Role of Homologous Recombination Repair (HRR) Genes in Uterine Leiomyosarcomas: A Retrospective Analysis
Abstract
:Simple Summary
Abstract
1. Introduction
2. Material and Methods
2.1. Patient Selection
2.2. Tissue Samples, DNA Extraction and Quality Evaluation
2.3. Multi-Gene Panel Test and Next-Generation Sequencing
2.4. Mutational Analysis, CNV Prediction and Variant Classification
2.5. Statistical Analysis
3. Results
3.1. Patient Characteristics
3.2. Tumor Sample Features
3.3. Clinical Outcomes
3.4. Genomic Characterization
3.5. Survival Analysis Based on Molecular Characterization
4. Discussion
5. Conclusions
Supplementary Materials
Author Contributions
Funding
Institutional Review Board Statement
Informed Consent Statement
Data Availability Statement
Conflicts of Interest
References
- Tantari, M.; Barra, F.; Di Domenico, S.; Ferraioli, D.; Vellone, V.G.; De Cian, F.; Ferrero, S. Current state of the art and emerging pharmacotherapy for uterine leiomyosarcomas. Expert Opin. Pharmacother. 2019, 20, 713–723. [Google Scholar] [CrossRef]
- Hosh, M.; Antar, S.; Nazzal, A.; Warda, M.; Gibreel, A.; Refky, B. Uterine Sarcoma: Analysis of 13,089 cases based on Surveillance, Epidemiology, and End Results database. Int. J. Gynecol. Cancer 2016, 26, 1098–1104. [Google Scholar] [CrossRef]
- D’Angelo, E.; Prat, J. Uterine sarcomas: A review. Gynecol. Oncol. 2010, 116, 131–139. [Google Scholar] [CrossRef]
- Ricci, S.; Giuntoli, R.L., 2nd; Eisenhauer, E.; Lopez, M.A.; Krill, L.; Tanner, E.J., 3rd; Gehrig, P.A.; Havrilesky, L.J.; Secord, A.A.; Levinson, K.; et al. Does adjuvant chemotherapy improve survival for women with early-stage uterine leiomyosarcoma? Gynecol. Oncol. 2013, 131, 629–633. [Google Scholar] [CrossRef]
- Judson, I.; Verweij, J.; Gelderblom, H.; Hartmann, J.T.; Schöffski, P.; Blay, J.Y.; Kerst, J.M.; Sufliarsky, J.; Whelan, J.; Hohenberger, P.; et al. European Organisation and Treatment of Cancer Soft Tissue and Bone Sarcoma Group. Doxorubicin alone versus intensified doxorubicin plus ifosfamide for first-line treatment of advanced or metastatic soft-tissue sarcoma:a randomised controlled phase 3 trial. Lancet Oncol. 2014, 15, 415–423. [Google Scholar] [CrossRef]
- Uterine Neoplasm NCCN. 2020. Available online: https://www.nccn.org/professionals/physician_gls/pdf/uterine.pdf (accessed on 3 June 2021).
