using formic acid and betaine as catalysts, with 60 min of reaction at 190 °C. Another study [67] obtained a 35% yield of HMF from microcrystalline cellulose using CrCl3, in addition to using ionic liquid ([EMIM]Cl) as the reaction medium. Despite being efficient in converting cellulose into HMF, ionic liquids are expensive and toxic reagents.
2.8. Catalyst Recycling
The evaluation of catalyst recycling is a key-factor from a commercial and environmental point of view. Thus, if the catalyst can be used more times without decreasing its effectiveness while maintaining a constant yield of the product, less investment is needed in the purchase of reagents, and, from an environmental perspective, less chemical waste occurs [68,69].
At the end of the reaction, the system was cooled, and the organic phase was separated. The aqueous phase containing the CX4SO3H/NbCl5 consortium catalyst remained in the tube, and a new load of glucose and MIBK were added and used in a new reaction. In our work, it was possible to reuse the CX4SO3H/NbCl5 catalyst consortium up to six times while keeping the HMF yield constant. The yield decreased from 49% in the sixth cycle to 39% and 38% in the respective seventh and eighth cycles of the reuse of the system catalyst, as shown in Figure 5.
Figure 5.
Evaluation of system catalyst and aqueous phase recycle. Reagents and conditions: 0.25 mmol glucose (45 mg), CX4SO3H/NbCl5 (5/7.5 wt%), MW, 150 °C, 17.5 min, water/NaCl, and MIBK (1/3 v/v).
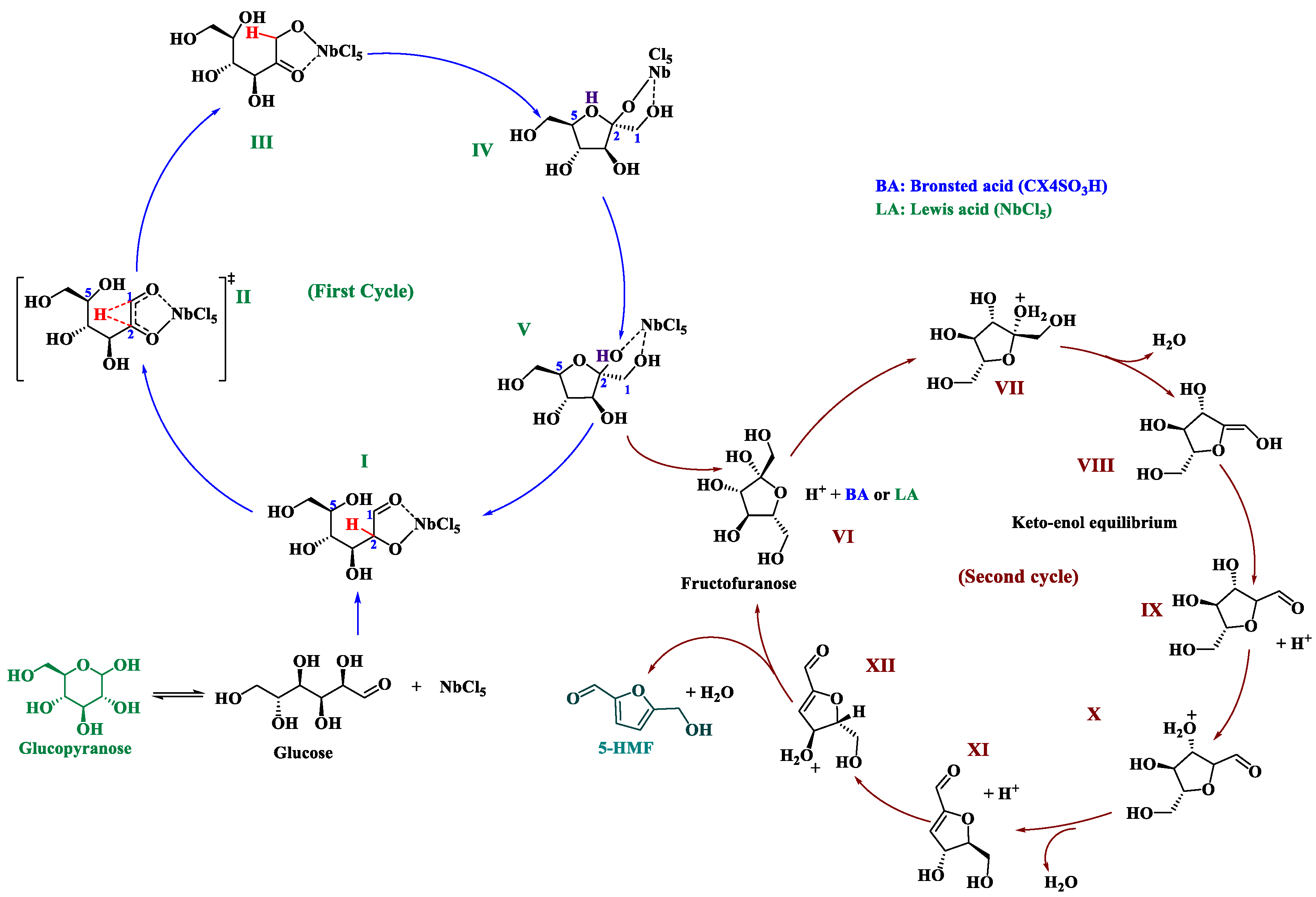
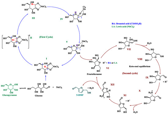
2.9. Reaction Mechanism
The mechanism of glucose for fructose isomerization is still a matter of debate. There are two mechanistic proposals for the key step of the isomerization of glucose to fructose: one proceeding via a 1,2-enediol intermediate [59,70,71,72,73] and an intramolecular hydride shift from C-2 to C-1 [11,57,74,75,76] (Scheme 1). A study with isotopic labeling using D2O was performed under the same optimized conditions (0.25 mmol glucose (45 mg), 150 °C, 17.5 min, water/NaCl, and MIBK (1/3 v/v) for NbCl5 (7.5 wt%), CX4SO3H (5 wt%), and CX4SO3H/NbCl5 (5/7.5 wt%), except for the solvent (H2O was replaced by D2O).
