Individualized Prediction of Postoperative Survival in Gallbladder Cancer: A Nomogram Based on SEER Data and External Validation
Simple Summary
Abstract
1. Introduction
2. Methods
2.1. Study Design
2.2. Participants
2.3. Materials
2.4. Procedure
2.5. Data Analysis
2.6. Subgroup Analysis
3. Results
3.1. Patient Characteristics
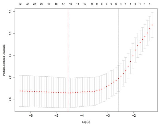
3.2. LASSO Regression for Variable Selection
3.3. Multivariable Cox Regression Modeling
3.4. Development of a Prognostic Nomogram
3.5. Receiver Operating Characteristic (ROC) Analysis
3.6. Calibration Curve Analysis
3.7. Decision Curve Analysis
3.8. Comparison with TNM Staging System
3.9. Subgroup Analysis of Chemotherapy Benefit
4. Discussion
5. Conclusions
Author Contributions
Funding
Institutional Review Board Statement
Informed Consent Statement
Data Availability Statement
Acknowledgments
Conflicts of Interest
References
- Siegel, R.L.; Kratzer, T.B.; Giaquinto, A.N.; Sung, H.; Jemal, A. Cancer statistics, 2025. CA Cancer J. Clin. 2025, 75, 10–45. [Google Scholar] [CrossRef] [PubMed]
- Roa, J.C.; Garcia, P.; Kapoor, V.K.; Maithel, S.K.; Javle, M.; Koshiol, J. Gallbladder cancer. Nat. Rev. Dis. Prim. 2022, 8, 69. [Google Scholar] [CrossRef] [PubMed]
- Wang, S.J.; Fuller, C.D.; Kim, J.S.; Sittig, D.F.; Thomas, C.R., Jr.; Ravdin, P.M. Prediction model for estimating the survival benefit of adjuvant radiotherapy for gallbladder cancer. J. Clin. Oncol. 2008, 26, 2112–2117. [Google Scholar] [CrossRef]
- Lamarca, A.; Edeline, J.; McNamara, M.G.; Hubner, R.A.; Nagino, M.; Bridgewater, J.; Primrose, J.; Valle, J.W. Current standards and future perspectives in adjuvant treatment for biliary tract cancers. Cancer Treat. Rev. 2020, 84, 101936. [Google Scholar] [CrossRef]
- Feo, C.F.; Ginesu, G.C.; Fancellu, A.; Perra, T.; Ninniri, C.; Deiana, G.; Scanu, A.M.; Porcu, A. Current management of incidental gallbladder cancer: A review. Int. J. Surg. 2022, 98, 106234. [Google Scholar] [CrossRef]
- Lei, S.; Huang, G.; Li, X.; Xi, P.; Yao, Z.; Lin, X. Global Burden, Trends, and Inequalities of Gallbladder and Biliary Tract Cancer, 1990–2021: A Decomposition and Age-Period-Cohort Analysis. Liver Int. 2025, 45, e16199. [Google Scholar] [CrossRef]
- Lazcano-Ponce, E.C.; Miquel, J.F.; Munoz, N.; Herrero, R.; Ferrecio, C.; Wistuba, I.I.; de Ruiz, P.A.; Urista, G.A.; Nervi, F. Epidemiology and molecular pathology of gallbladder cancer. CA Cancer J. Clin. 2001, 51, 349–364. [Google Scholar] [CrossRef] [PubMed]
- Lv, T.R.; Wang, J.K.; Li, F.Y.; Hu, H.J. Prognostic factors for resected cases with gallbladder carcinoma: A systematic review and meta-analysis. Int. J. Surg. 2024, 110, 4342–4355. [Google Scholar] [CrossRef]
