Frequency and Prognostic Significance of Intertumoural Heterogeneity in Multifocal Jejunoileal Neuroendocrine Tumours
Abstract
:Simple Summary
Abstract
1. Introduction
2. Materials and Methods
2.1. Multifocal Ileal Neuroendocrine Tumour Cohort
2.2. Control Cohort of Unifocal Jejunoileal NETs
2.3. Tissue-Based Analyses
2.3.1. Tissue Microarray Construction
2.3.2. Immunohistochemistry
2.3.3. Comparative Analysis of Standard Diagnostic Markers in Multifocal Ileum NETs
2.3.4. Comparative Analysis of WHO Grade in Multifocal SI-NETs
2.3.5. Comparative Analysis of SSTR2a Expression in Multifocal SI-NETs
2.3.6. Comparative Analysis of the Tumor Microenvironment in Multifocal SI-NETs
2.4. Statistics
3. Results
3.1. Cohort Description
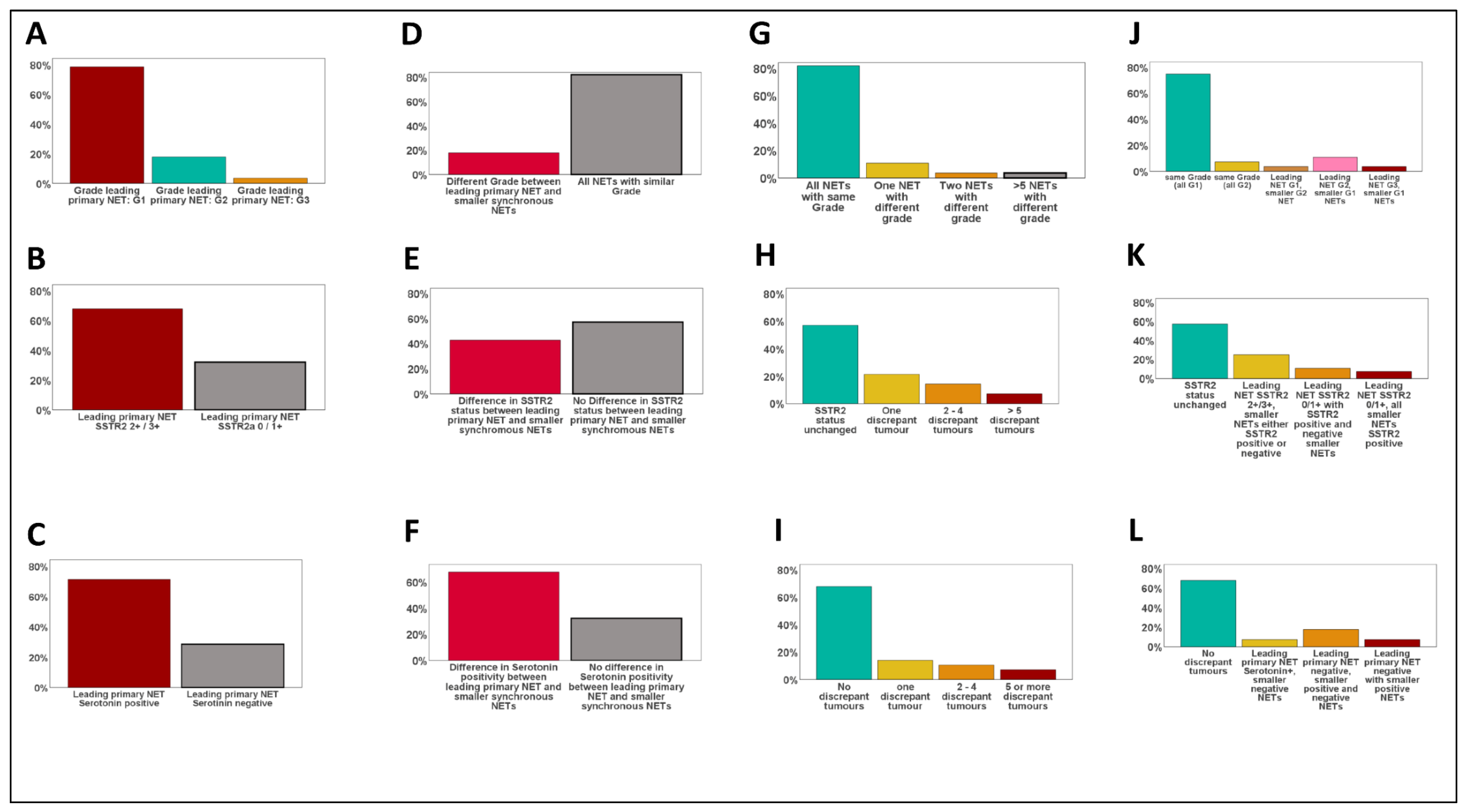
3.2. Expression of Standard Diagnostic Markers in Multifocal SI-NETs
3.3. Comparative Analysis of WHO Grade in Multifocal SI-NETs
3.4. SSTR2a Expression in Multifocal SI-NETs
3.5. Contexture of the Immunogenic Microenvironment in Multifocal SI-NETs
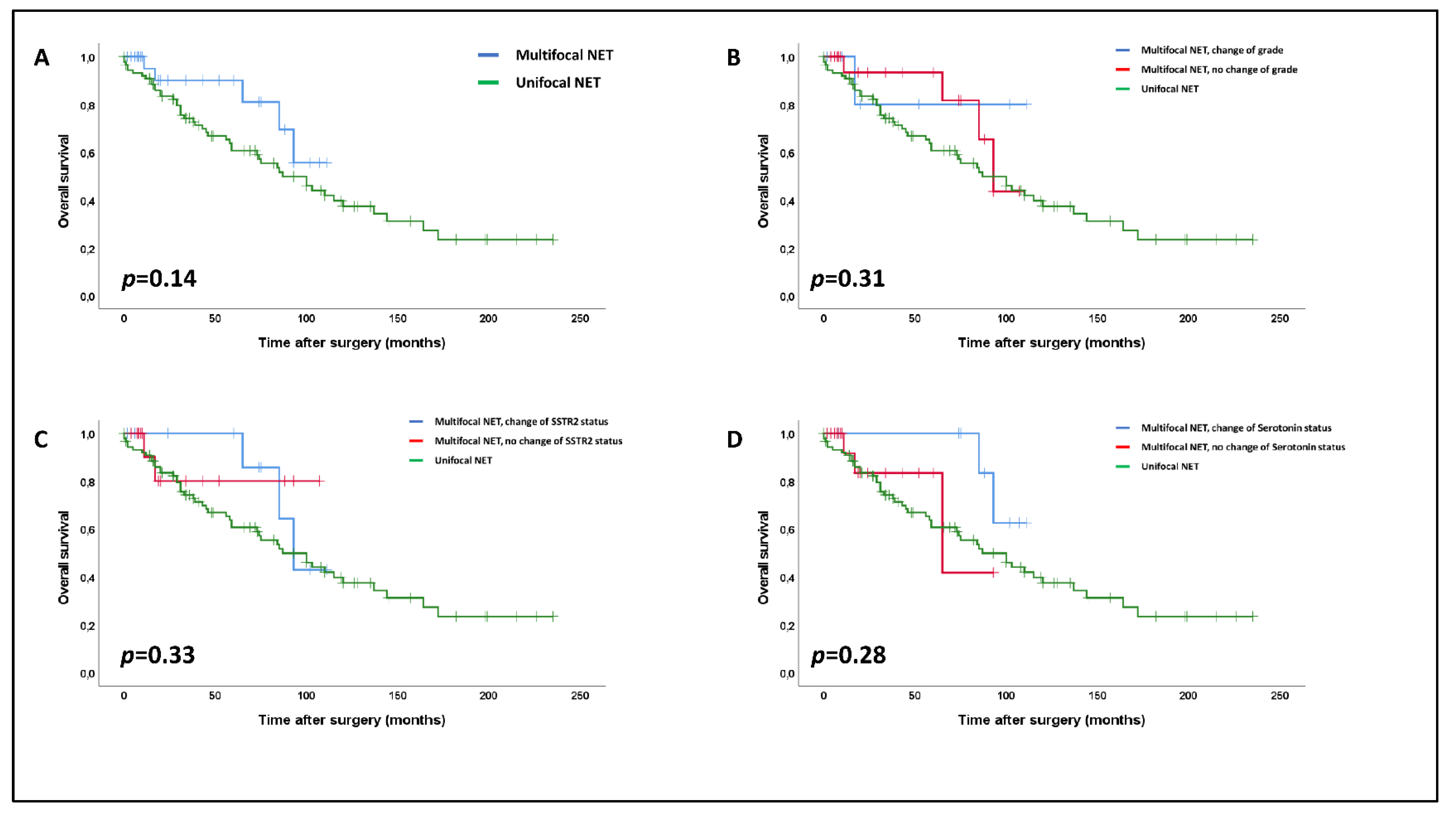
3.6. Association of Morphological Heterogeneity with Survival
4. Discussion
5. Conclusions
Supplementary Materials
Author Contributions
Funding
Institutional Review Board Statement
Informed Consent Statement
Data Availability Statement
Acknowledgments
Conflicts of Interest
References
- Anlauf, M.; Sipos, B.; Boeck, I.; Baldus, S.E.; Heikaus, S.; Krausch, M.; Knoefel, W.T.; Begum, N.; Goretzki, P.; Schott, M.; et al. Neuroendocrine neoplasms of the distal jejunum and ileum. Pathologe 2014, 35, 283–293. [Google Scholar] [CrossRef] [PubMed]
- Pavel, M.; Baudin, E.; Couvelard, A.; Krenning, E.; Oberg, K.; Steinmuller, T.; Anlauf, M.; Wiedenmann, B.; Salazar, R.; Barcelona Consensus Conference Participants. ENETS Consensus Guidelines for the management of patients with liver and other distant metastases from neuroendocrine neoplasms of foregut, midgut, hindgut, and unknown primary. Neuroendocrinology 2012, 95, 157–176. [Google Scholar] [CrossRef] [PubMed]
- Niederle, B.; Pape, U.F.; Costa, F.; Gross, D.; Kelestimur, F.; Knigge, U.; Oberg, K.; Pavel, M.; Perren, A.; Toumpanakis, C.; et al. ENETS Consensus Guidelines Update for Neuroendocrine Neoplasms of the Jejunum and Ileum. Neuroendocrinology 2016, 103, 125–138. [Google Scholar] [CrossRef] [PubMed]