- Casali, P.G.; Abecassis, N.; Bauer, S. Soft tissue and visceral sarcomas: ESMO–EURACAN Clinical Practice Guidelines for diagnosis, treatment and follow-up; ESMO Guidelines Committee and EURACAN. Ann. Oncol. 2018, 29 (Suppl. S4), iv51–iv67. [Google Scholar] [CrossRef]
- Ferrandina, G.; Aristei, C.; Biondetti, P.R.; Cananzi, F.C.M.; Casali, P.; Ciccarone, F.; Colombo, N.; Comandone, A.; Corvo’, R.; De Iaco, P.; et al. Corrigendum to “Italian consensus conference on management of uterine sarcomas on behalf of S.I.G.O. (Societa’ italiana di Ginecologia E Ostetricia)”. Eur. J. Cancer 2020, 139, 149–168. [Google Scholar] [CrossRef]
- Arend, R.C.; Toboni, M.D.; Montgomery, A.M.; Burger, R.A.; Olawaiye, A.B.; Monk, B.J.; Herzog, T.J. Systemic treatment of metastatic/recurrent uterine leiomyosarcoma: A changing paradigm. Oncologist 2018, 23, 1533–1545. [Google Scholar] [CrossRef] [Green Version]
- Seddon, B.; Strauss, S.J.; Whelan, J.; Leahy, M.; Woll, P.J.; Cowie, F.; Rothermundt, C.; Wood, Z.; Benson, C.; Ali, N.; et al. Gemcitabine and docetaxel versus doxorubicin as first-line treatment in previously untreated advanced unresectable or metastatic soft-tissue sarcomas (GeDDiS): A randomised controlled phase 3 trial. Lancet Oncol. 2017, 18, 1397–1410. [Google Scholar] [CrossRef] [Green Version]
- Hensley, M.L.; Patel, S.R.; von Mehren, M.; Ganjoo, K.; Jones, R.L.; Staddon, A.; Rushing, D.; Milhem, M.; Monk, B.; Wang, G.; et al. Efficacy andsafety of trabectedin or dacarbazine in patients with advanced uterine leiomyosarcoma after failure of anthracycline-based chemotherapy: Subgroup analysis of a phase 3, randomized clinical trial. Gynecol. Oncol. 2017, 146, 531–537. [Google Scholar] [CrossRef]
- Blay, J.Y.; Schöffski, P.; Bauer, S.; Krarup-Hansen, A.; Benson, C.; D’Adamo, D.R.; Jia, Y.; Maki, R.G. Eribulin versus dacarbazine in patients with leiomyosarcoma: Subgroup analysis from a phase 3, open-label, randomised study. Br. J. Cancer 2019, 120, 1026–1032. [Google Scholar] [CrossRef] [Green Version]
- van der Graaf, W.T.; Blay, J.Y.; Chawla, S.P.; Kim, D.W.; Bui-Nguyen, B.; Casali, P.G.; Schöffski, P.; Aglietta, M.; Staddon, A.P.; Beppu, Y.; et al. EORTC Soft Tissue and Bone Sarcoma Group; PALETTE study group. Pazopanib for metastatic soft-tissue sarcoma (PALETTE): A randomised, double-blind, placebo-controlled phase 3 trial. Lancet 2012, 379, 1879–1886. [Google Scholar] [CrossRef]
- Kelley, T.W.; Borden, E.C.; Goldblum, J.R. Estrogen and progesterone receptor expression in uterine and extrauterine leiomyosarcomas: An immunohistochemical study. Appl. Immunohistochem. Mol. Morphol. 2004, 12, 338–341. [Google Scholar] [CrossRef]
- George, S.; Feng, Y.; Manola, J.; Nucci, M.R.; Butrynski, J.E.; Morgan, J.A.; Ramaiya, N.; Quek, R.; Penson, R.T.; Wagner, A.J.; et al. Phase 2 trial of aromatase inhibition with letrozole in patients with uterine leiomyosarcomas expressing estrogen and/or progesterone receptors. Cancer 2014, 120, 738–743. [Google Scholar] [CrossRef]
