Electrocatalytic Glucose Oxidation at Coral-Like Pd/C3N4-C Nanocomposites in Alkaline Media
Abstract
1. Introduction
2. Results
2.1. Physical Characterization
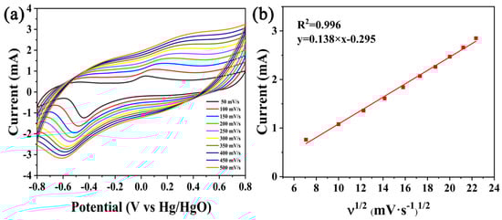
2.2. Electrochemical Characterization
2.3. Glucose Sensing
3. Materials and Methods
3.1. Materials and Instruments
3.2. Preparation of C3N4 and Pd/C3N4-C
3.3. Electrochemical Experiments of Glucose Sensors and GOR Analysis
4. Conclusions
Author Contributions
Funding
Conflicts of Interest
References
- Heller, A.; Feldman, B. Electrochemical glucose sensors and their applications in diabetes management. Chem. Rev. 2008, 108, 2482–2505. [Google Scholar] [CrossRef] [PubMed]
- Adzic, R.R.; Hsiao, M.W.; Yeager, E.B. Electrochemical oxidation of glucose on single crystal gold surfaces. J. Electroanal. Chem. Interfacial Electrochem. 1989, 260, 475–485. [Google Scholar] [CrossRef]
- Song, S.; Wang, K.; Yan, L.; Brouzgou, A.; Zhang, Y.; Wang, Y.; Tsiakaras, P. Ceria promoted Pd/C catalysts for glucose electrooxidation in alkaline media. Appl. Catal. B Environ. 2015, 176–177, 233–239. [Google Scholar] [CrossRef]
- Brouzgou, A.; Tsiakaras, P. Electrocatalysts for glucose electrooxidation reaction: A Review. Top. Catal. 2015, 58, 1311–1327. [Google Scholar] [CrossRef]
- Wang, Q.; Cui, X.; Chen, J.; Zheng, X.; Liu, C.; Xue, T.; Wang, H.; Jin, Z.; Qiao, L.; Zheng, W. Well-dispersed palladium nanoparticles on graphene oxide as a non-enzymatic glucose sensor. RSC Adv. 2012, 2, 6245–6249. [Google Scholar] [CrossRef]
- Rafaïdeen, T.; Baranton, S.; Coutanceau, C. Highly efficient and selective electrooxidation of glucose and xylose in alkaline medium at carbon supported alloyed PdAu nanocatalysts. Appl. Catal. B Environ. 2019, 243, 641–656. [Google Scholar] [CrossRef]
- Wu, W.; Miao, F.; Tao, B.; Zang, Y.; Zhu, L.; Shi, C.; Chu, P.K. Hybrid ZnO-graphene electrode with palladium nanoparticles on Ni foam and application to self-powered nonenzymatic glucose sensing. RSC Adv. 2019, 9, 12134–12145. [Google Scholar] [CrossRef]
- El-Ads, E.H.; Galal, A.; Atta, N.F. The effect of A-site doping in a strontium palladium perovskite and its applications for non-enzymatic glucose sensing. RSC Adv. 2016, 6, 16183–16196. [Google Scholar] [CrossRef]
- Ni, Z.; Dong, F.; Huang, H.; Zhang, Y. New insights into how Pd nanoparticles influence the photocatalytic oxidation and reduction ability of g-C3N4 nanosheets. Catal. Sci. Technol. 2016, 6, 6448–6458. [Google Scholar] [CrossRef]
- Wu, Y.S.; Wu, Z.W.; Lee, C.L. Concave Pd core/island Pt shell nanoparticles: Synthesis and their promising activities toward neutral glucose oxidation. Sens. Actuators B Chem. 2019, 281, 1–7. [Google Scholar] [CrossRef]
- Ma, J.; Chen, Y.; Chen, L.; Wang, L. Ternary Pd–Ni–P nanoparticle-based nonenzymatic glucose sensor with greatly enhanced sensitivity achieved through active-site engineering. Nano Res. 2017, 10, 2712–2720. [Google Scholar] [CrossRef]
- Ye, J.S.; Chen, C.W.; Lee, C.L. Pd nanocube as non-enzymatic glucose sensor. Sens. Actuators B Chem. 2015, 208, 569–574. [Google Scholar] [CrossRef]
