Nomograms Based on Fibrinogen, Albumin, Neutrophil-Lymphocyte Ratio, and Carbohydrate Antigen 125 for Predicting Endometrial Cancer Prognosis
Abstract
Simple Summary
Abstract
1. Introduction
2. Methods and Patients
2.1. Patients
2.2. Data Collection
2.3. Statistical Analysis
3. Results
3.1. Patient Characteristics
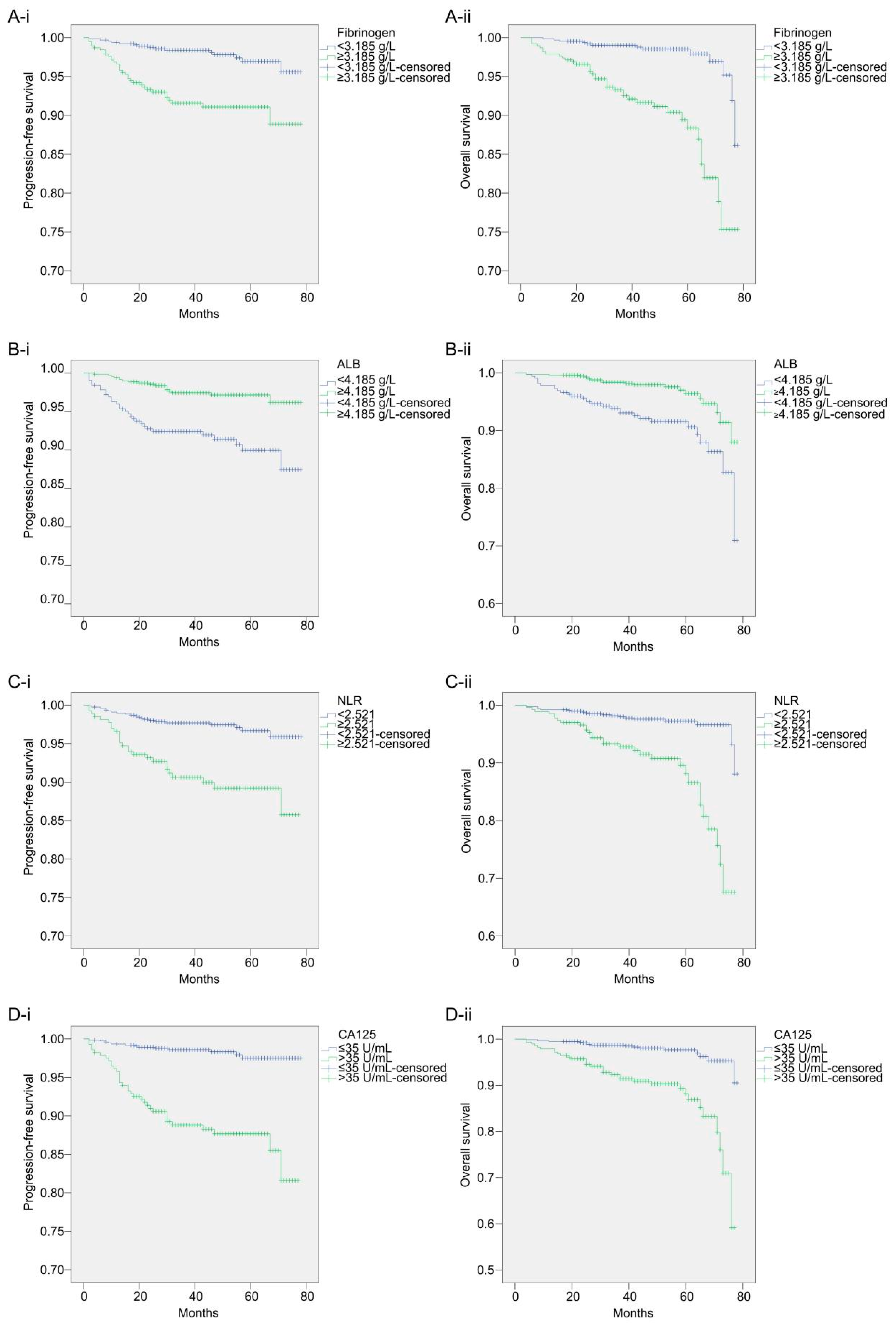
3.2. Identification of Independent Prognostic Factors
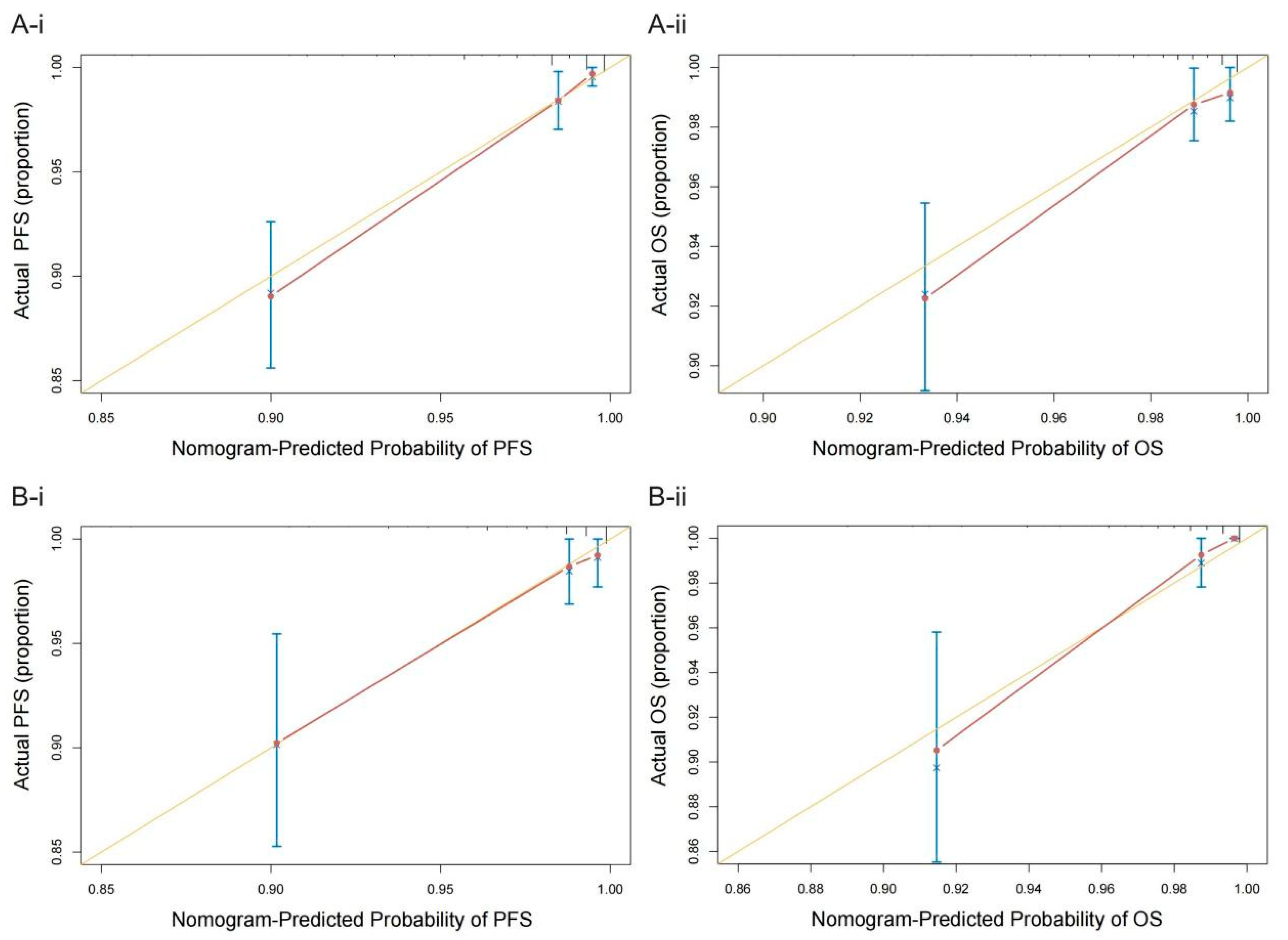
3.3. Nomogram Construction and Validation
4. Discussion
Supplementary Materials
Author Contributions
Funding
Institutional Review Board Statement
Informed Consent Statement
Data Availability Statement
Acknowledgments
Conflicts of Interest
References
- Li, Q.; Cong, R.; Kong, F.; Ma, J.; Wu, Q.; Ma, X. Fibrinogen Is a Coagulation Marker Associated with the Prognosis of Endometrial Cancer. OncoTargets Ther. 2019, 12, 9947–9956. [Google Scholar] [CrossRef] [PubMed]
- Li, Q.; Cong, R.; Wang, Y.; Kong, F.; Ma, J.; Wu, Q.; Ma, X. Naples prognostic score is an independent prognostic factor in patients with operable endometrial cancer: Results from a retrospective cohort study. Gynecol. Oncol. 2021, 160, 91–98. [Google Scholar] [CrossRef] [PubMed]
- Cong, R.; Kong, F.; Ma, J.; Li, Q.; Wu, Q.; Ma, X. Combination of preoperative neutrophil-lymphocyte ratio, platelet-lymphocyte ratio and monocyte-lymphocyte ratio: A superior prognostic factor of endometrial cancer. BMC Cancer 2020, 20, 464. [Google Scholar] [CrossRef]
- Jiang, T.; Huang, L.; Zhang, S. Preoperative serum CA125: A useful marker for surgical management of endometrial cancer. BMC Cancer 2015, 15, 396. [Google Scholar] [CrossRef] [PubMed]
- Iwasaki, M.; Ishihara, S.; Okada, S.; Shimegi, R.; Shimomura, M.; Inoue, M. Prognostic Impact of Using Combined Plasma Fibrinogen Level and Neutrophil-to-Lymphocyte Ratio in Resectable Non-small Cell Lung Cancer. Ann. Surg. Oncol. 2022, 29, 5699–5707. [Google Scholar] [CrossRef]
- Mitsui, S.; Tanaka, Y.; Doi, T.; Hokka, D.; Maniwa, Y. Prognostic value of preoperative plasma fibrinogen levels in resected stage I non-small cell lung cancer. Thorac. Cancer 2022, 13, 1490–1495. [Google Scholar] [CrossRef]