- Pape, U.F.; Perren, A.; Niederle, B.; Gross, D.; Gress, T.; Costa, F.; Arnold, R.; Denecke, T.; Plockinger, U.; Salazar, R.; et al. ENETS Consensus Guidelines for the management of patients with neuroendocrine neoplasms from the jejuno-ileum and the appendix including goblet cell carcinomas. Neuroendocrinology 2012, 95, 135–156. [Google Scholar] [CrossRef]
- Perren, A.; Basturk, O.; Bellizzi, A.M.; Scoazec, J.Y.; Sipos, B. Digestive System Tumours: Small intestinal and ampullary neuroendocrine neoplasms. In WHO Classification of Tumours, 5th ed.; IARC: Lyon, France, 2019. [Google Scholar]
- Rindi, G.; Kloppel, G.; Couvelard, A.; Komminoth, P.; Korner, M.; Lopes, J.M.; McNicol, A.M.; Nilsson, O.; Perren, A.; Scarpa, A.; et al. TNM staging of midgut and hindgut (neuro) endocrine tumors: A consensus proposal including a grading system. Virchows Arch. 2007, 451, 757–762. [Google Scholar] [CrossRef]
- Jann, H.; Roll, S.; Couvelard, A.; Hentic, O.; Pavel, M.; Muller-Nordhorn, J.; Koch, M.; Rocken, C.; Rindi, G.; Ruszniewski, P.; et al. Neuroendocrine tumors of midgut and hindgut origin: Tumor-node-metastasis classification determines clinical outcome. Cancer 2011, 117, 3332–3341. [Google Scholar] [CrossRef]
- Hasegawa, S.; Kobayashi, N.; Tokuhisa, M.; Goto, A.; Takano, S.; Takada, Y.; Kaneta, T.; Mori, R.; Matsuyama, R.; Endo, I.; et al. Clinical Usefulness of Somatostatin Receptor Scintigraphy in Japanese Patients with Gastroenteropancreatic Neuroendocrine Tumors. Digestion 2017, 96, 13–20. [Google Scholar] [CrossRef]
- Kasajima, A.; Papotti, M.; Ito, W.; Brizzi, M.P.; La Salvia, A.; Rapa, I.; Tachibana, T.; Yazdani, S.; Sasano, H.; Volante, M. High interlaboratory and interobserver agreement of somatostatin receptor immunohistochemical determination and correlation with response to somatostatin analogs. Hum. Pathol. 2018, 72, 144–152. [Google Scholar] [CrossRef]
- Miederer, M.; Seidl, S.; Buck, A.; Scheidhauer, K.; Wester, H.J.; Schwaiger, M.; Perren, A. Correlation of immunohistopathological expression of somatostatin receptor 2 with standardised uptake values in 68Ga-DOTATOC PET/CT. Eur. J. Nucl. Med. Mol. Imaging 2009, 36, 48–52. [Google Scholar] [CrossRef]
