Geographic Disparities in Survival After Surgery for Metastatic Bone Disease: A Retrospective Analysis from a German Sarcoma Centre
Simple Summary
Abstract
1. Introduction
2. Materials and Methods
2.1. Study Population
2.2. Data Collection and Statistical Analysis
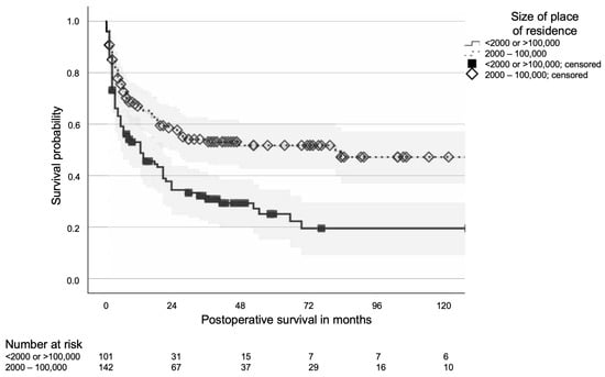
3. Results
3.1. Baseline Characteristics
3.2. District-Level Characteristics and Social Determinants of Health
4. Discussion
Strengths and Limitations
5. Conclusions
Author Contributions
Funding
Institutional Review Board Statement
Informed Consent Statement
Data Availability Statement
Acknowledgments
Conflicts of Interest
Abbreviations
| AYAs | Adolescents and Young Adults |
| CI | Confidence Interval |
| CRP | C-reactive Protein |
| FDR | False Discovery Rate |
| IQR | Inter Quartile Range |
| MBD | Metastatic Bone Disease |
| SDOH | Social Determinants of Health |
| SRE | Skeletal Related Events |
References
- Eastley, N.; Newey, M.; Ashford, R.U. Skeletal metastases-the role of the orthopaedic and spinal surgeon. Surg. Oncol. 2012, 21, 216–222. [Google Scholar] [CrossRef]
- Tsukamoto, S.; Errani, C.; Kido, A.; Mavrogenis, A.F. What’s new in the management of metastatic bone disease. Eur. J. Orthop. Surg. Traumatol. 2021, 31, 1547–1555. [Google Scholar] [CrossRef]
- Ratasvuori, M.; Wedin, R.; Keller, J.; Nottrott, M.; Zaikova, O.; Bergh, P.; Kalen, A.; Nilsson, J.; Jonsson, H.; Laitinen, M. Insight opinion to surgically treated metastatic bone disease: Scandinavian Sarcoma Group Skeletal Metastasis Registry report of 1195 operated skeletal metastasis. Surg. Oncol. 2013, 22, 132–138. [Google Scholar] [CrossRef]
- Trompeter, A. Management of metastatic bone disease (MBD). Injury 2022, 53, 3869–3871. [Google Scholar] [CrossRef]
- Huang, J.-F.; Shen, J.; Li, X.; Rengan, R.; Silvestris, N.; Wang, M.; Derosa, L.; Zheng, X.; Belli, A.; Zhang, X.-L.; et al. Incidence of patients with bone metastases at diagnosis of solid tumors in adults: A large population-based study. Ann. Transl. Med. 2020, 8, 482. [Google Scholar] [CrossRef] [PubMed]
- Biermann, J.S.; E Holt, G.; O Lewis, V.; Schwartz, H.S.; Yaszemski, M.J. Metastatic bone disease: Diagnosis, evaluation, and treatment. J. Bone Jt. Surg. Am. 2009, 91, 1518–1530. [Google Scholar] [PubMed]
- Coleman, R.E. Clinical Features of Metastatic Bone Disease and Risk of Skeletal Morbidity. Clin. Cancer Res. 2006, 12, 6243s–6249s. [Google Scholar] [CrossRef]
- Mavrogenis, A.F.; Angelini, A.; Vottis, C.; Pala, E.; Calabro, T.; Papagelopoulos, P.J.; Ruggieri, P. Modern Palliative Treatments for Metastatic Bone Disease: Awareness of Advantages, Disadvantages, and Guidance. Clin. J. Pain 2016, 32, 337–350. [Google Scholar] [CrossRef] [PubMed]
- Pockett, R.; Castellano, D.; Mcewan, P.; Oglesby, A.; Barber, B.; Chung, K. The hospital burden of disease associated with bone metastases and skeletal-related events in patients with breast cancer, lung cancer, or prostate cancer in Spain. Eur. J. Cancer Care 2010, 19, 755–760. [Google Scholar] [CrossRef]