- Liang, L.; Liu, F.; Yang, W.; Yang, W.; Chen, L.; He, Y.; Liu, Z.; Zhang, L.; Zhang, F.; Cai, F.; et al. Combined Mean Corpuscular Hemoglobin, Fibrinogen, and Albumin (MF-A) Is a Novel Prognostic Marker in Patients with Resectable Esophageal Squamous Cell Carcinoma. Ann. Surg. Oncol. 2022, 29, 5626–5633. [Google Scholar] [CrossRef]
- Wen, J.; Yang, Y.; Ye, F.; Huang, X.; Li, S.; Wang, Q.; Xie, X. The preoperative plasma fibrinogen level is an independent prognostic factor for overall survival of breast cancer patients who underwent surgical treatment. Breast 2015, 24, 745–750. [Google Scholar] [CrossRef]
- Pu, Y.; Wang, J.; Wang, J.; Wang, S. Association of Preoperative Plasma D-Dimer and Fibrinogen and Osteosarcoma Outcome. Front. Oncol. 2022, 12, 699295. [Google Scholar] [CrossRef]
- Wang, J.; Li, H.; Xu, R.; Lu, T.; Zhao, J.; Zhang, P.; Qu, L.; Zhang, S.; Guo, J.; Zhang, L. The MLR, NLR, PLR and D-dimer are associated with clinical outcome in lung cancer patients treated with surgery. BMC Pulm. Med. 2022, 22, 104. [Google Scholar] [CrossRef]
- Li, B.; Shou, Y.; Zhu, H. Predictive value of hemoglobin, platelets, and D-dimer for the survival of patients with stage IA1 to IIA2 cervical cancer: A retrospective study. J. Int. Med. Res. 2021, 49, 3000605211061008. [Google Scholar] [CrossRef] [PubMed]
- Giannakeas, V. Trends in platelet count among cancer patients. Exp. Hematol. Oncol. 2022, 11, 16. [Google Scholar] [CrossRef] [PubMed]
- Giannakeas, V.; Kotsopoulos, J.; Brooks, J.D.; Cheung, M.C.; Rosella, L.; Lipscombe, L.; Akbari, M.R.; Austin, P.C.; Narod, S.A. Platelet Count and Survival after Cancer. Cancers 2022, 14, 549. [Google Scholar] [CrossRef] [PubMed]
- Chen, H.; Wu, Q.; Zhang, Y.; Li, Q.; Ma, J.; Kong, F.; Ma, X. Nomograms based on the novel platelet index score predict postoperative prognosis in endometrial cancer. Gynecol. Oncol. 2020, 158, 689–697. [Google Scholar] [CrossRef]
- Yano, H.J.; Hatano, K.; Tsuno, N.; Osada, T.; Watanabe, T.; Tsuruo, T.; Muto, T.; Nagawa, H. Clustered cancer cells show a distinct adhesion behavior from single cell form under physiological shear conditions. J. Exp. Clin. Cancer Res. 2001, 20, 407–412. [Google Scholar]
- Simpson-Haidaris, P.J.; Rybarczyk, B. Tumors and fibrinogen. The role of fibrinogen as an extracellular matrix protein. Ann. N. Y. Acad. Sci. 2001, 936, 406–425. [Google Scholar] [CrossRef]