- John, M.; Meyerhof, W.; Richter, D.; Waser, B.; Schaer, J.C.; Scherubl, H.; Boese-Landgraf, J.; Neuhaus, P.; Ziske, C.; Molling, K.; et al. Positive somatostatin receptor scintigraphy correlates with the presence of somatostatin receptor subtype 2. Gut 1996, 38, 33–39. [Google Scholar] [CrossRef]
- Strosberg, J.; El-Haddad, G.; Wolin, E.; Hendifar, A.; Yao, J.; Chasen, B.; Mittra, E.; Kunz, P.L.; Kulke, M.H.; Jacene, H.; et al. Phase 3 Trial of (177)Lu-Dotatate for Midgut Neuroendocrine Tumors. N. Engl. J. Med 2017, 376, 125–135. [Google Scholar] [CrossRef]
- Burke, A.P.; Thomas, R.M.; Elsayed, A.M.; Sobin, L.H. Carcinoids of the jejunum and ileum: An immunohistochemical and clinicopathologic study of 167 cases. Cancer 1997, 79, 1086–1093. [Google Scholar] [CrossRef]
- Choi, A.B.; Maxwell, J.E.; Keck, K.J.; Bellizzi, A.J.; Dillon, J.S.; O’Dorisio, T.M.; Howe, J.R. Is Multifocality an Indicator of Aggressive Behavior in Small Bowel Neuroendocrine Tumors? Pancreas 2017, 46, 1115–1120. [Google Scholar] [CrossRef] [PubMed]
- Dumanski, J.P.; Rasi, C.; Bjorklund, P.; Davies, H.; Ali, A.S.; Gronberg, M.; Welin, S.; Sorbye, H.; Gronbaek, H.; Cunningham, J.L.; et al. A MUTYH germline mutation is associated with small intestinal neuroendocrine tumors. Endocr. Relat. Cancer 2017, 24, 427–443. [Google Scholar] [CrossRef] [PubMed]
- Perez, K.; Kulke, M.H.; Chittenden, A.; Ukaegbu, C.; Astone, K.; Alexander, H.; Brais, L.; Zhang, J.; Garcia, J.; Esplin, E.D.; et al. Clinical Implications of Pathogenic Germline Variants in Small Intestine Neuroendocrine Tumors (SI-NETs). JCO Precis Oncol. 2021, 5, 808–816. [Google Scholar] [CrossRef] [PubMed]
- Elias, E.; Ardalan, A.; Lindberg, M.; Reinsbach, S.E.; Muth, A.; Nilsson, O.; Arvidsson, Y.; Larsson, E. Independent somatic evolution underlies clustered neuroendocrine tumors in the human small intestine. Nat. Commun. 2021, 12, 6367. [Google Scholar] [CrossRef]
- Evers, M.; Rinke, A.; Rutz, J.; Ramaswamy, A.; Maurer, E.; Bartsch, D.K. Prognostic Factors in Curative Resected Locoregional Small Intestine Neuroendocrine Neoplasms. World J. Surg. 2021, 45, 1109–1117. [Google Scholar] [CrossRef]
- Maurer, E.; Heinzel-Gutenbrunner, M.; Rinke, A.; Rutz, J.; Holzer, K.; Figiel, J.; Luster, M.; Bartsch, D.K. Relevant prognostic factors in patients with stage IV small intestine neuroendocrine neoplasms. J. Neuroendocrinol. 2022, 34, e13076. [Google Scholar] [CrossRef]
