Abstract
The synthesis of 2-aminoquinazoline derivatives is achieved by using hydrochloric acid as a mediator in the [4+2] annulation reaction between N-benzyl cyanamides and 2-amino aryl ketones. In addition, 2-amino-4-iminoquinazolines are synthesized by the reaction of 2-aminobenzonitriles, instead of 2-amino aryl ketones, with N-benzyl cyanamides. A wide range of substrates can be used and high yields are obtained, demonstrating the practicality of this method for the synthesis of 2-aminoquinazoline derivatives.
1. Introduction
Quinazoline is a heterocyclic aromatic scaffold that possesses significant biological and pharmaceutical properties [1,2]. This structure is known for its anti-inflammatory [3,4], antibacterial [5,6], antiviral [7], antimalarial [8,9], and anticancer activities [10,11,12]. Figure 1 highlights some quinazoline-based drugs that are in clinical use [13,14,15].
Figure 1.
Representative drug molecules containing quinazoline skeleton.
Various methods have been reported for the synthesis of quinazolines [16,17,18,19,20,21]. Classical synthetic approaches to the quinazoline scaffold include Pd-catalyzed cyclization [22,23,24], Ru-catalyzed C-H activation/annulation [25,26,27,28] and Cu-catalyzed oxidative functionalization reactions; these routes start from amidines, aromatic amines, or nitrile compounds [29,30,31,32]. Although there are many routes for the synthesis of quinazoline compounds, methods for the direct synthesis of 2-aminoquinazolines are still relatively rare. Because 2-aminoquinazolines have important medicinal properties, the development of new strategies to obtain 2-aminoquinazoline derivatives is desirable from simple substrates. For example, Dyke and co-workers explored the multi-step preparation of pharmacologically active quinazoline derivatives from 2-aminoacetophenone and trichloroacetyl chloride, albeit with low yields (Scheme 1a) [33]. Subsequently, a two-step method for the synthesis of quinazolines was reported by the Palakodety group. This reaction began with 2-aminobenzonitriles, which underwent a reaction with aryl Grignard reagents to form ortho-Aminoketimines. These intermediates were submitted to alkaline conditions to constructed N,4-disubstituted quinazolines. (Scheme 1b) [34]. In addition, Neuville et al. developed a copper-promoted one-pot three-component domino reaction of 2-aminoquinazolines involving cyanamides, aryl boronic acids, and amines (Scheme 1c) [35]. Inspired by these works and our previous studies [36], herein, we report a hydrochloric acid-mediated [4+2] annulation for the efficient synthesis of 2-aminoquinazoline derivatives from o-aminoaryl ketones and N-benzyl cyanamide. Furthermore, 2-amino-4-iminoquinazoline derivatives are formed by the reaction of 2-aminobenzonitriles instead of o-aminoaryl ketones with N-benzyl cyanamides (Scheme 1d).
Scheme 1.
Strategies for access to 2-aminoquinazolines.
2. Results and Discussion
2-Aminoacetophenone (1a) and N-benzyl cyanamide (2a) were chosen as model substrates to optimize the reaction conditions (Table 1). Fortunately, the desired product N-benzyl-4-methylquinazolin-2-amine (3aa) was obtained in a 57% yield with MsOH as an additive in HFIP at 90 °C for 1 h (Entry 1). Encouraged by this result, we sought to optimize the reaction conditions to improve the reaction yield (Table 1). Several additives, solvents, and temperatures were examined, and the results are summarized in Table 1. The yield of 3aa was increased to 73% when the reaction was carried out in the presence of hydrochloric acid (Entry 13). Various additives were screened (Entries 1–12), and concentrated hydrochloric acid was identified as the optimal mediator. When no additive was introduced, the target product was not obtained (Entry 14); therefore, the additive played an important role in this reaction. Next various solvents were investigated. Although other solvents (EtOAc, iPrOH, MeOH, CH3CN, ethanol, H2O, Et2O and dioxane) were tested, HFIP was found to be the best solvent for the reaction (Entries 15–22). Temperature screening confirmed that 70 °C was appropriate for this reaction (Entries 23–26). Next, the amount of hydrochloric acid and the reaction time were examined. The reaction proceeded with an 85% yield when only 2.0 equivalents of hydrochloric acid were used (Entries 27–29)), and the yield of 3aa decreased with increasing reaction time (Entry 30). The information of spectral copies of 1HNMR, and 13CNMR can refer to Supplementary Material.
Table 1.
Optimization of the reaction conditions a.
With the optimal reaction conditions for the synthesis of 3aa at hand, we explored the substrate scope of the N-benzyl cyanamide (2a), as shown in Scheme 2. It is noteworthy that the electronic properties of the substituents on the aromatic ring system had little effect on the efficiency of this reaction. N-benzyl cyanamides with electron-neutral (H), electron-donating (2-Me, 3-Me, 3,4-dimethyl., 2-OMe, 3-OMe, 4-OMe, 3,4-(OCH2O)-), and halogen-substituted (4-F, 3-Cl, 2-Br, 3-Br, 4-I) groups attached to the benzene ring were smoothly transformed into their corresponding products in good to excellent yields (60–92%; 3aa–3am). The substrate with an electron-withdrawing (4-CN) group on its benzene ring was transformed into the corresponding product in good yield (60%; 3an). Additionally, moderate to good yields were obtained for heteroaromatic (2-thienyl) group substrates (68%; 3ao). To our satisfaction, a substrate containing a sterically hindered 2-naphthyl group was converted into the desired product (3ap) in high yield (84%). The structure of 3aa was identified by single-crystal X-ray diffraction (CCDC:2294005).
Scheme 2.
Scope of N-benzyl cyanamides.Reactions were carried out with 1a (1.0 mmol, 1.0 equiv.), 2 (1.5 mmol, 1.5 equiv.), HCl (2.0 mmol, 2.0 equiv.), and HFIP (5 mL) heated to 70 °C in an oil bath for 1 h. Isolated yields are shown.
Encouraged by these results described above, next, we examined the scope of 2-amino aryl ketones (1) (Scheme 3). As expected, Substrate (1) substituted at either the 4- or 5-position was effective under the reaction conditions. Substrate (1) with electron-donating (1,3-benzodioxole) or electron-withdrawing (6-Br, 6-I, and 6-(3-MeOC6H4) groups attached to the benzene ring were transformed into their corresponding products in good to high yields (3ba–3fa; 50–84%). 2-Aminobenzaldehyde (1g), (2-aminophenyl)(phenyl)methanone (1h) and (2-aminophenyl)(4-fluorophenyl)methanone (1i) substrates were well-tolerated by the reaction, affording the desired products (3ga–3ia) in 62–77% yields.
Scheme 3.
Scope of 2-amino aryl ketones. Reactions were carried out with 1 (1.0 mmol, 1.0 equiv), 2a (1.5 mmol, 1.5 equiv), HCl (2.0 mmol, 2.0 equiv), and HFIP (5 mL) heated to 70 °C in an oil bath for 1 h. Isolated yields are shown.
To our satisfaction, when 2-aminoacetophenone was accidentally replaced with 2-aminobenzonitrile, 3-benzyl-4-imino-3,4-dihydroquinazolin-2-amine (5aa) was obtained. We further investigated the substrate scope of N-benzyl cyanamides (Scheme 4). As shown in the table, unsubstituted 2-aminobenzonitrile offered a 75% isolated yield of 5aa, Substrate (2) with electron-donating (2-Me and 2-OMe) and electron-withdrawing (6-F and 6-Cl) groups attached to the benzene ring was transformed smoothly into the corresponding products in good to high yields (5ab–5ae; 55–80%). Notably, even when the substrate contained a sterically hindered 2-naphthyl group, the desired product (5af) was obtained in a 66% yield. For 2-aminobenzonitriles bearing an electron-donating 4-Me group and a 4-Cl group, the reaction performed well, affording the desired products (5ag–5ah) in 70 and 72% yields, respectively. In addition, the structure of compound 5ab was determined by X-ray crystallographic analysis (CCDC:2294029) (Tables S1 and S2).
Scheme 4.
Scope of 2-aminobenzonitriles. Reactions were carried out with 4 (1.0 mmol, 1.0 equiv.), 2 (1.5 mmol, 1.5 equiv.), HCl (2.0 mmol, 2.0 equiv.), and HFIP (5 mL) heated to 70 °C in an oil bath for 1 h. Isolated yields are shown.