- Hoshino, S.; Matsuda, S.; Kawakubo, H.; Yamaguchi, S.; Nakamura, K.; Aimono, E.; Matsui, K.; Irino, T.; Fakuda, K.; Nakamura, R.; et al. Elevation of the Prognostic Factor Plasma Fibrinogen Reflects the Immunosuppressive Tumor Microenvironment in Esophageal Squamous Cell Carcinoma. Ann. Surg. Oncol. 2022, 29, 6894–6904. [Google Scholar] [CrossRef]
- Zhou, X.; Wang, H.; Wang, X. Preoperative CA125 and fibrinogen in patients with endometrial cancer: A risk model for predicting lymphovascular space invasion. J. Gynecol. Oncol. 2017, 28, e11. [Google Scholar] [CrossRef]
- Seebacher, V.; Polterauer, S.; Grimm, C.; Husslein, H.; Leipold, H.; Hefler-Frischmuth, K.; Tempfer, C.; Reinthaller, A.; Hefler, L. The prognostic value of plasma fibrinogen levels in patients with endometrial cancer: A multi-centre trial. Br. J. Cancer 2010, 102, 952–956. [Google Scholar] [CrossRef]
- Ghezzi, F.; Cromi, A.; Siesto, G.; Giudici, S.; Serati, M.; Formenti, G.; Franchi, M. Prognostic significance of preoperative plasma fibrinogen in endometrial cancer. Gynecol. Oncol. 2010, 119, 309–313. [Google Scholar] [CrossRef]
- McMillan, D.C. Systemic inflammation, nutritional status and survival in patients with cancer. Curr. Opin. Clin. Nutr. Metab. Care 2009, 12, 223–226. [Google Scholar] [CrossRef] [PubMed]
- Gupta, D.; Lis, C.G. Pretreatment serum albumin as a predictor of cancer survival: A systematic review of the epidemiological literature. Nutr. J. 2010, 9, 69. [Google Scholar] [CrossRef] [PubMed]
- Danan, D.; Shonka, D.C., Jr.; Selman, Y.; Chow, Z.; Smolkin, M.E.; Jameson, M.J. Prognostic value of albumin in patients with head and neck cancer. Laryngoscope 2016, 126, 1567–1571. [Google Scholar] [CrossRef] [PubMed]
- Yang, H.; Wang, K.; Liang, Z.; Guo, S.; Zhang, P.; Xu, Y.; Zhou, H. Prognostic role of pre-treatment serum albumin in patients with nasopharyngeal carcinoma: A meta-analysis and systematic review. Clin. Otolaryngol. 2020, 45, 167–176. [Google Scholar] [CrossRef] [PubMed]
- Luan, C.-W.; Yang, H.-Y.; Tsai, Y.-T.; Hsieh, M.-C.; Chou, H.-H.; Chen, K.-S. Prognostic Value of C-Reactive Protein-to-Albumin Ratio in Head and Neck Cancer: A Meta-Analysis. Diagnostics 2021, 11, 403. [Google Scholar] [CrossRef] [PubMed]