Scheme 1.
Mechanistic proposal for the conversion of glucose to HMF. The first catalytic cycle is based on the reference [75].
Analysis of the mass spectrum (GC-MS) showed that there was no incorporation of deuterium atoms into the HMF structure for none of the catalytic systems evaluated: NbCl5, CX4SO3H, and CX4SO3H/NbCl5. Since D2O was used as the solvent, we propose a mechanistic step of the isomerization of glucose to fructose through simultaneously activating the carbonyl group at the C-1 position and the hydroxyl group at the C-2 position on glucose (intermediate I, Scheme 1) proceeding an intramolecular hydride shift from C-2 to C -1 catalyzed by NbCl5 (state transition II and intermediate III, Scheme 1). Then, cyclization occurs through the attack of the hydroxyl on the carbonyl (intermediates IV and V, Scheme 1). The subsequent dehydration of fructose occurs with the CX4SO3H/NbCl5 consortium with protonation of the hydroxyl bound to the anomeric carbon of fructofuranose, followed by the loss of a water molecule and the formation of the enol (intermediate VIII, Scheme 1). The enol that is in tautomeric equilibrium with the keto (aldehyde) form (intermediate IX, Scheme 1). From the aldehyde, there is the protonation of a second hydroxyl, followed by the loss of a water molecule, leading to the formation of an α,β-unsaturated aldehyde (intermediate X, Scheme 1). Finally, the protonation of the secondary hydroxyl (intermediate XI, Scheme 1) followed by the loss of a water molecule leads to the formation of the aromatic ring of the HMF.
3. Materials and Methods
3.1. Materials
Nb2O5·nH2O (NbO), NbOPO4·nH2O (NbP), and HNb3O8 were supplied by Companhia Brasileira de Metalurgia e Mineração (CBMM, Araxá, Minas GeraisBrazil). The niobium pentachloride (NbCl5) and the standard HMF were purchased from Sigma-Aldrich (Saint Louis, United States), as well as all other materials and reagents that were necessary for the development of this work.
3.2. Synthesis of CX4SO3H
The CX4SO3H was synthesized according to the procedures reported in the literature [77,78,79].
3.3. General Procedure for Conversion of Glucose into HMF
In a Pyrex® glass tube suitable for microwave, the following were added: 0.25 mmol glucose (45 mg), 5.0 wt% of CX4SO3H, 7.5 wt% of niobium chloride (NbCl5), 1.0 mL of aqueous solution saturated with NaCl, and 3.0 mL of MIBK. After sealing the tube, this mixture was taken to a MW reactor (CEM Discovery), where it was heated to 150 °C under magnetic stirring for 17.5 min. At the end of the experiment, the mixture was cooled at room temperature and the organic phase was separated and dried over anhydrous sodium sulphate to remove residual water; the mixture was subsequently filtered and transferred to a 5.0 mL volumetric flask, which had its volume checked with methanol. From this solution, an aliquot of 100 µL was removed and transferred to another 5.0 mL volumetric flask. Finally, from this solution, an aliquot of 397 µL was removed into a vial, along with a 603 µL aliquot of methanol. The sample was analyzed by ultra-high-performance liquid chromatography (UHPLC).
3.4. Quantification of HMF by UHPLC
The chromatograms were obtained by UHPLC employing a Thermo Scientific Accela LC liquid chromatograph (diode array detector (DAD), autoinjector, and Accela pump) (Thermo Fischer Scientific, Austin, TX, USA). The column used for separation was a Hypersil GOLD reverse phase (50 × 2.1 mm, 1.9 µm particle size, and 175 Å pore) (Thermo Fischer Scientific, Austin, TX, USA). The mobile phase consisted of water and methanol (1:1), and elution was carried out in isocratic mode for two minutes. The applied amount was 200 µL min−1 and the injection volume was 1 µL (partial loop), with a temperature of 25 °C for the injector and column. The peak of HMF was detected at a wavelength of 280 nm.
HMF was quantified based on the external calibration technique. Standard solutions were prepared in methanol, with HMF at concentrations of 2–50 mg L−1 and injected into the UHPLC system. The calibration curve (R2 = 0.9960) was obtained in relation to the area of each HMF standard. The HMF yield (%) was calculated based on a calibration curve.