- Ponnusamy, R.; Chakraborty, B.; Rout, C.S. Pd-Doped WO3 Nanostructures as Potential Glucose Sensor with Insight from Electronic Structure Simulations. J. Phys. Chem. B 2018, 122, 2737–2746. [Google Scholar] [CrossRef] [PubMed]
- Yang, C.; Cui, X.; Wang, K.; Cao, Y.; Wang, C.; Hu, X. A non-enzymatic glucose sensor based on Pd-Fe/Ti nanocomposites. Int. J. Electrochem. Sci. 2017, 12, 5492–5502. [Google Scholar] [CrossRef]
- Dhara, K.; Thiagarajan, R.; Nair, B.G.; Thekkedath, G.S.B. Highly sensitive and wide-range nonenzymatic disposable glucose sensor based on a screen printed carbon electrode modified with reduced graphene oxide and Pd-CuO nanoparticles. Microchim. Acta 2015, 182, 2183–2192. [Google Scholar] [CrossRef]
- Li, Y.; Niu, X.; Tang, J.; Lan, M.; Zhao, H. A comparative study of nonenzymatic electrochemical glucose sensors based on Pt-Pd nanotube and nanowire arrays. Electrochim. Acta 2014, 130, 1–8. [Google Scholar] [CrossRef]
- Shen, C.; Su, J.; Li, X.; Luo, J.; Yang, M. Electrochemical sensing platform based on Pd-Au bimetallic cluster for non-enzymatic detection of glucose. Sens. Actuators B Chem. 2015, 209, 695–700. [Google Scholar] [CrossRef]
- Liu, Q.; Tang, Y.; Yang, X.; Wei, M.; Zhang, M. An ultra-low detection limit glucose sensor based on reduced graphene oxide-concave tetrahedral Pd NCs@CuO composite. J. Electrochem. Soc. 2019, 166, B381–B387. [Google Scholar] [CrossRef]
- Vilé, G.; Albani, D.; Nachtegaal, M.; Chen, Z.; Dontsova, D.; Antonietti, M.; López, N.; Pérez-Ramírez, J. A stable single-site palladium catalyst for hydrogenations. Angew. Chemie Int. Ed. 2015, 54, 11265–11269. [Google Scholar] [CrossRef]
- Ye, L.; Liu, J.; Jiang, Z.; Peng, T.; Zan, L. Facets coupling of BiOBr-g-C3N4 composite photocatalyst for enhanced visible-light-driven photocatalytic activity. Appl. Catal. B Environ. 2013, 142–143, 1–7. [Google Scholar] [CrossRef]
- Lv, M.; Li, W.; Liu, H.; Wen, W.; Dong, G.; Liu, J.; Peng, K. Enhancement of the formic acid electrooxidation activity of palladium using graphene/carbon black binary carbon supports. Chin. J. Catal. 2017, 38, 939–947. [Google Scholar] [CrossRef]
- Radmilovic, V.; Gasteiger, H.A.; Ross, P.N. Structure and chemical composition of a supported Pt-Ru electrocatalyst for methanol oxidation. J. Catal. 1995, 154, 98–106. [Google Scholar] [CrossRef]
- Holzwarth, U.; Gibson, N. The Scherrer equation versus the “Debye-Scherrer equation”. Nat. Nanotechnol. 2011, 6, 534. [Google Scholar] [CrossRef] [PubMed]
- Uruş, S.; Çaylar, M.; Karteri, İ. Synthesis of graphene supported bis(diphenylphosphinomethyl)amino ligands and their Pd(II) and Pt(II) complexes: Highly efficient and recoverable nano-catalysts on vitamin K3 production. Chem. Eng. J. 2016, 306, 961–972. [Google Scholar] [CrossRef]
- Wang, C.-H.; Yang, C.-H.; Chang, J.-K. High-selectivity electrochemical non-enzymatic sensors based on graphene/Pd nanocomposites functionalized with designated ionic liquids. Biosens. Bioelectron. 2017, 89, 483–488. [Google Scholar] [CrossRef]
- Elango, G.; Roopan, S.M.; Al-Dhabi, N.A.; Arasu, M.V.; Dhamodaran, K.I.; Elumalai, K. Coir mediated instant synthesis of Ni-Pd nanoparticles and its significance over larvicidal, pesticidal and ovicidal activities. J. Mol. Liq. 2016, 223, 1249–1255. [Google Scholar] [CrossRef]
