Characterization of Macrophages and Osteoclasts in the Osteosarcoma Tumor Microenvironment at Diagnosis: New Perspective for Osteosarcoma Treatment?
Abstract
Simple Summary
Abstract
1. Introduction
2. Results
2.1. Description of the OS2006 Patient Population
2.2. Immunohistochemical Analyses of Macrophage and Osteoclast Cell Populations in OS2006 Cohort
2.3. Fluorescence Multiplex Digital Analysis of the Spatial Heterogeneity of Tumor Microenvironmental Cells in “OSNew” Cohort
2.4. Temporal Serum Assay Analysis of Macrophage and Osteoclast Activities (OS2006 Cohort)
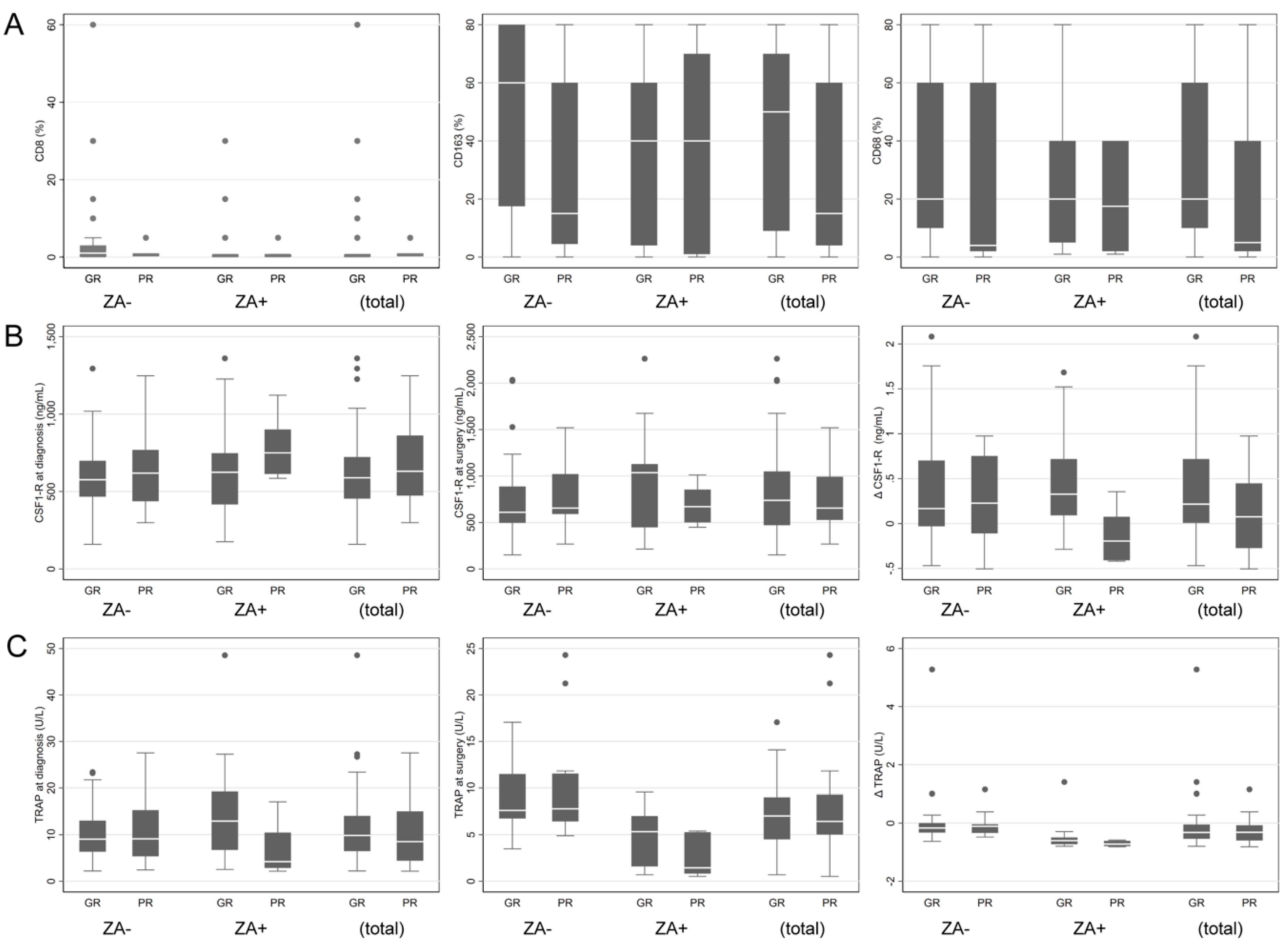
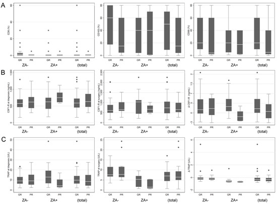
2.5. Biomarkers (Immunohistochemical and Serum Assays Analyses) Associated with Response to Chemotherapy in the ZA+ versus ZA− Patient Groups (OS2006 Cohort)
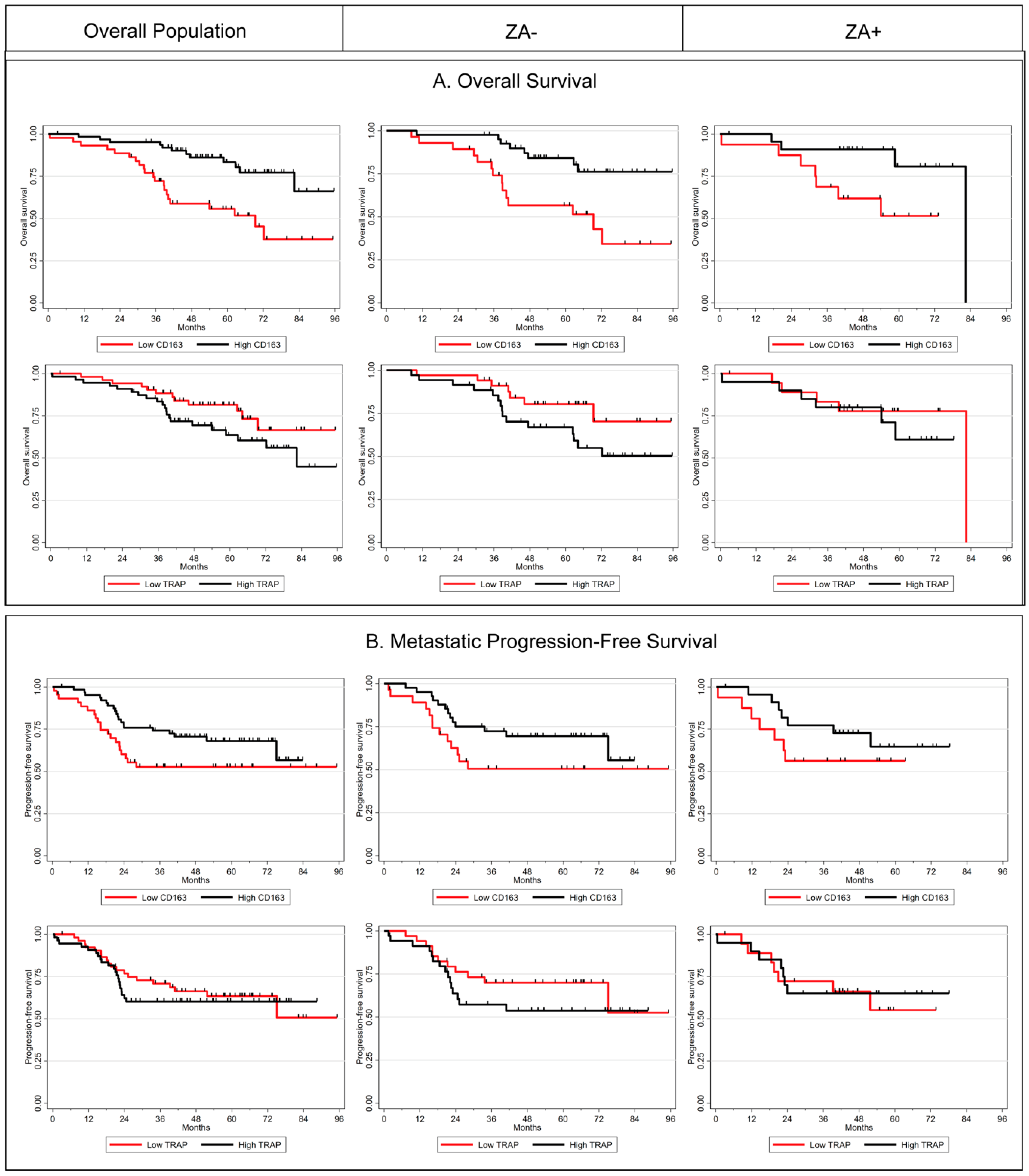
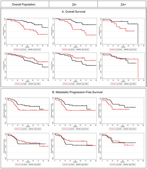
2.6. Clinical Parameters and Biomarkers Associated with Survival in Patients and Subgroup Analyses
3. Discussion
4. Materials and Methods
4.1. OS 2006 Patients and Tumor Characteristics
