Taxane-Induced Neuropathy and Its Ocular Effects—A Longitudinal Follow-up Study in Breast Cancer Patients
Abstract
Simple Summary
Abstract
1. Introduction
2. Materials and Methods
2.1. Study Design and Flow Chart
2.2. Patient Selection
2.3. Assessment of Clinical Characteristics
2.4. Patient-Reported Outcome Measures and Neurological Scores
- -
- The European Organisation for Research and Treatment of Cancer Quality of Life Questionnaire (EORTC QLQ)-CIPN20 module, a 20-item self-reporting questionnaire containing three subscales to assess sensory, motor, and autonomic CIPN [26]. The total score ranges from 20 to 80; depending on sex and car driving behavior the range can decrease from 18 to 72; higher scores indicate worse CIPN.
- -
- The Functional Assessment of Cancer Therapy/Gynecologic Oncology Group-Neurotoxicity (FACT/GOG-NTX) with subscales of physical, social, emotional, and functional wellbeing. The individual scores range from 0 to 28.
- -
- The Taxane subscale (TaxS) is a 16-item self-reporting questionnaire focusing on patient-reported neurotoxicity symptoms and concerns. The individual items are scored from 0 to 4 and the sum score ranges from 0 to 64; lower scores indicate worse CIPN [27].
- -
- The Trial Outcome Index (TOI) of the FACT-Taxane questionnaire is calculated from physical and functional-wellbeing in addition to the taxane subscale. The score ranges from 0 to 120, with lower scores indicating higher CIPN.
- -
- All subscores (physical, social, emotional, functional well-being, and Taxane subscale) together result in the FACT-Taxane Total Score, which ranges from 0 to 172.
2.5. Assessment of the General Ophthalmological Status
2.6. Assessment of Posterior Retinal Segment Imaging and Quantitative Retinal Thickness Analysis
2.7. Assessment of Anterior Corneal Segment Imaging and Quantitative Corneal Nerve Analysis
2.8. Data Management and Statistical Analysis
3. Results and Discussion
3.1. Study Cohort Clinical Characteristics
3.2. Patient-Reported Outcome Measures and Neurological Scores
3.3. General Ophthalmological Examinations
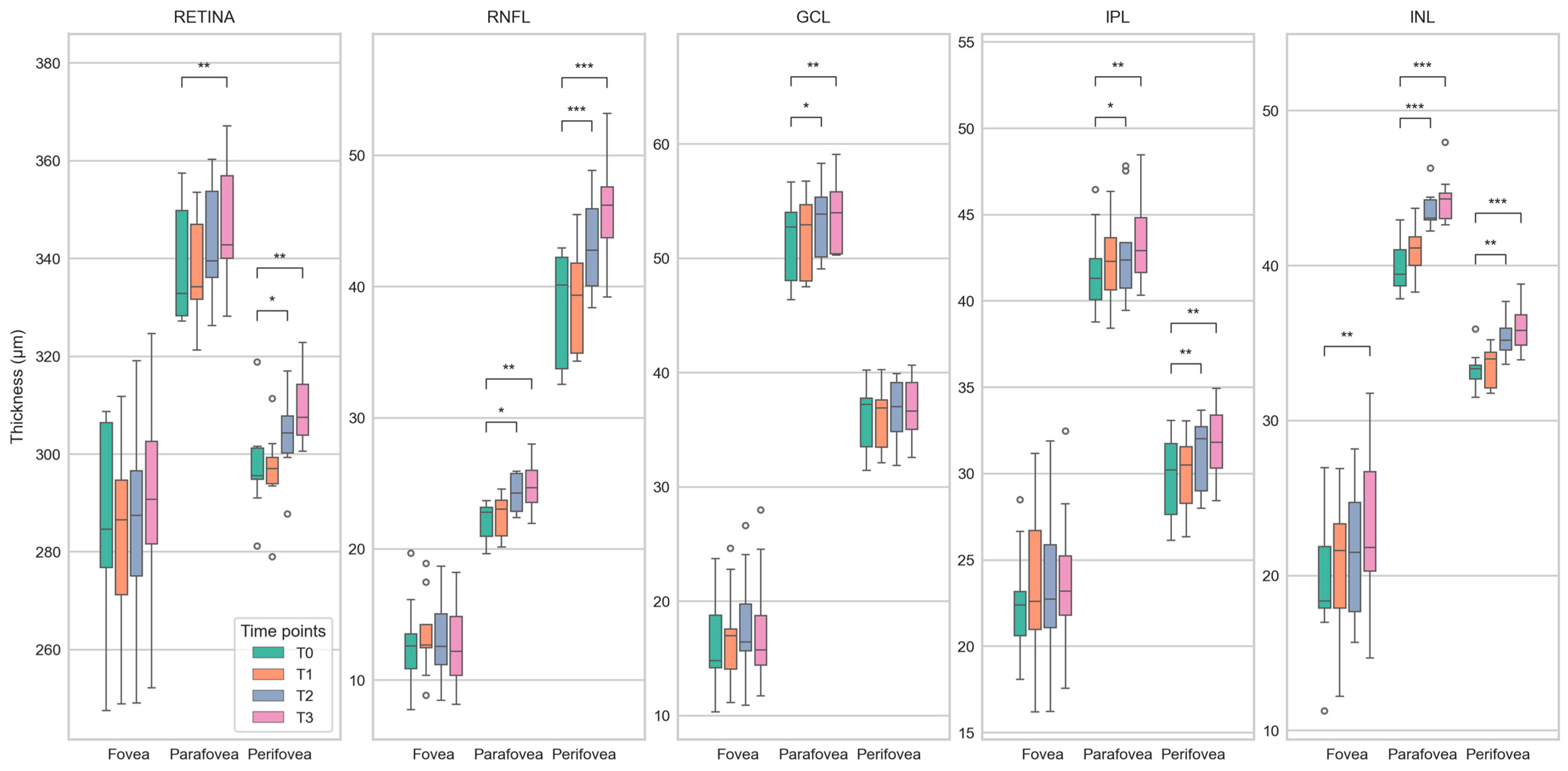
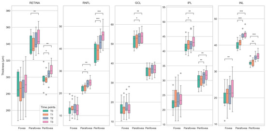
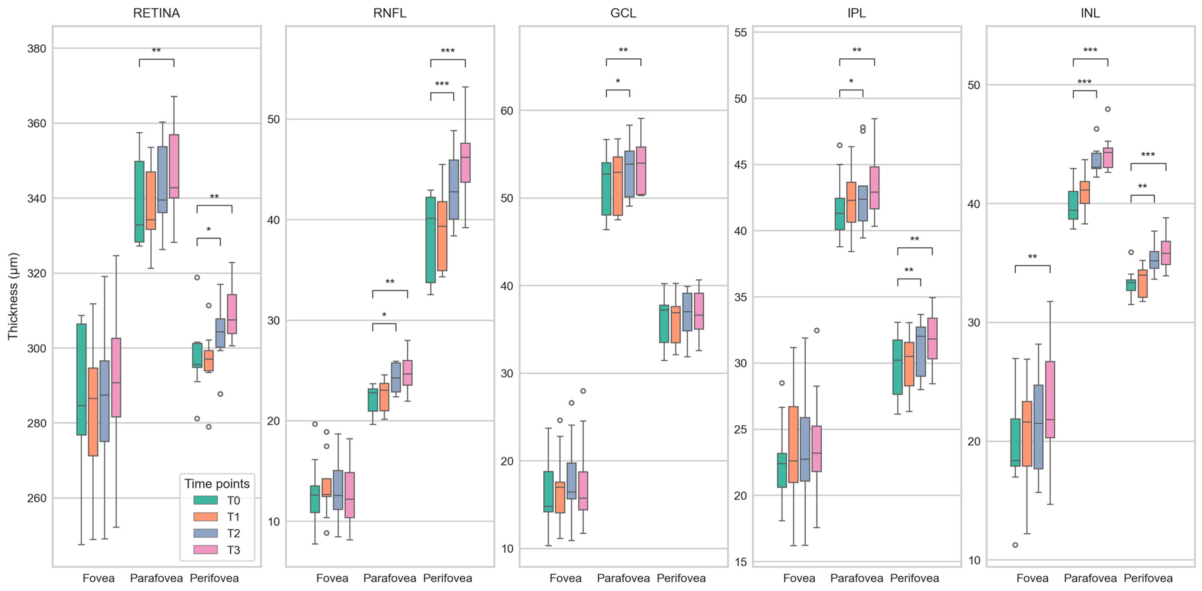
3.4. Thickness of Intraretinal Layers as Investigated by OCT
3.5. Subbasal Nerve Plexus Characteristics
4. Conclusions
Author Contributions
Funding
Institutional Review Board Statement
Informed Consent Statement
Data Availability Statement
Acknowledgments
Conflicts of Interest
References
