Abstract
We report herein a palladium-catalyzed three-component cross-coupling reaction of 2-(trimethylsilyl)phenyl trifluoromethanesulfonate, benzylic/allylic bromides and 1,1-bis[(pinacolato)boryl]methane. The reaction, which affords benzyl boronates as the products, represents the first example of using 1,1-bis[(pinacolato)boryl]methane in a cross-coupling reaction involving benzyne species.
1. Introduction
Multicomponent reactions (MCRs) have been established as an efficient strategy to rapidly build up molecular complexities [1]. MCRs have found wide applications in many areas, including organic synthesis [2,3,4,5,6,7,8,9], chemical biology [10,11], drug developments [12,13] and polymer synthesis [14,15,16]. Thus, it is highly desirable to develop novel MCRs for further expanding the scope of this type of reaction. In this regard, one of the major challenging issues lies in the arrangement of each component in a proper order to react one by one, especially when these components may react with each other. Arynes, as highly reactive components typically generated in situ, have been utilized as one of the reaction partners and inserted into ordinary reactions [17,18,19]. For example, to expand the two-component reaction of Suzuki–Miyaura coupling, Cheng and coworkers developed an π-allylpalladium-involved three-component coupling reaction using arylboronic acids as the terminating reagents (Scheme 1a) [20]. In this transformation, the π-allylpalladium species first react with highly reactive aryne intermediate. Upon carbopalladation of the aryne, the newly formed aryl palladium intermediate reacts with arylboronic acid to afford the three-component product, o-allylbiaryls. In another report, Cheng and co-workers developed a Ni(0)-catalyzed coupling of arynes, alkenes and boronic acids, in which a nickelacycle intermediate is formed through the reaction of Ni(0) with enone and aryne (Scheme 1b) [21]. The same group also developed a series of other three-component reactions based on palladium-catalyzed reactions involving aryne species [22,23,24,25]. Furthermore, Dong and coworkers reported a similar coupling process using a Pd(II)−Pb(II) bimetallic metal−organic framework (MOF) as an active heterogeneous catalyst [26].
Scheme 1.
Arynes as the coupling partners in transition-metal-catalyzed three-component reactions. (a) Pd(0)-catalyzed coupling with allyl halides and arylboronic acids [7]; (b) Ni(0)-catalyzed coupling with vinyl ketones and arylboronic acids [8]; (c) Pd(0)-catalyzed reaction with 1,1-bis[(pinacolato)boryl]methane (this work).
On the other hand, 1,1-bis[(pinacolato)boryl]methane, as a readily available gem-diboronate reagent, has attracted considerable attention in recent years [27,28,29,30,31,32,33]. The gem-diboronates can be successfully employed in transition-metal-catalyzed cross-coupling reactions. In particular, Endo, Shibata and coworkers developed a palladium-catalyzed cross-coupling with 1,1-diborylalkanes with organohalides to afford alkyl boronates [34,35,36,37]. In connection to our interest in the chemistry of 1,1-diborylalkanes [38,39,40], we conceived to apply bis(boryl) methane as one of the substrates in the palladium-catalyzed three-component coupling reaction of arynes and halides (Scheme 1c). To the best of our knowledge, gem-diboronates have not been utilized as substrates in transition-metal-catalyzed reactions involving arynes. The reaction would generate substituted benzyl boronates, which are highly useful, but their preparation is not trivial [41].