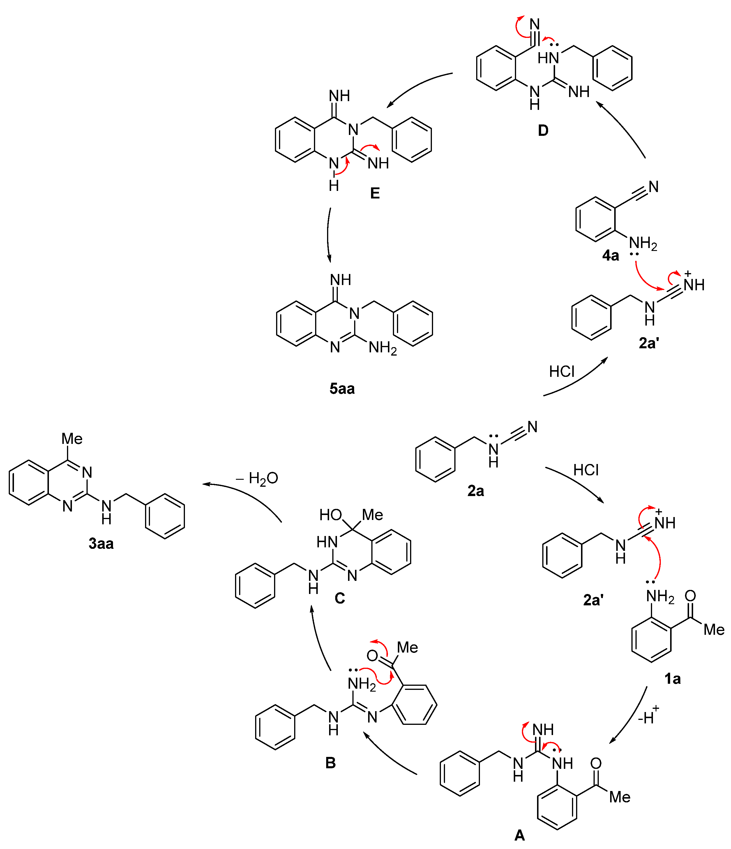
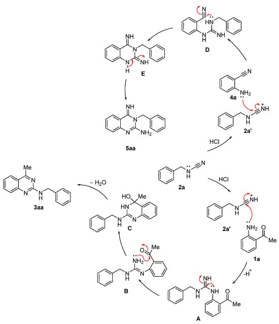
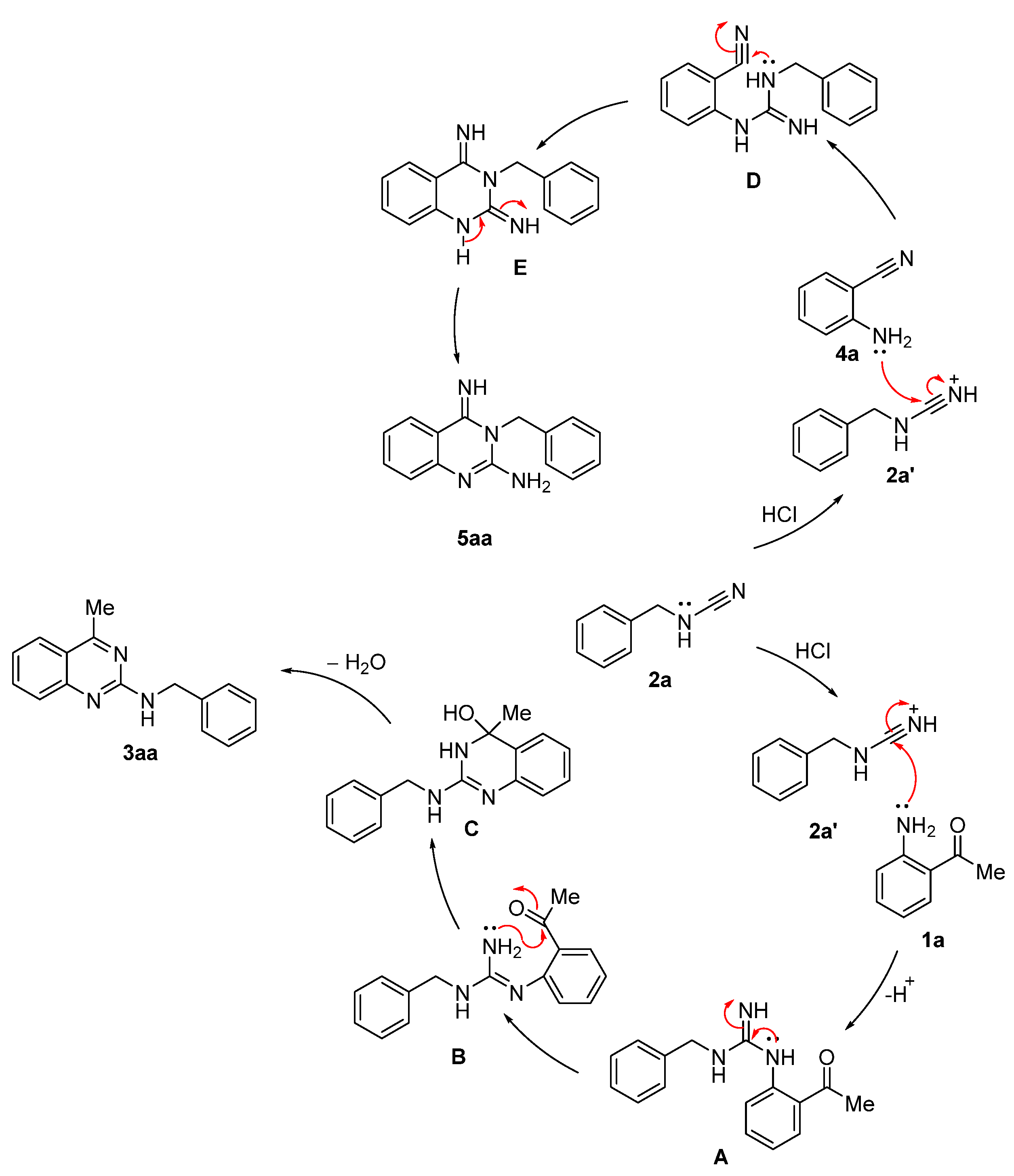
On the basis of these results, a plausible mechanism was proposed for the formation of 2-aminoquinazolines (Scheme 5). Initially, N-benzyl cyanamide (2a) was protonated under acidic conditions (forming 2a′), which increases the electrophilic character of the cyanamide carbon. This allowed the amino group of 1a the attack on the protonated cyanogen group, forming the amidine intermediate A, which underwent isomerization, leading to intermediate B. Intermediate B underwent intramolecular cyclization through nucleophilic addition of the amino group to the carbonyl group, transforming into C. Finally, intermediate C was converted to the desired product, 2-aminoquinazoline 3aa, through an aromatization reaction with the elimination of H2O. The mechanism for the preparation of 5aa from 2a and 2-aminobenzonitrile (4a) differs from the above mechanism. First, the amino group of 2-aminobenzonitrile 4a attacks the electrophilic carbon of 2a′ to form amidine intermediate D. Then, intermediate D undergoes intramolecular cyclization into E through nucleophilic addition, which transforms into 5aa by intramolecular isomerization.
Scheme 5.
A plausible mechanism.
3. Conclusions
In summary, we developed a hydrochloric acid-mediated [4+2] annulation synthesis of 2-aminoquinazoline derivatives from N-benzyl cyanamides and 2-amino aryl ketones. In addition, 2-amino-4-iminoquinazolines were produced from the reaction of N-benzyl cyanamides with 2-aminobenzonitriles. These reactions tolerate a wide range of substrates and exhibit good functional group tolerance. Further studies on this method for the synthesis of biologically active compounds are in progress in our laboratory.
4. Experimental Section
General Information. Unless otherwise noted, all commercially available compounds were used as provided without further purification. TLC analysis was performed using precoated glass plates. For column chromatography, a 200–300 mesh silica gel was used. 1H NMR spectra were determined at 25 °C on a 500 or a 600 MHz spectrometer. 13C{1H} NMR spectra were determined at 25 °C on a 125 or a 150 MHz spectrometer (Bruker AVANCE II 500 and Bruker AVANCE III 600, Billerica, MA, USA). Chemical shifts are given in ppm relative to the internal standard of tetramethyl silane (TMS). HRMS were obtained by using UPLC G2-XS QTof MS equipped with an ESI source. Melting points were determined using an XT-4 apparatus and not corrected. 1H NMR chemical shifts were referenced to CDCl3 (TMS, 7.26 ppm). 13C NMR chemical shifts were referenced to CDCl3 (TMS, 77.00 ppm).