- Amin, M.B.; Greene, F.L.; Edge, S.B.; Compton, C.C.; Gershenwald, J.E.; Brookland, R.K.; Meyer, L.; Gress, D.M.; Byrd, D.R.; Winchester, D.P. The Eighth Edition AJCC Cancer Staging Manual: Continuing to build a bridge from a population-based to a more “personalized” approach to cancer staging. CA Cancer J. Clin. 2017, 67, 93–99. [Google Scholar] [CrossRef]
- Chun, Y.S.; Pawlik, T.M.; Vauthey, J.N. 8th Edition of the AJCC Cancer Staging Manual: Pancreas and Hepatobiliary Cancers. Ann. Surg. Oncol. 2018, 25, 845–847. [Google Scholar] [CrossRef]
- Primrose, J.N.; Fox, R.P.; Palmer, D.H.; Malik, H.Z.; Prasad, R.; Mirza, D.; Anthony, A.; Corrie, P.; Falk, S.; Finch-Jones, M.; et al. Capecitabine compared with observation in resected biliary tract cancer (BILCAP): A randomised, controlled, multicentre, phase 3 study. Lancet Oncol. 2019, 20, 663–673. [Google Scholar] [CrossRef] [PubMed]
- Balachandran, V.P.; Gonen, M.; Smith, J.J.; DeMatteo, R.P. Nomograms in oncology: More than meets the eye. Lancet Oncol. 2015, 16, e173–e180. [Google Scholar] [CrossRef] [PubMed]
- Wu, J.; Zhang, H.; Li, L.; Hu, M.; Chen, L.; Xu, B.; Song, Q. A nomogram for predicting overall survival in patients with low-grade endometrial stromal sarcoma: A population-based analysis. Cancer Commun. 2020, 40, 301–312. [Google Scholar] [CrossRef] [PubMed]
- Wang, S.J.; Lemieux, A.; Kalpathy-Cramer, J.; Ord, C.B.; Walker, G.V.; Fuller, C.D.; Kim, J.S.; Thomas, C.R., Jr. Nomogram for predicting the benefit of adjuvant chemoradiotherapy for resected gallbladder cancer. J. Clin. Oncol. 2011, 29, 4627–4632. [Google Scholar] [CrossRef]
- Wu, Y.; Li, Q.; Cai, Z.; Zhang, Y.; Qiu, Y.; Yang, N.; Song, T.; Li, S.; Lou, J.; Li, J.; et al. Survival prediction for gallbladder carcinoma after curative resection: Comparison of nomogram and Bayesian network models. Eur. J. Surg. Oncol. 2020, 46, 2106–2113. [Google Scholar] [CrossRef]
- Nakachi, K.; Ikeda, M.; Konishi, M.; Nomura, S.; Katayama, H.; Kataoka, T.; Todaka, A.; Yanagimoto, H.; Morinaga, S.; Kobayashi, S.; et al. Adjuvant S-1 compared with observation in resected biliary tract cancer (JCOG1202, ASCOT): A multicentre, open-label, randomised, controlled, phase 3 trial. The Lancet 2023, 401, 195–203. [Google Scholar] [CrossRef]
- Emmanuel, T.; Maupong, T.; Mpoeleng, D.; Semong, T.; Mphago, B.; Tabona, O. A survey on missing data in machine learning. J. Big Data 2021, 8, 140. [Google Scholar] [CrossRef]
- Wyss, R.; van der Laan, M.; Gruber, S.; Shi, X.; Lee, H.; Dutcher, S.K.; Nelson, J.C.; Toh, S.; Russo, M.; Wang, S.V.; et al. Targeted learning with an undersmoothed LASSO propensity score model for large-scale covariate adjustment in health-care database studies. Am. J. Epidemiol. 2024, 193, 1632–1640. [Google Scholar] [CrossRef]
- Tang, G.; Qi, L.; Sun, Z.; Liu, J.; Lv, Z.; Chen, L.; Huang, B.; Zhu, S.; Liu, Y.; Li, Y. Evaluation and analysis of incidence and risk factors of lower extremity venous thrombosis after urologic surgeries: A prospective two-center cohort study using LASSO-logistic regression. Int. J. Surg. 2021, 89, 105948. [Google Scholar] [CrossRef]