2. Results
The preliminary study commenced with 2-(trimethylsilyl)phenyl trifluoromethanesulfonate 1a, (bromomethyl)benzene 2a and 1,1-bis[(pinacolato)boryl]methane 3a as the model substrates. Carefully screening the reaction conditions revealed that DCE was the most suitable solvent (Tables S1 and S2). However, further reaction condition optimization showed no obvious improvements, which was attributed to the low solubility of the reaction substrates in DCE. To circumvent the solubility problem, we then focused on a mixed solvent. While mixing DCE with various solvents failed to improve the reaction, a 1:1 mixture of toluene and acetonitrile afforded a better yield (Table 1, entry 1). With this mixed solvent, we then inspected the influence of catalysts and ligands (Table 1, entries 2–6). The results indicated that the combination of Pd(OAc)2/PPh3 gave the highest yields (Table 1, entry 6). The triarylphosphine ligand was further tuned by introducing substituents onto the para position of the aryl ring (Table 1, entries 7–9). With tris(p-fluorophenyl) phosphine as the ligand, the reaction was further improved. Furthermore, we found that increasing the loading of 2a from 1 equiv to 1.4 equiv led to the optimal yield of 77% after stirring the reaction mixture for 10 h (Table 1, entry 10). Finally, it was observed that the base had a significant effect on the reaction. When the loading of CsF was reduced from 4 equiv to 3 equiv, the yield was diminished (Table 1, entry 11). No desired product could be detected when CsF was replaced by KF (Table 1, entry 12). A combination of KF and 18-crown-6 gave a trace amount of the product (Table 1, entry 13). These results suggested that the countercations had a significant effect on the reaction.
Table 1.
Reaction condition optimization [a].
With optimized reaction conditions (Table 1, entry 10) in hand, we proceeded to study the substrate scope (Scheme 2). First, we investigated the substrate scope with regard to the substituents of benzyl bromides. For the model reaction with 2a, the corresponding product 4a could be isolated in a 75% yield. Notably, the side product due to direct coupling between 2a and 3a was not detected. Various substituents in the para position of benzyl bromides could be tolerant, including electron-withdrawing substituents (CN, F, CO2Me) and electron-donating groups (Me, tBu), affording the corresponding products 4a-h in 58–75% yields. Similarly, the ortho- and meta-substituted benzyl bromides could also be utilized in the reaction, providing the corresponding products 4i–m in moderate yields. Both 1-(bromomethyl)naphthalene and 1-(bromomethyl)naphthalene could participate in this coupling reaction. However, the yields of the products 4n and 4o were low to moderate, which is presumably attributed to the steric effect. 3-Bromomethylthiophene was tolerated well to afford a moderate yield (4p). When (1-bromoethyl)benzene was used as the substrate, none of products were produced, which might be attributed to the steric effects and the possible β-H elimination.
Scheme 2.
Substrate scope of the three-component coupling. [a] The yield in the bracket refers to the reaction in which allyl iodide was used instead of allyl bromide. [b] 1-Bromo-3-methylbut-2-ene was used as substrate 2. [c] 2-Methoxy-6-(trimethylsilyl)phenyl trifluoromethanesulfinate was used as substrate 1.
Subsequently, we turned our attention to allylic bromides. In the cases when the structure of π-allylpalladium was symmetrical, a single product was obtained in each case (4q–s). However, if an unsymmetrical π-allylpalladium was generated, a pair of isomers were obtained with essentially no selectivity (4t and 4t’). Moreover, we also investigated the reaction with iodobenzene as the electrophilic reagent. The reaction worked, but only giving the product 4u in a low yield. Other electrophiles, including ethyl bromoacetate and alkyl iodide, were found unsuitable for this coupling reaction.
For the scope of the aryne precursor, a MeO-substituted substrate was examined. The reaction gave a mixture of isomeric products 4v and 4v’ in low yields, and the reaction was essentially nonselective. Finally, a series of substituted gem-diboronates were examined. However, the substituted diboronates did not participate in the coupling reaction, which was consistent with the above-mentioned observations, namely that the reaction was quite sensitive to steric hindrance.