3.5. Catalyst Recycling
The recycling of system catalysts was conducted using a model reaction employing 0.25 mmol glucose (45 mg), 5.0 wt% CX4SO3H, 7.5 wt% NbCl5, 1.0 mL saturated aqueous solution for NaCl, and 3.0 mL of MIBK. This mixture was heated to 150 °C for 17.5 min. At the end of this period, the system was cooled and the organic phase was separated. To the aqueous phase that stood in the tube, a new 0.25 mmol glucose load (45 mg) and MIBK (3.0 mL) were added, which were subjected to the reaction conditions. The recycling procedure was repeated another seven times.
4. Conclusions
In this study, we presented an efficient route to convert glucose into HMF with a high 50% yield using the consortium catalysts NbCl5 and CX4SO3H in an MW reactor. The reaction conditions optimized result was CX4SO3H/NbCl5 (5 wt%/7.5 wt%) as a consortium catalyst, using water/NaCl and MIBK (1:3 v/v) at 150 °C for a 17.5-minute reaction time. This catalyst system showed excellent recyclability, with its catalytic activity maintained for six cycles. Thus, the glucose isomerization is due to the Lewis acid (NbCl5), followed by the fructose dehydration to HMF, which is due to CX4SO3H/NbCl5. The application of this consortium catalytic system is attractive, environmentally friendly, and cost-effective for the conversion of biomass into higher value-added products. Finally, isotopic labeling experiments suggested a mechanism for the glucose isomerization for fructose reactions involving an intramolecular hydride shift from C-2 to C-1 since the incorporation of a deuterium atom was not observed; the proposed mechanism was validated using mass spectrometry.
Author Contributions
Conceptualization: G.F.D., S.A.F. and V.L.J.; methodology: G.F.D., S.A.F., D.M.E.D., G.A.D.C., V.L.J. and D.C.C.-R.; investigation, G.F.D., D.M.E.D. and G.A.D.C.; resources: G.F.D., S.A.F., D.M.E.D., G.A.D.C., V.L.J. and D.C.C.-R.; writing—original draft preparation: G.A.D.C., S.A.F., D.M.E.D., G.A.D.C., V.L.J. and D.C.C.-R.; supervision: S.A.F. and V.L.J. All authors have read and agreed to the published version of the manuscript.
Funding
The authors would like to thank FAPES (Fundação de Amparo Pesquisa e Inovação do Espírito Santo; Profix process number 355/2018), CAPES (Coordenação de Aperfeiçoamento Pessoal de Nível Superior; Finance Code 001), CNPq (Conselho Nacional de Desenvolvimento Científico e Tecnológico), FAPEMIG (Fundação de Amparo à Pesquisa do Estado de Minas Gerais), National Council for Scientific and Technological Development (CNPq-Process no.: CNPq 315389/2020-6), and NCQP (Núcleo de Competências em Química do Petróleo) for their financial and technical support. S.A.F. and V.L.Jr. are supported by the Research Fellowships from CNPq.
Data Availability Statement
Data will be made available on request.
Conflicts of Interest
The authors declare no conflict of interest.
References
- Yin, Y.; Ma, C.; Li, W.; Luo, S.; Liu, Y.; Wu, X.; Wu, Z.; Liu, S. Rapid Conversion of Glucose to 5-Hydroxymethylfurfural Using a MoCl3 Catalyst in an Ionic Liquid with Microwave Irradiation. Ind. Crops Prod. 2021, 160, 113091. [Google Scholar] [CrossRef]
- Zhang, L.; Tian, Y.; Wang, Y.; Dai, L. Enhanced Conversion of α-Cellulose to 5-HMF in Aqueous Biphasic System Catalyzed by FeCl3-CuCl2. Chinese Chem. Lett. 2021, 32, 2233–2238. [Google Scholar] [CrossRef]
- Kong, Q.S.; Li, X.L.; Xu, H.J.; Fu, Y. Conversion of 5-Hydroxymethylfurfural to Chemicals: A Review of Catalytic Routes and Product Applications. Fuel Process. Technol. 2020, 209, 106528. [Google Scholar] [CrossRef]
- Pereira, S.; Oliveira Santana Varejão, J.; de Fátima, Â.; Fernandes, S.A. P-Sulfonic Acid Calix[4]Arene: A Highly Efficient Organocatalyst for Dehydration of Fructose to 5-Hydroxymethylfurfural. Ind. Crops Prod. 2019, 138, 4–10. [Google Scholar] [CrossRef]