4.2. OS 2006 Tissue Microarray
4.3. ‘OSNew’ Sample Collection (Toulouse Cohort)
4.4. Immunohistochemistry
4.5. Immunofluorescence Multiplex Staining
4.6. Tumor Annotation and Digital Image Analysis
4.7. CSF-1R and TRAP Assays in Patient Serum
4.8. Statistical Analysis
5. Conclusions
Supplementary Materials
Author Contributions
Funding
Institutional Review Board Statement
Informed Consent Statement
Data Availability Statement
Acknowledgments
Conflicts of Interest
References
- ESMO/European Sarcoma Network Working Group. Bone Sarcomas: ESMO Clinical Practice Guidelines for Diagnosis, Treatment and Follow-Up. Ann. Oncol. Off. J. Eur. Soc. Med. Oncol. 2014, 25 (Suppl. 3), 113–123. [Google Scholar] [CrossRef] [PubMed]
- Spina, V.; Montanari, N.; Romagnoli, R. Malignant Tumors of the Osteogenic Matrix. Eur. J. Radiol. 1998, 27 (Suppl. 1), S98–S109. [Google Scholar] [CrossRef]
- Editorial Board WHO Classification of Tumours Editorial: Soft Tissue and Bone Tumours, 5th ed.; World Health Organization Editorial Board, IARC Publication: Lyon, France, 2020; Volume 3, ISBN 978-92-832-4502-5.