General procedure for the synthesis of 3aa: The mixture of 2-Aminoacetophenone 1a (135.2 mg, 1.0 mmol), N-benzyl cyanamide 2a (198.3 mg, 1.5 mmol) and hydrochloric acid (72.9 mg, 2.0 mmol) was soluted in HFIP (5 mL). Then, the resulting mixture was stirred at 70 °C for 1 h. The residue was extracted with ethylacetate, the organic layer was washed with brine and dried over Na2SO4. The solvent was removed under reduced pressure and the residue was purified by silica gel column chromatography. Product 3aa was obtained in an 85% yield (211.8 mg).
General procedure for the synthesis of 5aa: The mixture of 2-Aminobenzonitrile 4a (118.1 mg, 1.0 mmol), N-benzyl cyanamide 2a (198.3 mg, 1.5 mmol) and hydrochloric acid (72.9 mg, 2.0 mmol) was soluted in HFIP (5 mL). Then, the resulting mixture was stirred at 70 °C for 1 h. After the disappearance of the reactant (monitored by TLC), the residue was extracted with ethylacetate 3 times (3 × 50 mL), the organic layer was washed with brine and dried over anhydrous Na2SO4. The solvent was removed under reduced pressure and the residue was purified by silica gel column chromatography. Product 5aa was obtained in a 75% yield (188.5 mg).
4.1. N-Benzyl-4-methylquinazolin-2-amine (3aa)
Yield 85% (211.8 mg); Rf (Pet/EtOAc; 6:1) 0.25; white solid; m.p. 116–118 °C; 1H NMR (500 MHz, CDCl3): δ (ppm) 7.85 (d, J = 8.3 Hz, 1H), 7.66–7.59 (m, 2H), 7.41 (d, J = 7.5 Hz, 2H), 7.33 (t, J = 7.5 Hz, 2H), 7.26 (t, J = 8.5 Hz, 1H), 7.22 (t, J = 8.0 Hz, 1H), 5.48 (s, 1H), 4.77 (d, J = 6 Hz, 2H), 2.76 (s, 3H); 13C{1H} NMR (125 MHz, CDCl3): δ (ppm) 169.5, 158.8, 151.9, 139.4, 133.6, 128.5, 127.7, 127.2, 126.3, 125.3, 122.3, 119.8, 45.6, 21.6; HRMS (ESI): m/z [M+H]+ calcd for C16H16N3: 250.1344; found: 250.1343.
4.2. 4-Methyl-N-(2-methylbenzyl)quinazolin-2-amine (3ab)
Yield 92% (242.1 mg); Rf (Pet/EtOAc; 8:1) 0.25; white solid; m.p. 145–146 °C; 1H NMR (500 MHz, CDCl3): δ (ppm) 7.85 (d, J = 8.0 Hz, 1H), 7.66–7.60 (m, 2H), 7.37 (d, J = 6.5 Hz, 1H), 7.23–7.15 (m, 4H), 5.31 (s, 1H), 4.73 (d, J = 5.5 Hz, 2H), 2.76 (s, 3H), 2.41 (s, 3H); 13C{1H} NMR (125 MHz, CDCl3): δ (ppm) 169.5, 158.7, 151.9, 137.0, 136.5, 133.6, 130.4, 128.4, 127.4, 126.3, 126.1, 125.3, 122.3, 119.8, 43.7, 21.6, 19.1; HRMS (ESI): m/z [M+H]+ calcd for C17H18N3: 264.1501; found: 264.1497.
4.3. 4-Methyl-N-(4-methylbenzyl)quinazolin-2-amine (3ac)
Yield 87% (228.9 mg); Rf (Pet/EtOAc; 8:1) 0.30; white solid; m.p. 119–120 °C; 1H NMR (500 MHz, CDCl3): δ (ppm) 7.84 (d, J = 8.0 Hz, 1H), 7.65–7.59 (m, 2H), 7.29 (d, J = 8.0 Hz, 2H), 7.22 (t, J = 8.0 Hz, 1H), 7.13 (d, J = 7.5 Hz, 2H), 5.44 (s, 1H), 4.72 (d, J = 5.5 Hz, 2H), 2.75 (s, 3H), 2.33 (s, 3H); 13C{1H} NMR (125 MHz, CDCl3): δ (ppm) 169.5, 158.8, 151.9, 136.8, 136.3, 133.6, 129.2, 127.7, 126.3, 125.3, 122.2, 119.8, 45.4, 21.6, 21.1; HRMS (ESI): m/z [M+H]+ calcd for C17H18N3: 264.1501; found: 264.1505.
4.4. N-(3,4-Dimethylbenzyl)-4-methylquinazolin-2-amine (3ad)
Yield 79% (179.5 mg); Rf (Pet/EtOAc; 8:1) 0.30; white solid; m.p. 109–110 °C; 1H NMR (500 MHz, CDCl3): δ (ppm) 7.85 (d, J = 7.7 Hz, 1H), 7.66–7.60 (m, 2H), 7.22 (t, J = 8.0 Hz, 1H), 7.18 (s, 1H), 7.14 (d, J = 7.5 Hz, 1H), 7.09 (d, J = 7.7 Hz, 1H), 5.45 (s, 1H), 4.69 (d, J = 5.7 Hz, 2H), 2.76 (s, 3H), 2.24 (s, 6H); 13C{1H} NMR (125 MHz, CDCl3): δ (ppm) 169.5, 158.8, 151.9, 136.7, 136.7, 135.4, 133.6, 129.8, 129.1, 126.2, 125.3, 125.2, 122.2, 119.8, 45.4, 21.6, 19.7, 19.4; HRMS (ESI): m/z [M+H]+ calcd for C18H20N3: 278.1657; found: 278.1659.
4.5. N-(2-Methoxybenzyl)-4-methylquinazolin-2-amine (3ae)
Yield 80% (223.3 mg); Rf (Pet/EtOAc; 4:1) 0.35; white solid; m.p. 134–135 °C; 1H NMR (500 MHz, CDCl3): δ (ppm) 7.82 (d, J = 8.0 Hz, 1H), 7.64–7.58 (m, 2H), 7.42 (d, J = 7.5 Hz, 1H), 7.26–7.16 (m, 2H), 6.91–6.87 (m, 2H),5.62 (s, 1H), 4.76 (d, J = 6.0 Hz, 2H), 3.87 (s, 3H), 2.74 (s, 3H); 13C{1H} NMR (125 MHz, CDCl3): δ (ppm) 169.3, 158.9, 157.7, 152.0, 133.5, 129.6, 128.4, 127.4, 126.2, 125.2, 122.0, 120.4, 119.7, 110.1, 55.3, 41.1, 21.6; HRMS (ESI): m/z [M+H]+ calcd for C17H18N3O: 280.1450; found: 280.1454.
4.6. N-(3-Methoxybenzyl)-4-methylquinazolin-2-amine (3af)
Yield 77% (214.9 mg); Rf (Pet/EtOAc; 4:1) 0.30; white solid; m.p. 125–126 °C; 1H NMR (500 MHz, CDCl3): δ (ppm) 7.85 (d, J = 9.0 Hz, 1H), 7.66–7.59 (m, 2H), 7.24–7.20 (m, 2H), 7.00–6.97 (m, 2H), 6.80 (d, J = 8.0 Hz, 1H), 5.47 (s, 1H), 4.75 (d, J = 6.0 Hz, 2H), 3.79 (s, 3H), 2.76 (s, 3H); 13C{1H} NMR (125 MHz, CDCl3): δ (ppm) 169.5, 159.8, 158.8, 151.9, 141.0, 133.6, 129.5, 126.3, 125.3, 122.3, 120.0, 119.9, 113.2, 112.7, 55.3, 45.6, 21.6; HRMS (ESI): m/z [M+H]+ calcd for C17H18N3O: 280.1450; found: 280.1450.