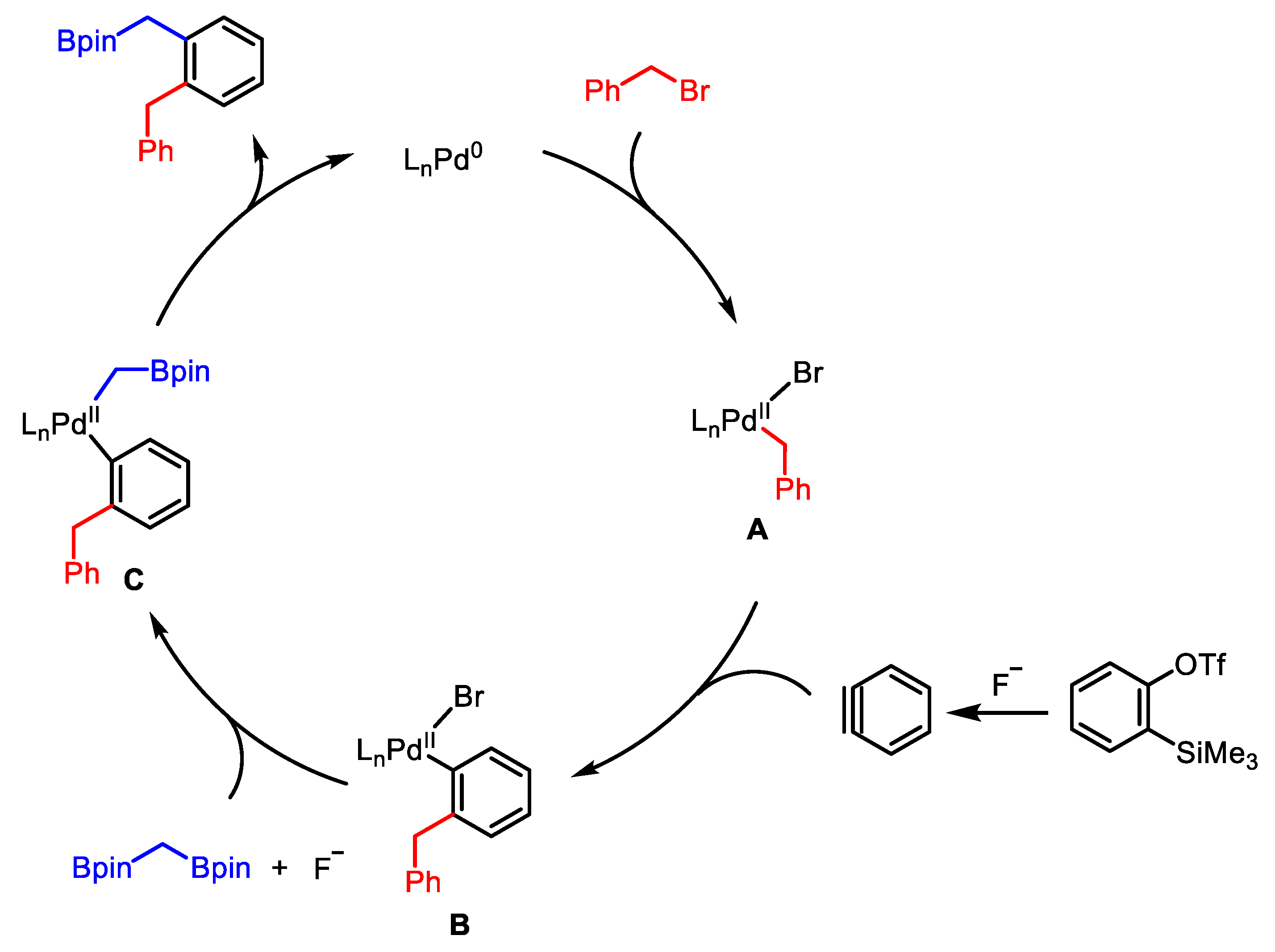
The proposed mechanism is shown in Scheme 3. The reaction is initiated by the oxidative addition of benzylic bromides to Pd(0), affording benzylic-Pd(II) complex A. Subsequently, insertion of A to the in situ-generated benzyne occurs, to afford aryl-Pd(II) complex B. Then, transmetalation with diborylmethane generates intermediate C, from which reductive elimination is followed to provide the final product and regenerate the Pd(0) catalyst to restart a new catalytic cycle. In this reaction, cesium fluoride played two roles: (1) for the in situ generation of aryne; (2) for the transmetalation of diborylmethane 3. It is worth mentioning that this mechanistic proposal is tentative. Other possible pathways—for example, the formation of a benzyne-Pd(0) first and then followed by oxidation addition to generate intermediate B—cannot be ruled out. Further solid studies are needed to firmly establish the reaction mechanism for this three-component reaction.
Scheme 3.
Proposed mechanism of the three-component coupling reaction.