- Nicolas Sans, G.P. Imagerie des Tumeurs Osseuses; Sauramps Médical: Montpellier, France, 2014; ISBN 978-2-84023-956-7. [Google Scholar]
- Perry, J.A.; Kiezun, A.; Tonzi, P.; Van Allen, E.M.; Carter, S.L.; Baca, S.C.; Cowley, G.S.; Bhatt, A.S.; Rheinbay, E.; Pedamallu, C.S.; et al. Complementary Genomic Approaches Highlight the PI3K/MTOR Pathway as a Common Vulnerability in Osteosarcoma. Proc. Natl. Acad. Sci. USA 2014, 111, E5564–E5573. [Google Scholar] [CrossRef] [PubMed]
- Chen, X.; Bahrami, A.; Pappo, A.; Easton, J.; Dalton, J.; Hedlund, E.; Ellison, D.; Shurtleff, S.; Wu, G.; Wei, L.; et al. Recurrent Somatic Structural Variations Contribute to Tumorigenesis in Pediatric Osteosarcoma. Cell Rep. 2014, 7, 104–112. [Google Scholar] [CrossRef]
- Bousquet, M.; Noirot, C.; Accadbled, F.; Sales de Gauzy, J.; Castex, M.P.; Brousset, P.; Gomez-Brouchet, A. Whole-Exome Sequencing in Osteosarcoma Reveals Important Heterogeneity of Genetic Alterations. Ann. Oncol. Off. J. Eur. Soc. Med. Oncol. 2016, 27, 738–744. [Google Scholar] [CrossRef]
- Trama, A.; Botta, L.; Foschi, R.; Ferrari, A.; Stiller, C.; Desandes, E.; Maule, M.M.; Merletti, F.; Gatta, G. EUROCARE-5 Working Group Survival of European Adolescents and Young Adults Diagnosed with Cancer in 2000-07: Population-Based Data from EUROCARE-5. Lancet Oncol. 2016, 17, 896–906. [Google Scholar] [CrossRef]
- Bielack, S.S.; Smeland, S.; Whelan, J.S.; Marina, N.; Jovic, G.; Hook, J.M.; Krailo, M.D.; Gebhardt, M.; Pápai, Z.; Meyer, J.; et al. Methotrexate, Doxorubicin, and Cisplatin (MAP) Plus Maintenance Pegylated Interferon Alfa-2b Versus MAP Alone in Patients With Resectable High-Grade Osteosarcoma and Good Histologic Response to Preoperative MAP: First Results of the EURAMOS-1 Good Response Randomized Controlled Trial. J. Clin. Oncol. Off. J. Am. Soc. Clin. Oncol. 2015, 33, 2279–2287. [Google Scholar] [CrossRef]
- Marina, N.M.; Smeland, S.; Bielack, S.S.; Bernstein, M.; Jovic, G.; Krailo, M.D.; Hook, J.M.; Arndt, C.; van den Berg, H.; Brennan, B.; et al. Comparison of MAPIE versus MAP in Patients with a Poor Response to Preoperative Chemotherapy for Newly Diagnosed High-Grade Osteosarcoma (EURAMOS-1): An Open-Label, International, Randomised Controlled Trial. Lancet Oncol. 2016, 17, 1396–1408. [Google Scholar] [CrossRef]
- Piperno-Neumann, S.; Le Deley, M.-C.; Rédini, F.; Pacquement, H.; Marec-Bérard, P.; Petit, P.; Brisse, H.; Lervat, C.; Gentet, J.-C.; Entz-Werlé, N.; et al. Zoledronate in Combination with Chemotherapy and Surgery to Treat Osteosarcoma (OS2006): A Randomised, Multicentre, Open-Label, Phase 3 Trial. Lancet Oncol. 2016, 17, 1070–1080. [Google Scholar] [CrossRef]
- Meyers, P.A.; Schwartz, C.L.; Krailo, M.D.; Healey, J.H.; Bernstein, M.L.; Betcher, D.; Ferguson, W.S.; Gebhardt, M.C.; Goorin, A.M.; Harris, M.; et al. Osteosarcoma: The Addition of Muramyl Tripeptide to Chemotherapy Improves Overall Survival—A Report from the Children’s Oncology Group. J. Clin. Oncol. Off. J. Am. Soc. Clin. Oncol. 2008, 26, 633–638. [Google Scholar] [CrossRef]
- Garofalo, C.; Capristo, M.; Mancarella, C.; Reunevi, H.; Picci, P.; Scotlandi, K. Preclinical Effectiveness of Selective Inhibitor of IRS-1/2 NT157 in Osteosarcoma Cell Lines. Front. Endocrinol. 2015, 6, 74. [Google Scholar] [CrossRef] [PubMed]
- Mercatali, L.; Spadazzi, C.; Miserocchi, G.; Liverani, C.; De Vita, A.; Bongiovanni, A.; Recine, F.; Amadori, D.; Ibrahim, T. The Effect of Everolimus in an In Vitro Model of Triple Negative Breast Cancer and Osteoclasts. Int. J. Mol. Sci. 2016, 17, 1827. [Google Scholar] [CrossRef] [PubMed]