- Yu, X.; Fan, T.; Chen, W.; Chen, Z.; Dong, Y.; Fan, H.; Fang, W.; Yi, X. Self-hybridized coralloid graphitic carbon nitride deriving from deep eutectic solvent as effective visible light photocatalysts. Carbon N. Y. 2019, 144, 649–658. [Google Scholar] [CrossRef]
- Zhou, C.; Lai, C.; Huang, D.; Zeng, G.; Zhang, C.; Cheng, M.; Hu, L.; Wan, J.; Xiong, W.; Wen, M.; et al. Highly porous carbon nitride by supramolecular preassembly of monomers for photocatalytic removal of sulfamethazine under visible light driven. Appl. Catal. B Environ. 2018, 220, 202–210. [Google Scholar] [CrossRef]
- Li, Y.; Ho, W.; Lv, K.; Zhu, B.; Lee, S.C. Carbon vacancy-induced enhancement of the visible light-driven photocatalytic oxidation of NO over g-C3N4 nanosheets. Appl. Surf. Sci. 2018, 430, 380–389. [Google Scholar] [CrossRef]
- Yan, S.C.; Li, Z.S.; Zou, Z.G. Photodegradation performance of g-C3N4 fabricated by directly heating melamine. Langmuir 2009, 25, 10397–10401. [Google Scholar] [CrossRef]
- Yi, H.; Xia, Y.; Yan, H.; Lu, J. Coating Pd/Al2O3 catalysts with FeOx enhances both activity and selectivity in 1,3-butadiene hydrogenation. Chin. J. Catal. 2017, 38, 1581–1587. [Google Scholar] [CrossRef]
- Darabdhara, G.; Bordoloi, J.; Manna, P.; Das, M.R. Biocompatible bimetallic Au-Ni doped graphitic carbon nitride sheets: A novel peroxidase-mimicking artificial enzyme for rapid and highly sensitive colorimetric detection of glucose. Sens. Actuators B Chem. 2019, 285, 277–290. [Google Scholar] [CrossRef]
- Yang, X.; Tian, L.; Zhao, X.; Tang, H.; Liu, Q.; Li, G. Interfacial optimization of g-C3N4-based Z-scheme heterojunction toward synergistic enhancement of solar-driven photocatalytic oxygen evolution. Appl. Catal. B Environ. 2019, 244, 240–249. [Google Scholar] [CrossRef]
- Yang, Y.; Zhang, C.; Huang, D.; Zeng, G.; Huang, J.; Lai, C.; Zhou, C.; Wang, W.; Guo, H.; Xue, W.; et al. Boron nitride quantum dots decorated ultrathin porous g-C3N4: Intensified exciton dissociation and charge transfer for promoting visible-light-driven molecular oxygen activation. Appl. Catal. B Environ. 2019, 245, 87–99. [Google Scholar] [CrossRef]
- Zhang, W.; Li, X.; Xu, X.; He, Y.; Qiu, F.; Pan, J.; Niu, X. Pd nanoparticle-decorated graphitic C3N4 nanosheets with bifunctional peroxidase mimicking and ON-OFF fluorescence enable naked-eye and fluorescent dual-readout sensing of glucose. J. Mater. Chem. B 2019, 7, 233–239. [Google Scholar] [CrossRef]
- Chen, X.M.; Lin, Z.J.; Chen, D.J.; Jia, T.T.; Cai, Z.M.; Wang, X.R.; Chen, X.; Chen, G.N.; Oyama, M. Nonenzymatic amperometric sensing of glucose by using palladium nanoparticles supported on functional carbon nanotubes. Biosens. Bioelectron. 2010, 25, 1803–1808. [Google Scholar] [CrossRef]
- Singh, B.; Bhardwaj, N.; Jain, V.K.; Bhatia, V. Palladium nanoparticles decorated electrostatically functionalized MWCNTs as a non enzymatic glucose sensor. Sens. Actuators Phys. 2014, 220, 126–133. [Google Scholar] [CrossRef]
- Chen, X.; Li, G.; Zhang, G.; Hou, K.; Pan, H.; Du, M. Self-assembly of palladium nanoparticles on functional TiO2 nanotubes for a nonenzymatic glucose sensor. Mater. Sci. Eng. C 2016, 62, 323–328. [Google Scholar]