- Reid, M.D.; Bagci, P.; Ohike, N.; Saka, B.; Erbarut Seven, I.; Dursun, N.; Balci, S.; Gucer, H.; Jang, K.T.; Tajiri, T.; et al. Calculation of the Ki67 index in pancreatic neuroendocrine tumors: A comparative analysis of four counting methodologies. Mod. Pathol. 2015, 28, 686–694. [Google Scholar] [CrossRef]
- Schildhaus, H.U. Predictive value of PD-L1 diagnostics. Pathologe 2018, 39, 498–519. [Google Scholar] [CrossRef]
- Armstrong, R.A. When to use the Bonferroni correction. Ophthalmic Physiol. Opt. 2014, 34, 502–508. [Google Scholar] [CrossRef] [PubMed]
- Bellizzi, A.M. Immunohistochemistry in the diagnosis and classification of neuroendocrine neoplasms: What can brown do for you? Hum. Pathol. 2020, 96, 8–33. [Google Scholar] [CrossRef] [PubMed]
- Keck, K.J.; Choi, A.; Maxwell, J.E.; Li, G.; O’Dorisio, T.M.; Breheny, P.; Bellizzi, A.M.; Howe, J.R. Increased Grade in Neuroendocrine Tumor Metastases Negatively Impacts Survival. Ann. Surg. Oncol. 2017, 24, 2206–2212. [Google Scholar] [CrossRef] [PubMed]
- Numbere, N.; Huber, A.R.; Shi, C.; Cates, J.M.M.; Gonzalez, R.S. Should Ki67 immunohistochemistry be performed on all lesions in multifocal small intestinal neuroendocrine tumours? Histopathology 2019, 74, 424–429. [Google Scholar] [CrossRef] [PubMed]
- Zhao, L.H.; Chen, C.; Mao, C.Y.; Xiao, H.; Fu, P.; Xiao, H.L.; Wang, G. Value of SATB2, ISL1, and TTF1 to differentiate rectal from other gastrointestinal and lung well-differentiated neuroendocrine tumors. Pathol. Res. Pract. 2019, 215, 152448. [Google Scholar] [CrossRef]
- Ouvrard, E.; De Mestier, L.; Boursier, C.; Lachachi, B.; Sahakian, N.; Chevalier, E.; Mikail, N.; Carullo, J.; Bando-Delaunay, A.; Walter, T.; et al. (18)F-Fluorodihydroxyphenylalanine PET/CT at the Forefront for Initial and/or Pre-surgical Evaluation of Small Intestine Neuroendocrine Tumors. J. Nucl. Med. 2022, 63. [Google Scholar] [CrossRef]
- Wang, S.C.; Parekh, J.R.; Zuraek, M.B.; Venook, A.P.; Bergsland, E.K.; Warren, R.S.; Nakakura, E.K. Identification of unknown primary tumors in patients with neuroendocrine liver metastases. Arch. Surg. 2010, 145, 276–280. [Google Scholar] [CrossRef]