- Brard, C.; Piperno-Neumann, S.; Delaye, J.; Brugières, L.; Hampson, L.V.; Le Teuff, G.; Le Deley, M.-C.; Gaspar, N. Sarcome-13/OS2016 Trial Protocol: A Multicentre, Randomised, Open-Label, Phase II Trial of Mifamurtide Combined with Postoperative Chemotherapy for Patients with Newly Diagnosed High-Risk Osteosarcoma. BMJ Open 2019, 9, e025877. [Google Scholar] [CrossRef] [PubMed]
- Italiano, A.; Mir, O.; Mathoulin-Pelissier, S.; Penel, N.; Piperno-Neumann, S.; Bompas, E.; Chevreau, C.; Duffaud, F.; Entz-Werlé, N.; Saada, E.; et al. Cabozantinib in Patients with Advanced Ewing Sarcoma or Osteosarcoma (CABONE): A Multicentre, Single-Arm, Phase 2 Trial. Lancet Oncol. 2020, 21, 446–455. [Google Scholar] [CrossRef]
- Deligiorgi, M.V.; Panayiotidis, M.I.; Griniatsos, J.; Trafalis, D.T. Harnessing the Versatile Role of OPG in Bone Oncology: Counterbalancing RANKL and TRAIL Signaling and Beyond. Clin. Exp. Metastasis 2020, 37, 13–30. [Google Scholar] [CrossRef]
- Lamoureux, F.; Baud’huin, M.; Rodriguez Calleja, L.; Jacques, C.; Berreur, M.; Rédini, F.; Lecanda, F.; Bradner, J.E.; Heymann, D.; Ory, B. Selective Inhibition of BET Bromodomain Epigenetic Signalling Interferes with the Bone-Associated Tumour Vicious Cycle. Nat. Commun. 2014, 5, 3511. [Google Scholar] [CrossRef]
- Lamoureux, F.; Richard, P.; Wittrant, Y.; Battaglia, S.; Pilet, P.; Trichet, V.; Blanchard, F.; Gouin, F.; Pitard, B.; Heymann, D.; et al. Therapeutic Relevance of Osteoprotegerin Gene Therapy in Osteosarcoma: Blockade of the Vicious Cycle between Tumor Cell Proliferation and Bone Resorption. Cancer Res. 2007, 67, 7308–7318. [Google Scholar] [CrossRef]
- Alfranca, A.; Martinez-Cruzado, L.; Tornin, J.; Abarrategi, A.; Amaral, T.; de Alava, E.; Menendez, P.; Garcia-Castro, J.; Rodriguez, R. Bone Microenvironment Signals in Osteosarcoma Development. Cell. Mol. Life Sci. CMLS 2015, 72, 3097–3113. [Google Scholar] [CrossRef]
- Ory, B.; Heymann, M.-F.; Kamijo, A.; Gouin, F.; Heymann, D.; Redini, F. Zoledronic Acid Suppresses Lung Metastases and Prolongs Overall Survival of Osteosarcoma-Bearing Mice. Cancer 2005, 104, 2522–2529. [Google Scholar] [CrossRef]
- Biteau, K.; Guiho, R.; Chatelais, M.; Taurelle, J.; Chesneau, J.; Corradini, N.; Heymann, D.; Redini, F. L-MTP-PE and Zoledronic Acid Combination in Osteosarcoma: Preclinical Evidence of Positive Therapeutic Combination for Clinical Transfer. Am. J. Cancer Res. 2016, 6, 677–689. [Google Scholar]
- Ribatti, D.; Mangialardi, G.; Vacca, A. Stephen Paget and the “seed and Soil” Theory of Metastatic Dissemination. Clin. Exp. Med. 2006, 6, 145–149. [Google Scholar] [CrossRef]
- Dancsok, A.R.; Gao, D.; Lee, A.F.; Steigen, S.E.; Blay, J.-Y.; Thomas, D.M.; Maki, R.G.; Nielsen, T.O.; Demicco, E.G. Tumor-Associated Macrophages and Macrophage-Related Immune Checkpoint Expression in Sarcomas. Oncoimmunology 2020, 9, 1747340. [Google Scholar] [CrossRef]
- Inagaki, Y.; Hookway, E.; Williams, K.A.; Hassan, A.B.; Oppermann, U.; Tanaka, Y.; Soilleux, E.; Athanasou, N.A. Dendritic and Mast Cell Involvement in the Inflammatory Response to Primary Malignant Bone Tumours. Clin. Sarcoma Res. 2016, 6, 13. [Google Scholar] [CrossRef]
