Single-Shot Local Injection of Microfragmented Fat Tissue Loaded with Paclitaxel Induces Potent Growth Inhibition of Hepatocellular Carcinoma in Nude Mice
Abstract
Simple Summary
Abstract
1. Introduction
2. Materials and Methods
2.1. Sample Collection, Ethics Statements, MFAT and DMFAT Preparation
2.2. Chemicals and Reagents
2.3. Tumor Cell Lines
2.4. Procedure for PTX Priming of MFAT and DMFAT Specimens for In Vitro Experiments
2.5. Evaluation of the Activity of MFAT and DMFAT Loaded with PTX on Hep-3B Growth in 2D Assay
2.6. Histological Analysis of DMFAT–Hep-3B Cells in 3D Constructs
2.7. Evaluation of In Vivo Anti-Tumor Activity of DMFAT-PTX
2.8. Histology of Hep-3B Tumor Specimens In Vivo
2.9. Pharmacokinetics (PK) of PTX Released by DMFAT-PTX and Incorporated into Tumor Nodule
2.10. Statistical Analysis
3. Results
3.1. PTX Displayed Anti-Proliferative Activity on Hep-3B Cell Line In Vitro
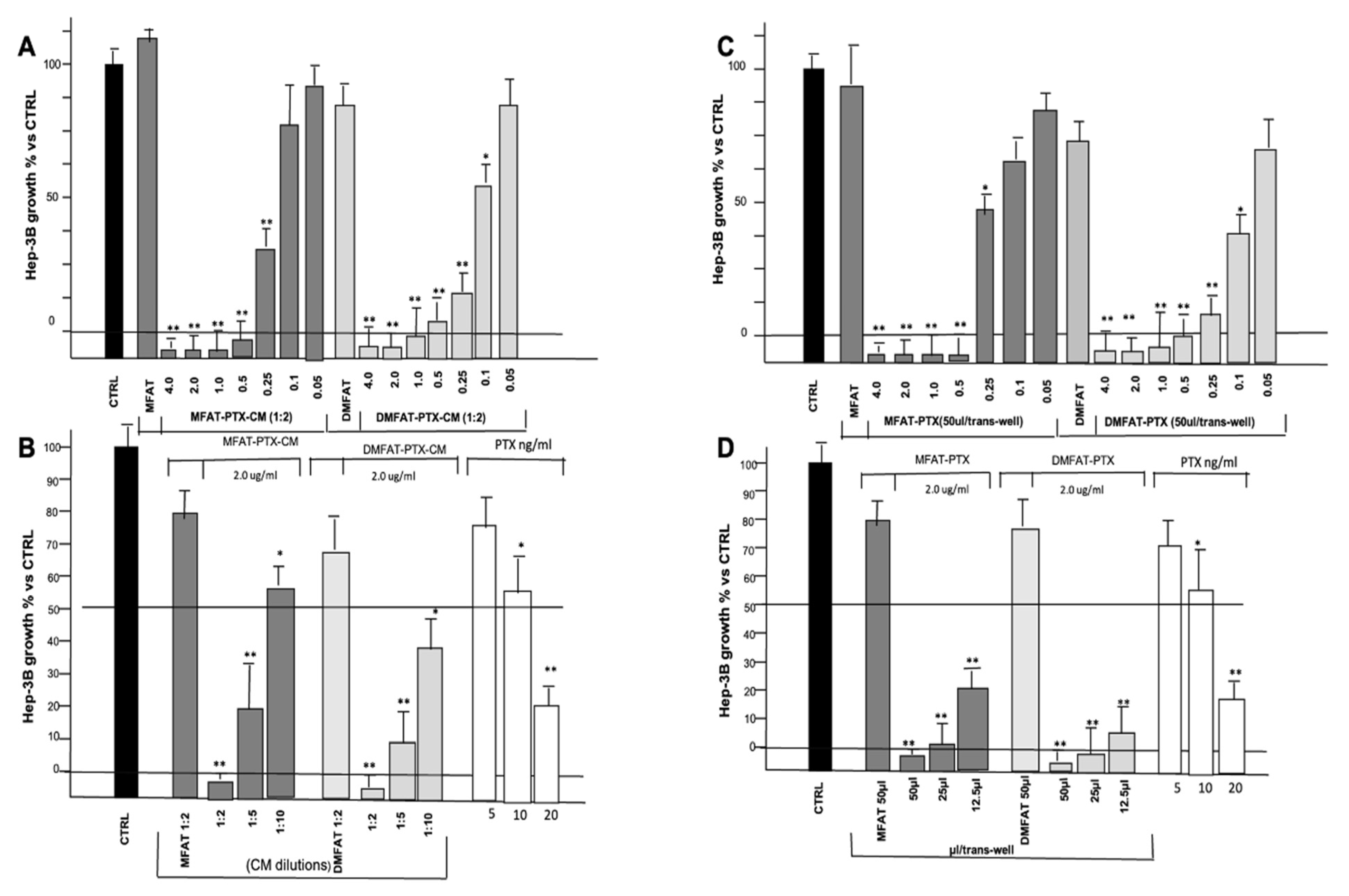
3.2. MFAT and DMFAT Specimens Loaded with PTX Exerted a Potent Antitumor Activity on Hep-3B In Vitro
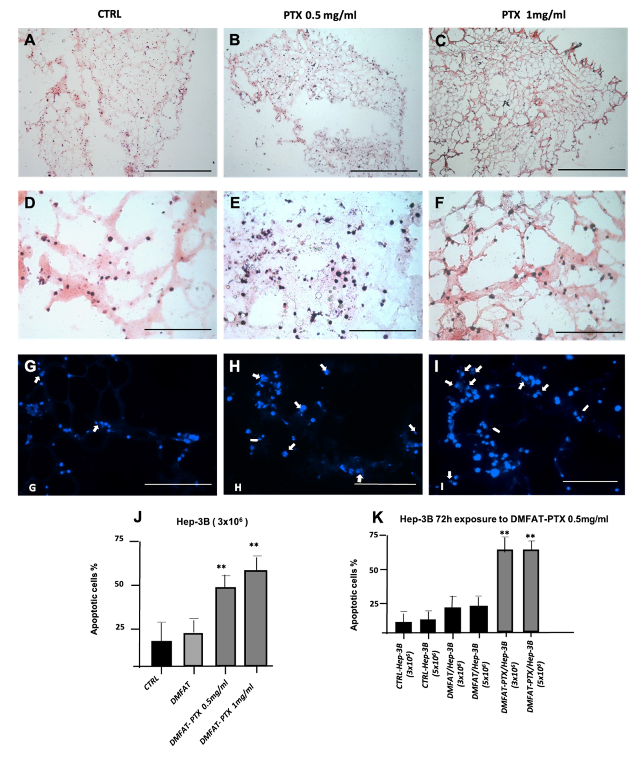
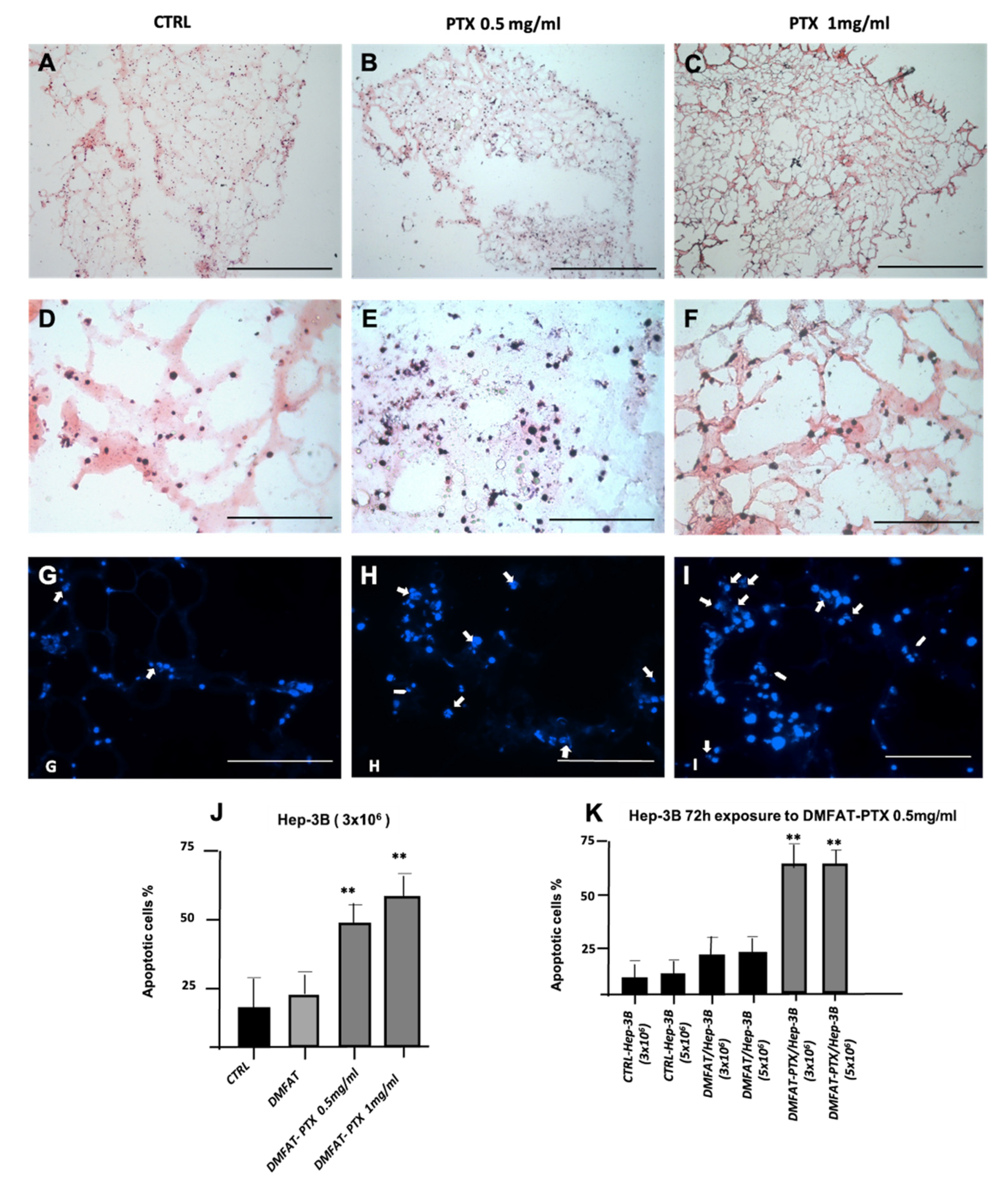
3.3. D Matrigel Construct to Study Interaction between Hep-3B Cells and DMFAT Loaded or Not with PTX
3.4. Anti-Tumor Effect of DMFAT-PTX in an HCC-Established Subcutaneous Growing Tumor
3.5. PK of PTX Delivered by DMFAT-PTX When Located Nearby Tumor Nodule
4. Discussion
5. Conclusions
Supplementary Materials
Author Contributions
Funding
Institutional Review Board Statement
Informed Consent Statement
Data Availability Statement
Acknowledgments
Conflicts of Interest
References
- Rizzo, A.; Ricci, A.D.; Brandi, G. Atezolizumab in advanced hepatocellular carcinoma: Good things come to those who wait. Immunotherapy 2021, 13, 637–644. [Google Scholar] [CrossRef]
- Lin, Z.-L.; Ding, J.; Sun, G.-P.; Li, D.; He, S.-S.; Liang, X.-F.; Huang, X.-R.; Xie, J. Application of Paclitaxel-loaded EGFR Peptide-conjugated Magnetic Polymeric Liposomes for Liver Cancer Therapy. Curr. Med. Sci. 2020, 40, 145–154. [Google Scholar] [CrossRef]