- Albain, K.; Anderson, S.; Arriagada, R.; Barlow, W.; Bergh, J.; Bliss, J.; Buyse, M.; Cameron, D.; Carrasco, E.; Clarke, M.; et al. Comparisons between Different Polychemotherapy Regimens for Early Breast Cancer: Meta-Analyses of Long-Term Outcome among 100,000 Women in 123 Randomised Trials. Lancet 2012, 379, 432–444. [Google Scholar] [CrossRef]
- Brewer, J.R.; Morrison, G.; Dolan, M.E.; Fleming, G.F. Chemotherapy-Induced Peripheral Neuropathy: Current Status and Progress. Gynecol. Oncol. 2016, 140, 176–183. [Google Scholar] [CrossRef] [PubMed]
- Lee, J.J.; Swain, S.M. Peripheral Neuropathy Induced by Microtubule-Stabilizing Agents. J. Clin. Oncol. 2006, 24, 1633–1642. [Google Scholar] [CrossRef]
- Postma, T.J.; Vermorken, J.B.; Liefting, A.J.M.; Pinedo, H.M.; Heimans, J.J. Paclitaxel-Induced Neuropathy. Ann. Oncol. 1995, 6, 489–494. [Google Scholar] [CrossRef]
- Seretny, M.; Currie, G.L.; Sena, E.S.; Ramnarine, S.; Grant, R.; Macleod, M.R.; Colvin, L.A.; Fallon, M. Incidence, Prevalence, and Predictors of Chemotherapy-Induced Peripheral Neuropathy: A Systematic Review and Meta-Analysis. Pain 2014, 155, 2461–2470. [Google Scholar] [CrossRef] [PubMed]
- Mielke, S.; Sparreboom, A.; Mross, K. Peripheral Neuropathy: A Persisting Challenge in Paclitaxel-Based Regimes. Eur. J. Cancer 2006, 42, 24–30. [Google Scholar] [CrossRef]
- Boyette-Davis, J.A.; Cata, J.P.; Driver, L.C.; Novy, D.M.; Bruel, B.M.; Mooring, D.L.; Wendelschafer-Crabb, G.; Kennedy, W.R.; Dougherty, P.M. Persistent Chemoneuropathy in Patients Receiving the Plant Alkaloids Paclitaxel and Vincristine. Cancer Chemother. Pharmacol. 2013, 71, 619–626. [Google Scholar] [CrossRef]
- Bailey, A.G.; Brown, J.N.; Hammond, J.M. Cryotherapy for the Prevention of Chemotherapy-Induced Peripheral Neuropathy: A Systematic Review. J. Oncol. Pharm. Pract. 2021, 27, 156–164. [Google Scholar] [CrossRef]
- Colvin, L.A. Chemotherapy-Induced Peripheral Neuropathy: Where Are We Now? Pain 2019, 160, S1–S10. [Google Scholar] [CrossRef] [PubMed]
- Müller, L.J.; Marfurt, C.F.; Kruse, F.; Tervo, T.M.T. Corneal Nerves: Structure, Contents and Function. Exp. Eye Res. 2003, 76, 521–542. [Google Scholar] [CrossRef]
- Marfurt, C.F.; Cox, J.; Deek, S.; Dvorscak, L. Anatomy of the Human Corneal Innervation. Exp. Eye Res. 2010, 90, 478–492. [Google Scholar] [CrossRef] [PubMed]
- Chiang, J.C.B.; Goldstein, D.; Park, S.B.; Krishnan, A.V.; Markoulli, M. Corneal Nerve Changes Following Treatment with Neurotoxic Anticancer Drugs. Ocul. Surf. 2021, 21, 221–237. [Google Scholar] [CrossRef]
- Allgeier, S.; Bartschat, A.; Bohn, S.; Guthoff, R.F.; Hagenmeyer, V.; Kornelius, L.; Mikut, R.; Reichert, K.M.; Sperlich, K.; Stache, N.; et al. Real-Time Large-Area Imaging of the Corneal Subbasal Nerve Plexus. Sci. Rep. 2022, 12, 2481. [Google Scholar] [CrossRef] [PubMed]