4.7. N-(4-Methoxybenzyl)-4-methylquinazolin-2-amine (3ag)
Yield 90% (251.2 mg); Rf (Pet/EtOAc; 4:1) 0.25; white solid; m.p. 97–98 °C; 1H NMR (500 MHz, CDCl3): δ (ppm) 7.84 (d, J = 8.0 Hz, 1H), 7.66–7.59 (m, 2H), 7.32 (d, J = 8.5 Hz, 2H), 7.26–7.19 (m, 1H), 6.88–6.84 (m, 2H), 5.46 (s, 1H), 4.68 (d, J = 5.5 Hz, 2H), 3.78 (s, 3H), 2.75 (s, 3H); 13C{1H} NMR (125 MHz, CDCl3): δ (ppm) 169.4, 158.8, 158.7, 151.9, 133.6, 131.4, 129.0, 126.2, 125.3, 122.2, 119.8, 113.9, 55.3, 45.1, 21.5; HRMS (ESI): m/z [M+H]+ calcd for C17H18N3O: 280.1450; found: 280.1452.
4.8. N-(Benzo[d][1,3]dioxol-5-ylmethyl)-4-methylquinazolin-2-amine (3ah)
Yield 60% (175.9 mg); Rf (Pet/EtOAc; 4:1) 0.30; white solid; m.p. 110–111 °C; 1H NMR (500 MHz, CDCl3): δ (ppm) 7.85 (d, J = 6.5 Hz, 1H), 7.66–7.59 (m, 2H), 7.22 (t, J = 6.5 Hz, 1H), 6.91 (s, 1H), 6.86 (d, J = 6.5 Hz, 1H), 6.76 (d, J = 7.0 Hz, 1H), 5.92 (s, 2H), 5.47 (s, 1H), 4.66 (d, J = 5.0 Hz, 2H),2.76 (s, 3H); 13C{1H} NMR (125 MHz, CDCl3): δ (ppm) 169. 6, 158.6, 151.7, 147.7, 146.7, 133.6, 133.2, 126.2, 125.3, 122.3, 120.9, 119.8, 108.4, 108.2, 100.9, 45.3, 21.6; HRMS (ESI): m/z [M+H]+ calcd for C17H16N3O2: 294.1243; found: 294.1235.
4.9. N-(4-Fluorobenzyl)-4-methylquinazolin-2-amine (3ai)
Yield 90% (240.4 mg); Rf (Pet/EtOAc; 5:1) 0.30; white solid; m.p. 109–110 °C; 1H NMR (500 MHz, CDCl3): δ (ppm) 7.86 (d, J = 9.0 Hz, 1H), 7.65 (t, J = 7.5 Hz, 1H), 7.60 (d, J = 8.0 Hz, 1H), 7.39–7.36 (m, 2H), 7.23 (t, J = 8.0 Hz, 1H), 7.00 (t, J = 9.0 Hz, 2H), 5.46 (s, 1H), 4.73 (d, J = 6.0 Hz, 2H), 2.76 (s, 3H); 13C{1H} NMR (125 MHz, CDCl3): δ (ppm) 169.6, 163.0, 161.1, 158.6, 151.8, 135.2, 129.4, 126.3, 125.3, 122.4, 119.9, 115.4, 44.8, 21.6; HRMS (ESI): m/z [M+H]+ calcd for C16H15N3F: 268.1250; found: 268.1254.
4.10. N-(3-Chlorobenzyl)-4-methylquinazolin-2-amine (3aj)
Yield 86% (243.5 mg); Rf (Pet/EtOAc; 5:1) 0.30; white solid; m.p. 115–116 °C; 1H NMR (500 MHz, CDCl3): δ (ppm) 7.85 (d, J = 8.5 Hz, 1H), 7.66–7.58 (m, 2H), 7.40 (s, 1H), 7.28–7.20 (m, 4H), 5.60 (s, 1H), 4.75 (d, J = 6.0 Hz, 2H), 2.76 (s, 3H); 13C{1H} NMR (125 MHz, CDCl3): δ (ppm) 169.6, 158.6, 151.7, 141.7, 134.3, 133.7, 129.7, 127.7, 127.2, 126.3, 125.7, 125.3, 122.4, 119.9, 44.9, 21.6; HRMS (ESI): m/z [M+H]+ calcd for C16H15N3Cl: 284.0955; found: 284.0952.
4.11. N-(2-Bromobenzyl)-4-methylquinazolin-2-amine (3ak)
Yield 74% (242.0 mg); Rf (Pet/EtOAc; 8:1) 0.25; white solid; m.p. 141–142 °C; 1H NMR (500 MHz, CDCl3): δ (ppm) 7.84 (d, J = 8.0 Hz, 1H), 7.65–7.53 (m, 4H), 7.26–7.20 (m, 2H), 7.12 (t, J = 7.5 Hz, 1H), 5.67 (s, 1H), 4.84 (d, J = 6.5 Hz, 2H), 2.75 (s, 3H); 13C{1H} NMR (125 MHz, CDCl3): δ (ppm) 169.6, 158.6, 151.8, 138.5, 133.6, 132.7, 130.0, 128.69, 127.4, 126.3, 125.2, 123.8, 122.4, 119.9, 45.6, 21.6; HRMS (ESI): m/z [M+H]+ calcd for C16H15N3Br: 328.0449; found: 328.0450.
4.12. N-(3-Bromobenzyl)-4-methylquinazolin-2-amine (3al)
Yield 79% (258.4 mg); Rf (Pet/EtOAc; 8:1) 0.30; white solid; m.p. 114–115 °C; 1H NMR (500 MHz, CDCl3): δ (ppm) 7.85 (d, J = 9.0 Hz, 1H), 7.67–7.54 (m, 3H), 7.37 (d, J = 8.0 Hz, 1H), 7.32 (d, J = 7.5 Hz, 1H), 7.22 (t, J = 8.5 Hz, 1H), 7.17 (t, J = 7.5 Hz, 1H),5.60 (s, 1H), 4.75 (d, J = 6.5 Hz, 2H), 2.76 (s, 3H); 13C{1H} NMR (125 MHz, CDCl3): δ (ppm) 169.7, 158.6, 151.7, 142.0, 133.7, 130.6, 130.2, 130.0, 126.3, 126.2, 125.3, 122.6, 122.5, 119.9, 44.8, 21.6; HRMS (ESI): m/z [M+H]+ calcd for C16H15N3Br: 328.0449; found: 328.0439.
4.13. N-(4-Iodobenzyl)-4-methylquinazolin-2-amine (3am)
Yield 72% (270.0 mg); Rf (Pet/EtOAc; 8:1) 0.30; white solid; m.p. 177–178 °C; 1H NMR (500 MHz, CDCl3): δ (ppm) 7.85 (d, J = 9.0 Hz, 1H), 7.68–7.55 (m, 4H), 7.25–7.20 (m, 1H), 7.15 (d, J = 8.5 Hz, 2H), 5.52 (s, 1H), 4.71 (d, J = 6.0 Hz, 2H), 2.76 (s, 3H); 13C{1H} NMR (125 MHz, CDCl3): δ (ppm) 169.6, 158.6, 151.7, 139.3, 137.5, 133.7, 129.6, 126.3, 125.3, 122.5, 119.9, 92.4, 44.9, 21.6; HRMS (ESI): m/z [M+H]+ calcd for C16H15N3I: 376.0311; found: 376.0314.
4.14. 4-(((4-Methylquinazolin-2-yl)amino)methyl)benzonitrile (3an)
Yield 60% (164.5 mg); Rf (Pet/EtOAc; 6:1) 0.30; white solid; m.p. 178–179 °C; 1H NMR (600 MHz, CDCl3): δ (ppm) 7.88 (d, J = 7.8 Hz, 1H), 7.67 (t, J = 8.4 Hz, 1H), 7.62–7.56 (m, 3H), 7.51 (d, J = 8.4 Hz, 2H), 7.25 (t, J = 6.0 Hz, 1H), 5.60 (s, 1H), 4.84 (d, J = 6.6 Hz, 2H), 2.78 (s, 3H); 13C{1H} NMR (150 MHz, CDCl3): δ (ppm) 166.6, 161.6, 152.8, 145.3, 133.9, 132.3, 128.0, 125.4, 122.8, 118.9, 110.8, 100.4, 100.0, 45.0, 21.7; HRMS (ESI): m/z [M+H]+ calcd for C17H15N4: 275.1297; found: 275.1293.