- Gangi, A.; Siegel, E.; Barmparas, G.; Lo, S.; Jamil, L.H.; Hendifar, A.; Nissen, N.N.; Wolin, E.M.; Amersi, F. Multifocality in Small Bowel Neuroendocrine Tumors. J. Gastrointest. Surg. 2018, 22, 303–309. [Google Scholar] [CrossRef]
- Gudmundsdottir, H.; Graham, R.P.; Sonbol, M.B.; Smoot, R.L.; Truty, M.J.; Kendrick, M.L.; Nagorney, D.M.; Habermann, E.B.; Halfdanarson, T.R.; Cleary, S.P. Multifocality is not associated with worse survival in sporadic pancreatic neuroendocrine tumors. J. Surg. Oncol. 2021, 124, 1077–1084. [Google Scholar] [CrossRef]




Publisher’s Note: MDPI stays neutral with regard to jurisdictional claims in published maps and institutional affiliations. |
© 2022 by the authors. Licensee MDPI, Basel, Switzerland. This article is an open access article distributed under the terms and conditions of the Creative Commons Attribution (CC BY) license (https://creativecommons.org/licenses/by/4.0/).
Share and Cite
Jesinghaus, M.; Poppinga, J.; Lehman, B.; Maurer, E.; Ramaswamy, A.; Grass, A.; Di Fazio, P.; Rinke, A.; Denkert, C.; Bartsch, D.K. Frequency and Prognostic Significance of Intertumoural Heterogeneity in Multifocal Jejunoileal Neuroendocrine Tumours. Cancers 2022, 14, 3963. https://doi.org/10.3390/cancers14163963
Jesinghaus M, Poppinga J, Lehman B, Maurer E, Ramaswamy A, Grass A, Di Fazio P, Rinke A, Denkert C, Bartsch DK. Frequency and Prognostic Significance of Intertumoural Heterogeneity in Multifocal Jejunoileal Neuroendocrine Tumours. Cancers. 2022; 14(16):3963. https://doi.org/10.3390/cancers14163963
Chicago/Turabian StyleJesinghaus, Moritz, Jelte Poppinga, Bettina Lehman, Elisabeth Maurer, Annette Ramaswamy, Albert Grass, Pietro Di Fazio, Anja Rinke, Carsten Denkert, and Detlef K. Bartsch. 2022. "Frequency and Prognostic Significance of Intertumoural Heterogeneity in Multifocal Jejunoileal Neuroendocrine Tumours" Cancers 14, no. 16: 3963. https://doi.org/10.3390/cancers14163963
APA StyleJesinghaus, M., Poppinga, J., Lehman, B., Maurer, E., Ramaswamy, A., Grass, A., Di Fazio, P., Rinke, A., Denkert, C., & Bartsch, D. K. (2022). Frequency and Prognostic Significance of Intertumoural Heterogeneity in Multifocal Jejunoileal Neuroendocrine Tumours. Cancers, 14(16), 3963. https://doi.org/10.3390/cancers14163963