- Mao, X.; Yang, X.; Rutledge, G.C.; Alan Hatton, T. Ultra-wide-range electrochemical sensing using continuous electrospun carbon nanofibers with high densities of states. ACS Appl. Mater. Interfaces 2014, 6, 3394–3405. [Google Scholar] [CrossRef]
- Wen, W.; Li, C.; Li, W.; Tian, Y. Carbon-supported Pd-Cr electrocatalysts for the electrooxidation offormic acid that demonstrate high activity and stability. Electrochim. Acta 2013, 109, 201–206. [Google Scholar] [CrossRef]
- Li, W.; Fan, F.R.F.; Bard, A.J. The application of scanning electrochemical microscopy to the discovery of Pd-welectrocatalysts for the oxygen reduction reaction that demonstrate high activity, stability, and methanol tolerance. J. Solid State Electrochem. 2012, 16, 2563–2568. [Google Scholar] [CrossRef]








| Electrode | Applied Potential (vs. Hg/HgO) | Linear Range (mM) | LOD (μM) | Reference |
|---|---|---|---|---|
| Pd@Pt CINP/C/GCE 1 | +0.01 V | 1–8.5 | 0.82 | [10] |
| Pd-Ni-P | +0.65 V | 0.005–10.24 | 0.15 | [11] |
| Pd nanocubes | +0.50 V | 1–10 | N/A | [12] |
| WO3-Pd AA 2 | +0.45 V | 5−55, 65−375 | N/A N/A | [13] |
| Pd-Fe/Ti | +0.13 V | 0.002–3.0 | 1.0 | [14] |
| Pd-CuO/rGO/SPE 3 | +0.70 V | 0.006–22 | 0.03 | [15] |
| Pt-Pd nanowire arrays | +0.30 V | Up to 10 | N/A | [16] |
| Pd-Au cluster | +0.04 V | 0.1–30 | 50 | [17] |
| RGO-Pd NCs@CuO 4 | +0.50 V | 0.001–3.1 | 0.01 | [18] |
| Pd/C3N4-C | +0.50 V | 0.1–10 | 0.55 | This work |
| Electrocatalyst | C Specie | eV | Atom % |
|---|---|---|---|
| Pd/C3N4 | C–NH2 | 286.4 | 8.2 |
| - | N–C=N | 288.2 | 58.5 |
| - | C–C | 284.6 | 33.3 |
| Pd/C3N4-C | C-NH2 | 285.7 | 15.5 |
| - | N–C=N | 288.8 | 9.1 |
| - | C–C | 284.6 | 75.4 |
| Electrocatalyst | N Specie | eV | Atom % |
|---|---|---|---|
| Pd/C3N4 | N–C3 | 400.0 | 17.1 |
| - | C–N=C | 398.6 | 76.3 |
| - | C–N–H | 401.1 | 6.7 |
| Pd/C3N4-C | N–C3 | 399.5 | 50.8 |
| - | C–N=C | 398.8 | 31.7 |
| - | C–N–H | 401.1 | 17.5 |
© 2020 by the authors. Licensee MDPI, Basel, Switzerland. This article is an open access article distributed under the terms and conditions of the Creative Commons Attribution (CC BY) license (http://creativecommons.org/licenses/by/4.0/).
Share and Cite
Dong, G.; Lu, Q.; Jiang, H.; Li, C.; Gong, Y.; Zhang, H.; Li, W. Electrocatalytic Glucose Oxidation at Coral-Like Pd/C3N4-C Nanocomposites in Alkaline Media. Catalysts 2020, 10, 440. https://doi.org/10.3390/catal10040440
Dong G, Lu Q, Jiang H, Li C, Gong Y, Zhang H, Li W. Electrocatalytic Glucose Oxidation at Coral-Like Pd/C3N4-C Nanocomposites in Alkaline Media. Catalysts. 2020; 10(4):440. https://doi.org/10.3390/catal10040440
Chicago/Turabian StyleDong, Guang, Qingqing Lu, Haihui Jiang, Chunfang Li, Yingying Gong, Haoquan Zhang, and Wenpeng Li. 2020. "Electrocatalytic Glucose Oxidation at Coral-Like Pd/C3N4-C Nanocomposites in Alkaline Media" Catalysts 10, no. 4: 440. https://doi.org/10.3390/catal10040440
APA StyleDong, G., Lu, Q., Jiang, H., Li, C., Gong, Y., Zhang, H., & Li, W. (2020). Electrocatalytic Glucose Oxidation at Coral-Like Pd/C3N4-C Nanocomposites in Alkaline Media. Catalysts, 10(4), 440. https://doi.org/10.3390/catal10040440