4.15. 4-Methyl-N-(thiophen-2-ylmethyl)quinazolin-2-amine (3ao)
Yield 68% (173.5 mg); Rf (Pet/EtOAc; 8:1) 0.35; white solid; m.p. 131–132 °C; 1H NMR (500 MHz, CDCl3): δ (ppm) 7.86 (d, J = 9.0 Hz, 1H), 7.69–7.61 (m, 2H), 7.23 (t, J = 7.5 Hz, 1H), 7.19 (d, J = 5.0 Hz, 1H), 7.05 (d, J = 4.0 Hz, 1H),6.95–6.94 (m, 1H), 5.50 (s, 1H), 4.93 (d, J = 6.0 Hz, 2H), 2.77 (s, 3H); 13C{1H} NMR (125 MHz, CDCl3): δ (ppm) 169.6, 158.3, 151.7, 142.3, 133.7, 126.6, 126.3, 125.5, 125.3, 124.7, 122.5, 119.9, 40.5, 21.6; HRMS (ESI): m/z [M+H]+ calcd for C14H14N3S: 256.0908; found: 256.0906.
4.16. 4-Methyl-N-(naphthalen-2-ylmethyl)quinazolin-2-amine (3ap)
Yield 84% (251.3 mg); Rf (Pet/EtOAc; 4:1) 0.30; white solid; m.p. 150–151 °C; 1H NMR (500 MHz, CDCl3): δ (ppm) 7.87–7.78 (m, 5H), 7.67–7.60 (m, 2H), 7.53 (d, J = 8.5 Hz, 1H), 7.47–7.42 (m, 2H), 7.22 (t, J = 8.0 Hz, 1H), 5.59 (s, 1H), 4.94 (d, J = 6.0 Hz, 2H), 2.77 (s, 3H); 13C{1H} NMR (125 MHz, CDCl3): δ (ppm) 169.6, 158.8, 151.9, 136.9, 133.6, 133.5, 132.7, 128.3, 127.73, 127.65, 126.3, 126.1, 126.0, 126.0, 125.7, 125.3, 122.4, 119.9, 45.7, 21.6; HRMS (ESI): m/z [M+H]+ calcd for C20H18N3: 300.1501; found: 300.1500.
4.17. N-Benzyl-8-methyl-[1,3]dioxolo [4,5-g]quinazolin-6-amine (3ba)
Yield 84% (246.2 mg); Rf (Pet/EtOAc; 10:1) 0.33; white solid; m.p. 157–158 °C; 1H NMR (500 MHz, CDCl3): δ (ppm) 7.39 (d, J = 7.5 Hz, 2H), 7.34–7.28 (m, 2H), 7.27–7.23 (m, 1H), 7.11 (s, 1H), 6.94 (s, 1H), 6.03 (s, 2H), 5.30 (s, 1H), 4.72 (d, J = 6.0 Hz, 2H), 2.64 (s, 3H); 13C{1H} NMR (125 MHz, CDCl3): δ (ppm) 166.6, 158.7, 153.5, 151.2, 144.6, 139.7, 128.5, 127.6, 127.1, 115.2, 103.4, 101.5, 101.0, 45.6, 21.8; HRMS (ESI): m/z [M+H]+ calcd for C17H16N3O2: 294.1243; found: 294.1240.
4.18. N-Benzyl-6-bromo-4-methylquinazolin-2-amine (3ca)
Yield 81% (264.9 mg); Rf (Pet/EtOAc; 10:1) 0.30; white solid; m.p. 166–167 °C; 1H NMR (600 MHz, CDCl3): δ (ppm) 7.98 (s, 1H), 7.69 (d, J = 9.0 Hz, 1H), 7.47 (d, J = 9.0 Hz, 2H), 7.39 (d, J = 7.2 Hz, 2H), 7.34 (t, J = 7.2 Hz, 1H), 5.57 (s, 1H), 4.75 (d, J = 6.0 Hz, 2H), 2.72 (s, 3H); 13C{1H} NMR (150 MHz, CDCl3): δ (ppm) 167.8, 158.7, 139.9, 139.0, 136.8, 128.6, 127.7, 127.6, 127.3, 120.9, 114.9, 109.2, 45.5, 21.6; HRMS (ESI): m/z [M+H]+ calcd for C16H15N3Br: 328.0449; found: 328.0446.
4.19. N-Benzyl-6-iodo-4-methylquinazolin-2-amine (3da)
Yield 78% (292.5 mg); Rf (Pet/EtOAc; 8:1) 0.30; white solid; m.p. 175–176 °C; 1H NMR (500 MHz, CDCl3): δ (ppm) 8.18 (d, J = 2.0 Hz, 1H), 7.84 (d, J = 9.0 Hz, 1H), 7.39 (d, J = 7.5 Hz, 2H), 7.33 (t, J = 7.5 Hz, 3H), 7.29–7.25 (m, 1H), 5.53 (s, 1H), 4.74 (d, J = 5.5 Hz, 2H), 2.71 (s, 3H); 13C{1H} NMR (125 MHz, CDCl3): δ (ppm) 168.5, 158.8, 151.0, 142.0, 139.1, 134.1, 128.6, 128.2, 127.7, 127.3, 121.8, 85.3, 45.5, 21.6; HRMS (ESI): m/z [M+H]+ calcd for C16H15N3I: 376.0311; found: 376.0315.
4.20. N-Benzyl-4-methyl-6-phenylquinazolin-2-amine (3ea)
Yield 64% (208.3 mg); Rf (Pet/EtOAc; 8:1) 0.30; white solid; m.p. 148–149 °C; 1H NMR (600 MHz, CDCl3): δ (ppm) 8.03 (s, 1H), 7.95 (d, J = 8.4 Hz, 1H), 7.70 (d, J = 9.0 Hz, 1H), 7.65 (d, J = 7.8 Hz, 2H), 7.49 (t, J = 7.2 Hz, 2H), 7.43–7.34 (m, 5H), 7.28 (t, J = 7.8 Hz, 1H), 5.61 (s, 1H), 4.81 (d, J = 6.0 Hz, 2H), 2.84 (s, 3H); 13C{1H} NMR (150 MHz, CDCl3): δ (ppm) 169.8, 158.6, 151.0, 140.5, 139.2, 135.3, 133.2, 128.9, 128.5, 127.7, 127.3, 127.2, 127.0, 126.5, 123.2, 119.9, 45.5, 21.7; HRMS (ESI): m/z [M+H]+ calcd for C16H15N3I: 326.1657; found: 326.1662.
4.21. N-Benzyl-6-(3-methoxyphenyl)-4-methylquinazolin-2-amine (3fa)
Yield 50% (177.7 mg); Rf (Pet/EtOAc; 8:1) 0.30; white solid; m.p. 146–147 °C; 1H NMR (600 MHz, CDCl3): δ (ppm) 8.02 (s, 1H), 7.92 (d, J = 9.0 Hz, 1H), 7.68 (d, J = 9.0 Hz, 1H), 7.43–7.34 (m, 3H), 7.34 (t, J = 7.2 Hz, 2H), 7.28 (d, J = 7.2 Hz, 1H), 7.24 (d, J = 7.8 Hz, 1H), 7.18 (s, 1H), 6.93 (d, J = 8.4 Hz, 1H), 5.58 (s, 1H), 4.80 (d, J = 7.2 Hz, 2H), 3.90 (s, 3H), 2.82 (s, 3H); 13C{1H} NMR (150 MHz, CDCl3): δ (ppm) 160.1, 148.9, 142.0, 139.1, 133.4, 130.3, 130.0, 128.6, 127.7, 127.3, 123.3, 119.6, 113.1, 112.5, 103.4, 102.9, 95.0, 55.4, 45.6, 21.8; HRMS (ESI): m/z [M+H]+ calcd for C23H22N3O: 356.1763; found: 356.1764.
4.22. N-Benzylquinazolin-2-amine (3ga)
Yield 73% (171.8 mg); Rf (Pet/EtOAc; 4:1) 0.30; white solid; m.p. 122–123 °C; 1H NMR (500 MHz, CDCl3): δ (ppm) 8.71 (s, 1H), 7.67–7.58 (m, 3H), 7.42 (d, J = 7.0 Hz, 2H), 7.33 (t, J = 7.5 Hz, 2H), 7.29–7.19 (m, 2H), 6.21 (s, 1H), 4.77 (d, J = 5.5 Hz, 2H); 13C{1H} NMR (125 MHz, CDCl3): δ (ppm) 161.9, 159.5, 152.1, 139.2, 134.2, 128.6, 127.8, 127.5, 127.2, 125.6, 122.5, 120.6, 45.7; HRMS (ESI): m/z [M+H]+ calcd for C15H14N3: 236.1188; found: 236.1189.