- El Fergani, M.; Candu, N.; Tudorache, M.; Bucur, C.; Djelal, N.; Granger, P.; Coman, S.M. From Useless Humins By-Product to Nb@graphite-like Carbon Catalysts Highly Efficient in HMF Synthesis. Appl. Catal. A Gen. 2021, 618, 118130. [Google Scholar] [CrossRef]
- Torres-Olea, B.; García-Sancho, C.; Cecilia, J.A.; Oregui-Bengoechea, M.; Arias, P.L.; Moreno-Tost, R.; Maireles-Torres, P. Influence of Lewis Acidity and CaCl2 on the Direct Transformation of Glucose to 5-Hydroxymethylfurfural. Mol. Catal. 2021, 510, 111685. [Google Scholar] [CrossRef]
- Vieira, J.L.; Almeida-Trapp, M.; Mithöfer, A.; Plass, W.; Gallo, J.M.R. Rationalizing the Conversion of Glucose and Xylose Catalyzed by a Combination of Lewis and Brønsted Acids. Catal. Today 2020, 344, 92–101. [Google Scholar] [CrossRef]
- Zhou, C.; Zhao, J.; Yagoub, A.E.G.A.; Ma, H.; Yu, X.; Hu, J.; Bao, X.; Liu, S. Conversion of Glucose into 5-Hydroxymethylfurfural in Different Solvents and Catalysts: Reaction Kinetics and Mechanism. Egypt. J. Pet. 2017, 26, 477–487. [Google Scholar] [CrossRef]
- Li, L.; Ding, J.; Jiang, J.G.; Zhu, Z.; Wu, P. One-Pot Synthesis of 5-Hydroxymethylfurfural from Glucose Using Bifunctional [Sn,Al]-Beta Catalysts. Cuihua Xuebao/Chinese J. Catal. 2015, 36, 820–828. [Google Scholar] [CrossRef]
- Teimouri, A.; Mazaheri, M.; Chermahini, A.N.; Salavati, H.; Momenbeik, F.; Fazel-Najafabadi, M. Catalytic Conversion of Glucose to 5-Hydroxymethylfurfural (HMF) Using Nano-POM/Nano-ZrO2/Nano-γ-Al2O3. J. Taiwan Inst. Chem. Eng. 2015, 49, 40–50. [Google Scholar] [CrossRef]
- Wang, T.; Glasper, J.A.; Shanks, B.H. Kinetics of Glucose Dehydration Catalyzed by Homogeneous Lewis Acidic Metal Salts in Water. Appl. Catal. A Gen. 2015, 498, 214–221. [Google Scholar] [CrossRef]
- Abranches, P.A.D.S.; De Paiva, W.F.; De Fátima, Â.; Martins, F.T.; Fernandes, S.A. Calix[n]Arene-Catalyzed Three-Component Povarov Reaction: Microwave-Assisted Synthesis of Julolidines and Mechanistic Insights. J. Org. Chem. 2018, 83, 1761–1771. [Google Scholar] [CrossRef]
- Braga, I.B.; Castañeda, S.M.B.; Vitor De Assis, J.; Barros, A.O.; Amarante, G.W.; Valdo, A.K.S.M.; Martins, F.T.; Rosolen, A.F.D.P.; Pilau, E.; Fernandes, S.A. Anise Essential Oil as a Sustainable Substrate in the Multicomponent Double Povarov Reaction for Julolidine Synthesis. J. Org. Chem. 2020, 85, 15622–15630. [Google Scholar] [CrossRef] [PubMed]
- Liberto, N.A.; Simões, J.B.; de Paiva Silva, S.; da Silva, C.J.; Modolo, L.V.; de Fátima, Â.; Silva, L.M.; Derita, M.; Zacchino, S.; Zuñiga, O.M.P.; et al. Quinolines: Microwave-Assisted Synthesis and Their Antifungal, Anticancer and Radical Scavenger Properties. Bioorganic Med. Chem. 2017, 25, 1153–1162. [Google Scholar] [CrossRef]
- Natalino, R.; Varejão, E.V.V.; da Silva, M.J.; Cardoso, A.L.; Fernandes, S.A. P-Sulfonic Acid Calix[n]Arenes: The Most Active and Water Tolerant Organocatalysts in Esterification Reactions. Catal. Sci. Technol. 2014, 4, 1369–1375. [Google Scholar] [CrossRef]
- Palermo, V.; Sathicq, A.; Liberto, N.; Fernandes, S.; Langer, P.; Jios, J.; Romanelli, G. Calix[n]Arenes: Active Organocatalysts for the Synthesis of Densely Functionalized Piperidines by One-Pot Multicomponent Procedure. Tetrahedron Lett. 2016, 57, 2049–2054. [Google Scholar] [CrossRef]
- Rezende, T.R.M.; Varejão, J.O.S.; Sousa, A.L.L.D.A.; Castañeda, S.M.B.; Fernandes, S.A. Tetrahydroquinolines by the Multicomponent Povarov Reaction in Water: Calix[: N] Arene-Catalysed Cascade Process and Mechanistic Insights. Org. Biomol. Chem. 2019, 17, 2913–2922. [Google Scholar] [CrossRef]
- Santos, L.S.; Fernandes, S.A.; Pilli, R.A.; Marsaioli, A.J. A Novel Asymmetric Reduction of Dihydro-β-Carboline Derivatives Using Calix[6]Arene/Chiral Amine as a Host Complex. Tetrahedron Asymmetry 2003, 14, 2515–2519. [Google Scholar] [CrossRef]