- Raffetti, E.; Portolani, N.; Molfino, S.; Mentasti, S.; Baiocchi, G.L.; Magoni, M.; Donato, F. Is survival for hepatocellular carcinoma increasing? A population-based study on survival of hepatocellular carcinoma patients in the 1990s and 2000s. Clin. Res. Hepatol. Gastroenterol. 2020, 45, 101433. [Google Scholar] [CrossRef]
- Bruix, J.; Sherman, M. Management of hepatocellular carcinoma. Hepatology 2005, 42, 1208–1236. [Google Scholar] [CrossRef]
- Perry, J.F.; Charlton, B.; Koorey, D.J.; Waugh, R.C.; Gallagher, P.J.; Crawford, M.D.; Verran, D.J.; Mccaughan, G.; Strasser, S.I. Outcome of patients with hepatocellular carcinoma referred to a tertiary centre with availability of multiple treatment options including cadaveric liver transplantation. Liver Int. 2007, 27, 1240–1248. [Google Scholar] [CrossRef]
- Portolani, N.; Coniglio, A.; Ghidoni, S.; Giovanelli, M.; Benetti, A.; Tiberio, G.A.M.; Giulini, S.M. Early and Late Recurrence After Liver Resection for Hepatocellular Carcinoma: Prognosis and therapeutic implications. Ann. Surg. 2006, 243, 229–235. [Google Scholar] [CrossRef]
- Yang, S.-L.; Luo, Y.-Y.; Chen, M.; Zhou, Y.-P.; Lu, F.-R.; Deng, D.-F.; Wu, Y.-R. A systematic review and meta-analysis comparing the prognosis of multicentric occurrence and vs. intrahepatic metastasis in patients with recurrent hepatocellular carcinoma after hepatectomy. HPB 2017, 19, 835–842. [Google Scholar] [CrossRef]
- Alessandri, G.; Coccè, V.; Pastorino, F.; Paroni, R.; Cas, M.D.; Restelli, F.; Pollo, B.; Gatti, L.; Tremolada, C.; Berenzi, A.; et al. Microfragmented human fat tissue is a natural scaffold for drug delivery: Potential application in cancer chemotherapy. J. Control. Release 2019, 302, 2–18. [Google Scholar] [CrossRef]
- Tremolada, C.; Ricordi, C.; Caplan, A.I.; Ventura, C. Mesenchymal Stem Cells in Lipogems, a Reverse Story: From Clinical Practice to Basic Science. Methods Mol. Biol. 2016, 1416, 109–122. [Google Scholar] [CrossRef]