- Sohda, M.; Sakai, M.; Yamaguchi, A.; Watanabe, T.; Nakazawa, N.; Ubukata, Y.; Kuriyam, K.; Sano, A.; Yokobori, T.; Ogawa, H.; et al. Pre-treatment CRP and Albumin Determines Prognosis for Unresectable Advanced Oesophageal Cancer. In Vivo 2022, 36, 1930–1936. [Google Scholar] [CrossRef]
- Song, D.H.; Cho, I.K.; Shin, D.W.; Lee, J.-C.; Cho, J.Y.; Yoon, Y.-S.; Hwang, J.-H.; Han, H.-S.; Kim, J. The clinical significance of preoperative C-reactive protein/albumin ratio in patients with resected extrahepatic bile duct cancer. Surg. Today 2021, 51, 978–985. [Google Scholar] [CrossRef]
- Lin, G.-T.; Ma, Y.-B.; Chen, Q.-Y.; Zhong, Q.; Zheng, C.-H.; Li, P.; Xie, J.-W.; Wang, J.-B.; Lin, J.-X.; Huang, C.-M. Fibrinogen-Albumin Ratio as a New Promising Preoperative Biochemical Marker for Predicting Oncological Outcomes in Gastric Cancer: A Multi-institutional Study. Ann. Surg. Oncol. 2021, 28, 7063–7073. [Google Scholar] [CrossRef]
- Abu-Talib, M.; Brown, L.R. Albumin-to-alkaline phosphatase ratio as a novel prognostic indicator for patients undergoing minimally invasive lung cancer surgery: Propensity score matching analysis using a prospective database. Int. J. Surg. 2019, 69, 152. [Google Scholar] [CrossRef]
- Seebacher, V.; Grimm, C.; Reinthaller, A.; Heinze, G.; Tempfer, C.; Hefler, L.; Polterauer, S. The value of serum albumin as a novel independent marker for prognosis in patients with endometrial cancer. Eur. J. Obstet. Gynecol. Reprod. Biol. 2013, 171, 101–106. [Google Scholar] [CrossRef]
- Moloney, J.N.; Cotter, T.G. ROS signalling in the biology of cancer. Semin. Cell Dev. Biol. 2018, 80, 50–64. [Google Scholar] [CrossRef]
- Zhang, C.; Cao, S.; Toole, B.P.; Xu, Y. Cancer may be a pathway to cell survival under persistent hypoxia and elevated ROS: A model for solid-cancer initiation and early development. Int. J. Cancer 2015, 136, 2001–2011. [Google Scholar] [CrossRef]
- Medina, C.O.; Nagy, N.; Bollyky, P.L. Extracellular matrix and the maintenance and loss of peripheral immune tolerance in autoimmune insulitis. Curr. Opin. Immunol. 2018, 55, 22–30. [Google Scholar] [CrossRef] [PubMed]