- Simões, J.B.; De Fátima, Â.; Sabino, A.A.; De Aquino, F.J.T.; Da Silva, D.L.; Barbosa, L.C.A.; Fernandes, S.A. Organocatalysis in the Three-Component Povarov Reaction and Investigation by Mass Spectrometry. Org. Biomol. Chem. 2013, 11, 5069–5073. [Google Scholar] [CrossRef]
- Simões, J.B.; De Fátima, Â.; Sabino, A.A.; Almeida Barbosa, L.C.; Fernandes, S.A. Efficient Synthesis of 2,4-Disubstituted Quinolines: Calix[n]Arene- Catalyzed Povarov-Hydrogen-Transfer Reaction Cascade. RSC Adv. 2014, 4, 18612–18615. [Google Scholar] [CrossRef]
- David, G.F.; Ríos-Ríos, A.M.; de Fátima, Â.; Perez, V.H.; Fernandes, S.A. The Use of P-Sulfonic Acid Calix[4]Arene as Organocatalyst for Pretreatment of Sugarcane Bagasse Increased the Production of Levoglucosan. Ind. Crops Prod. 2019, 134, 382–387. [Google Scholar] [CrossRef]
- Ziolek, M.; Sobczak, I. The Role of Niobium Component in Heterogeneous Catalysts. Catal. Today 2017, 285, 211–225. [Google Scholar] [CrossRef]
- David, G.F.; Pereira, S.d.P.S.; Fernandes, S.A.; Cubides-Roman, D.C.; Siqueira-Roman, R.K.; Perez, V.H.; Lacerda, V. Fast Pyrolysis as a Tool for Obtaining Levoglucosan after Pretreatment of Biomass with Niobium Catalysts. Waste Manag. 2021, 126, 274–282. [Google Scholar] [CrossRef]
- Junior, M.M.d.J.; Fernandes, S.A.; Borges, E.; Baêta, B.E.L.; Rodrigues, F.d.Á. Kinetic Study of the Conversion of Glucose to 5-Hydroxymethylfurfural Using Niobium Phosphate. Mol. Catal. 2022, 518, 112079. [Google Scholar] [CrossRef]
- Carniti, P.; Gervasini, A.; Bossola, F.; Dal Santo, V. Cooperative Action of Brønsted and Lewis Acid Sites of Niobium Phosphate Catalysts for Cellobiose Conversion in Water. Appl. Catal. B Environ. 2016, 193, 93–102. [Google Scholar] [CrossRef]
- Catrinck, M.N.; Ribeiro, E.S.; Monteiro, R.S.; Ribas, R.M.; Barbosa, M.H.P.; Teófilo, R.F. Direct Conversion of Glucose to 5-Hydroxymethylfurfural Using a Mixture of Niobic Acid and Niobium Phosphate as a Solid Acid Catalyst. Fuel 2017, 210, 67–74. [Google Scholar] [CrossRef]
- Morales, A.; Santana, A.; Althoff, G.; Melendez, E. Host-Guest Interactions between Calixarenes and Cp2NbCl 2. J. Organomet. Chem. 2011, 696, 2519–2527. [Google Scholar] [CrossRef]
- Redshaw, C.; Rowan, M.; Homden, D.M.; Elsegood, M.R.J.; Yamato, T.; Pérez-Casas, C. Niobium- and Tantalum-Based Ethylene Polymerisation Catalysts Bearing Methylene- or Dimethyleneoxa-Bridged Calixarene Ligands. Chem.-A Eur. J. 2007, 13, 10129–10139. [Google Scholar] [CrossRef] [PubMed]
- Acho, J.A.; Doerrer, L.H.; Lippard, S.J. Pentamethylcyclopentadienyl and Cyclopentadienyl Tantalum and Niobium Calixarene Compounds and Their Water and Acetonitrile Inclusion Complexes. Inorg. Chem. 1995, 34, 2542–2556. [Google Scholar] [CrossRef]
- Dürr, S.; Bechlars, B.; Radius, U. Calix[4]Arene Supported Group 5 Imido Complexes. Inorganica Chim. Acta 2006, 359, 4215–4226. [Google Scholar] [CrossRef]
- Caselli, A.; Solari, E.; Scopelliti, R.; Floriani, C. A Synthetic Methodology to Niobium Alkylidenes: Reactivity of a Nb=Nb Double Bond Anchored to a Calix[4]Arene Oxo Surface with Ketones, Aldehydes, Imines, and Isocyanides. J. Am. Chem. Soc. 1999, 121, 8296–8305. [Google Scholar] [CrossRef]
- Caselli, A.; Solari, E.; Scopelliti, R.; Floriani, C.; Re, N.; Rizzoli, C.; Chiesi-Villa, A. Dinitrogen Rearranging over a Metal-Oxo Surface and Cleaving to Nitride: From the End-on to the Side-on Bonding Mode, to the Stepwise Cleavage of the N≡N Bonds Assisted by Nb(III)-Calix[4]Arene. J. Am. Chem. Soc. 2000, 122, 3652–3670. [Google Scholar] [CrossRef]
- Carniti, P.; Gervasini, A.; Biella, S.; Auroux, A. Niobic Acid and Niobium Phosphate as Highly Acidic Viable Catalysts in Aqueous Medium: Fructose Dehydration Reaction. Catal. Today 2006, 118, 373–378. [Google Scholar] [CrossRef]