- Coleman, R.E. Metastatic bone disease: Clinical features, pathophysiology and treatment strategies. Cancer Treat. Rev. 2001, 27, 165–176. [Google Scholar] [CrossRef]
- Garcia Perlaza, J.; Aziziyeh, R.; Zhou, A.; De Sousa Barbosa, V.; Amaya, J.; Caporale, J.; Alva, M.E.; Forero, J.; Tanaka, S.; Suri, G.; et al. The burden of skeletal-related events in four Latin American countries: Argentina, Brazil, Colombia, and Mexico. J. Med. Econ. 2021, 24, 983–992. [Google Scholar] [CrossRef]
- Hardtstock, F.; Kocaata, Z.; Wilke, T.; Dittmar, A.; Ghiani, M.; Belozeroff, V.; Harrison, D.J.; Maywald, U.; Tesch, H. Healthcare resource utilization and associated cost of patients with bone metastases from solid tumors who are naïve to bone-targeting agents: A comparative analysis of patients with and without skeletal-related events. Eur. J. Health. Econ. 2021, 22, 243–254. [Google Scholar] [CrossRef]
- DiCaprio, M.R.; Murtaza, H.; Palmer, B.; Evangelist, M. Narrative review of the epidemiology, economic burden, and societal impact of metastatic bone disease. Ann. Jt. 2022, 7, 28. [Google Scholar] [CrossRef]
- Kendal, J.K.; Abbott, A.; Kooner, S.; Johal, H.; Puloski, S.K.T.; Monument, M.J. A scoping review on the surgical management of metastatic bone disease of the extremities. BMC Musculoskelet. Disord. 2018, 19, 279. [Google Scholar] [CrossRef] [PubMed]
- Herget, G.; Saravi, B.; Schwarzkopf, E.; Wigand, M.; Südkamp, N.; Schmal, H.; Uhl, M.; Lang, G. Clinicopathologic characteristics, metastasis-free survival, and skeletal-related events in 628 patients with skeletal metastases in a tertiary orthopedic and trauma center. World J. Surg. Oncol. 2021, 19, 62. [Google Scholar] [CrossRef] [PubMed]
- Raschka, T.; Weiss, S.; Reiter, A.; Barg, A.; Schlickewei, C.; Frosch, K.-H.; Priemel, M. Outcomes and prognostic factors after surgery for bone metastases in the extremities and pelvis: A retrospective analysis of 140 patients. J. Bone Oncol. 2022, 34, 100427. [Google Scholar] [CrossRef]
- Mavrogenis, A.F.; Pala, E.; Romagnoli, C.; Romantini, M.; Calabro, T.; Ruggieri, P. Survival analysis of patients with femoral metastases. J. Surg. Oncol 2012, 105, 135–141. [Google Scholar] [CrossRef]
- Salim, X.; D’aLessandro, P.; Little, J.; Mudhar, K.; Murray, K.; Smith, R.C.; Yates, P. A novel scoring system to guide prognosis in patients with pathological fractures. J. Orthop. Surg. Res. 2018, 13, 228. [Google Scholar] [CrossRef]
- Pan, Y.; Lin, Y.; Mi, C. Clinicopathological characteristics and prognostic risk factors of breast cancer patients with bone me-tastasis. Ann. Transl. Med. 2021, 9, 1340. [Google Scholar] [CrossRef] [PubMed]