- Takeichi, T.; Mocevicius, P.; Deduchovas, O.; Salnikova, O.; Castro-Santa, E.; Büchler, M.W.; Schmidt, J.; Ryschich, E. αL β2 integrin is indispensable for CD8+ T-cell recruitment in experimental pancreatic and hepatocellular cancer. Int. J. Cancer 2012, 130, 2067–2076. [Google Scholar] [CrossRef] [PubMed]
- Gunaratne, A.; Chan, E.; El-Chabib, T.H.; Carter, D.; Di Guglielmo, G.M. aPKC alters the TGFβ response in NSCLC cells through both Smad-dependent and Smad-independent pathways. J. Cell Sci. 2015, 128, 487–498. [Google Scholar]
- Shen, Y.; Guo, D.; Weng, L.; Wang, S.; Ma, Z.; Yang, Y.; Wang, O.; Wang, J.; Cai, Z. Tumor-derived exosomes educate dendritic cells to promote tumor metastasis via HSP72/HSP105-TLR2/TLR4 pathway. Oncoimmunology 2017, 6, e1362527. [Google Scholar] [CrossRef]
- Singh, N.; Baby, D.; Rajguru, J.P.; Patil, P.B.; Thakkannavar, S.S.; Pujari, V.B. Inflammation and cancer. Ann. Afr. Med. 2019, 18, 121–126. [Google Scholar] [CrossRef] [PubMed]
- Deans, C.; Wigmore, S.J. Systemic inflammation, cachexia and prognosis in patients with cancer. Curr. Opin. Clin. Nutr. Metab. Care 2005, 8, 265–269. [Google Scholar] [CrossRef] [PubMed]
- Azab, B.; Bhatt, V.R.; Phookan, J.; Murukutla, S.; Kohn, N.; Terjanian, T.; Widmann, W.D. Usefulness of the neutrophil-to-lymphocyte ratio in predicting short- and long-term mortality in breast cancer patients. Ann. Surg. Oncol. 2012, 19, 217–224. [Google Scholar] [CrossRef] [PubMed]
- Luo, G.; Guo, M.; Liu, Z.; Xiao, Z.; Jin, K.; Long, J.; Liu, L.; Liu, C.; Xu, J.; Ni, Q.; et al. Blood neutrophil-lymphocyte ratio predicts survival in patients with advanced pancreatic cancer treated with chemotherapy. Ann. Surg. Oncol. 2015, 22, 670–676. [Google Scholar] [CrossRef]
- Mazaki, J.; Katsumata, K.; Kasahara, K.; Tago, T.; Wada, T.; Kuwabara, H.; Enomoto, M.; Ishizaki, T.; Nagakawa, Y.; Tsuchida, A. Neutrophil-to-lymphocyte ratio is a prognostic factor for colon cancer: A propensity score analysis. BMC Cancer 2020, 20, 922. [Google Scholar] [CrossRef] [PubMed]
- Wang, Y.; Han, C.; Teng, F.; Bai, Z.; Tian, W.; Xue, F. Predictive value of serum HE4 and CA125 concentrations for lymphatic metastasis of endometrial cancer. Int. J. Gynaecol. Obstet. 2017, 136, 58–63. [Google Scholar] [CrossRef] [PubMed]