- Guo, X.; Jo, V.Y.; Mills, A.M.; Zhu, S.X.; Lee, C.H.; Espinosa, I.; Nucci, M.R.; Varma, S.; Forgó, E.; Hastie, T.; et al. Clinically relevant molecular subtypes in leiomyosarcoma. Clin. Cancer Res. 2015, 21, 3501–3511. [Google Scholar] [CrossRef] [Green Version]
- Mäkinen, N.; Aavikko, M.; Heikkinen, T.; Taipale, M.; Taipale, J.; Koivisto-Korander, R.; Bützow, R.; Vahteristo, P. Exome sequencing of uterine leiomyosarcomas identifies frequent mutations in TP53, ATRX, and MED12. PLoS Genet. 2016, 12, e1005850. [Google Scholar] [CrossRef]
- Cancer Genome Atlas Research Network. Comprehensive and integrated genomic characterization of adult soft tissue sarcomas. Cell 2017, 171, 950–965.e28. [Google Scholar] [CrossRef] [Green Version]
- Cuppens, T.; Moisse, M.; Depreeuw, J.; Annibali, D.; Colas, E.; Gil-Moreno, A.; Huvila, J.; Carpén, O.; Zikán, M.; Matias-Guiu, X.; et al. Integrated genome analysis of uterine leiomyosarcoma to identify novel driver genes and targetable pathways. Int. J. Cancer 2018, 142, 1230–1243. [Google Scholar] [CrossRef] [Green Version]
- Movva, S.; Wen, W.; Chen, W.; Millis, S.Z.; Gatalica, Z.; Reddy, S.; von Mehren, M.; Van Tine, B.A. Multi-platform profiling of over 2000 sarcomas: Identification of biomarkers and novel therapeutic targets. Oncotarget 2015, 6, 12234–12247. [Google Scholar] [CrossRef] [Green Version]
- Lucchesi, C.; Khalifa, E.; Laizet, Y.; Soubeyran, I.; Mathoulin-Pelissier, S.; Chomienne, C.; Italiano, A. Targetable alterations in adult patients with soft-tissue sarcomas: Insights for personalized therapy. JAMA Oncol. 2018, 4, 1398–1404. [Google Scholar] [CrossRef]
- Seligson, N.D.; Kautto, E.A.; Passen, E.N.; Stets, C.; Toland, A.E.; Millis, S.Z.; Meyer, C.F.; Hays, J.L.; Chen, J.L. BRCA1/2 functional loss defines a targetable subset in leiomyosarcoma. Oncologist 2018, 23, 1–7. [Google Scholar] [CrossRef] [Green Version]
- Hensley, M.L.; Chavan, S.S.; Solit, D.B.; Murali, R.; Soslow, R.; Chiang, S.; Jungbluth, A.A.; Bandlamudi, C.; Srinivasan, P.; Tap, W.D.; et al. Genomic landscape of uterine sarcomas defined through prospective clinical sequencing. Clin. Cancer Res. 2020, 26, 3881–3888. [Google Scholar] [CrossRef] [Green Version]
- Rosenbaum, E.; Jonsson, P.; Seier, K.; Qin, L.; Chi, P.; Dickson, M.; Gounder, M.; Kelly, C.; Keohan, M.; Nacev, B.; et al. Clinical outcome of leiomyosarcomas with somatic alteration in Homologous Recombination Pathway Genes. JCO Precis. Oncol. 2020, 4, 1350–1360. [Google Scholar] [CrossRef]
- Astolfi, A.; Nannini, M.; Indio, V.; Schipani, A.; Rizzo, A.; Perrone, A.M.; De Iaco, P.; Pirini, M.G.; De Leo, A.; Urbini, M.; et al. Genomic Database analysis of uterine leiomyosarcoma mutational profile. Cancers 2020, 12, 2126. [Google Scholar] [CrossRef]