- Tremolada, C.; Colombo, V.; Ventura, C. Adipose Tissue and Mesenchymal Stem Cells: State of the Art and Lipogems® Technology Development. Curr. Stem Cell Rep. 2016, 2, 304–312. [Google Scholar] [CrossRef]
- Ceserani, V.; Ferri, A.; Berenzi, A.; Benetti, A.; Ciusani, E.; Pascucci, L.; Bazzucchi, C.; Coccè, V.; Bonomi, A.; Pessina, A.; et al. Angiogenic and anti-inflammatory properties of micro-fragmented fat tissue and its derived mesenchymal stromal cells. Vasc. Cell 2016, 8, 3. [Google Scholar] [CrossRef] [PubMed]
- Nava, S.; Sordi, V.; Pascucci, L.; Tremolada, C.; Ciusani, E.; Zeira, E.; Cadei, M.; Soldati, G.; Pessina, A.; Parati, E.; et al. Long Lasting Anti-Inflammatory Activity of Human Micro-Fragmented Adipose Tissue. Stem Cell Int. 2019, 2019, 5901479. [Google Scholar]
- Schiariti, M.P.; Restelli, F.; Ferroli, P.; Benetti, A.; Berenzi, A.; Ferri, A.; Ceserani, V.; Ciusani, E.; Cadei, M.; Finocchiaro, G.; et al. Fibronectin-adherent peripheral blood derived mononuclear cells as Paclitaxel carriers for glioblastoma treatment: An in vitro study. Cytotherapy 2017, 19, 721–734. [Google Scholar] [CrossRef]
- Berenzi, A.; Steimberg, N.; Boniotti, J.; Mazzoleni, G. MRT Letter: 3D culture of isolated cells: A fast and efficient method for optimizing their histochemical and immunocytochemical analyses. Microsc. Res. Tech. 2015, 78, 249–254. [Google Scholar] [CrossRef]
- Eisman, J.A.; Barkla, D.; Tutton, P.J.M. Suppression of the in vivo growth of human cancer solid tumor xenografts by 1,25-dihydroxyvitamin D3. Cancer Res. 1987, 47, 21–25. [Google Scholar]
- Pessina, A.; Bonomi, A.; Coccè, V.; Invernici, G.; Navone, S.E.; Cavicchini, L.; Sisto, F.; Ferrari, M.; Viganò, L.; Locatelli, A.; et al. Mesenchymal Stromal Cells Primed with Paclitaxel Provide a New Approach for Cancer Therapy. PLoS ONE 2011, 6, e28321. [Google Scholar] [CrossRef]
- Clarke, S.J.; Rivory, L. Clinical Pharmacokinetics of Docetaxel. Clin. Pharmacokinet. 1999, 36, 99–114. [Google Scholar] [CrossRef]