- Modarres-Gilani, M.; Vaezi, M.; Shariat, M.; Zamani, N.; Nourizadeh, R. The prognostic role of preoperative serum CA125 levels in patients with advanced endometrial carcinoma. Cancer Biomark. 2017, 20, 135–141. [Google Scholar] [CrossRef] [PubMed]




| Variables | Training Cohort (n = 1038) | Validation Cohort (n = 445) | Total (n = 1483) | p-Values |
|---|---|---|---|---|
| Fibrinogen (g/L) | 3 (2.6–3.4) | 3 (2.6–3.4) | 3 (2.6–3.4) | 0.520 |
| ALB (g/L) | 4.375 (4.13–4.56) | 4.37 (4.14–4.56) | 4.37 (4.13–4.56) | 0.849 |
| NLR | 1.871 (1.411–2.556) | 1.849 (1.377–2.457) | 1.867 (1.399–2.521) | 0.481 |
| CA125 (U/mL) | 20.705 (14.19–36.485) | 20.67 (14.25–36.03) | 20.69 (14.21–36.27) | 0.938 |
| Age (years) | 56 (51–61) | 56 (51.5–61) | 56 (51–61) | 0.626 |
| BMI (kg/m2) | 24.223 (22.548–25.391) | 24.342 (22.547–26.038) | 24.244 (22.547–25.537) | 0.241 |
| PFS (months) | 46 (30–59) | 45 (29–59) | 45 (29–59) | 0.558 |
| OS (months) | 46 (31–60) | 45 (30–59) | 46 (30–60) | 0.426 |
| Menopause | 0.939 | |||
| No | 338 (32.56%) | 144 (32.36%) | 482 (32.50%) | |
| Yes | 700 (67.44%) | 301 (67.64%) | 1001 (67.50%) | |
| Pathological type | 0.793 | |||
| Type I | 1005 (96.82%) | 432 (97.08%) | 1437 (96.90%) | |
| Type II | 33 (3.18%) | 13 (2.92%) | 46 (3.10%) | |
| Differentiation | 0.743 | |||
| G1 | 611 (58.86%) | 266 (59.78%) | 877 (59.14%) | |
| G2/3 | 427 (41.14%) | 179 (40.22%) | 606 (40.86%) | |
| FIGO stage | 0.974 | |||
| I–II | 915 (88.15%) | 392 (88.09%) | 1307 (88.13%) | |
| III–IV | 123 (11.85%) | 53 (11.91%) | 176 (11.87%) | |
| Myometrial invasion | 0.818 | |||
| <1/2 | 792 (76.30%) | 342 (76.85%) | 1134 (76.47%) | |
| ≥1/2 | 246 (23.70%) | 103 (23.15%) | 349 (23.53%) | |
| LVSI | 0.722 | |||
| Negative | 1000 (96.34%) | 427 (95.96%) | 1427 (96.22%) | |
| Positive | 38 (3.66%) | 18 (4.04%) | 56 (3.78%) | |
| Adjuvant therapy | 0.688 | |||
| No | 940 (90.56%) | 400 (89.89%) | 1340 (90.36%) | |
| Yes | 98 (9.44%) | 45 (10.11%) | 143 (9.64%) | |
| Comorbidities | 0.886 | |||
| Negative | 571 (55.01%) | 243 (54.61%) | 814 (54.89%) | |
| Positive | 467 (44.99%) | 202 (45.39%) | 669 (45.11%) | |
| Progression | 0.677 | |||
| No | 991 (95.47%) | 427 (95.96%) | 1418 (95.62%) | |
| Yes | 47 (4.53%) | 18 (4.04%) | 65 (4.38%) | |