- Nagi, S.S.; Dunn, J.S.; Birznieks, I.; Vickery, R.M.; Mahns, D.A. The Effects of Preferential A- and C-Fibre Blocks and T-Type Calcium Channel Antagonist on Detection of Low-Force Monofilaments in Healthy Human Participants. BMC Neurosci. 2015, 16, 52. [Google Scholar] [CrossRef]
- Churyukanov, M.; Plaghki, L.; Legrain, V.; Mouraux, A.; El-Deredy, W. Thermal Detection Thresholds of Aδ- and C-Fibre Afferents Activated by Brief CO2 Laser Pulses Applied onto the Human Hairy Skin. PLoS ONE 2012, 7, e35817. [Google Scholar] [CrossRef]
- Cruzat, A.; Qazi, Y.; Hamrah, P. In Vivo Confocal Microscopy of Corneal Nerves in Health and Disease. Ocul. Surf. 2017, 15, 15–47. [Google Scholar] [CrossRef]
- Petropoulos, I.N.; Ponirakis, G.; Ferdousi, M.; Azmi, S.; Kalteniece, A.; Khan, A.; Gad, H.; Bashir, B.; Marshall, A.; Boulton, A.J.M.; et al. Corneal Confocal Microscopy: A Biomarker for Diabetic Peripheral Neuropathy. Clin. Ther. 2021, 43, 1457–1475. [Google Scholar] [CrossRef]
- Ferdousi, M.; Azmi, S.; Petropoulos, I.N.; Fadavi, H.; Ponirakis, G.; Marshall, A.; Tavakoli, M.; Malik, I.; Mansoor, W.; Malik, R.A. Corneal Confocal Microscopy Detects Small Fibre Neuropathy in Patients with Upper Gastrointestinal Cancer and Nerve Regeneration in Chemotherapy Induced Peripheral Neuropathy. PLoS ONE 2015, 10, e0139394. [Google Scholar] [CrossRef]
- Chiang, J.C.B.; Goldstein, D.; Trinh, T.; Au, K.; Park, S.B.; Krishnan, A.V.; Markoulli, M. A Cross-Sectional Study of Ocular Surface Discomfort and Corneal Nerve Dysfunction after Paclitaxel Treatment for Cancer. Sci. Rep. 2021, 11, 1786. [Google Scholar] [CrossRef] [PubMed]
- Riva, N.; Bonelli, F.; Lasagni Vitar, R.M.; Barbariga, M.; Fonteyne, P.; Lopez, I.D.; Domi, T.; Scarpa, F.; Ruggeri, A.; Reni, M.; et al. Corneal and Epidermal Nerve Quantification in Chemotherapy Induced Peripheral Neuropathy. Front. Med. 2022, 9, 832344. [Google Scholar] [CrossRef]
- Bohn, S.; Stache, N.; Sperlich, K.; Allgeier, S.; Köhler, B.; Bartschat, A.; Do, H.V.; George, C.; Guthoff, R.F.; Stachs, A.; et al. In Vivo Monitoring of Corneal Dendritic Cells in the Subbasal Nerve Plexus during Trastuzumab and Paclitaxel Breast Cancer Therapy—A One-Year Follow-Up. Diagnostics 2022, 12, 1180. [Google Scholar] [CrossRef] [PubMed]
- Arora, S.; Surakiatchanukul, T.; Arora, T.; Errera, M.H.; Agrawal, H.; Lupidi, M.; Chhablani, J. Retinal Toxicities of Systemic Anticancer Drugs. Surv. Ophthalmol. 2022, 67, 97–148. [Google Scholar] [CrossRef] [PubMed]
- London, A.; Benhar, I.; Schwartz, M. The Retina as a Window to the Brain—From Eye Research to CNS Disorders. Nat. Rev. Neurol. 2012, 9, 44–53. [Google Scholar] [CrossRef] [PubMed]