- Guckenberger, M.; Lievens, Y.; Bouma, A.B.; Collette, L.; Dekker, A.; Desouza, N.M.; Dingemans, A.-M.C.; Fournier, B.; Hurkmans, C.; Lecouvet, F.E.; et al. Characterisation and classification of oligometastatic disease: A European Society for Radiotherapy and Oncology and European Organisation for Research and Treatment of Cancer consensus recommendation. Lancet Oncol. 2020, 21, e18–e28. [Google Scholar] [CrossRef]
- Pérez-García, J.; Cortez, P.; Gion, M.; Cortés, J. Can we cure oligometastatic disease? A practical point of view. Curr. Opin. Oncol. 2020, 32, 568–574. [Google Scholar] [CrossRef] [PubMed]
- Weschenfelder, W.; Weschenfelder, F.; Spiegel, C.; Schrenk, K.G.; Ernst, T.; Hofmann, G.O. Prognostic impact of oligometastases in orthopaedic surgery for metastatic bone disease. J. Orthop. Surg. 2025, 33. [Google Scholar] [CrossRef] [PubMed]
- Bryan, M.S.; Hu, X.; A Izano, M.; Mohammed, H.; Wicks, M.; Brown, T.; Simon, G.; Kaplan, H.; Berry, A. Social determinants of health and variability in treatment for patients with early-stage non-small cell lung cancer. JNCI Cancer Spectr. 2025, 9. [Google Scholar] [CrossRef]
- Larkin, C.J.; Thirunavu, V.M.; Nahi, S.L.; Roumeliotis, A.G.; Shlobin, N.A.; Kandula, V.; Shah, P.V.; Chan, K.S.; Yerneni, K.; Abecassis, Z.A.; et al. Analysis of socioeconomic and demographic factors on post-treatment outcomes for metastatic spinal tumors. Clin. Neurol. Neurosurg. 2023, 225, 107581. [Google Scholar] [CrossRef]
- Mani, K.; Kleinbart, E.; Schlumprecht, A.; Golding, R.; Akioyamen, N.; Song, H.; Ramos, R.D.L.G.; Eleswarapu, A.; Yang, R.; Geller, D.; et al. Area Socioeconomic Status is Associated with Refusal of Recommended Surgery in Patients with Metastatic Bone and Joint Disease. Ann. Surg. Oncol. 2024, 31, 4882–4893. [Google Scholar] [CrossRef]
- Tang, O.Y.; Leary, O.P.; Ganga, A.; Feler, J.R.; Sastry, R.A.; Bajaj, A.I.; Ayala, C.; Perla, K.M.R.; Monje, S.; Madour, J.; et al. Social determinants of health and outcome disparities in spine tumor surgery. Part 2: Neighborhood disadvantage and long-term outcomes. J. Neurosurg. Spine 2024, 41, 689–698. [Google Scholar] [CrossRef]
- Bhutada, J.K.S.; Hwang, A.E.; Liu, L.; Tsai, K.Y.; Deapen, D.; Freyer, D.R. Risk of Presenting with Poor-Prognosis Metastatic Cancer in Adolescents and Young Adults: A Population-Based Study. Cancers 2022, 14, 4932. [Google Scholar] [CrossRef]
- Jawad, M.U.; Pollock, B.H.; Wise, B.L.; Zeitlinger, L.N.; Donnell, E.F.O.; Carr-Ascher, J.R.; Cizik, A.; Ferrell, B.; Thorpe, S.W.; Randall, R.L. Sex, racial/ethnic and socioeconomic disparities in patients with metastatic bone disease. J. Surg. Oncol. 2022, 125, 766–774. [Google Scholar] [CrossRef]
- Jawad, M.U.; Pollock, B.H.; Wise, B.L.; Zeitlinger, L.N.; Donnell, E.F.O.; Carr-Ascher, J.R.; Cizik, A.; Ferrell, B.; Thorpe, S.W.; Randall, R.L. Socioeconomic and insurance-related disparities in disease-specific survival among patients with metastatic bone disease. J. Surg. Oncol. 2023, 127, 159–173. [Google Scholar] [CrossRef]