4.23. N-Benzyl-4-phenylquinazolin-2-amine (3ha)
Yield 66% (205.5 mg); Rf (Pet/EtOAc; 4:1) 0.25; white solid; m.p. 153–154 °C; 1H NMR (600 MHz, CDCl3): δ (ppm) 7.82 (d, J = 7.8 Hz, 1H), 7.70–7.65 (m, 4H), 7.53 (s, 3H), 7.43 (d, J = 6.0 Hz, 2H), 7.33 (t, J = 7.8 Hz, 2H), 7.27 (t, J = 7.2 Hz, 1H), 7.17 (t, J = 7.8 Hz, 1H), 5.70 (s, 1H), 4.81 (d, J = 6.0 Hz, 2H); 13C{1H} NMR (150 MHz, CDCl3): δ (ppm) 170.1, 158.8, 153.2, 139.3, 137.4, 133.8, 129.7, 129.5, 128.5, 128.4, 127.7, 127.5, 127.2, 126.1, 122.5, 118.6, 45.7; HRMS (ESI): m/z [M+H]+ calcd for C21H18N3: 312.1501; found: 312.1499.
4.24. N-Benzyl-4-(4-fluorophenyl)quinazolin-2-amine (3ia)
Yield 62% (204.2 mg); Rf (Pet/EtOAc; 4: 1) 0.35; white solid; m.p. 168–170 °C; 1H NMR (600 MHz, CDCl3): δ (ppm) 7.79 (d, J = 8.4 Hz, 1H), 7.72–7.66 (m, 4H), 7.43 (d, J = 7.2 Hz, 2H), 7.34 (t, J = 7.2 Hz, 2H), 7.27 (t, J = 7.2 Hz, 2H), 7.24–7.18 (m, 3H), 5.66 (s, 1H), 4.81 (d, J = 5.4 Hz, 2H); 13C{1H} NMR (150 MHz, CDCl3): δ (ppm) 168.9, 164.6, 162.9, 158.7, 153.3, 133.9, 131.6, 128.6, 127.7, 127.2, 127.2, 122.6, 118.5, 115.6, 115.5, 45.6, 29.7; HRMS (ESI): m/z [M+H]+ calcd for C21H17N3F: 330.1407; found: 330.1406.
4.25. 3-Benzyl-4-imino-3,4-dihydroquinazolin-2-amine (5aa)
Yield 75% (188.5 mg); Rf (EtOAc/CH3OH; 8:1) 0.28; white solid; m.p. 186–187 °C; 1H NMR (600 MHz, CDCl3): δ (ppm) 7.72 (d, J = 7.8 Hz, 1H), 7.49 (t, J = 7.8 Hz, 1H), 7.38 (s, 1H), 7.36 (d, J = 7.2 Hz, 2H), 7.33–7.29 (m, 3H), 7.21 (d, J = 7.2 Hz, 1H), 7.17 (t, J = 7.8 Hz, 1H), 5.49 (s, 2H), 4.79 (s, 2H); 13C{1H} NMR (150 MHz, CDCl3): δ (ppm) 158.7, 151.6, 145.8, 135.4, 132.8, 129.3, 127.9, 126.2, 124.8, 124.2, 122.9, 116.3, 46.9; HRMS (ESI): m/z [M+H]+ calcd for C15H14N3O: 252.1137; found: 252.1139.
4.26. 4-Imino-3-(2-methylbenzyl)-3,4-dihydroquinazolin-2-amine (5ab)
Yield 80% (212.1 mg); Rf (EtOAc/CH3OH; 10:1) 0.32; white solid; m.p. 221–222 °C; 1H NMR (600 MHz, CDCl3): δ (ppm) 7.72 (d, J = 7.8 Hz, 1H), 7.52 (t, J = 7.8 Hz, 1H), 7.27 (s, 1H), 7.23 (t, J = 7.2 Hz, 2H), 7.22–7.18 (m, 2H), 7.16 (d, J = 9.0 Hz, 1H), 7.03 (d, J = 7.8 Hz, 1H), 5.41 (s, 2H), 4.58 (s, 2H), 2.42 (s, 3H); 13C{1H} NMR (150 MHz, CDCl3): δ (ppm) 158.2, 151.5, 144.8, 135.3, 133.0, 132.2, 130.9, 127.7, 126.9, 124.6, 124.2, 124.1, 123.2, 116.2, 45.1, 19.1; HRMS (ESI): m/z [M+H]+ calcd for C16H17N4: 265.1453; found: 265.1458.
4.27. 4-Imino-3-(2-methoxybenzyl)-3,4-dihydroquinazolin-2-amine (5ac)
Yield 70% (197.0 mg); Rf (EtOAc/CH3OH; 10:1) 0.35; white solid; m.p. 202–203 °C; 1H NMR (600 MHz, CDCl3): δ (ppm) 7.71 (d, J = 7.8 Hz, 1H), 7.49 (d, J = 7.2 Hz, 1H), 7.46 (t, J = 7.8 Hz, 1H), 7.29 (s, 1H), 7.28 (s, 1H), 7.19 (d, J = 7.8 Hz, 1H), 7.13 (t, J = 7.8 Hz, 1H), 6.94–6.92 (m, 2H), 5.46 (s, 2H), 5.25 (s, 2H), 3.93 (s, 3H); 13C{1H} NMR (150 MHz, CDCl3): δ (ppm) 158.8, 156.3, 151.4, 145.8, 132.7, 129.1, 128.7, 124.5, 124.2, 123.6, 122.5, 121.5, 116.1, 110.5, 55.6, 40.4; HRMS (ESI): m/z [M+H]+ calcd for C16H17N4O: 281.1402; found: 281.1397.
4.28. 3-(4-Fluorobenzyl)-4-imino-3,4-dihydroquinazolin-2-amine (5ad)
Yield 60% (161.6 mg); Rf (EtOAc/CH3OH; 14:1) 0.30; white solid; m.p. 195–196 °C; 1H NMR (600 MHz, CDCl3): δ (ppm) 7.72 (d, J = 7.8 Hz, 1H), 7.51 (t, J = 7.8 Hz, 1H), 7.32 (t, J = 5.4 Hz, 2H), 7.25 (s, 1H), 7.24 (s, 1H), 7.19 (t, J = 8.4 Hz, 1H), 7.06 (t, J = 8.4 Hz, 2H), 5.45 (s, 2H), 4.64 (s, 2H); 13C{1H} NMR (150 MHz, CDCl3): δ (ppm) 163.2, 161.6, 158.7, 151.4, 145.7, 132.9, 131.2, 128.0, 127.9, 124.8, 123.0, 116.3, 46.3; HRMS (ESI): m/z [M+H]+ calcd for C15H14N4F: 269.1202; found: 269.1203.
4.29. 3-(4-Chlorobenzyl)-4-imino-3,4-dihydroquinazolin-2-amine (5ae)
Yield 55% (157.2 mg); Rf (EtOAc/CH3OH; 10:1) 0.25; white solid; m.p. 186–187 °C; 1H NMR (600 MHz, CDCl3): δ (ppm) 7.71 (d, J = 7.8 Hz, 1H), 7.51 (t, J = 7.8 Hz, 1H), 7.34 (d, J = 8.4 Hz, 2H), 7.28 (s, 1H), 7.27 (d, J = 9.6 Hz, 2H), 7.24 (d, J = 8.4 Hz, 1H), 7.19 (t, J = 7.8 Hz, 1H), 5.45 (s, 2H), 4.61 (s, 2H); 13C{1H} NMR (150 MHz, CDCl3): δ (ppm) 158.6, 151.4, 145.7, 134.0, 133.8, 132.9, 129.4, 127.6, 124.8, 124.2, 123.0, 116.2, 46.4; HRMS (ESI): m/z [M+H]+ calcd for C15H14N4Cl: 285.0907; found: 285.0901.