- Liu, C.Y.; Francis, J.H.; Brodie, S.E.; Marr, B.; Pulido, J.S.; Marmor, M.F.; Abramson, D.H. Retinal Toxicities of Cancer Therapy Drugs: Biologics, Small Molecule Inhibitors, and Chemotherapies. Retina 2014, 34, 1261–1280. [Google Scholar] [CrossRef]
- Li, J.; Tripathi, R.C.; Tripathi, B.J. Drug-Induced Ocular Disorders. Drug Saf. 2008, 31, 127–141. [Google Scholar] [CrossRef]
- Postma, T.J.; Aaronson, N.K.; Heimans, J.J.; Muller, M.J.; Hildebrand, J.G.; Delattre, J.Y.; Hoang-Xuan, K.; Lantéri-Minet, M.; Grant, R.; Huddart, R.; et al. The Development of an EORTC Quality of Life Questionnaire to Assess Chemotherapy-Induced Peripheral Neuropathy: The QLQ-CIPN20. Eur. J. Cancer 2005, 41, 1135–1139. [Google Scholar] [CrossRef]
- Cella, D.; Peterman, A.; Hudgens, S.; Webster, K.; Socinski, M.A. Measuring the Side Effects of Taxane Therapy in Oncology: The Functional Assesment of Cancer Therapy-Taxane (FACT-Taxane). Cancer 2003, 98, 822–831. [Google Scholar] [CrossRef]
- Gries, A.; Cameron, N.E.; Ziegler, D.; Andersen, H.; Arezzo, J.C.; Baynes, J.W.; Biessels, G.J.; Bolli, G.B.; Bottini, P.; Boulton, A.J.M.; et al. Textbook of Diabetic Neuropathy; Thieme: New York, NY, USA, 2003. [Google Scholar] [CrossRef]
- Cahn, F.; Burd, J.; Ignotz, K.; Mishra, S. Measurement of Lens Autofluorescence Can Distinguish Subjects with Diabetes from Those Without. J. Diabetes Sci. Technol. 2014, 8, 43. [Google Scholar] [CrossRef]
- Dhubhghaill, S.N.; Rozema, J.J.; Jongenelen, S.; Hidalgo, I.R.; Zakaria, N.; Tassignon, M.J. Normative Values for Corneal Densitometry Analysis by Scheimpflug Optical Assessment. Invest. Ophthalmol. Vis. Sci 2014, 55, 162–168. [Google Scholar] [CrossRef]
- Götze, A.; Von Keyserlingk, S.; Peschel, S.; Jacoby, U.; Schreiver, C.; Köhler, B.; Allgeier, S.; Winter, K.; Röhlig, M.; Jünemann, A.; et al. The Corneal Subbasal Nerve Plexus and Thickness of the Retinal Layers in Pediatric Type 1 Diabetes and Matched Controls. Sci. Rep. 2018, 8, 14. [Google Scholar] [CrossRef]
- Prakasam, R.K.; Röhlig, M.; Fischer, D.C.; Götze, A.; Jünemann, A.; Schumann, H.; Stachs, O. Deviation Maps for Understanding Thickness Changes of Inner Retinal Layers in Children with Type 1 Diabetes Mellitus. Curr. Eye Res. 2019, 44, 746–752. [Google Scholar] [CrossRef]
- Prakasam, R.K.; Matuszewska-Iwanicka, A.; Fischer, D.C.; Schumann, H.; Tschöpe, D.; Stratmann, B.; Hettlich, H.J.; Guthoff, R.F.; Stachs, O.; Röhlig, M. Thickness of Intraretinal Layers in Patients with Type 2 Diabetes Mellitus Depending on a Concomitant Diabetic Neuropathy: Results of a Cross-Sectional Study Using Deviation Maps for OCT Data Analysis. Biomedicines 2020, 8, 190. [Google Scholar] [CrossRef]