- Eiseman, J.L.; Eddington, N.D.; Leslie, J.; MacAuley, C.; Sentz, D.L.; Zuhowski, M.; Kujawa, J.M.; Young, D.; Egorin, M.J. Plasma pharmacokinetics and tissue distribution of paclitaxel in CD2F1 mice. Cancer Chemother. Pharmacol. 1994, 34, 465–471. [Google Scholar] [CrossRef]
- Skeel, R.T.; Khleif, S.N. Handbook of Cancer Chemiotherapy, 8th ed.; Lippincott Williams & Wilkins: Philadelphia, PA, USA, 2011. [Google Scholar]
- Barton-Burke, M.; Wilkes, G.M.; Ingwersen, K. Cancer Chemotherapy, Care Plans Handbook, 3rd ed.; Jones & Bartlett Learning: Sudbury, ON, Canada, 2002. [Google Scholar]
- Aigner, K.R.; Stephens, F.O. Induction Chemotherapy: Integrated Treatment Programs for Locally Advanced Cancer; Springer Science & Business Media: New York, NY, USA, 2011. [Google Scholar]
- Aigner, K.R.; Gailhofer, S.; Kopp, S. Regional versus systemic chemotherapy for advanced pancreatic cancer: A randomized study. Hepatogastroenterology 1998, 45, 1125–1129. [Google Scholar] [PubMed]
- Pessina, A.; Leonetti, C.; Artuso, S.; Benetti, A.; Dessy, E.; Pascucci, L.; Passeri, D.; Orlandi, A.; Berenzi, A.; Bonomi, A.; et al. Drug-releasing mesenchymal cells strongly suppress B16 lung metastasis in a syngeneic murine model. J. Exp. Clin. Cancer Res. 2015, 34, 82. [Google Scholar] [CrossRef] [PubMed]
- Lisini, D.; Nava, S.; Frigerio, S.; Pogliani, S.; Maronati, G.; Marcianti, A.; Coccè, V.; Bondiolotti, G.; Cavicchini, L.; Paino, F.; et al. Automated Large-Scale Production of Paclitaxel Loaded Mesenchymal Stromal Cells for Cell Therapy Applications. Pharmaceutics 2020, 12, 411. [Google Scholar] [CrossRef]
- Kang, M.K.; Park, J.G.; Lee, H.J. Comparison of clinical outcomes between sorafenib and hepatic artery infusion chemotherapy in advanced hepatocellular carcinoma: A STROBE-compliant article. Medicine 2018, 97, e0611. [Google Scholar] [CrossRef] [PubMed]
- Ikeda, M.; Morizane, C.; Ueno, M.; Okusaka, T.; Ishii, H.; Furuse, J. Chemotherapy for hepatocellular carcinoma: Current status and future perspectives. Jpn. J. Clin. Oncol. 2017, 48, 103–114. [Google Scholar] [CrossRef] [PubMed]