- Gomez-Brouchet, A.; Illac, C.; Gilhodes, J.; Bouvier, C.; Aubert, S.; Guinebretiere, J.-M.; Marie, B.; Larousserie, F.; Entz-Werlé, N.; de Pinieux, G.; et al. CD163-Positive Tumor-Associated Macrophages and CD8-Positive Cytotoxic Lymphocytes Are Powerful Diagnostic Markers for the Therapeutic Stratification of Osteosarcoma Patients: An Immunohistochemical Analysis of the Biopsies Fromthe French OS2006 Phase 3 Trial. Oncoimmunology 2017, 6, e1331193. [Google Scholar] [CrossRef] [PubMed]
- Gide, T.N.; Wilmott, J.S.; Scolyer, R.A.; Long, G.V. Primary and Acquired Resistance to Immune Checkpoint Inhibitors in Metastatic Melanoma. Clin. Cancer Res. Off. J. Am. Assoc. Cancer Res. 2018, 24, 1260–1270. [Google Scholar] [CrossRef] [PubMed]
- Zhang, C.; Zheng, J.-H.; Lin, Z.-H.; Lv, H.-Y.; Ye, Z.-M.; Chen, Y.-P.; Zhang, X.-Y. Profiles of Immune Cell Infiltration and Immune-Related Genes in the Tumor Microenvironment of Osteosarcoma. Aging 2020, 12, 3486–3501. [Google Scholar] [CrossRef] [PubMed]
- Buddingh, E.P.; Kuijjer, M.L.; Duim, R.A.J.; Bürger, H.; Agelopoulos, K.; Myklebost, O.; Serra, M.; Mertens, F.; Hogendoorn, P.C.W.; Lankester, A.C.; et al. Tumor-Infiltrating Macrophages Are Associated with Metastasis Suppression in High-Grade Osteosarcoma: A Rationale for Treatment with Macrophage Activating Agents. Clin. Cancer Res. Off. J. Am. Assoc. Cancer Res. 2011, 17, 2110–2119. [Google Scholar] [CrossRef] [PubMed]
- Dumars, C.; Ngyuen, J.-M.; Gaultier, A.; Lanel, R.; Corradini, N.; Gouin, F.; Heymann, D.; Heymann, M.-F. Dysregulation of Macrophage Polarization Is Associated with the Metastatic Process in Osteosarcoma. Oncotarget 2016, 7, 78343–78354. [Google Scholar] [CrossRef]
- Kelleher, F.C.; O’Sullivan, H. Monocytes, Macrophages, and Osteoclasts in Osteosarcoma. J. Adolesc. Young Adult Oncol. 2017, 6, 396–405. [Google Scholar] [CrossRef]
- Barros, M.H.M.; Hauck, F.; Dreyer, J.H.; Kempkes, B.; Niedobitek, G. Macrophage Polarisation: An Immunohistochemical Approach for Identifying M1 and M2 Macrophages. PLoS ONE 2013, 8, e80908. [Google Scholar] [CrossRef]
- Guerriero, J.L. Macrophages: The Road Less Traveled, Changing Anticancer Therapy. Trends Mol. Med. 2018, 24, 472–489. [Google Scholar] [CrossRef]
- Han, Y.; Guo, W.; Ren, T.; Huang, Y.; Wang, S.; Liu, K.; Zheng, B.; Yang, K.; Zhang, H.; Liang, X. Tumor-Associated Macrophages Promote Lung Metastasis and Induce Epithelial-Mesenchymal Transition in Osteosarcoma by Activating the COX-2/STAT3 Axis. Cancer Lett. 2019, 440–441, 116–125. [Google Scholar] [CrossRef] [PubMed]
- Schmieder, A.; Michel, J.; Schönhaar, K.; Goerdt, S.; Schledzewski, K. Differentiation and Gene Expression Profile of Tumor-Associated Macrophages. Semin. Cancer Biol. 2012, 22, 289–297. [Google Scholar] [CrossRef] [PubMed]
- Mantovani, A.; Sica, A.; Allavena, P.; Garlanda, C.; Locati, M. Tumor-Associated Macrophages and the Related Myeloid-Derived Suppressor Cells as a Paradigm of the Diversity of Macrophage Activation. Hum. Immunol. 2009, 70, 325–330. [Google Scholar] [CrossRef] [PubMed]
- Zhou, Q.; Xian, M.; Xiang, S.; Xiang, D.; Shao, X.; Wang, J.; Cao, J.; Yang, X.; Yang, B.; Ying, M.; et al. All-Trans Retinoic Acid Prevents Osteosarcoma Metastasis by Inhibiting M2 Polarization of Tumor-Associated Macrophages. Cancer Immunol. Res. 2017, 5, 547–559. [Google Scholar] [CrossRef] [PubMed]
- Jayasingam, S.D.; Citartan, M.; Thang, T.H.; Mat Zin, A.A.; Ang, K.C.; Ch’ng, E.S. Evaluating the Polarization of Tumor-Associated Macrophages Into M1 and M2 Phenotypes in Human Cancer Tissue: Technicalities and Challenges in Routine Clinical Practice. Front. Oncol. 2019, 9, 1512. [Google Scholar] [CrossRef]