- Catalano, G.; Alaimo, L.; Chatzipanagiotou, O.P.; Ruzzenente, A.; Aucejo, F.; Marques, H.P.; Lam, V.; Hugh, T.; Bhimani, N.; Maithel, S.K.; et al. Machine learning prediction of early recurrence after surgery for gallbladder cancer. Br. J. Surg. 2024, 111, znae297. [Google Scholar] [CrossRef]
- Liu, Z.P.; Guo, W.; Yin, D.L.; Chen, W.Y.; Wang, J.Y.; Li, X.L.; Yue, P.; Yu, C.; Wu, Z.P.; Ding, R.; et al. Textbook outcomes in liver surgery for gallbladder cancer patients treated with curative-intent resection: A multicenter observational study. Int. J. Surg. 2023, 109, 2751–2761. [Google Scholar] [CrossRef] [PubMed]
- Shirai, Y.; Wakai, T.; Sakata, J.; Hatakeyama, K. Regional lymphadenectomy for gallbladder cancer: Rational extent, technical details, and patient outcomes. World J. Gastroenterol. 2012, 18, 2775–2783. [Google Scholar] [CrossRef] [PubMed]
- Ozer, M.; Goksu, S.Y.; Sanford, N.N.; Porembka, M.; Khurshid, H.; Ahn, C.; Maxwell, M.C.; Beg, M.S.; Kazmi, S.M. A Propensity Score Analysis of Chemotherapy Use in Patients with Resectable Gallbladder Cancer. JAMA Netw. Open 2022, 5, e2146912. [Google Scholar] [CrossRef] [PubMed]
- Vogel, A.; Bridgewater, J.; Edeline, J.; Kelley, R.K.; Klumpen, H.J.; Malka, D.; Primrose, J.N.; Rimassa, L.; Stenzinger, A.; Valle, J.W.; et al. Biliary tract cancer: ESMO Clinical Practice Guideline for diagnosis, treatment and follow-up. Ann. Oncol. 2023, 34, 127–140. [Google Scholar] [CrossRef]
- Ostwal, V.; Patkar, S.; Engineer, R.; Parulekar, M.; Mandavkar, S.; Bhargava, P.; Srinivas, S.; Krishnatry, R.; Gudi, S.; Kapoor, A.; et al. Adjuvant Gemcitabine Plus Cisplatin and Chemoradiation in Patients with Gallbladder Cancer: A Randomized Clinical Trial. JAMA Oncol. 2024, 10, 1116–1120. [Google Scholar] [CrossRef]
- Song, X.; Hu, Y.; Li, Y.; Shao, R.; Liu, F.; Liu, Y. Overview of current targeted therapy in gallbladder cancer. Signal Transduct. Target. Ther. 2020, 5, 230. [Google Scholar] [CrossRef]
- He, X.; Peng, Y.; He, G.; Ye, H.; Liu, L.; Zhou, Q.; Shi, J.; Fu, S.; Wang, J.; Zhou, Z.; et al. Increased co-expression of PD1 and TIM3 is associated with poor prognosis and immune microenvironment heterogeneity in gallbladder cancer. J. Transl. Med. 2023, 21, 717. [Google Scholar] [CrossRef]
- Oh, D.Y.; He, A.R.; Bouattour, M.; Okusaka, T.; Qin, S.; Chen, L.T.; Kitano, M.; Lee, C.K.; Kim, J.W.; Chen, M.H.; et al. Durvalumab or placebo plus gemcitabine and cisplatin in participants with advanced biliary tract cancer (TOPAZ-1): Updated overall survival from a randomised phase 3 study. Lancet Gastroenterol. Hepatol. 2024, 9, 694–704. [Google Scholar] [CrossRef]
- Wen, Z.; Si, A.; Yang, J.; Yang, P.; Yang, X.; Liu, H.; Yan, X.; Li, W.; Zhang, B. Elevation of CA19-9 and CEA is associated with a poor prognosis in patients with resectable gallbladder carcinoma. HPB 2017, 19, 951–956. [Google Scholar] [CrossRef]