4.30. 4-Imino-3-(naphthalen-2-ylmethyl)-3,4-dihydroquinazolin-2-amine (5af)
Yield 66% (198.9 mg); Rf (EtOAc/CH3OH; 10:1) 0.28; white solid; m.p. 218–219 °C; 1H NMR (600 MHz, CDCl3): δ (ppm) 8.06 (d, J = 7.8 Hz, 1H), 7.92 (d, J = 8.4 Hz, 1H), 7.81 (d, J = 8.4 Hz, 1H), 7.61 (t, J = 6.6 Hz, 1H), 7.57 (t, J = 7.2 Hz, 1H), 7.53 (t, J = 8.4 Hz, 1H), 7.41 (t, J = 7.2 Hz, 1H), 7.28 (s, 1H), 7.25 (d, J = 5.4 Hz, 2H), 7.24 (d, J = 7.2 Hz, 1H), 7.20 (t, J = 7.8 Hz, 1H), 5.94 (s, 2H), 4.62 (s, 2H); 13C{1H} NMR (150 MHz, CDCl3): δ (ppm) 161.7, 158.1, 151.6, 149.0, 144.8, 134.0, 133.1, 130.5, 129.3, 129.1, 128.5, 126.7, 126.2, 125.7, 124.3, 123.3, 122.3, 121.9, 44.9; HRMS (ESI): m/z [M+H]+ calcd for C19H17N4: 301.1453; found: 301.1453.
4.31. 3-Benzyl-4-imino-7-methyl-3,4-dihydroquinazolin-2-amine (5ag)
Yield 60% (168.8 mg); Rf (EtOAc/CH3OH; 12:1) 0.30; white solid; m.p. 189–190 °C; 1H NMR (600 MHz, CDCl3): δ (ppm) 7.60 (d, J = 7.8 Hz, 1H), 7.36 (t, J = 7.8 Hz, 2H), 7.32 (d, J = 7.2 Hz, 2H), 7.30 (s, 1H), 7.29 (s, 1H), 7.03 (s, 1H), 7.00 (d, J = 7.8 Hz, 1H), 5.48 (s, 2H), 4.66 (s, 2H), 2.40 (s, 3H); 13C{1H} NMR (150 MHz, CDCl3): δ (ppm) 157.4, 152.2, 144.3, 141.7, 134.7, 129.4, 128.2, 126.2, 125.1, 124.3, 121.8, 112.7, 46.6, 21.6; HRMS (ESI): m/z [M+H]+ calcd for C16H17N4: 265.1453; found: 265.1459.
4.32. 3-Benzyl-7-chloro-4-imino-3,4-dihydroquinazolin-2-amine (5ah)
Yield 65% (185.7 mg); Rf (EtOAc/CH3OH; 10:1) 0.25; white solid; m.p. 185–186 °C; 1H NMR (600 MHz, CDCl3): δ (ppm) 7.63 (d, J = 8.4 Hz, 1H), 7.39 (s, 1H), 7.37 (d, J = 7.2 Hz, 2H), 7.32–7.31 (m, 3H), 7.21 (d, J = 7.8 Hz, 1H), 7.11 (d, J = 8.4 Hz, 1H), 5.46 (s, 2H), 4.72 (s, 2H); 13C{1H} NMR (150 MHz, CDCl3): δ (ppm) 152.3, 147.1, 138.7, 135.1, 129.4, 128.1, 126.1, 125.7, 124.3, 123.2, 114.8, 46.9; HRMS (ESI): m/z [M+H]+ calcd for C15H14N4Cl: 285.0907; found: 285.0906.
Supplementary Materials
The following supporting information can be downloaded at: https://www.mdpi.com/article/10.3390/catal13111447/s1. Table S1. The crystallographic data of 3aa (CCDC: 2294005); Table S2. The crystallographic data of 5ab (CCDC: 2294029); spectral copies of 1HNMR, and 13CNMR.
Author Contributions
Conceptualization, Z.-Y.Q. and W.-M.S.; methodology, W.-M.S. and Z.-Y.Q.; software, Z.-Y.Q. and W.-W.Z.; validation, Z.-Y.Q., C.-X.S., W.-W.Z. and J.-R.L.; formal analysis, C.-X.S. and Y.-X.G.; investigation, Z.-Y.Q.; resources, W.-M.S.,Y.-X.G. and A.-X.W.; data curation, W.-M.S.; writing—original draft preparation, Z.-Y.Q.; writing—review and editing, W.-M.S. and A.-X.W.; visualization, W.-M.S.; supervision, W.-M.S.; project administration, W.-M.S.; funding acquisition, Z.-Y.Q. and W.-M.S. All authors have read and agreed to the published version of the manuscript.
Funding
This research was funded by the National Natural Science Foundation of China (Grant 21801022).
Data Availability Statement
The data presented in this study are available in the article.
Conflicts of Interest
The authors declare no conflict of interest.
References
- Da Silva, J.F.M.; Walters, M.; Al-Damluji, S.; Ganellin, C.R. Molecular features of the prazosin molecule required for activation of Transport-P. Bioorg. Med. Chem. 2008, 16, 7254–7263. [Google Scholar] [CrossRef] [PubMed]
- Khan, I.; Ibrar, A.; Ahmed, W.; Saeed, A. Synthetic approaches, functionalization and therapeutic potential of quinazoline and quinazolinone skeletons: The advances continue. Eur. J. Med. Chem. 2015, 90, 124–169. [Google Scholar] [CrossRef]
- Alagarsamy, V.; Chitra, K.; Saravanan, G.; Solomon, V.R.; Sulthana, M.T.; Narendhar, B. An overview of quinazolines: Pharmacological significance and recent developments. Eur. J. Med. Chem. 2018, 151, 628–685. [Google Scholar] [CrossRef]
- Gupta, T.; Rohilla, A.; Pathak, A.; Akhtar, M.J.; Haider, M.R.; Yar, M.S. Current perspectives on quinazolines with potent biological activities: A review. Synthetic. Commun. 2018, 48, 1099–1127. [Google Scholar] [CrossRef]
- Kung, P.-P.; Casper, M.D.; Cook, K.L.; Wilson-Lingardo, L.; Risen, L.M.; Vickers, T.A.; Ranken, R.; Blyn, L.B.; Wyatt, J.R.; Cook, P.D.; et al. Structure−Activity Relationships of Novel 2-Substituted Quinazoline Antibacterial Agents. J. Med. Chem. 1999, 42, 4705–4713. [Google Scholar] [CrossRef] [PubMed]
- Mohammadi, A.A.; Askari, S.; Rohi, H.; Soorki, A.A. Design, Synthesis, and Antibacterial Evaluation of Some Novel 3′-(Phenylamino)-1′H-spiro[indoline-3,2′-quinazoline]-2,4′(3′H)-dione Derivatives. Synthetic. Commun. 2014, 44, 457–467. [Google Scholar] [CrossRef]
- Seo, W.D.; Ryu, Y.B.; Curtis-Long, M.J.; Lee, C.W.; Ryu, H.W.; Jang, K.C.; Park, K.H. Evaluation of anti-pigmentary effect of synthetic sulfonylamino chalcone. Eur. J. Med. Chem. 2010, 45, 2010–2017. [Google Scholar] [CrossRef]
- Hess, H.J.; Cronin, T.H.; Scriabine, A. Antihypertensive 2-amino-4(3H)-quinazolinones. J. Med. Chem. 1968, 11, 130–136. [Google Scholar] [CrossRef] [PubMed]
- Rasina, D.; Otikovs, M.; Leitans, J.; Recacha, R.; Borysov, O.V.; Kanepe-Lapsa, I.; Domraceva, I.; Pantelejevs, T.; Tars, K.; Blackman, M.J.; et al. Fragment-Based Discovery of 2-Aminoquinazolin-4(3H)-ones As Novel Class Nonpeptidomimetic Inhibitors of the Plasmepsins I, II, and IV. J. Med. Chem. 2016, 59, 374–387. [Google Scholar] [CrossRef]
- Shang, X.-F.; Morris-Natschke, S.L.; Liu, Y.-Q.; Guo, X.; Xu, X.-S.; Goto, M.; Li, J.-C.; Yang, G.-Z.; Lee, K.-H. Biologically active quinoline and quinazoline alkaloids part I. Med. Res. Rev. 2018, 38, 775–828. [Google Scholar] [CrossRef]
- Chandregowda, V.; Kush, A.K.; Chandrasekara Reddy, G. Synthesis and in vitro antitumor activities of novel 4-anilinoquinazoline derivatives. Eur. J. Med. Chem. 2009, 44, 3046–3055. [Google Scholar] [CrossRef] [PubMed]
- Pathania, D.; Sechi, M.; Palomba, M.; Sanna, V.; Berrettini, F.; Sias, A.; Taheri, L.; Neamati, N. Design and discovery of novel quinazolinedione-based redox modulators as therapies for pancreatic cancer. Bba-Gen. Subj. 2014, 1840, 332–343. [Google Scholar] [CrossRef] [PubMed]