- Schlageter, M.; Terracciano, L.M.; D’Angelo, S.; Sorrentino, P. Histopathology of hepatocellular carcinoma. World J. Gatroenterol. 2014, 20, 15955–15964. [Google Scholar] [CrossRef] [PubMed]
- Fan, W. Possible mechanisms of paclitaxel-induced apoptosis. Biochem. Pharmacol. 1999, 57, 1215–1221. [Google Scholar]
- Juang, S.H.; Lung, C.C.; Hsu, P.C.; Hsu, K.S.; Li, Y.C.; Hong, P.C.; Shiah, H.S.; Kuo, C.C.; Huang, C.W.; Wang, Y.C.; et al. D-501036, a novel selenophene-based triheterocycle derivative, exhibits potent in vitro and in vivo antitumoral activity which involves DNA damage and ataxia telangiectasia-mutated nuclear protein kinase activation. Mol. Cancer Ther. 2007, 6, 193–202. [Google Scholar] [CrossRef] [PubMed]
- Benguigui, M.; Alishekevitz, D.; Timaner, M.; Shechter, D.; Raviv, Z.; Benzekry, S.; Shaked, Y. Dose- and time-dependence of the host-mediated response to paclitaxeltherapy: A mathematical modeling approach. Oncotarget 2018, 9, 2574–2590. [Google Scholar] [CrossRef] [PubMed]
- Sousa, I.; Rodrigues, F.; Prazeres, H.; Lima, R.T.; Soares, P. Liposomal therapies in oncology: Does one size fit all? Cancer Chemother. Pharmacol. 2018, 82, 741–755. [Google Scholar] [CrossRef]
- Cox, A.; Andreozzi, P.; Magro, R.D.; Fiordaliso, F.; Corbelli, A.; Talamini, L.; Chinello, C.; Raimondo, F.; Magni, F.; Tringali, M.; et al. Evolution of Nanoparticle Protein Corona across the Blood–Brain Barrier. ACS Nano 2018, 12, 7292–7300. [Google Scholar] [CrossRef]
- Mahajan, S.; Patharkar, A.; Kuche, K.; Maheshwari, R.; Deb, P.K.; Kalia, K.; Tekade, R.K. Functionalized carbon nanotubes as emerging delivery system for the treatment of cancer. Int. J. Pharm. 2018, 548, 540–558. [Google Scholar] [CrossRef]
- Krukiewicz, K.; Zak, J.K. Biomaterial-based regional chemotherapy: Local anticancer drug delivery to enhance chemotherapy and minimize its side-effects. Mater. Sci. Eng. C Mater. Biol. Appl. 2016, 62, 927–942. [Google Scholar] [CrossRef]