- Choi, J.; Manzano, A.; Dong, W.; Bellone, S.; Bonazzoli, E.; Zammataro, L.; Yao, X.; Deshpande, A.; Zaidi, S.; Guglielmi, A.; et al. Integrated mutational landscape analysis of uterine leiomyosarcomas. Proc. Natl. Acad. Sci. USA 2021, 118, e2025182118. [Google Scholar] [CrossRef]
- Schaefer, I.M.; Lundberg, M.Z.; Demicco, E.G.; Przybyl, J.; Matusiak, M.; Chibon, F.; Ingram, D.R.; Hornick, J.L.; Wang, W.L.; Bauer, S.; et al. Relationships between highly recurrent tumor suppressor alterations in 489 leiomyosarcomas. Cancer 2021, 127, 2666–2673. [Google Scholar] [CrossRef]
- Smits, A.J.; Kummer, J.A.; de Bruin, P.C.; Bol, M.; van den Tweel, J.G.; Seldenrijk, K.A.; Willems, S.M.; Offerhaus, G.J.; de Weger, R.A.; van Diest, P.J.; et al. The estimation of tumor cell percentage for molecular testing by pathologists is not accurate. Mod. Pathol. 2014, 27, 168–174. [Google Scholar] [CrossRef]
- Kaplan, E.L.; Meier, P. Nonparametric estimation from incomplete samples. J. Am. Stat. Assoc. 1958, 53, 457–481. [Google Scholar] [CrossRef]
- Mantel, N. Evaluation of survival data and two new rank order statistics arising in its consideration. Cancer Chemother. Rep. 1966, 50, 163–170. [Google Scholar]
- Cox, D.R. Models and Life-Tables Regression. J. R. Stat. Soc. Ser. B 1972, 34, 187–220. [Google Scholar] [CrossRef]
- Marei, H.E.; Althani, A.; Afifi, N.; Hasan, A.; Caceci, T.; Pozzoli, G.; Morrione, A.; Giordano, A.; Cenciarelli, C. p53 signaling in cancer progression and therapy. Cancer Cell Int. 2021, 21, 703. [Google Scholar] [CrossRef]
- Felix, C.A.; Hosler, M.R.; Provisor, D.; Salhany, K.; Sexsmith, E.A.; Slater, D.J.; Cheung, N.K.; Winick, N.J.; Strauss, E.A.; Heyn, R.; et al. The p53 gene in pediatric therapy-related leukemia and myelodysplasia. Blood 1996, 87, 4376–4381. [Google Scholar] [CrossRef] [Green Version]
- Wang, P.Y.; Ma, W.; Park, J.Y.; Celi, F.S.; Arena, R.; Choi, J.W.; Ali, Q.A.; Tripodi, D.J.; Zhuang, J.; Lago, C.U.; et al. Increased oxidative metabolism in the Li-Fraumeni syndrome. N. Engl. J. Med. 2013, 368, 1027–1032. [Google Scholar] [CrossRef] [Green Version]
- Carter, N.J.; Marshall, M.L.; Susswein, L.R.; Zorn, K.K.; Hiraki, S.; Arvai, K.J.; Torene, R.I.; McGill, A.K.; Yackowski, L.; Murphy, P.D.; et al. Germline pathogenic variants identified in women with ovarian tumors. Gynecol Oncol. 2018, 151, 481–488. [Google Scholar] [CrossRef]
- Kim, Y.M.; Lee, S.W.; Lee, Y.J.; Lee, H.Y.; Lee, J.E.; Choi, E.K. Prospective study of the efficacy and utility of TP53 mutations in circulating tumor DNA as a non-invasive biomarker of treatment response monitoring in patients with high-grade serous ovarian carcinoma. J. Gynecol. Oncol. 2019, 30, e32. [Google Scholar] [CrossRef]
- Zhao, Z.M.; Zhao, B.; Bai, Y.; Iamarino, A.; Gaffney, S.G.; Schlessinger, J.; Lifton, R.P.; Rimm, D.L.; Townsend, J.P. Early and multiple origins of metastatic lineages within primary tumors. Proc. Natl. Acad. Sci. USA 2016, 113, 2140–2145. [Google Scholar] [CrossRef] [Green Version]
