Studies of Performance of Cs2TiI6−XBrX (Where x = 0 to 6)-Based Mixed Halide Perovskite Solar Cell with CdS Electron Transport Layer
Abstract
1. Introduction
2. Device Architecture and Simulation
3. Results and Discussion
3.1. Optimization of Absorbing Layer Thickness with CdS Layer
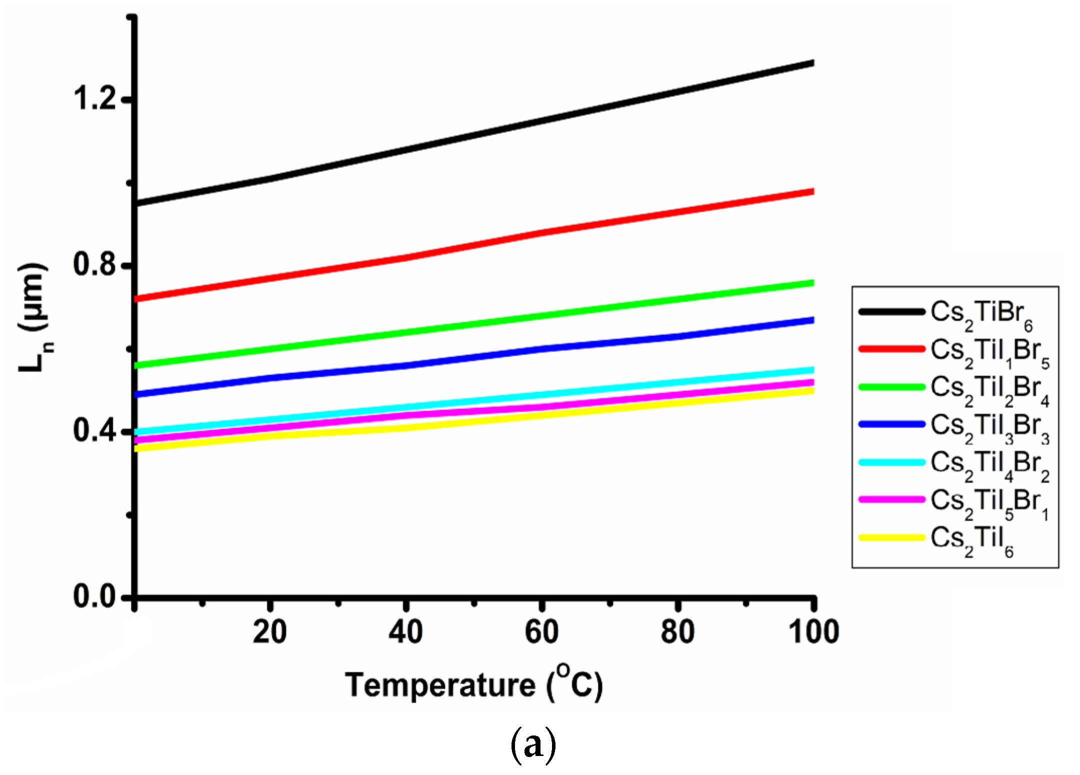
3.2. Optimization of Device Temperature with CdS Layer
3.3. Optimization of Defect Density
4. Conclusions
Author Contributions
Funding
Institutional Review Board Statement
Informed Consent Statement
Data Availability Statement
Acknowledgments
Conflicts of Interest
References
- Kojima, A.; Teshima, K.; Shirai, Y.; Miyasaka, T. Organometal halide perovskites as visible-light sensitizers for photovoltaic cells. J. Am. Chem. Soc. 2009, 131, 6050–6051. [Google Scholar] [CrossRef] [PubMed]
- Giustino, F.; Snaith, H.J. Toward lead-free perovskite solar cells. ACS Energy Lett. 2016, 1, 1233–1240. [Google Scholar]
- Yang, W.S.; Noh, J.H.; Jeon, N.J.; Kim, Y.C.; Ryu, S.; Seo, J. High-performance photovoltaic perovskite layers fabricated through intramolecular exchange. Science 2015, 348, 1234–1237. [Google Scholar] [CrossRef] [PubMed]
- Yin, W.J.; Yang, J.H.; Kang, J.; Yan, Y.; Wei, S.H. Halide perovskite materials for solar cells: A theoretical review. J. Mater. Chem. A 2015, 3, 8926–8942. [Google Scholar] [CrossRef]
- Hosseini, S.R.; Bahramgour, M.; Sefidi, P.Y.; Mashayekh, A.T.; Moradi, A.; Delibas, N.; Hosseini, M.G.; Niaei, A. Investigating the effect of non-ideal conditions on the performance of a planar CH3NH3PbI3-based perovskite solar cell through SCAPS-1D simulation. Heliyon 2022, 8, e11471. [Google Scholar] [CrossRef] [PubMed]
- Ju, M.G.; Chen, M.; Zhou, Y.; Garces, H.F.; Dai, J.; Ma, L.; Padture, N.P.; Zeng, X.C. Earth- abundant non-toxic titanium (IV) based vacancy-ordered double perovskite halides with tunable 1.0 to 1.8 eV bandgaps for photovoltaic applications. ACS Energy Lett. 2018, 3, 297–304. [Google Scholar] [CrossRef]