- Sheng, X.; Parmentier, J.-H.; Tucci, J.; Pei, H.; Cortez-Toledo, O.; Dieli-Conwright, C.M.; Oberley, M.J.; Neely, M.; Orgel, E.; Louie, S.G.; et al. Adipocytes Sequester and Metabolize the Chemotherapeutic Daunorubicin. Mol. Cancer Res. 2017, 15, 1704–1713. [Google Scholar] [CrossRef] [PubMed]
- Sheng, X.; Tucci, J.; Parmentier, J.-H.; Ji, L.; Behan, J.W.; Heisterkamp, N.; Mittelman, S.D. Adipocytes cause leukemia cell resistance to daunorubicin via oxidative stress response. Oncotarget 2016, 7, 73147–73159. [Google Scholar] [CrossRef] [PubMed][Green Version]
- Orgel, E.; Mueske, N.M.; Sposto, R.; Gilsanz, V.; Freyer, D.R.; Mittelman, S.D. Limitations of body mass index to assess body composition due to sarcopenic obesity during leukemia therapy. Leuk. Lymphoma 2015, 59, 138–145. [Google Scholar] [CrossRef]
- Mittelman, S.D.; Orgel, E. Adipocyte metabolism of the chemotherapy daunorubicin. Oncoscience 2018, 5, 146–147. [Google Scholar] [CrossRef] [PubMed]
- Lashinger, L.M.; Rossi, E.L.; Hursting, S.D. Obesity and Resistance to Cancer Chemotherapy: Interacting Roles of Inflammation and Metabolic Dysregulation. Clin. Pharmacol. Ther. 2014, 96, 458–463. [Google Scholar] [CrossRef]
- O’Brien, F.J. Biomaterials & scaffolds for tissue engineering. Mater. Today 2011, 14, 88–95. [Google Scholar] [CrossRef]
- Pascucci, L.; Coccè, V.; Bonomi, A.; Ami, D.; Ceccarelli, P.; Ciusani, E.; Viganò, L.; Locatelli, A.; Sisto, F.; Doglia, S.M.; et al. Paclitaxel is incorporated by mesenchymal stromal cells and released in exosomes that inhibit in vitro tumor growth: A new approach for drug delivery. J. Control. Release 2014, 192, 262–270. [Google Scholar] [CrossRef]
- Zeira, O.; Ghezzi, E.; Pettinari, L.; Re, V.; Lupi, D.M.; Benali, S.L.; Borgonovo, S.; Alessandri, G.; Petrella, F.; Paroni, R.; et al. Case Report: Microfragmented Adipose Tissue Drug Delivery in Canine Mesothelioma: A Case Report on Safety, Feasibility, and Clinical Findings. Front. Veter-Sci. 2021, 7. [Google Scholar] [CrossRef]