The three-component coupling reaction could provide a comparable yield of 4a when the reaction was carried out in 4 mmol scale (Scheme 4). Given the versatility of benzyl boronates in synthetic chemistry, we further proceeded to explore some transformations with 4a. Thus, as shown in Scheme 4, oxidation of 4a afforded benzyl alcohol 5 [42], and fluorination gave benzyl fluoride 6 [43]. Palladium-catalyzed cross-coupling of 4a with phenyl bromide generated 1,2-dibenzyl benzene 7 [44].
Scheme 4.
Scale-up reaction and derivatization.
3. Materials and Methods
3.1. Materials
All the reactions were performed under nitrogen atmosphere in an oven-dried reaction tube. The solvents were distilled under nitrogen atmosphere prior to use. Toluene, dioxane and THF were dried over Na with benzophenone ketyl intermediate as the indicator. MeCN was dried over CaH2. The boiling point of petroleum ether was between 60 and 70 °C. Unless otherwise noted, commercially available reagents were used as received. For chromatography, 200–300 mesh silica gel (Qingdao, China) was used. Bis(4,4,5,5-tetramethyl-1,3,2-dioxaborolan-2-yl) methane 3 was prepared according to reported procedure [45].
3.2. Methods
An oven-dried 10 mL Schlenk flask with magnetic stir bar was charged with gem-diboronates 3 (0.3 mmol), Pd(OAc)2 (5 mol%) and tris (p-fluorophenyl) phosphine (10 mol%). The flask was sealed with a rubber stopper, evacuated and filled with nitrogen three times, followed by the addition of toluene (1.5 mL), MeCN (1.5 mL), 2-(trimethylsilyl)phenyl trifluoromethanesulfonate (2 equiv) and benzyl bromide (1.4 equiv). The reaction mixture was stirred at 85 °C for 10 h. Upon completion, the mixture was cooled to room temperature and filtered through a short plug of silica gel, rinsed with ethyl acetate. The filtrate was evaporated by rotary evaporation and the crude product was purified by silica gel column chromatography to afford the pure product (petroleum ether: EtOAc = 10:1).
4. Conclusions
In summary, we developed a three-component coupling of benzyne, benzylic/allylic bromide and 1,1-bis[(pinacolato)boryl]methane to afford benzyl boronates. The reaction represents the first example of using 1,1-bis[(pinacolato)boryl]methane in the palladium-catalyzed cross-coupling involving benzyne intermediate.
Supplementary Materials
The following supporting information can be downloaded at: https://www.mdpi.com/article/10.3390/catal13010126/s1, screening tables, preparation of substrates, analytical data, 1H and 13C NMR spectra, more detailed materials and methods. Table S1: Reaction optimization for the coupling reaction using DCE as the solvent. Table S2: Reaction optimization for the coupling reaction using PhMe/MeCN as the solvents.
Author Contributions
Conceptualization, J.W.; methodology, C.W. and J.W.; investigation, Z.B. and C.W.; writing—original draft preparation, Z.B.; writing—review and editing, Z.B. and J.W.; supervision, J.W.; funding acquisition, J.W. All authors have read and agreed to the published version of the manuscript.
Funding
We acknowledge the funding support from NSFC (Grant Nos. 21871010 and “Laboratory for Synthetic Chemistry and Chemical Biology” under the Health@InnoHK Program launched by Innovation and Technology Commission, The Government of Hong Kong Special Administrative Region of the People’s Republic of China.
Data Availability Statement
All experimental data are contained in the article and Supplementary Material.
Acknowledgments
We thank Hongpei Chan for her assistance during the course of this study.
Conflicts of Interest
The authors declare no conflict of interest.