- Zhang, L.; Li, K.; Zhu, X. Study on Two-Step Pyrolysis of Soybean Stalk by TG-FTIR and Py-GC/MS. J. Anal. Appl. Pyrolysis 2017, 127, 91–98. [Google Scholar] [CrossRef]
- Kreissl, H.T.; Nakagawa, K.; Peng, Y.K.; Koito, Y.; Zheng, J.; Tsang, S.C.E. Niobium Oxides: Correlation of Acidity with Structure and Catalytic Performance in Sucrose Conversion to 5-Hydroxymethylfurfural. J. Catal. 2016, 338, 329–339. [Google Scholar] [CrossRef]
- Liu, Y.; Li, H.; He, J.; Zhao, W.; Yang, T.; Yang, S. Catalytic Conversion of Carbohydrates to Levulinic Acid with Mesoporous Niobium-Containing Oxides. Catal. Commun. 2017, 93, 20–24. [Google Scholar] [CrossRef]
- Huang, F.; Jiang, T.; Dai, H.; Xu, X.; Jiang, S.; Chen, L.; Fei, Z.; Dyson, P.J. Transformation of Glucose to 5-Hydroxymethylfurfural Over Regenerated Cellulose Supported Nb2O5·nH2O in Aqueous Solution. Catal. Letters 2020, 150, 2599–2606. [Google Scholar] [CrossRef]
- Hu, D.; Zhang, M.; Xu, H.; Wang, Y.; Yan, K. Recent Advance on the Catalytic System for Efficient Production of Biomass-Derived 5-Hydroxymethylfurfural. Renew. Sustain. Energy Rev. 2021, 147. [Google Scholar] [CrossRef]
- Kim, Y.; Mittal, A.; Robichaud, D.J.; Pilath, H.M.; Etz, B.D.; St. John, P.C.; Johnson, D.K.; Kim, S. Prediction of Hydroxymethylfurfural Yield in Glucose Conversion through Investigation of Lewis Acid and Organic Solvent Effects. ACS Catal. 2020, 10, 14707–14721. [Google Scholar] [CrossRef]
- Swift, T.D.; Nguyen, H.; Erdman, Z.; Kruger, J.S.; Nikolakis, V.; Vlachos, D.G. Tandem Lewis Acid/Brønsted Acid-Catalyzed Conversion of Carbohydrates to 5-Hydroxymethylfurfural Using Zeolite Beta. J. Catal. 2016, 333, 149–161. [Google Scholar] [CrossRef]
- Wrigstedt, P.; Keskiväli, J.; Leskelä, M.; Repo, T. The Role of Salts and Brønsted Acids in Lewis Acid-Catalyzed Aqueous-Phase Glucose Dehydration to 5-Hydroxymethylfurfural. ChemCatChem 2015, 7, 501–507. [Google Scholar] [CrossRef]
- Megías-Sayago, C.; Navarro-Jaén, S.; Drault, F.; Ivanova, S. Recent Advances in the Brønsted/Lewis Acid Catalyzed Conversion of Glucose to Hmf and Lactic Acid: Pathways toward Bio-Based Plastics. Catalysts 2021, 11, 1395. [Google Scholar] [CrossRef]
- Yu, I.K.M.; Tsang, D.C.W.; Yip, A.C.K.; Su, Z.; De Oliveira Vigier, K.; Jérôme, F.; Poon, C.S.; Ok, Y.S. Organic Acid-Regulated Lewis Acidity for Selective Catalytic Hydroxymethylfurfural Production from Rice Waste: An Experimental-Computational Study. ACS Sustain. Chem. Eng. 2019, 7, 1437–1446. [Google Scholar] [CrossRef]
- Zhang, H.; Zhao, H.; Zhai, S.; Zhao, R.; Wang, J.; Cheng, X.; Shiran, H.S.; Larter, S.; Kibria, M.G.; Hu, J. Electron-Enriched Lewis Acid-Base Sites on Red Carbon Nitride for Simultaneous Hydrogen Production and Glucose Isomerization. Appl. Catal. B Environ. 2022, 316, 121647. [Google Scholar] [CrossRef]
- Lu, S.; Lyu, J.; Han, X.; Bai, P.; Guo, X. Effective Isomerization of Glucose to Fructose by Sn-MFI/MCM-41 Composites as Lewis Acid Catalysts. J. Taiwan Inst. Chem. Eng. 2020, 116, 272–278. [Google Scholar] [CrossRef]
- Das, B.; Mohanty, K. Sulfonic Acid-Functionalized Carbon Coated Red Mud as an Efficient Catalyst for the Direct Production of 5-HMF from D-Glucose under Microwave Irradiation. Appl. Catal. A Gen. 2021, 622, 118237. [Google Scholar] [CrossRef]
- Tempelman, C.; Jacobs, U.; Hut, T.; Pereira de Pina, E.; van Munster, M.; Cherkasov, N.; Degirmenci, V. Sn Exchanged Acidic Ion Exchange Resin for the Stable and Continuous Production of 5-HMF from Glucose at Low Temperature. Appl. Catal. A Gen. 2019, 588, 117267. [Google Scholar] [CrossRef]
- Huang, F.; Su, Y.; Tao, Y.; Sun, W.; Wang, W. Preparation of 5-Hydroxymethylfurfural from Glucose Catalyzed by Silica-Supported Phosphotungstic Acid Heterogeneous Catalyst. Fuel 2018, 226, 417–422. [Google Scholar] [CrossRef]