Publisher’s Note: MDPI stays neutral with regard to jurisdictional claims in published maps and institutional affiliations. |
© 2021 by the authors. Licensee MDPI, Basel, Switzerland. This article is an open access article distributed under the terms and conditions of the Creative Commons Attribution (CC BY) license (https://creativecommons.org/licenses/by/4.0/).
Share and Cite
Alessandri, G.; Pessina, A.; Paroni, R.; Bercich, L.; Paino, F.; Dei Cas, M.; Cadei, M.; Caruso, A.; Schiariti, M.; Restelli, F.; et al. Single-Shot Local Injection of Microfragmented Fat Tissue Loaded with Paclitaxel Induces Potent Growth Inhibition of Hepatocellular Carcinoma in Nude Mice. Cancers 2021, 13, 5505. https://doi.org/10.3390/cancers13215505
Alessandri G, Pessina A, Paroni R, Bercich L, Paino F, Dei Cas M, Cadei M, Caruso A, Schiariti M, Restelli F, et al. Single-Shot Local Injection of Microfragmented Fat Tissue Loaded with Paclitaxel Induces Potent Growth Inhibition of Hepatocellular Carcinoma in Nude Mice. Cancers. 2021; 13(21):5505. https://doi.org/10.3390/cancers13215505
Chicago/Turabian StyleAlessandri, Giulio, Augusto Pessina, Rita Paroni, Luisa Bercich, Francesca Paino, Michele Dei Cas, Moris Cadei, Arnaldo Caruso, Marco Schiariti, Francesco Restelli, and et al. 2021. "Single-Shot Local Injection of Microfragmented Fat Tissue Loaded with Paclitaxel Induces Potent Growth Inhibition of Hepatocellular Carcinoma in Nude Mice" Cancers 13, no. 21: 5505. https://doi.org/10.3390/cancers13215505
APA StyleAlessandri, G., Pessina, A., Paroni, R., Bercich, L., Paino, F., Dei Cas, M., Cadei, M., Caruso, A., Schiariti, M., Restelli, F., Zeira, O., Tremolada, C., & Portolani, N. (2021). Single-Shot Local Injection of Microfragmented Fat Tissue Loaded with Paclitaxel Induces Potent Growth Inhibition of Hepatocellular Carcinoma in Nude Mice. Cancers, 13(21), 5505. https://doi.org/10.3390/cancers13215505