- Grading Diabetic Retinopathy from Stereoscopic Color Fundus Photographs—An Extension of the Modified Airlie House Classification: ETDRS Report Number 10. Ophthalmology 2020, 127, S99–S119. [CrossRef]
- Röhlig, M.; Prakasam, R.K.; Stüwe, J.; Schmidt, C.; Stachs, O.; Schumann, H. Enhanced Grid-Based Visual Analysis of Retinal Layer Thickness with Optical Coherence Tomography. Information 2019, 10, 266. [Google Scholar] [CrossRef]
- Röhlig, M.; Schmidt, C.; Prakasam, R.K.; Rosenthal, P.; Schumann, H.; Stachs, O. Visual Analysis of Retinal Changes with Optical Coherence Tomography. Vis. Comput. 2018, 34, 1209–1224. [Google Scholar] [CrossRef]
- Bohn, S.; Stahnke, T.; Sperlich, K.; Linke, S.J.; Farrokhi, S.; Klemm, M.; Allgeier, S.; Köhler, B.; Reichert, K.M.; Witt, M.; et al. In Vivo Histology of the Cornea—From the Rostock Cornea Module to the Rostock Electronic Slit Lamp—A Clinical Proof of Concept Study. Klin. Monbl. Augenheilkd. 2020, 237, 1442–1454. [Google Scholar] [CrossRef] [PubMed]
- Bohn, S.; Sperlich, K.; Allgeier, S.; Bartschat, A.; Prakasam, R.; Reichert, K.; Stolz, H.; Guthoff, R.; Mikut, R.; Köhler, B.; et al. Cellular in vivo 3D Imaging of the Cornea by Confocal Laser Scanning Microscopy. Biomed. Opt. Express 2018, 9, 2511–2525. [Google Scholar] [CrossRef] [PubMed]
- Allgeier, S.; Maier, S.; Mikut, R.; Peschel, S.; Reichert, K.M.; Stachs, O.; Köhler, B. Mosaicking the Subbasal Nerve Plexus by Guided Eye Movements. Invest. Ophthalmol. Vis. Sci. 2014, 55, 6082–6089. [Google Scholar] [CrossRef]
- Köhler, B.; Bretthauer, G.; Guthoff, R.F.; Reichert, K.M.; Sieber, I.; Stachs, O.; Toso, L.; Allgeier, S. EyeGuidance—A Computer Controlled System to Guide Eye Movements. Curr. Direct. Biomed. Eng. 2016, 2, 433–436. [Google Scholar] [CrossRef]
- Allgeier, S.; Bartschat, A.; Bohn, S.; Peschel, S.; Reichert, K.M.; Sperlich, K.; Walckling, M.; Hagenmeyer, V.; Mikut, R.; Stachs, O.; et al. 3D Confocal Laser-Scanning Microscopy for Large-Area Imaging of the Corneal Subbasal Nerve Plexus. Sci. Rep. 2018, 8, 7468. [Google Scholar] [CrossRef]
- Winter, K.; Scheibe, P.; Köhler, B.; Allgeier, S.; Guthoff, R.F.; Stachs, O. Local Variability of Parameters for Characterization of the Corneal Subbasal Nerve Plexus. Curr. Eye Res. 2015, 41, 186–198. [Google Scholar] [CrossRef]
- Kobayashi, A.; Yokogawa, H.; Sugiyama, K. In Vivo Laser Confocal Microscopy of Bowman’s Layer of the Cornea. Ophthalmology 2006, 113, 2203–2208. [Google Scholar] [CrossRef] [PubMed]
- Yokogawa, H.; Kobayashi, A.; Sugiyama, K. Mapping of Normal Corneal K-Structures by in vivo Laser Confocal Microscopy. Cornea 2008, 27, 879–883. [Google Scholar] [CrossRef] [PubMed]