- Auti, P.S.; George, G.; Paul, A.T. Recent advances in the pharmacological diversification of quinazoline/quinazolinone hybrids. Rsc. Adv. 2020, 10, 41353–41392. [Google Scholar] [CrossRef] [PubMed]
- Das, D.; Hong, J. Recent advancements of 4-aminoquinazoline derivatives as kinase inhibitors and their applications in medicinal chemistry. Eur. J. Med. Chem. 2019, 170, 55–72. [Google Scholar] [CrossRef] [PubMed]
- Wu, C.-H.; Wang, C.-J.; Chang, C.-P.; Cheng, Y.-C.; Song, J.-S.; Jan, J.-J.; Chou, M.-C.; Ke, Y.-Y.; Ma, J.; Wong, Y.-C.; et al. Function-Oriented Development of CXCR4 Antagonists as Selective Human Immunodeficiency Virus (HIV)-1 Entry Inhibitors. J. Med. Chem. 2015, 58, 1452–1465. [Google Scholar] [CrossRef] [PubMed]
- Chen, M.; Zhang, M.; Xiong, B.; Tan, Z.; Lv, W.; Jiang, H. A Novel Ruthenium-Catalyzed Dehydrogenative Synthesis of 2-Arylquinazolines from 2-Aminoaryl Methanols and Benzonitriles. Org. Lett. 2014, 16, 6028–6031. [Google Scholar] [CrossRef]
- Karnakar, K.; Kumar, A.V.; Murthy, S.N.; Ramesh, K.; Nageswar, Y.V.D. Recyclable graphite oxide promoted efficient synthesis of 2-phenyl quinazoline derivatives in the presence of TBHP as an oxidant. Tetrahedron Lett. 2012, 53, 4613–4617. [Google Scholar] [CrossRef]
- Lin, J.-P.; Zhang, F.-H.; Long, Y.-Q. Solvent/Oxidant-Switchable Synthesis of Multisubstituted Quinazolines and Benzimidazoles via Metal-Free Selective Oxidative Annulation of Arylamidines. Org. Lett. 2014, 16, 2822–2825. [Google Scholar] [CrossRef]
- Jatangi, N.; Palakodety, R.K. I2-Catalyzed oxidative synthesis of N,4-disubstituted quinazolines and quinazoline oxides. Org. Biomol. Chem. 2019, 17, 3714–3717. [Google Scholar] [CrossRef]
- McGowan, M.A.; McAvoy, C.Z.; Buchwald, S.L. Palladium-Catalyzed N-Monoarylation of Amidines and a One-Pot Synthesis of Quinazoline Derivatives. Org. Lett. 2012, 14, 3800–3803. [Google Scholar] [CrossRef]
- Theiling, L.F.; McKee, R.L. 2-Guanidinoquinazolines. J. Am. Chem. Soc. 1952, 74, 1834–1836. [Google Scholar] [CrossRef]
- Zhang, Z.; Tan, J.; Wang, Z. A facile synthesis of 2-methylquinolines via Pd-catalyzed aza-Wacker oxidative cyclization. Org. Lett. 2008, 10, 173–175. [Google Scholar] [CrossRef] [PubMed]
- Xu, P.; Wang, F.; Wei, T.-Q.; Yin, L.; Wang, S.-Y.; Ji, S.-J. Palladium-Catalyzed Incorporation of Two C1 Building Blocks: The Reaction of Atmospheric CO2 and Isocyanides with 2-Iodoanilines Leading to the Synthesis of Quinazoline-2,4(1H,3H)-diones. Org. Lett. 2017, 19, 4484–4487. [Google Scholar] [CrossRef] [PubMed]
- Pathare, R.S.; Maurya, A.K.; Kumari, A.; Agnihotri, V.K.; Verma, V.P.; Sawant, D.M. Synthesis of quinazoline-3-oxides via a Pd(II) catalyzed azide-isocyanide coupling/cyclocondensation reaction. Org. Biomol. Chem. 2019, 17, 363–368. [Google Scholar] [CrossRef]
- Wu, Y.; Liu, N.; Qi, M.; Qiao, H.; Lu, X.; Ma, L.; Zhou, Y.; Zhang, F.-L. Monodentate Transient Directing Group Assisted Ruthenium(II)-Catalyzed Direct ortho-C–H Imidation of Benzaldehydes for Diverse Synthesis of Quinazoline and Fused Isoindolinone. Org. Lett. 2021, 23, 3923–3927. [Google Scholar] [CrossRef]
- Monrad, R.N.; Madsen, R. Ruthenium-catalysed synthesis of 2-and 3-substituted quinolines from anilines and 1,3-diols. Org. Biomol. Chem. 2011, 9, 610–615. [Google Scholar] [CrossRef]
- Lou, M.; Deng, Z.; Mao, X.; Fu, Y.; Yang, Q.; Peng, Y. Rhodium-catalyzed C–H bond activation alkylation and cyclization of 2-arylquinazolin-4-ones. Org. Biomol. Chem. 2018, 16, 1851–1859. [Google Scholar] [CrossRef]
- Hu, F.-P.; Cui, X.-F.; Lu, G.-Q.; Huang, G.-S. Base-promoted Lewis acid catalyzed synthesis of quinazoline derivatives. Org. Biomol. Chem. 2020, 18, 4376–4380. [Google Scholar] [CrossRef]
- Xu, W.; Fu, H. Amino Acids as the Nitrogen-Containing Motifs in Copper-Catalyzed Domino Synthesis of N-Heterocycles. J. Org. Chem. 2011, 76, 3846–3852. [Google Scholar] [CrossRef]
- Xu, C.; Jia, F.-C.; Zhou, Z.-W.; Zheng, S.-J.; Li, H.; Wu, A.-X. Copper-Catalyzed Multicomponent Domino Reaction of 2-Bromoaldehydes, Benzylamines, and Sodium Azide for the Assembly of Quinazoline Derivatives. J. Org. Chem. 2016, 81, 3000–3006. [Google Scholar] [CrossRef]
- Wang, C.; Li, S.; Liu, H.; Jiang, Y.; Fu, H. Copper-Catalyzed Synthesis of Quinazoline Derivatives via Ullmann-Type Coupling and Aerobic Oxidation. J. Org. Chem. 2010, 75, 7936–7938. [Google Scholar] [CrossRef] [PubMed]
- Toh, K.K.; Sanjaya, S.; Sahnoun, S.; Chong, S.Y.; Chiba, S. Copper-Catalyzed Aerobic Intramolecular Carbo- and Amino-Oxygenation of Alkynes for Synthesis of Azaheterocycles. Org. Lett. 2012, 14, 2290–2292. [Google Scholar] [CrossRef]
- Arienzo, R.; Cramp, S.; Dyke, H.J.; Lockey, P.M.; Norman, D.; Roach, A.G.; Smith, P.; Wong, M.; Wren, S.P. Quinazoline and benzimidazole MCH-1R antagonists. Bioorg. Med. Chem. Lett. 2007, 17, 1403–1407. [Google Scholar] [CrossRef] [PubMed]
- Jatangi, N.; Palakodety, R.K. Base-catalyzed synthesis of quinazolines in aqueous medium. Tetrahedron Lett. 2019, 60, 151186–151189. [Google Scholar] [CrossRef]
- Tran, L.Q.; Li, J.; Neuville, L. Copper-Catalyzed Domino Three-Component Approach for the Assembly of 2-Aminated Benzimidazoles and Quinazolines. J. Org. Chem. 2015, 80, 6102–6108. [Google Scholar] [CrossRef]
- Liu, S.; Wang, A.-J.; Li, M.; Zhang, J.; Yin, G.-D.; Shu, W.-M.; Yu, W.-C. Rh(III)-Catalyzed Tandem Reaction Access to (Quinazolin-2-yl)methanone Derivatives from 2,1-Benzisoxazoles and α-Azido Ketones. J. Org. Chem. 2022, 87, 11253–11260. [Google Scholar] [CrossRef]
Disclaimer/Publisher’s Note: The statements, opinions and data contained in all publications are solely those of the individual author(s) and contributor(s) and not of MDPI and/or the editor(s). MDPI and/or the editor(s) disclaim responsibility for any injury to people or property resulting from any ideas, methods, instructions or products referred to in the content. |
© 2023 by the authors. Licensee MDPI, Basel, Switzerland. This article is an open access article distributed under the terms and conditions of the Creative Commons Attribution (CC BY) license (https://creativecommons.org/licenses/by/4.0/).