- Hinds, P.W.; Weinberg, R.A. Tumor suppressor genes. Curr. Opin. Genet. Dev. 1994, 4, 135–141. [Google Scholar] [CrossRef]
- Harbers, L.; Agostini, F.; Nicos, M.; Poddighe, D.; Bienko, M.; Crosetto, N. Somatic Copy Number Alterations in Human Cancers: An Analysis of Publicly Available Data from The Cancer Genome Atlas. Front. Oncol. 2021, 11, 700568. [Google Scholar] [CrossRef]
- De Paolis, E.; De Bonis, M.; Concolino, P.; Piermattei, A.; Fagotti, A.; Urbani, A.; Scambia, G.; Minucci, A.; Capoluongo, E. Droplet digital PCR for large genomic rearrangements detection: A promising strategy in tissue BRCA1 testing. Clin. Chim. Acta 2021, 513, 17–24. [Google Scholar] [CrossRef]
- Jeggo, P.A.; Pearl, L.H.; Carr, A.M. DNA repair, genome stability and cancer: A historical perspective. Nat. Rev. Cancer 2016, 16, 35–42. [Google Scholar] [CrossRef] [Green Version]
- Gonzalez, D.; Stenzinger, A. Homologous recombination repair deficiency (HRD): From biology to clinical exploitation. Genes Chromosomes Cancer 2021, 60, 299–302. [Google Scholar] [CrossRef]
- Bernards, S.S.; Pennington, K.P.; Harrell, M.I.; Agnew, K.J.; Garcia, R.L.; Norquist, B.M.; Swisher, E.M. Clinical characteristics and outcomes of patients with BRCA1 or RAD51C methylated versus mutated ovarian carcinoma. Gynecol. Oncol. 2018, 148, 281–285. [Google Scholar] [CrossRef]
- Chudasama, P.; Mughal, S.S.; Sanders, M.A.; Hübschmann, D.; Chung, I.; Deeg, K.I.; Wong, S.H.; Rabe, S.; Hlevnjak, M.; Zapatka, M.; et al. Integrative genomic and transcriptomic analysis of leiomyosarcoma. Nat. Commun. 2018, 9, 144. [Google Scholar] [CrossRef] [Green Version]
- Oza, J.; Doshi, S.D.; Hao, L.; Musi, E.; Schwartz, G.K.; Ingham, M. Homologous recombination repair deficiency as a therapeutic target in sarcoma. Semin. Oncol. 2020, 47, 380–389. [Google Scholar] [CrossRef]




| Patient Characteristics | uLMS Group (N = 105) |
|---|---|
| Age, yrs | |
| median (range) | 52 (25–94) |
| Menopause | |
| Yes | 53 (50.4%) |
| No | 48 (46.1%) |
| n.a. | 4 (3.5%) |
| Familiarity cancer risk | |
| Yes | 67 (63.8%) |
| No | 34 (32.8%) |
| n.a. | 4 (3.4%) |
| FIGO stage | |
| I | 71 (67.6%) |
| II | 10 (9.5%) |
| III | 9 (8.5%) |
| IV | 14 (13.4%) |
| n.a. | 1 (1.0%) |
| Histotype | |
| Spindle | 73 (69.5%) |
| Epithelioid | 10 (9.5%) |
| Mixoid | 9 (8.6%) |
| Mixed | 13 (12.4%) |
| Surgery | |
| Primary cytoreduction | 73 (69.5%) |
| Secondary cytoreduction | 32 (30.5%) |
| Adjuvant therapy a | |
| Chemotherapy | |
| Yes | 89 (84.7%) |
| No | 11 (10.5%) |
| n.a. | 5 (4.8%) |
| Radiotherapy | |
| Local disease control | 12 (63.2%) |
| Palliative | 7 (36.8%) |
| uLMS Tissue Samples (N = 112) | |
|---|---|
| Tumor cellularity | 10.6 (3–42) |
| <20% | 2 (1.8%) |
| 21–40% | 7 (6.2%) |
| 41–60% | 4 (3.5%) |
| 61–80% | 29 (25.8%) |
| >80% | 70 (62.7%) |
| Median (range) | 90% (10–100) |