References
- Zhu, J.; Wang, Q.; Wang, M. Multicomponent Reactions in Organic Synthesis; Wiley VCH: Weinheim, Germany, 2015. [Google Scholar]
- Lesma, G.; Cecchi, R.; Crippa, S.; Giovanelli, P.; Meneghetti, F.; Musolino, M.; Sacchetti, A.; Silvani, A. Ugi 4-CR/Pictet–Spengler reaction as a short route to tryptophan-derived peptidomimetics. Org. Biomol. Chem. 2012, 10, 9004–9012. [Google Scholar] [CrossRef] [PubMed]
- Van der Heijden, G.; Ruijter, E.; Orru, R.V.A. Efficiency, diversity, and complexity with multicomponent reactions. Synlett 2013, 24, 666–685. [Google Scholar]
- Guo, X.; Hu, W. Novel multicomponent reactions via trapping of protic onium ylides with electrophiles. Acc. Chem. Res. 2013, 46, 2427–2440. [Google Scholar] [CrossRef] [PubMed]
- Eberlin, L.; Tripoteau, F.; Carreaux, F.; Whiting, A.; Carboni, B. Boron-substituted 1,3-dienes and heterodienes as key elements in multicomponent processes. Beilstein J. Org. Chem. 2014, 10, 237–250. [Google Scholar] [CrossRef]
- Koopmanschap, G.; Ruijter, E.; Orru, R.V.A. Isocyanide-based multicomponent reactions towards cyclic constrained peptidomimetics. Beilstein J. Org. Chem. 2014, 10, 544–598. [Google Scholar] [CrossRef]
- Rotstein, B.H.; Zaretsky, S.; Rai, V.; Yudin, A.K. Small heterocycles in multicomponent reactions. Chem. Rev. 2014, 114, 8323–8359. [Google Scholar] [CrossRef]
- Brauch, S.; van Berkel, S.S.; Westermann, B. Higher-order multicomponent reactions: Beyond four reactants. Chem. Soc. Rev. 2013, 42, 4948–4962. [Google Scholar] [CrossRef]
- Neochoritis, C.G.; Zhao, T.; Domling, A. Tetrazoles via multicomponent reactions. Chem. Rev. 2019, 119, 1970–2042. [Google Scholar] [CrossRef]
- Dömling, A. Recent advances in isocyanide-based multicomponent chemistry. Curr. Opin. Chem. Biol. 2002, 6, 306–313. [Google Scholar] [CrossRef]
- Domling, A.; Wang, W.; Wang, K. Chemistry and biology of multicomponent reactions. Chem. Rev. 2012, 112, 3083–3135. [Google Scholar] [CrossRef]
- Estevez, V.; Villacampa, M.; Menéndez, J.C. Multicomponent reactions for the synthesis of pyrroles. Chem. Soc. Rev. 2010, 39, 4402–4421. [Google Scholar] [CrossRef]
- Estevez, V.; Villacampa, M.; Menéndez, J.C. Recent advances in the synthesis of pyrroles by multicomponent reactions. Chem. Soc. Rev. 2014, 43, 4633–4657. [Google Scholar] [CrossRef] [PubMed]
- Blasco, E.; Sims, M.B.; Goldmann, A.S.; Sumerlin, B.S.; Barner-Kowollik, C. 50th Anniversary Perspective: Polymer Functionalization. Macromolecules 2017, 50, 5215–5252. [Google Scholar] [CrossRef]
- Kakuchi, R. Multicomponent reactions in polymer synthesis. Angew. Chem. Int. Ed. 2014, 53, 46–48. [Google Scholar] [CrossRef] [PubMed]
- Theato, P. Multi-Component and Sequential Reactions in Polymer Synthesis; Springer International Publishing: Berlin/Heidelberg, Germany, 2015; Volume 269. [Google Scholar]
- Shi, J.; Li, L.; Li, Y. o-Silylaryl triflates: A journey of Kobayashi aryne precursors. Chem. Rev. 2021, 121, 3892–4044. [Google Scholar] [CrossRef] [PubMed]
- Sarmah, M.; Hazarika, H.; Gogoi, P. Aryne annulations for the synthesis of carbocycles and hetero-cycles: An updated review. Synthesis 2022, 54, 4932–4962. [Google Scholar]
- Dubrovskiy, A.V.; Markina, N.A.; Larock, R.C. Use of benzynes for the synthesis of heterocycles. Org. Biomol. Chem. 2013, 11, 191–218. [Google Scholar] [CrossRef]