- Westermann, C.; Weller, J.; Pedroso, F.; Canner, J.; Pratilas, C.A.; Rhee, D.S. Socioeconomic and health care coverage disparities in children, adolescents, and young adults with sarcoma. Pediatr. Blood Cancer 2020, 67, e28708. [Google Scholar] [CrossRef]
- Zamora, T.; Botello, E.; Jenkins, T.; Jeys, C.; Laitinen, M.; Puri, A.; Jeys, L.; Participants Boom Consensus Meeting. Global and regional disparities in access to specialist sarcoma services. Bone Jt. Open 2025, 6, 425–431. [Google Scholar] [CrossRef] [PubMed]


| Number (n = 243) | Postoperative Survival in Months (95% CI) | p-Value | |
|---|---|---|---|
| Private insurance Public insurance | 22 221 | 47 (0–96) 20 (12–28) | 0.55 |
| Size of place of residence (inhabitants) | <0.001 | ||
| <2000 | 47 | 13 (0–30) | |
| 2000–20,000 | 87 | 36 (0–84) | |
| 20,000–100,000 | 55 | not reached (12-mo OS 63%; 95% CI 50–76%) | |
| >100,000 | 54 | 12 (5–19) | |
| Size of place of residence (inhabitants) | <0.001 | ||
| <2000 and >100,000 | 101 | 12 (3–21) | |
| 2000–100,000 | 142 | 81 (n/a) | |
| Single/Widowed | 91 | 26 (0–59) | 0.47 |
| Married | 152 | 20 (4–36) |
| Median | Inter Quartile Range | Hazard Ratio (95% CI) | p-Value | FDR-Adjusted p-Value | |
|---|---|---|---|---|---|
| Accessibility | |||||
| Distance to the treating sarcoma centre in km | 43 | 18–85 | 0.997 (0.994–1.001) | 0.20 | 0.26 |
| Time to drive to the nearest regional centre in min | 24.1 | 15.3–36.1 | 0.987 (0.977–0.997) | 0.013 | 0.02 |
| Rurality in % | 44 | 0–60.3 | 0.994 (0.988–1.000) | 0.071 | 0.098 |
| Population | |||||
| Average age of district population in years | 47.6 | 46.2–48.5 | 0.89 (0.83–0.96) | <0.001 | 0.012 |
| Population changes within the last 10 years in % | −1.9 | −5.5–1.4 | 1.07 (1.03–1.11) | 0.002 | 0.014 |
| Higher education entrance qualification in % | 29.7 | 27.6–33.1 | 1.020 (1.007–1.034) | 0.004 | 0.018 |
| People without a school-leaving certificate in % | 8.3 | 5.3–10.4 | 0.92 (0.86–0.98) | 0.010 | 0.019 |
| Economic situation | |||||
| Unemployment rate in % | 5.4 | 4.5–5.8 | 0.98 (0.83–1.16) | 0.80 | 0.80 |
| Long-term unemployment rate in % | 37.1 | 35.1–39 | 1.02 (0.97–1.08) | 0.40 | 0.46 |
| Employment rate in % | 69.1 | 65.3–69.9 | 0.94 (0.90–0.98) | 0.002 | 0.014 |
| Median income in euros per month | 2720 | 2610–2957 | 1.001 (1.000–1.001) | 0.007 | 0.019 |
| Recipients of basic income support in % | 6.12 | 5.04–6.36 | 0.97 (0.89–1.05) | 0.43 | 0.46 |
| Local medical system | |||||
| Hospital beds per 1000 inhabitants | 8.00 | 5.47–12.09 | 1.06 (1.02–1.11) | 0.009 | 0.019 |
| General practitioners per 10,000 inhabitants | 13.81 | 12.76–19.01 | 1.06 (1.01–1.11) | 0.011 | 0.019 |
| Parameter | p Value | Hazard Ratio (95% CI) |
|---|---|---|
| Employment rate | 0.27 | 0.93 (0.81–1.06) |
| Average age of the population of the district | 0.37 | 0.85 (0.58–1.23) |