- Holness, C.L.; Simmons, D.L. Molecular Cloning of CD68, a Human Macrophage Marker Related to Lysosomal Glycoproteins. Blood 1993, 81, 1607–1613. [Google Scholar] [CrossRef]
- Proff, P.; Römer, P. The Molecular Mechanism behind Bone Remodelling: A Review. Clin. Oral Investig. 2009, 13, 355–362. [Google Scholar] [CrossRef]
- Lau, S.K.; Chu, P.G.; Weiss, L.M. CD163: A Specific Marker of Macrophages in Paraffin-Embedded Tissue Samples. Am. J. Clin. Pathol. 2004, 122, 794–801. [Google Scholar] [CrossRef]
- Rőszer, T. Understanding the Mysterious M2 Macrophage through Activation Markers and Effector Mechanisms. Mediat. Inflamm. 2015, 2015, 816460. [Google Scholar] [CrossRef]
- Lampiasi, N.; Russo, R.; Zito, F. The Alternative Faces of Macrophage Generate Osteoclasts. BioMed Res. Int. 2016, 2016, 9089610. [Google Scholar] [CrossRef] [PubMed]
- Boyle, W.J.; Simonet, W.S.; Lacey, D.L. Osteoclast Differentiation and Activation. Nature 2003, 423, 337–342. [Google Scholar] [CrossRef] [PubMed]
- Xiao, Y.; Palomero, J.; Grabowska, J.; Wang, L.; de Rink, I.; van Helvert, L.; Borst, J. Macrophages and Osteoclasts Stem from a Bipotent Progenitor Downstream of a Macrophage/Osteoclast/Dendritic Cell Progenitor. Blood Adv. 2017, 1, 1993–2006. [Google Scholar] [CrossRef]
- Liverani, C.; Mercatali, L.; Spadazzi, C.; La Manna, F.; De Vita, A.; Riva, N.; Calpona, S.; Ricci, M.; Bongiovanni, A.; Gunelli, E.; et al. CSF-1 Blockade Impairs Breast Cancer Osteoclastogenic Potential in Co-Culture Systems. Bone 2014, 66, 214–222. [Google Scholar] [CrossRef] [PubMed]
- Diepenhorst, N.A.; Nowell, C.J.; Rueda, P.; Henriksen, K.; Pierce, T.; Cook, A.E.; Pastoureau, P.; Sabatini, M.; Charman, W.N.; Christopoulos, A.; et al. High Throughput, Quantitative Analysis of Human Osteoclast Differentiation and Activity. Anal. Biochem. 2017, 519, 51–56. [Google Scholar] [CrossRef] [PubMed]
- Filgueira, L. Fluorescence-Based Staining for Tartrate-Resistant Acidic Phosphatase (TRAP) in Osteoclasts Combined with Other Fluorescent Dyes and Protocols. J. Histochem. Cytochem. Off. J. Histochem. Soc. 2004, 52, 411–414. [Google Scholar] [CrossRef] [PubMed]
- Battaglia, S.; Dumoucel, S.; Chesneau, J.; Heymann, M.-F.; Picarda, G.; Gouin, F.; Corradini, N.; Heymann, D.; Redini, F. Impact of Oncopediatric Dosing Regimen of Zoledronic Acid on Bone Growth: Preclinical Studies and Case Report of an Osteosarcoma Pediatric Patient. J. Bone Miner. Res. Off. J. Am. Soc. Bone Miner. Res. 2011, 26, 2439–2451. [Google Scholar] [CrossRef]
- Lézot, F.; Chesneau, J.; Battaglia, S.; Brion, R.; Castaneda, B.; Farges, J.-C.; Heymann, D.; Rédini, F. Preclinical Evidence of Potential Craniofacial Adverse Effect of Zoledronic Acid in Pediatric Patients with Bone Malignancies. Bone 2014, 68, 146–152. [Google Scholar] [CrossRef]
- Akiyama, T.; Dass, C.R.; Shinoda, Y.; Kawano, H.; Tanaka, S.; Choong, P.F.M. Systemic RANK-Fc Protein Therapy Is Efficacious against Primary Osteosarcoma Growth in a Murine Model via Activity against Osteoclasts. J. Pharm. Pharmacol. 2010, 62, 470–476. [Google Scholar] [CrossRef]
- Junankar, S.; Shay, G.; Jurczyluk, J.; Ali, N.; Down, J.; Pocock, N.; Parker, A.; Nguyen, A.; Sun, S.; Kashemirov, B.; et al. Real-Time Intravital Imaging Establishes Tumor-Associated Macrophages as the Extraskeletal Target of Bisphosphonate Action in Cancer. Cancer Discov. 2015, 5, 35–42. [Google Scholar] [CrossRef]