- Jayanth, T.T.; Jeganmohan, M.; Cheng, C.-H. Highly efficient route to o-allylbiaryls via palladium-catalyzed three-component coupling of benzynes, allylic halides, and aryl organometallic reagents. Org. Lett. 2005, 7, 2921–2924. [Google Scholar] [CrossRef]
- Jayanth, T.T.; Cheng, C.-H. Nickel-catalyzed coupling of arynes, alkenes, and boronic acids: Dual role of the boronic acid. Angew. Chem. Int. Ed. 2007, 46, 5921–5924. [Google Scholar] [CrossRef]
- Jeganmohan, M.; Cheng, C.-H. Palladium-catalyzed allylalkynylation of benzynes: A highly efficient route to substituted 1-allyl-2-alkynylbenzenes. Org. Lett. 2004, 6, 2821–2824. [Google Scholar] [CrossRef]
- Bhuvaneswari, S.; Jeganmohan, M.; Cheng, C.-H. Carbocyclization of aromatic iodides, bicyclic alkenes, and benzynes involving a palladium-catalyzed C−H bond activation as a key step. Org. Lett. 2006, 8, 5581–5584. [Google Scholar] [CrossRef]
- Bhuvaneswari, S.; Jeganmohan, M.; Yang, M.-C.; Cheng, C.-H. Palladium-catalyzed three-component coupling of arynes with allylic acetates or halides and terminal alkynes promoted by cuprous iodide. Chem. Commun. 2008, 2158–2160. [Google Scholar] [CrossRef]
- Jeganmohan, M.; Bhuvaneswari, S.; Cheng, C.-H. A cooperative copper- and palladium-catalyzed three-component coupling of benzynes, allylic epoxides, and terminal alkynes. Angew. Chem. Int. Ed. 2009, 48, 391–394. [Google Scholar] [CrossRef] [PubMed]
- Dong, Y.; Li, Y.; Wei, Y.-L.; Wang, J.-C.; Ma, J.-P.; Ji, J.; Yao, B.-J.; Dong, Y.-B. A N-heterocyclic tetracarbene Pd(II) moiety containing a Pd(II)–Pb(II) bimetallic MOF for three-component cyclotrimerization via benzyne. Chem. Commun. 2016, 52, 10505–10508. [Google Scholar] [CrossRef] [PubMed]
- Paul, S.; Das, K.K.; Aich, D.; Manna, S.; Panda, S. Recent developments in the asymmetric synthesis and functionalization of symmetrical and unsymmetrical gem-diborylalkanes. Org. Chem. Front. 2022, 9, 838–852. [Google Scholar] [CrossRef]
- Lee, Y.; Han, S.; Cho, S.H. Catalytic chemo- and enantioselective transformations of gem-diborylalkanes and (diborylmethyl)metallic species. Acc. Chem. Res. 2021, 54, 3917–3929. [Google Scholar] [CrossRef]
- Nallagonda, R.; Padala, K.; Masarwa, A. gem-Diborylalkanes: Recent advances in their preparation, transformation and application. Org. Biomol. Chem. 2018, 16, 1050–1064. [Google Scholar] [CrossRef]
- Miralles, N.; Maza, R.J.; Fernández, E. Synthesis and reactivity of 1,1-diborylalkanes towards C–C bond formation and related mechanisms. Adv. Synth. Catal. 2018, 360, 1306–1327. [Google Scholar] [CrossRef]
- Wu, C.; Wang, J. Geminal bis(boron) compounds: Their preparation and synthetic applications. Tetrahedron Lett. 2018, 59, 2128–2140. [Google Scholar] [CrossRef]
- Jo, W.; Lee, J.H.; Cho, S.H. Advances in transition metal-free deborylative transformations of gem-diborylalkanes. Chem. Commun. 2021, 57, 4346–4353. [Google Scholar] [CrossRef]
- Xu, L.; Zhang, S.; Li, P. Boron-selective reactions as powerful tools for modular synthesis of diverse complex molecules. Chem. Soc. Rev. 2015, 44, 8848–8858. [Google Scholar] [CrossRef] [PubMed]