| Train | Validation | p-Value | SEER (N,%) | Single Center (N, %) | |
|---|---|---|---|---|---|
| N | 924 | 924 | 1848 | 108 | |
| Sex | 0.44 | ||||
| Female | 646 (69.9) | 662 (71.6) | 1308 (70.8) | 61 (56.5) | |
| Male | 278 (30.1) | 262 (28.4) | 540 (29.2) | 47 (43.5) | |
| Age | 0.39 | ||||
| <60 | 226 (24.46) | 239 (25.87) | 465 (25.16) | 33 (30.56) | |
| 60–70 | 281 (30.41) | 269 (29.11) | 550 (29.76) | 51 (47.22) | |
| 70–80 | 230 (24.89) | 254 (27.49) | 484 (26.19) | 21 (19.44) | |
| >80 | 187 (20.24) | 162 (17.53) | 349 (18.89) | 3 (2.78) | |
| Race | 0.35 | ||||
| White | 665 (71.9) | 645 (69.8) | 1310 (70.9) | 0 (0) | |
| Black | 122 (13.2) | 113 (12.2) | 235 (12.7) | 0 (0) | |
| Indian | 11 (1.2) | 19 (2.1) | 30 (1.6) | 0 (0) | |
| Asian | 114 (12.3) | 132 (14.3) | 246 (13.3) | 108 (100) | |
| Unknown | 12 (1.3) | 15 (1.6) | 27 (1.5) | 0 (0) | |
| TNM | 0.67 | ||||
| I | 195 (21.1) | 195 (21.1) | 390 (21.1) | 5 (4.6) | |
| IIA | 72 (7.8) | 86 (9.3) | 158 (8.5) | 20 (18.5) | |
| IIB | 49 (5.3) | 61 (6.6) | 110 (6.0) | 5 (4.6) | |
| IIIA | 264 (28.6) | 254 (27.5) | 518 (28.0) | 38 (35.2) | |
| IIIB | 332 (35.9) | 315 (34.1) | 647 (35.0) | 34 (31.5) | |
| IVA | 12 (1.3) | 13 (1.4) | 25 (1.4) | 6 (5.6) | |
| Lymphadenectomy | 0.44 | ||||
| >3 nodes | 202 (21.9) | 212 (22.9) | 414 (22.4) | 73 (67.6) | |
| 1–3 nodes | 337 (36.5) | 354 (38.3) | 691 (37.4) | 13 (12) | |
| No/Unknown | 385 (41.7) | 358 (38.7) | 743 (40.2) | 22 (20.4) | |
| Radiotherapy | 0.81 | ||||
| Yes | 172 (18.6) | 167 (18.1) | 309 (16.7) | 4 (3.7) | |
| No/Unknown | 752 (81.4) | 757 (81.9) | 1509 (81.7) | 104 (96.3) | |
| Chemotherapy | 0.89 | ||||
| Yes | 411 (44.5) | 415 (44.9) | 826 (44.7) | 63 (58.3) | |
| No/Unknown | 513 (55.5) | 509 (55.1) | 1022 (55.3) | 45 (41.7) | |
| Grade | 0.68 | ||||
| Well | 124 (13.4) | 105 (11.4) | 229 (12.4) | 38 (35.2) | |
| Middle | 356 (38.5) | 351 (38.0) | 707 (38.3) | 63 (58.3) | |
| Poorly | 268 (29.0) | 283 (30.6) | 551 (29.8) | 7 (6.5) | |
| Undifferentiated | 4 (0.4) | 5 (0.5) | 9 (0.5) | 0 (0) | |
| Unknown | 172 (18.6) | 180 (19.5) | 352 (19.0) | 0 (0) | |
| Income | 1.00 | ||||
| <75,000 | 309 (33.4) | 309 (33.4) | 233 (12.6) | 0 (0) | |
| >75,000 | 117 (12.7) | 116 (12.6) | 616 (33.3) | 0 (0) | |
| Unknown | 498 (53.9) | 499 (54.00) | 999 (54.1) | 108 (100) | |
| Marital Status | <0.001 | ||||
| Married | 463 (50.1) | 485 (52.5) | 948 (53.7) | 106 (98) | |
| Single | 147 (15.9) | 155 (16.8) | 302 (17.1) | 1 (1) | |
| Widowed | 191 (20.7) | 87 (9.4) | 278 (19.6) | 1 (1) | |
| Divorced | 82 (8.9) | 87 (9.4) | 169 (9.6) | 0 (0) | |
| Unknown | 41 (4.44) | 110 (11.90) | 151 (8.17) | 0 (0) | |
| City | 0.59 | ||||
| Large | 578 (62.6) | 593 (64.2) | 1171 (63.4) | 58 (53.7) | |
| Middle | 189 (20.5) | 168 (18.2) | 357 (19.3) | 27 (25) | |