| Tumor necrosis | |
| <20% | 91 (81.2%) |
| 21–40% | 14 (12.5%) |
| 41–60% | 6 (5.4%) |
| 61–80% | 1 (0.9%) |
| >80% | 0 |
| Median (range) | 0% (0–70) |
| Estrogen receptors | |
| Primary tissue samples (N = 73) | |
| median (range) | 21% (0–100) |
| Recurrence tissue samples (N = 39) | |
| median (range) | 28% (0–90) |
| Progesterone receptors | |
| Primary tissue samples (N = 73) | 15% (0–100) |
| median (range) | |
| Recurrence tissue samples (N = 39) | 18% (0–100) |
| median (range) | |
| Ki67 | |
| median (range) | 48% (10–90) |
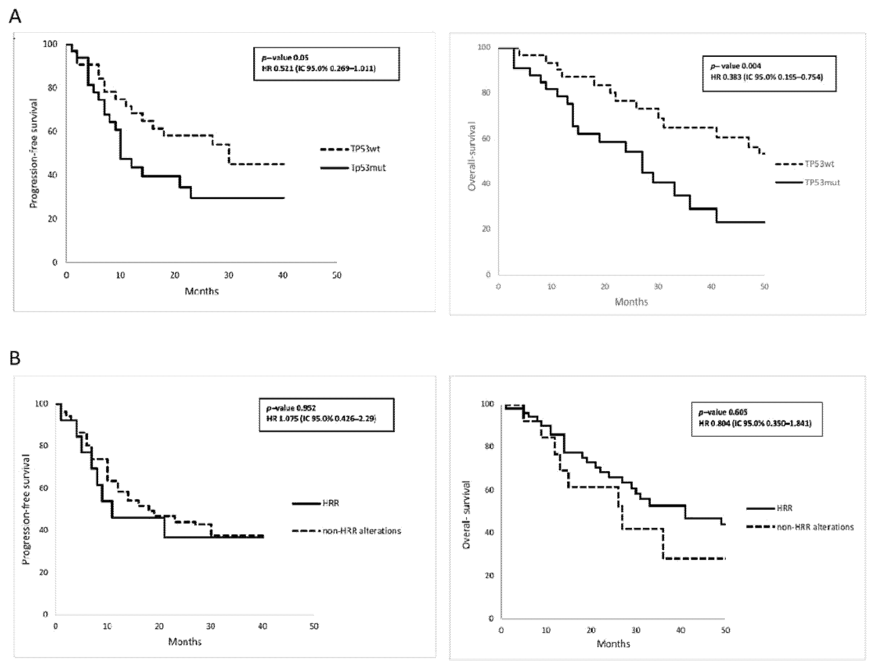
| Variables | PFS | OS | |||
|---|---|---|---|---|---|
| N. | HR (CI95%) | p Value | HR (CI95%) | p Value | |
| FIGO stage | |||||
| Advanced/metastatic | 19 | ||||
| Early | 54 | 0.338 (0.161–0.709) | 0.004 | 0.449 (0.211–0.954) | 0.037 |
| TP53 alterations | |||||
| Yes | 30 * | ||||
| No | 43 | 0.510 (0.246–1.056) | 0.07 | 0.312 (0.145–0.670) | 0.003 |
| CNA | |||||
| Presence | 15 | ||||
| Absent | 58 | 1.102 (0.504–2.410) | 0.807 | 1.056 (0.474–2.353) | 0.893 |
| BRCA and HRR alterations | |||||
| Yes | 8 * | ||||
| No | 65 | 0.991 (0.419–2.344) | 0.983 | 0.695 (0.293–1.648) | 0.409 |
Publisher’s Note: MDPI stays neutral with regard to jurisdictional claims in published maps and institutional affiliations. |
© 2022 by the authors. Licensee MDPI, Basel, Switzerland. This article is an open access article distributed under the terms and conditions of the Creative Commons Attribution (CC BY) license (https://creativecommons.org/licenses/by/4.0/).
Share and Cite
Ciccarone, F.; Bruno, M.; De Paolis, E.; Piermattei, A.; De Bonis, M.; Lorusso, D.; Zannoni, G.F.; Normanno, N.; Minucci, A.; Scambia, G.; et al. Role of Homologous Recombination Repair (HRR) Genes in Uterine Leiomyosarcomas: A Retrospective Analysis. Cancers 2022, 14, 1934. https://doi.org/10.3390/cancers14081934
Ciccarone F, Bruno M, De Paolis E, Piermattei A, De Bonis M, Lorusso D, Zannoni GF, Normanno N, Minucci A, Scambia G, et al. Role of Homologous Recombination Repair (HRR) Genes in Uterine Leiomyosarcomas: A Retrospective Analysis. Cancers. 2022; 14(8):1934. https://doi.org/10.3390/cancers14081934
Chicago/Turabian StyleCiccarone, Francesca, Matteo Bruno, Elisa De Paolis, Alessia Piermattei, Maria De Bonis, Domenica Lorusso, Gian Franco Zannoni, Nicola Normanno, Angelo Minucci, Giovanni Scambia, and et al. 2022. "Role of Homologous Recombination Repair (HRR) Genes in Uterine Leiomyosarcomas: A Retrospective Analysis" Cancers 14, no. 8: 1934. https://doi.org/10.3390/cancers14081934
APA StyleCiccarone, F., Bruno, M., De Paolis, E., Piermattei, A., De Bonis, M., Lorusso, D., Zannoni, G. F., Normanno, N., Minucci, A., Scambia, G., & Ferrandina, G. (2022). Role of Homologous Recombination Repair (HRR) Genes in Uterine Leiomyosarcomas: A Retrospective Analysis. Cancers, 14(8), 1934. https://doi.org/10.3390/cancers14081934