- Stache, N.; Sterenczak, K.A.; Sperlich, K.; Marfurt, C.F.; Allgeier, S.; Köhler, B.; Mikut, R.; Bartschat, A.; Reichert, K.-M.; Guthoff, R.F.; et al. Assessment of Dynamic Corneal Nerve Changes Using Static Landmarks by in vivo Large-Area Confocal Microscopy—A Longitudinal Proof-of-Concept Study. Quant Imaging Med. Surg. 2022, 12, 4734–4746. [Google Scholar] [CrossRef] [PubMed]
- Molassiotis, A.; Cheng, H.L.; Lopez, V.; Au, J.S.K.; Chan, A.; Bandla, A.; Leung, K.T.; Li, Y.C.; Wong, K.H.; Suen, L.K.P.; et al. Are We Mis-Estimating Chemotherapy-Induced Peripheral Neuropathy? Analysis of Assessment Methodologies from a Prospective, Multinational, Longitudinal Cohort Study of Patients Receiving Neurotoxic Chemotherapy. BMC Cancer 2019, 19, 132. [Google Scholar] [CrossRef]
- Haider, A.; Bababeygy, S.R.; Lu, S.Y. Cystoid Macular Edema and Macular Pigmentation Associated with Nab-Paclitaxel Therapy. Retin. Cases Brief Rep. 2015, 9, 220–222. [Google Scholar] [CrossRef] [PubMed]
- Joshi, M.M.; Garretson, B.R. Paclitaxel Maculopathy. Arch. Ophthalmol. 2007, 125, 709–710. [Google Scholar] [CrossRef] [PubMed]
- Kuznetcova, T.I.; Cech, P.; Herbort, C.P.; Kuznetcova, T.I.; Herbort, C.P.; Cech, P. The Mystery of Angiographically Silent Macular Oedema Due to Taxanes. Int. Ophthalmol. 2012, 32, 299–304. [Google Scholar] [CrossRef]
- Meyer, K.M.; Klink, T.; Ugurel, S.; Bröcker, E.B. Regression of Paclitaxel-Induced Maculopathy with Oral Acetazolamide. Graefe’s Arch. Clin. Exp. Ophthalmol. 2012, 250, 463–464. [Google Scholar] [CrossRef] [PubMed]
- Chelala, E.; Arej, N.; Antoun, J.; Kourie, H.R.; Zaarour, K.; Haddad, F.G.; Farhat, F.; El Karak, F.; Kattan, J. Central Macular Thickness Monitoring after a Taxane-Based Therapy in Visually Asymptomatic Patients. Chemotherapy 2017, 62, 199–204. [Google Scholar] [CrossRef]








| SNP Parameter | Abbreviation | Definition | Unit | 
|---|---|---|---|
| Corneal nerve fiber length | CNFL | Total length of all nerve fibers per unit area | mm/mm2 | 
| Corneal total nerve fiber density | CTNFD | Number of nerve fibers per unit area, counting each segment separated by branching points as a single nerve fiber | 1/mm2 | 
| Corneal nerve branching point density | CNBPD | Number of branching points per unit area | 1/mm2 | 
| Corneal nerve fiber tortuosity | CNFTo | (Sum of absolute nerve curvature)/(nerve fiber length) | - | 
| Characteristics | Patients | Controls | p-Value | 
|---|---|---|---|
| Sex (n female/n male) | 12/0 | 10/0 | n.a. | 
| Median age (range) {years} | 49.5 (28–66) | 52.5 (27–60) | 0.174 **** | 