- Fachri, B.A.; Abdilla, R.M.; Bovenkamp, H.H.V.D.; Rasrendra, C.B.; Heeres, H.J. Experimental and Kinetic Modeling Studies on the Sulfuric Acid Catalyzed Conversion of d -Fructose to 5-Hydroxymethylfurfural and Levulinic Acid in Water. ACS Sustain. Chem. Eng. 2015, 3, 3024–3034. [Google Scholar] [CrossRef]
- Gomes, F.N.D.C.; Pereira, L.R.; Ribeiro, N.F.P.; Souza, M.M.V.M. Production of 5-Hydroxymethylfurfural (HMF) via Fructose Dehydration: Effect of Solvent and Salting-Out. Brazilian J. Chem. Eng. 2015, 32, 119–126. [Google Scholar] [CrossRef]
- Abranches Dias Castro, G.; Lopes, N.; Fernandes, S.; da Silva, M. Copper Phosphotungstate-Catalyzed Microwave-Assisted Synthesis of 5-Hydroxymethylfurfural in a Biphasic System. Cellulose 2022, 29. [Google Scholar] [CrossRef]
- Castro, G.A.D.; Fernandes, S.A. Green Synthesis of 5-Hydroxymethylfurfural in a Biphasic System Assisted by Microwaves. Catal. Letters 2022. [Google Scholar] [CrossRef]
- Román-Leshkov, Y.; Dumesic, J.A. Solvent Effects on Fructose Dehydration to 5-Hydroxymethylfurfural in Biphasic Systems Saturated with Inorganic Salts. Top. Catal. 2009, 52, 297–303. [Google Scholar] [CrossRef]
- Görgényi, M.; Dewulf, J.; Van Langenhove, H.; Héberger, K. Aqueous Salting-out Effect of Inorganic Cations and Anions on Non-Electrolytes. Chemosphere 2006, 65, 802–810. [Google Scholar] [CrossRef]
- Saha, B.; Abu-Omar, M.M. Advances in 5-Hydroxymethylfurfural Production from Biomass in Biphasic Solvents. Green Chem. 2014, 16, 24–38. [Google Scholar] [CrossRef]
- Esteban, J.; Vorholt, A.J.; Leitner, W. An Overview of the Biphasic Dehydration of Sugars to 5-Hydroxymethylfurfural and Furfural: A Rational Selection of Solvents Using COSMO-RS and Selection Guides. Green Chem. 2020, 22, 2097–2128. [Google Scholar] [CrossRef]
- Choudhary, V.; Mushrif, S.H.; Ho, C.; Anderko, A.; Nikolakis, V.; Marinkovic, N.S.; Frenkel, A.I.; Sandler, S.I.; Vlachos, D.G. Insights into the Interplay of Lewis and Brønsted Acid Catalysts in Glucose and Fructose Conversion to 5-(Hydroxymethyl)Furfural and Levulinic Acid in Aqueous Media. J. Am. Chem. Soc. 2013, 135, 3997–4006. [Google Scholar] [CrossRef]
- Vieira, J.L.; Paul, G.; Iga, G.D.; Cabral, N.M.; Bueno, J.M.C.; Bisio, C.; Gallo, J.M.R. Niobium Phosphates as Bifunctional Catalysts for the Conversion of Biomass-Derived Monosaccharides. Appl. Catal. A Gen. 2021, 617. [Google Scholar] [CrossRef]
- Ståhlberg, T.; Rodriguez-Rodriguez, S.; Fristrup, P.; Riisager, A. Metal-Free Dehydration of Glucose to 5-(Hydroxymethyl)Furfural in Ionic Liquids with Boric Acid as a Promoter. Chem.-A Eur. J. 2011, 17, 1456–1464. [Google Scholar] [CrossRef] [PubMed]
- Pagán-Torres, Y.J.; Wang, T.; Gallo, J.M.R.; Shanks, B.H.; Dumesic, J.A. Production of 5-Hydroxymethylfurfural from Glucose Using a Combination of Lewis and Brønsted Acid Catalysts in Water in a Biphasic Reactor with an Alkylphenol Solvent. ACS Catal. 2012, 2, 930–934. [Google Scholar] [CrossRef]
- Bounoukta, C.E.; Megías-Sayago, C.; Ammari, F.; Ivanova, S.; Monzon, A.; Centeno, M.A.; Odriozola, J.A. Dehydration of Glucose to 5-Hydroxymethlyfurfural on Bifunctional Carbon Catalysts. Appl. Catal. B Environ. 2021, 286, 119938. [Google Scholar] [CrossRef]
- Prat, D.; Wells, A.; Hayler, J.; Sneddon, H.; McElroy, C.R.; Abou-Shehada, S.; Dunn, P.J. CHEM21 Selection Guide of Classical- and Less Classical-Solvents. Green Chem. 2015, 18, 288–296. [Google Scholar] [CrossRef]
- Binder, J.B.; Cefali, A.V.; Blank, J.J.; Raines, R.T. Mechanistic Insights on the Conversion of Sugars into 5-Hydroxymethylfurfural. Energy Environ. Sci. 2010, 3, 765–771. [Google Scholar] [CrossRef]
- Scarim, C.B.; Lira de Farias, R.; Vieira de Godoy Netto, A.; Chin, C.M.; Leandro dos Santos, J.; Pavan, F.R. Recent Advances in Drug Discovery against Mycobacterium Tuberculosis: Metal-Based Complexes. Eur. J. Med. Chem. 2021, 214. [Google Scholar] [CrossRef]