- Ibrahim, T.; Ricci, M.; Scarpi, E.; Bongiovanni, A.; Ricci, R.; Riva, N.; Liverani, C.; De Vita, A.; La Manna, F.; Oboldi, D.; et al. RANKL: A Promising Circulating Marker for Bone Metastasis Response. Oncol. Lett. 2016, 12, 2970–2975. [Google Scholar] [CrossRef] [PubMed]
- Iseulys, R.; Anne, G.-B.; Corinne, B.; Gonzague, D.B.D.P.; Marie, K.; Jean-Yves, B.; Aurélie, D. The Immune Landscape of Chondrosarcoma Reveals an Immunosuppressive Environment in the Dedifferentiated Subtypes and Exposes CSFR1+ Macrophages as a Promising Therapeutic Target. J. Bone Oncol. 2020, 20, 100271. [Google Scholar] [CrossRef] [PubMed]
- Zhang, W.; Hubbard, A.; Jones, T.; Racolta, A.; Bhaumik, S.; Cummins, N.; Zhang, L.; Garsha, K.; Ventura, F.; Lefever, M.R.; et al. Fully Automated 5-Plex Fluorescent Immunohistochemistry with Tyramide Signal Amplification and Same Species Antibodies. Lab. Investig. J. Tech. Methods Pathol. 2017, 97, 873–885. [Google Scholar] [CrossRef] [PubMed]





| OS2006 Patient Data | Included Patients | |||
|---|---|---|---|---|
| Total | ZA− | ZA+ | p | |
| n = 108 | n = 69 | n = 39 | ||
| Age | ||||
| Med (Range) | 15 (5–50) | 16 (5–48) | 15 (8–50) | 0.7907 |
| <18y | 72 (66.7%) | 48 (69.6%) | 24 (61.5%) | 0.3954 |
| ≥18y | 36 (33.3%) | 21 (30.4%) | 15 (38.5%) | |
| Sex | ||||
| Male | 65 (60.2%) | 42 (60.9%) | 23 (59.0%) | 0.8468 |
| Female | 43 (39.8%) | 27 (39.1%) | 16 (41.0%) | |
| Limb vs. Axial | ||||
| Axial | 12 (11.1%) | 7 (10,1%) | 5 (12.8%) | 0.7534 |
| Limb | 96 (88.9%) | 62 (89.9%) | 34 (87.2%) | |
| Conventional osteosarcoma | ||||
| Chondroblastic | 28 (25.9%) | 20 (29.0%) | 8 (20.5%) | 0.6858 |
| Osteoblastic | 68 (63.0%) | 42 (60.9%) | 26 (66.7%) | |
| Fibroblastic | 6 (5.6%) | 3 (4.3%) | 3 (7.7%) | |
| Other | 6 (5.6%) | 4 (5.8%) | 2 (5.1%) | |
| Meta vs. non meta | ||||
| Localized | 86 (79.6%) | 55 (79.7%) | 31 (79.5%) | 0.9780 |
| Metastases | 22 (20.4%) | 14 (20.3%) | 8 (20.5%) | |
| Chemotherapy | ||||
| API-AI | 13 (12.0%) | 6 (8.7%) | 7 (17.9%) | 0.2180 |
| MTX | 95 (88.0%) | 63 (91.3%) | 32 (82.1%) | |
| Chemotherapy response | ||||
| GR | 67 (65.0%) | 38 (57.6%) | 29 (78.4%) | 0.0336 |
| PR | 36 (35.0%) | 28 (42.4%) | 8 (21.6%) | |
| Missing | 5 | 3 | 2 | |
| Included Patients | Total | ZA− | ZA+ | padj |
|---|---|---|---|---|
| n = 108 | n = 69 | n = 39 | ||
| A.IHC | ||||
| CD8 (%) | ||||
| Med (Range) | 1 (0–60) | 1 (0–60) | 1 (0–30) | 1.0000 |
| Missing | 12 | 9 | 3 | |
| CD163 (%) | ||||
| Med (Range) | 40 (0–80) | 40 (0–80) | 40 (0–80) | 1.0000 |
| Missing | 27 | 18 | 9 | |
| CD68 (%) | ||||
| Med (Range) | 20 (0–80) | 20 (0–80) | 20 (0–80) | 1.0000 |
| Missing | 12 | 7 | 5 | |
| B.Serum levels | ||||
| At diagnosis | ||||
| CSF-1R (ng/mL) | ||||
| Med (Range) | 619.5 (159.0–1359.5) | 582.0 (159.0–1293.7) | 635.3 (175.7–1359.5) | 1.0000 |
| Missing | 4 | 2 | 2 | |
| TRAP (U/L) | ||||
| Med (Range) | 9.7 (2.2–48.5) | 9.2 (2.2–27.5) | 11.1 (2.2–48.5) | 1.0000 |
| Missing | 3 | 1 | 2 | |
| At surgery | ||||
| CSF-1R (ng/mL) | ||||
| Med (Range) | 683.1 (150.8–2262.1) | 619.2 (150.8–2034.8) | 854.1 (213.6–2262.1) | 1.0000 |
| Missing | 38 | 26 | 12 | |
| TRAP (U/L) | ||||
| Med (Range) | 6.9 (0.5–24.3) | 7.6 (3.5–24.3) | 5.1 (0.5–9.6) | 0.0011 |
| Missing | 41 | 27 | 14 | |
| At the end of treatment | ||||
| CSF-1R (ng/mL) | ||||
| Med (Range) | 716.9 (146.9–2714.5) | 676.3 (146.9–2714.5) | 831.8 (296.1–1988.1) | 1.0000 |
| Missing | 34 | 22 | 12 | |
| TRAP (U/L) | ||||