| Median BMI (range) | 24.1 (18.8–40) | 22.5 (20.8–26.8) | 0.121 *** | 
| Eye disease (n) | 4 | 2 | 0.646 * | 
| Neurological disease (n) | 3 | 0 | 0.221 * | 
| Gynecological disease (n) | 3 | 2 | 1.000 * | 
| Oncological disease (n) | 0 | 0 | n.a. | 
| Diabetes (n) | 0 | 0 | n.a. | 
| Allergies (n) | 7 | 4 | 0.670 * | 
| Medication (n) | 4 | 3 | 1.000 * | 
| Nicotine consumption (n yes/n no more/n no) | 4/3/5 | 0/4/6 | 0.130 ** | 
| Alcohol consumption (n occasionally/n no) | 12/0 | 5/5 | 0.10 * | 
| Drug consumption (n yes/n no) | 0/12 | 0/10 | n.a. | 
| Tumor Stage, Grading, and Receptor Status: | n | |
|---|---|---|
| Stage initial | cT0 | 1 | 
| cT1 | 4 | |
| cT2 | 7 | |
| N initial | cN0/pN0 | 8 | 
| N+ (CNB) | 3 | |
| N1 (SLNB) | 1 | |
| Grading initial | 1 | 1 | 
| 2 | 2 | |
| 3 | 9 | |
| ER | positive | 4 | 
| negative | 8 | |
| PR | positive | 4 | 
| negative | 4 | |
| (HER)2 | positive | 2 | 
| negative | 10 | |
| Cytostatic drugs (mean cumulative dose/SD/range) {mg}: | n | |
| Anthracyclin | 647.9/62.7/583.2–748.8 | 11 | 
| Cyclophosphamid | 4330.4/409.6/3888–4992 | 11 | 
| Paclitaxel | 1426.2/418.8/612.0–1996.8 | 12 | 
| Carboplatin | 1638.7/846.8/1125–2116 | 3 | 
| Total Score | Patients (n = 12) | Controls (n = 10) | p-Value | 
|---|---|---|---|
| NSS (0/1/2/3) | 11/1/0/0 | 9/0/0/1 | 0.361 ** | 
| NDS (0/1/2/3) | 10/1/1/0 | 9/0/1/0 | 0.645 ** | 
| CIPN Scores (Median/Range) | Patients (n = 12) | Controls (n = 10) | p-Value | 
|---|---|---|---|
| EORTC Score | 19/18–22 | 19/19–20 | 1.000 *** | 
| Physical well being | 28/16–28 | 27/23–28 | 0.140 *** | 
| Social well being | 27/16–28 | 27.5/25–28 | 0.203 *** | 
| Emotional well being | 17.5/7–20 | 23/19–24 | ≤0.001 *** | 
| Functional well being | 18.5/8–28 | 24/22–28 | 0.009 *** | 
| Taxane Subscale | 63/59–64 | 64/46–64 | 0.582 *** | 
| Trial Outcome Index | 109/87–119 | 115.5/92–120 | 0.203 *** | 
| FACT- Taxane total score | 149/122–165 | 164/137–172 | 0.009 *** | 
| CIPN Scores | T0 | T1 | T2 | T3 | p-Value ***** | |
|---|---|---|---|---|---|---|
| EORTC | Mean | 19.3 | 20.4 | 24.7 | 28.6 | ≤0.001 | 
| SD | 0.84 | 1.3 | 6.2 | 8.4 | ||
| Range | 18–22 | 19–22 | 19–40 | 21–45 | ||
| Taxane Subscale | Mean | 62.1 | 59.7 | 56.1 | 48.2 | ≤0.001 | 
| SD | 2 | 2.9 | 9.6 | 11.6 | ||
| Range | 59–64 | 55–63 | 30–63 | 30–62 | ||
| Trial Outcome Index | Mean | 106.7 | 96.5 | 96.9 | 83.4 | 0.006 | 
| SD | 9.0 | 13.8 | 20.7 | 24.7 | ||
| Range | 87–119 | 78–116 | 42–117 | 40–116 | ||
| FACT Taxane Total Score | Mean | 145.7 | 141.3 | 141.4 | 127.5 | 0.046 | 
| SD | 12.7 | 18 | 25.1 | 29.6 | ||
| Range | 122–161 | 109–165 | 75–163 | 67–162 | ||
| NDS total | Mean | 0.3 | 0.4 | 2.1 | 4.0 | ≤0.001 | 