- Zhao, H.; Holladay, J.E.; Brown, H.; Zhang, Z.C. Metal Chlorides in Ionic Liquid Solvents Convert Sugars to 5-Hydroxymethylfurfural. Science 2007, 316, 1597–1600. [Google Scholar] [CrossRef] [PubMed]
- Delbecq, F.; Wang, Y.T.; Len, C. Various Carbohydrate Precursors Dehydration to 5-HMF in an Acidic Biphasic System under Microwave Heating Using Betaine as a Co-Catalyst. Mol. Catal. 2017, 434, 80–85. [Google Scholar] [CrossRef]
- Abou-Yousef, H.; Hassan, E.B.; Steele, P. Rapid Conversion of Cellulose to 5-Hydroxymethylfurfural Using Single and Combined Metal Chloride Catalysts in Ionic Liquid. Ranliao Huaxue Xuebao/J. Fuel Chem. Technol. 2013, 41, 214–222. [Google Scholar] [CrossRef]
- Silvestri, C.; Silvestri, L.; Forcina, A.; Di Bona, G.; Falcone, D. Green Chemistry Contribution towards More Equitable Global Sustainability and Greater Circular Economy: A Systematic Literature Review. J. Clean. Prod. 2021, 294, 126137. [Google Scholar] [CrossRef]
- Anastas, P.; Eghbali, N. Green Chemistry: Principles and Practice. Chem. Soc. Rev. 2010, 39, 301–312. [Google Scholar] [CrossRef]
- Gupta, D.; Saha, B. Dual Acidic Titania Carbocatalyst for Cascade Reaction of Sugar to Etherified Fuel Additives. Catal. Commun. 2018, 110, 46–50. [Google Scholar] [CrossRef]
- Noma, R.; Nakajima, K.; Kamata, K.; Kitano, M.; Hayashi, S.; Hara, M. Formation of 5-(Hydroxymethyl)Furfural by Stepwise Dehydration over TiO2 with Water-Tolerant Lewis Acid Sites. J. Phys. Chem. C 2015, 119, 17117–17125. [Google Scholar] [CrossRef]
- Parveen, F.; Upadhyayula, S. Efficient Conversion of Glucose to HMF Using Organocatalysts with Dual Acidic and Basic Functionalities-A Mechanistic and Experimental Study. Fuel Process. Technol. 2017, 162, 30–36. [Google Scholar] [CrossRef]
- Li, G.; Pidko, E.A.; Hensen, E.J.M.; Nakajima, K. A Density Functional Theory Study of the Mechanism of Direct Glucose Dehydration to 5-Hydroxymethylfurfural on Anatase Titania. ChemCatChem 2018, 10, 4084–4089. [Google Scholar] [CrossRef]
- Pidko, E.A.; Degirmenci, V.; Hensen, E.J.M. On the Mechanism of Lewis Acid Catalyzed Glucose Transformations in Ionic Liquids. ChemCatChem 2012, 4, 1263–1271. [Google Scholar] [CrossRef]
- Loerbroks, C.; Van Rijn, J.; Ruby, M.P.; Tong, Q.; Schüth, F.; Thiel, W. Reactivity of Metal Catalysts in Glucose-Fructose Conversion. Chem.-A Eur. J. 2014, 20, 12298–12309. [Google Scholar] [CrossRef] [PubMed]
- Román-Leshkov, Y.; Moliner, M.; Labinger, J.A.; Davis, M.E. Mechanism of Glucose Isomerization Using a Solid Lewis Acid Catalyst in Water. Angew. Chemie-Int. Ed. 2010, 49, 8954–8957. [Google Scholar] [CrossRef] [PubMed]
- Gutsche, C.; Iqbal, M. P-Tert-Buthylcalix[4]Arene. Org Synth 1990, 68, 234. [Google Scholar]
- Casnati, A.; Ca’, N.D.; Sansone, F.; Ugozzoli, F.; Ungaro, R. Enlarging the Size of Calix[4]Arene-Crowns-6 to Improve Cs+/K+selectivity: A Theoretical and Experimental Study. Tetrahedron 2004, 60, 7869–7876. [Google Scholar] [CrossRef]
- Shinkai, S.; Tsubaki, T.; Sone, T.; Manabe, O. A New Synthesis of P-Nitrocalix[6]Arene. Tetrahedron Lett. 1985, 26, 3343–3344. [Google Scholar] [CrossRef]
Disclaimer/Publisher’s Note: The statements, opinions and data contained in all publications are solely those of the individual author(s) and contributor(s) and not of MDPI and/or the editor(s). MDPI and/or the editor(s) disclaim responsibility for any injury to people or property resulting from any ideas, methods, instructions or products referred to in the content. |
© 2023 by the authors. Licensee MDPI, Basel, Switzerland. This article is an open access article distributed under the terms and conditions of the Creative Commons Attribution (CC BY) license (https://creativecommons.org/licenses/by/4.0/).