- Endo, K.; Ohkubo, T.; Hirokami, M.; Shibata, T. Chemoselective and regiospecific Suzuki coupling on a multisubstituted sp3-carbon in 1,1-diborylalkanes at room temperature. J. Am. Chem. Soc. 2010, 132, 11033–11035. [Google Scholar] [CrossRef]
- Endo, K.; Ohkubo, T.; Shibata, T. Chemoselective Suzuki coupling of diborylmethane for facile synthesis of benzylboronates. Org. Lett. 2011, 13, 3368–3371. [Google Scholar] [CrossRef] [PubMed]
- Endo, K.; Ishioka, T.; Ohkubo, T.; Shibata, T. One-pot synthesis of symmetrical and unsymmetrical diarylmethanes via diborylmethane. J. Org. Chem. 2012, 77, 7223–7231. [Google Scholar] [CrossRef] [PubMed]
- Endo, K.; Ohkubo, T.; Ishioka, T.; Shibata, T. Cross coupling between sp3-carbon and sp3-carbon using a diborylmethane derivative at room temperature. J. Org. Chem. 2012, 77, 4826–4831. [Google Scholar] [CrossRef]
- Li, H.; Shangguan, X.; Zhang, Z.; Huang, S.; Zhang, Y.; Wang, J. Formal carbon insertion of N-tosylhydrazone into B–B and B–Si bonds: Gem-diborylation and gem-silylborylation of sp3 carbon. Org. Lett. 2014, 16, 448–451. [Google Scholar] [CrossRef]
- Li, H.; Zhang, Z.; Shangguan, X.; Huang, S.; Chen, J.; Zhang, Y.; Wang, J. Palladium(0)-catalyzed cross-coupling of 1,1-diboronates with vinyl bromides and 1,1-dibromoalkenes. Angew. Chem. Int. Ed. 2014, 53, 11192–11925. [Google Scholar] [CrossRef]
- Xu, S.; Shangguan, X.; Li, H.; Zhang, Y.; Wang, J. Pd(0)-Catalyzed cross-coupling of 1,1-diboronates with 2,2′-dibromobiphenyls: Synthesis of 9H-fluorenes. J. Org. Chem. 2015, 80, 7779–7784. [Google Scholar] [CrossRef]
- Wu, C.; Wu, G.; Zhang, Y.; Wang, J. One-carbon homologation of arylboronic acids: A convenient approach to the synthesis of pinacol benzylboronates. Org. Chem. Front. 2016, 3, 817–822. [Google Scholar] [CrossRef]
- Stymiest, J.; Bagutski, V.; French, R.; Aggarwal, V. Enantiodivergent conversion of chiral secondary alcohols into tertiary alcohols. Nature 2008, 456, 778–782. [Google Scholar] [CrossRef]
- Li, Z.; Song, L.; Li, C. Silver-catalyzed radical aminofluorination of unactivated alkenes in aqueous media. J. Am. Chem. Soc. 2013, 135, 4640–4643. [Google Scholar] [CrossRef] [PubMed]
- Crudden, C.; Ziebenhaus, C.; Rygus, J.; Ghozati, K.; Unsworth, P.; Nambo, M.; Voth, S.; Hutchinson, M.; Laberge, V.; Maekawa, Y.; et al. Iterative protecting group-free cross-coupling leading to chiral multiply arylated structures. Nat. Commun. 2016, 7, 11065–11072. [Google Scholar] [CrossRef] [PubMed]
- Hong, K.; Liu, X.; Morken, J. Simple access to elusive α-boryl carbanions and their alkylation: An umpolung construction for organic synthesis. J. Am. Chem. Soc. 2014, 136, 10581–10584. [Google Scholar] [CrossRef] [PubMed]
Disclaimer/Publisher’s Note: The statements, opinions and data contained in all publications are solely those of the individual author(s) and contributor(s) and not of MDPI and/or the editor(s). MDPI and/or the editor(s) disclaim responsibility for any injury to people or property resulting from any ideas, methods, instructions or products referred to in the content. |
© 2023 by the authors. Licensee MDPI, Basel, Switzerland. This article is an open access article distributed under the terms and conditions of the Creative Commons Attribution (CC BY) license (https://creativecommons.org/licenses/by/4.0/).