| Small | 67 (7.3) | 59 (6.4) | 126 (6.8) | 23 (21.3) | |
| Adjacent | 48 (5.2) | 62 (6.7) | 110 (6) | 0 (0) | |
| Rural | 41 (4.4) | 41 (4.4) | 82 (4.4) | 0 (0) | |
| Unknown | 1 (0.1) | 1 (0.1) | 2 (0.2) | 0 (0) |
| Characteristics | Multivariable Analysis for Overall Survival, HR (95% CI) | |
|---|---|---|
| Age | ||
| <60 | 1 | Reference |
| 60–70 | 1.75 | (0.98–1.41) |
| 70–80 | 1.53 | (1.27–1.83) |
| >80 | 2.06 | (1.70–2.50) |
| TNM | ||
| I | 1 | Reference |
| IIA | 1.36 | (0.80–2.30) |
| IIB | 2.20 | (1.16–2.30) |
| IIIA | 4.83 | (4.39–7.96) |
| IIIB | 7.24 | (4.39–11.94) |
| IVA | 7.83 | (4.02–15.22) |
| Lymphadenectomy | ||
| No Dissection/Unknow | 1 | Reference |
| 1–3 nodes | 0.527 | (0.448–0.620) |
| >3 nodes | 0.488 | (0.403–0.591) |
| Chemotherapy | ||
| Yes | 0.69 | (0.601–0.804) |
| No/Unknow | 1 | Reference |
| Grade | ||
| Well | 1 | Reference |
| Middle | 1.41 | (1.11–1.78) |
| Poorly | 2.81 | (2.20–3.59) |
| Undifferentiated | 5.08 | (2.21–11.67) |
Disclaimer/Publisher’s Note: The statements, opinions and data contained in all publications are solely those of the individual author(s) and contributor(s) and not of MDPI and/or the editor(s). MDPI and/or the editor(s) disclaim responsibility for any injury to people or property resulting from any ideas, methods, instructions or products referred to in the content. |
© 2025 by the authors. Licensee MDPI, Basel, Switzerland. This article is an open access article distributed under the terms and conditions of the Creative Commons Attribution (CC BY) license (https://creativecommons.org/licenses/by/4.0/).
Share and Cite
Liu, Y.; Zhu, K.; Tian, X.; Chen, P.; Xiong, Q.; Li, G.; Ma, X.; Han, R.; Sun, L.; Shen, Y.; et al. Individualized Prediction of Postoperative Survival in Gallbladder Cancer: A Nomogram Based on SEER Data and External Validation. Cancers 2025, 17, 1919. https://doi.org/10.3390/cancers17121919
Liu Y, Zhu K, Tian X, Chen P, Xiong Q, Li G, Ma X, Han R, Sun L, Shen Y, et al. Individualized Prediction of Postoperative Survival in Gallbladder Cancer: A Nomogram Based on SEER Data and External Validation. Cancers. 2025; 17(12):1919. https://doi.org/10.3390/cancers17121919
Chicago/Turabian StyleLiu, Yayue, Kangwei Zhu, Xindi Tian, Ping Chen, Qingqing Xiong, Guangtao Li, Xiaochen Ma, Ruyu Han, Liyu Sun, Yijian Shen, and et al. 2025. "Individualized Prediction of Postoperative Survival in Gallbladder Cancer: A Nomogram Based on SEER Data and External Validation" Cancers 17, no. 12: 1919. https://doi.org/10.3390/cancers17121919
APA StyleLiu, Y., Zhu, K., Tian, X., Chen, P., Xiong, Q., Li, G., Ma, X., Han, R., Sun, L., Shen, Y., Zhu, F., Wang, Y., Chen, L., & Song, T. (2025). Individualized Prediction of Postoperative Survival in Gallbladder Cancer: A Nomogram Based on SEER Data and External Validation. Cancers, 17(12), 1919. https://doi.org/10.3390/cancers17121919