| Population changes over the last 10 years | 0.45 | 0.94 (0.80–1.10) |
| Higher education entrance certification | 0.25 | 0.96 (0.90–1.03) |
| People without a school-leaving certificate | 0.162 | 0.91 (0.80–1.04) |
| Median income | 0.55 | 1.000 (0.998–1.001) |
| Hospital beds per 1000 inhabitants | 0.36 | 1.04 (0.96–1.12) |
| General practitioners per 10,000 inhabitants | 0.42 | 1.08 (0.90–1.29) |
| Time to drive to the next regional centre | 0.33 | 1.01 (0.98–1.04) |
| Size of the place of residence 2000–100,000 vs. <2000 combined with >100,000 | 0.047 | 1.605 (1.007–2.558) |
| Parameter | p Value | Hazard Ratio (95% CI) |
|---|---|---|
| Size of the place of residence 2000–100,000 vs. <2000 combined with >100,000 | <0.001 | 1.86 (1.32–2.64) |
| Pathological fracture | 0.009 | 1.65 (1.13–2.40) |
| Breast cancer | 0.012 | |
| Multiple myeloma | 0.028 | 1.97 (1.08–3.60) |
| Renal cell carcinoma | 0.029 | 1.95 (1.07–3.55) |
| Lung cancer | 0.007 | 2.44 (1.28–4.67) |
| Other malignancy | <0.001 | 2.66 (1.53–4.63) |
Disclaimer/Publisher’s Note: The statements, opinions and data contained in all publications are solely those of the individual author(s) and contributor(s) and not of MDPI and/or the editor(s). MDPI and/or the editor(s) disclaim responsibility for any injury to people or property resulting from any ideas, methods, instructions or products referred to in the content. |
© 2025 by the authors. Licensee MDPI, Basel, Switzerland. This article is an open access article distributed under the terms and conditions of the Creative Commons Attribution (CC BY) license (https://creativecommons.org/licenses/by/4.0/).
Share and Cite
Weschenfelder, W.; Nickl, P.M.; Weschenfelder, F.; Spiegel, C.; Schrenk, K.G.; Ernst, T.; Lenz, M. Geographic Disparities in Survival After Surgery for Metastatic Bone Disease: A Retrospective Analysis from a German Sarcoma Centre. Cancers 2025, 17, 3664. https://doi.org/10.3390/cancers17223664
Weschenfelder W, Nickl PM, Weschenfelder F, Spiegel C, Schrenk KG, Ernst T, Lenz M. Geographic Disparities in Survival After Surgery for Metastatic Bone Disease: A Retrospective Analysis from a German Sarcoma Centre. Cancers. 2025; 17(22):3664. https://doi.org/10.3390/cancers17223664
Chicago/Turabian StyleWeschenfelder, Wolfram, Paula Maria Nickl, Friederike Weschenfelder, Christian Spiegel, Karin Gabriela Schrenk, Thomas Ernst, and Mark Lenz. 2025. "Geographic Disparities in Survival After Surgery for Metastatic Bone Disease: A Retrospective Analysis from a German Sarcoma Centre" Cancers 17, no. 22: 3664. https://doi.org/10.3390/cancers17223664
APA StyleWeschenfelder, W., Nickl, P. M., Weschenfelder, F., Spiegel, C., Schrenk, K. G., Ernst, T., & Lenz, M. (2025). Geographic Disparities in Survival After Surgery for Metastatic Bone Disease: A Retrospective Analysis from a German Sarcoma Centre. Cancers, 17(22), 3664. https://doi.org/10.3390/cancers17223664