| Med (Range) | 6.5 (0.6–23.3) | 7.0 (2.1–23.3) | 3.7 (0.6–11.2) | 0.0132 |
| Missing | 36 | 24 | 12 | |
| One year after the end of treatment | ||||
| CSF-1R (ng/mL) | ||||
| Med (Range) | 518.7 (244.1–1788.4) | 499.6 (244.1–1788.4) | 615.9 (261.6–1452.4) | 1.0000 |
| Missing | 55 | 34 | 21 | |
| TRAP (U/L) | ||||
| Med (Range) | 6.2 (0.9–26.0) | 6.4 (2.2–26.0) | 5.5 (0.9–13.1) | 1.0000 |
| Missing | 57 | 34 | 23 |
| Biomarker | Overall Survival | |||||
| All | ZA− | ZA+ | ||||
| HR [95%CI] | p | HR [95%CI] | p | HR [95%CI] | p | |
| CD8 | 1 [0.7; 1.6] | 0.844 | 1.1 [0.7; 1.7] | 0.61 | 0 [0; 4.6] | 0.077 |
| CD163 | 0.8 [0.7; 1] | 0.011 | 0.8 [0.7; 1] | 0.026 | 0.8 [0.7; 1.1] | 0.184 |
| CD68 | 0.9 [0.7; 1] | 0.075 | 0.8 [0.7; 1] | 0.054 | 1 [0.7; 1.3] | 0.894 |
| CSF-1R | 1 [0.9; 1.2] | 0.926 | 1 [0.8; 1.2] | 0.96 | 1 [0.8; 1.3] | 0.927 |
| TRAP | 1 [1; 1.1] | 0.192 | 1.1 [1; 1.2] | 0.017 | 1 [0.9; 1.1] | 0.706 |
| Metastatic Progression Free Survival | ||||||
| All | ZA− | ZA+ | ||||
| HR [95%CI] | p | HR [95%CI] | p | HR [95%CI] | p | |
| CD8 | 1.1 [0.7; 1.7] | 0.807 | 1.2 [0.7; 1.9] | 0.52 | 0.7 [0.2; 2.7] | 0.609 |
| CD163 | 0.9 [0.8; 1] | 0.019 | 0.9 [0.7; 1] | 0.081 | 0.8 [0.7; 1.1] | 0.131 |
| CD68 | 0.9 [0.8; 1] | 0.147 | 0.9 [0.8; 1.1] | 0.183 | 0.9 [0.7; 1.2] | 0.557 |
| CSF-1R | 1 [0.9; 1.2] | 0.514 | 1.1 [0.9; 1.3] | 0.305 | 1 [0.8; 1.2] | 0.887 |
| TRAP | 1 [1; 1.1] | 0.214 | 1.1 [1; 1.1] | 0.051 | 1 [0.9; 1.1] | 0.888 |
Publisher’s Note: MDPI stays neutral with regard to jurisdictional claims in published maps and institutional affiliations. |
© 2021 by the authors. Licensee MDPI, Basel, Switzerland. This article is an open access article distributed under the terms and conditions of the Creative Commons Attribution (CC BY) license (http://creativecommons.org/licenses/by/4.0/).
Share and Cite
Gomez-Brouchet, A.; Gilhodes, J.; Van Acker, N.; Brion, R.; Bouvier, C.; Assemat, P.; Gaspar, N.; Aubert, S.; Guinebretiere, J.-M.; Marie, B.; et al. Characterization of Macrophages and Osteoclasts in the Osteosarcoma Tumor Microenvironment at Diagnosis: New Perspective for Osteosarcoma Treatment? Cancers 2021, 13, 423. https://doi.org/10.3390/cancers13030423
Gomez-Brouchet A, Gilhodes J, Van Acker N, Brion R, Bouvier C, Assemat P, Gaspar N, Aubert S, Guinebretiere J-M, Marie B, et al. Characterization of Macrophages and Osteoclasts in the Osteosarcoma Tumor Microenvironment at Diagnosis: New Perspective for Osteosarcoma Treatment? Cancers. 2021; 13(3):423. https://doi.org/10.3390/cancers13030423
Chicago/Turabian StyleGomez-Brouchet, Anne, Julia Gilhodes, Nathalie Van Acker, Regis Brion, Corinne Bouvier, Pauline Assemat, Nathalie Gaspar, Sebastien Aubert, Jean-Marc Guinebretiere, Beatrice Marie, and et al. 2021. "Characterization of Macrophages and Osteoclasts in the Osteosarcoma Tumor Microenvironment at Diagnosis: New Perspective for Osteosarcoma Treatment?" Cancers 13, no. 3: 423. https://doi.org/10.3390/cancers13030423
APA StyleGomez-Brouchet, A., Gilhodes, J., Van Acker, N., Brion, R., Bouvier, C., Assemat, P., Gaspar, N., Aubert, S., Guinebretiere, J.-M., Marie, B., Larousserie, F., Entz-Werlé, N., De Pinieux, G., Mascard, E., Gouin, F., Brousset, P., Tabone, M.-D., Jimenez, M., Le Deley, M.-C., ... Rédini, F. (2021). Characterization of Macrophages and Osteoclasts in the Osteosarcoma Tumor Microenvironment at Diagnosis: New Perspective for Osteosarcoma Treatment? Cancers, 13(3), 423. https://doi.org/10.3390/cancers13030423