| Death | 0.647 | |||
| No | 988 (95.18%) | 426 (95.73%) | 1414 (95.35%) | |
| Yes | 50 (4.82%) | 19 (4.27%) | 69 (4.65%) | |
| Variables | PFS | OS | ||||||
|---|---|---|---|---|---|---|---|---|
| Univariate Analysis | Multivariate Analysis | Univariate Analysis | Multivariate Analysis | |||||
| HR (95% CI) | p-Value | HR (95% CI) | p-Value | HR (95% CI) | p-Value | HR (95% CI) | p-Value | |
| Fibrinogen (g/L) | <0.0001 | 0.024 | <0.0001 | <0.0001 | ||||
| <3.185 | Ref. | Ref. | Ref. | Ref. | ||||
| ≥3.185 | 4.011 (2.17–7.412) | 2.12 (1.105–4.067) | 5.703 (3.025–10.751) | 3.546 (1.804–6.971) | ||||
| ALB (g/L) | <0.0001 | 0.014 | <0.0001 | 0.031 | ||||
| ≥4.185 | Ref. | Ref. | Ref. | Ref. | ||||
| <4.185 | 3.504 (1.945–6.313) | 2.174 (1.172–4.034) | 3.06 (1.736–5.394) | 1.925 (1.063–3.488) | ||||
| NLR | <0.0001 | 0.019 | <0.0001 | 0.003 | ||||
| <2.521 | Ref. | Ref. | Ref. | Ref. | ||||
| ≥2.521 | 3.801 (2.138–6.757) | 2.091 (1.128–3.876) | 4.586 (2.603–8.078) | 2.479 (1.349–4.557) | ||||
| CA125 (U/mL) | <0.0001 | <0.0001 | <0.0001 | 0.002 | ||||
| <35 | Ref. | Ref. | Ref. | Ref. | ||||
| ≥35 | 7.216 (3.808–13.676) | 4.446 (2.159–9.153) | 5.397 (2.996–9.724) | 2.952 (1.482–5.879) | ||||
| Age (years) | 0.21 | 0.037 | 0.896 | |||||
| <60 | Ref. | Ref. | Ref. | |||||
| ≥60 | 1.448 (0.812–2.581) | 1.808 (1.038–3.15) | 1.042 (0.563–1.928) | |||||
| BMI (kg/m2) | 0.719 | 0.965 | ||||||
| <24 | Ref. | Ref. | ||||||
| ≥24 | 0.9 (0.506–1.599) | 1.013 (0.577–1.776) | ||||||
| Menopause | 0.012 | 0.027 | 0.061 | |||||
| No | Ref. | Ref. | Ref. | |||||
| Yes | 2.796 (1.252–6.241) | 2.604 (1.114–6.087) | 1.939 (0.969–3.878) | |||||
| Pathological type | 0.027 | 0.915 | 0.003 | 0.226 | ||||
| Type I | Ref. | Ref. | Ref. | Ref. | ||||
| Type II | 3.175 (1.139–8.851) | 0.941 (0.306–2.891) | 4.154 (1.645–10.488) | 1.876 (0.678–5.194) | ||||
| Differentiation | <0.0001 | 0.027 | <0.0001 | 0.034 | ||||
| G1 | Ref. | Ref. | Ref. | Ref. | ||||
| G2/3 | 3.442 (1.842–6.433) | 2.126 (1.091–4.143) | 2.906 (1.602–5.271) | 2.002 (1.053–3.809) | ||||
| FIGO stage | <0.0001 | 0.897 | <0.0001 | 0.888 | ||||
| I–II | Ref. | Ref. | Ref. | Ref. | ||||
| III–IV | 4.351 (2.398–7.893) | 1.051 (0.497–2.221) | 3.484 (1.936–6.27) | 0.952 (0.481–1.884) | ||||