| SD | 0.675 | 0.843 | 2.234 | 1.7 | ||
| Range | 0–2 | 0–2 | 0–6 | 2–6 | ||
| NSS total | Mean | 0 | 0.3 | 4.2 | 6.6 | ≤0.001 | 
| SD | 0 | 0.7 | 3.6 | 1.6 | ||
| Range | 0 | 0–2 | 0–10 | 4–8 | ||
| Score | T0–T1 | T0–T2 | T0–T3 | T1–T2 | T1–T3 | T2–T3 | 
|---|---|---|---|---|---|---|
| EORTC | 0.341 | 0.015 | ≤0.001 | 0.141 | ≤0.001 | 0.069 | 
| Taxane Subscale | 0.100 | 0.69 | ≤0.001 | 0.862 | 0.012 | 0.019 | 
| Trial Outcome Index | 0.024 | 0.194 | ≤0.001 | 0.341 | 0.260 | 0.038 | 
| FACT Total Score | 0.488 | 0.665 | 0.030 | 0.26 | 0.141 | 0.009 | 
| NDS | 1.000 | 0.119 | ≤0.001 | 0.119 | ≤0.001 | 0.038 | 
| NSS | 0.665 | 0.019 | ≤0.001 | 0.057 | ≤0.001 | 0.141 | 
| Disclaimer/Publisher’s Note: The statements, opinions and data contained in all publications are solely those of the individual author(s) and contributor(s) and not of MDPI and/or the editor(s). MDPI and/or the editor(s) disclaim responsibility for any injury to people or property resulting from any ideas, methods, instructions or products referred to in the content. | 
© 2023 by the authors. Licensee MDPI, Basel, Switzerland. This article is an open access article distributed under the terms and conditions of the Creative Commons Attribution (CC BY) license (https://creativecommons.org/licenses/by/4.0/).
Share and Cite
Stache, N.; Bohn, S.; Sperlich, K.; George, C.; Winter, K.; Schaub, F.; Do, H.-V.; Röhlig, M.; Reichert, K.-M.; Allgeier, S.; et al. Taxane-Induced Neuropathy and Its Ocular Effects—A Longitudinal Follow-up Study in Breast Cancer Patients. Cancers 2023, 15, 2444. https://doi.org/10.3390/cancers15092444
Stache N, Bohn S, Sperlich K, George C, Winter K, Schaub F, Do H-V, Röhlig M, Reichert K-M, Allgeier S, et al. Taxane-Induced Neuropathy and Its Ocular Effects—A Longitudinal Follow-up Study in Breast Cancer Patients. Cancers. 2023; 15(9):2444. https://doi.org/10.3390/cancers15092444
Chicago/Turabian StyleStache, Nadine, Sebastian Bohn, Karsten Sperlich, Christian George, Karsten Winter, Friederike Schaub, Ha-Vy Do, Martin Röhlig, Klaus-Martin Reichert, Stephan Allgeier, and et al. 2023. "Taxane-Induced Neuropathy and Its Ocular Effects—A Longitudinal Follow-up Study in Breast Cancer Patients" Cancers 15, no. 9: 2444. https://doi.org/10.3390/cancers15092444
APA StyleStache, N., Bohn, S., Sperlich, K., George, C., Winter, K., Schaub, F., Do, H.-V., Röhlig, M., Reichert, K.-M., Allgeier, S., Stachs, O., Stachs, A., & Sterenczak, K. A. (2023). Taxane-Induced Neuropathy and Its Ocular Effects—A Longitudinal Follow-up Study in Breast Cancer Patients. Cancers, 15(9), 2444. https://doi.org/10.3390/cancers15092444
 
        


 
       