| Myometrial invasion | <0.0001 | 0.257 | <0.0001 | 0.212 | ||||
| <1/2 | Ref. | Ref. | Ref. | Ref. | ||||
| ≥1/2 | 4.077 (2.293–7.248) | 1.454 (0.761–2.775) | 3.107 (1.782–5.415) | 1.496 (0.795–2.815) | ||||
| LVSI | 0.617 | 0.377 | ||||||
| Negative | Ref. | Ref. | ||||||
| Positive | 0.603 (0.083–4.376) | 1.694 (0.526–5.461) | ||||||
| Adjuvant therapy | <0.0001 | 0.187 | 0.583 | |||||
| No | Ref. | Ref. | Ref. | |||||
| Yes | 3.595 (1.894–6.825) | 1.658 (0.782–3.513) | 1.252 (0.561–2.793) | |||||
| Comorbidities | 0.35 | 0.634 | ||||||
| Negative | Ref. | Ref. | ||||||
| Positive | 0.756 (0.42–1.361) | 1.144 (0.657–1.994) | ||||||
Publisher’s Note: MDPI stays neutral with regard to jurisdictional claims in published maps and institutional affiliations. |
© 2022 by the authors. Licensee MDPI, Basel, Switzerland. This article is an open access article distributed under the terms and conditions of the Creative Commons Attribution (CC BY) license (https://creativecommons.org/licenses/by/4.0/).
Share and Cite
Li, Q.; Kong, F.; Ma, J.; Wang, Y.; Wang, C.; Yang, H.; Li, Y.; Ma, X. Nomograms Based on Fibrinogen, Albumin, Neutrophil-Lymphocyte Ratio, and Carbohydrate Antigen 125 for Predicting Endometrial Cancer Prognosis. Cancers 2022, 14, 5632. https://doi.org/10.3390/cancers14225632
Li Q, Kong F, Ma J, Wang Y, Wang C, Yang H, Li Y, Ma X. Nomograms Based on Fibrinogen, Albumin, Neutrophil-Lymphocyte Ratio, and Carbohydrate Antigen 125 for Predicting Endometrial Cancer Prognosis. Cancers. 2022; 14(22):5632. https://doi.org/10.3390/cancers14225632
Chicago/Turabian StyleLi, Qing, Fanfei Kong, Jian Ma, Yuting Wang, Cuicui Wang, Hui Yang, Yan Li, and Xiaoxin Ma. 2022. "Nomograms Based on Fibrinogen, Albumin, Neutrophil-Lymphocyte Ratio, and Carbohydrate Antigen 125 for Predicting Endometrial Cancer Prognosis" Cancers 14, no. 22: 5632. https://doi.org/10.3390/cancers14225632
APA StyleLi, Q., Kong, F., Ma, J., Wang, Y., Wang, C., Yang, H., Li, Y., & Ma, X. (2022). Nomograms Based on Fibrinogen, Albumin, Neutrophil-Lymphocyte Ratio, and Carbohydrate Antigen 125 for Predicting Endometrial Cancer Prognosis. Cancers, 14(22), 5632. https://doi.org/10.3390/cancers14225632