- Chen, M.; Ju, M.G.; Carl, A.D.; Zong, Y.; Grimm, R.L.; Gu, J.; Zeng, X.C.; Zhou, Y.; Padture, N.P. Cesium Titanium (IV) Bromide thin Films based stable lead-free perovskite solar cells. Joule 2018, 23, 558–570. [Google Scholar] [CrossRef]
- Shyma, A.P.; Sellappan, R. Computational Probing of Tin-Based Lead-Free Perovskite Solar Cells: Effects of Absorber Parameters and Various Electron Transport Layer Materials on Device Performance. Materials 2022, 15, 7859. [Google Scholar]
- Omarova, Z.; Yerezhep, D.; Aldiyarov, A.; Tokmoldin, N. In Silico Investigation of the Impact of Hole-Transport Layers on the Performance of CH3NH3SnI3 Perovskite Photovoltaic Cells. Crystals 2022, 12, 699. [Google Scholar] [CrossRef]
- Umar, A.; Tiwari, P.; Srivastava, V.; Lohia, P.; Dwivedi, D.K.; Qasem, H.; Akbar, S.; Algadi, H.; Baskoutas, S. Modeling and Simulation of Tin Sulfide (SnS)-Based Solar Cell Using ZnO as Transparent Conductive Oxide (TCO) and NiO as Hole Transport Layer (HTL). Micromachines 2022, 13, 2073. [Google Scholar] [CrossRef]
- Ke, W.; Kanatzidis, G.M. Prospects for low-toxicity lead-free perovskite solar cells. Nat. Commun. 2019, 10, 965. [Google Scholar] [CrossRef]
- Chaudhary, N.; Chaudhary, R.; Kesari, J.P.; Patra, A.; Chand, S. Copper thiocyanate (CuSCN): An efficiency solution processable hole transporting layer in organic solar cells. J. Mater. Chem. C 2015, 3, 11886–11892. [Google Scholar] [CrossRef]
- Yang, Y.; You, J. Make perovskite solar cell stable. Nature 2017, 544, 155–156. [Google Scholar] [CrossRef]
- Bishnoi, S.; Pandey, S.K. Device performance analysis for lead-free perovskite solar cell optimization. IET Optoelect. 2018, 12, 185–190. [Google Scholar] [CrossRef]
- Chakraborty, K.; Choudhury, M.G.; Paul, S. Numerical study of Cs2TiX6(X=Br−, I−, F− and Cl−) based perovskite solar cell using SCAPS-1D device simulation. Solar Energy 2019, 194, 886–892. [Google Scholar] [CrossRef]
- Sheng, S.-Y.; Zhao, Y.-Y. First-principles study on the electronic and optical properties of strain-tuned mixed-halide double perovskites Cs2TiI6−XBrX. Phys. B Condens. Matter 2022, 626, 413522. [Google Scholar] [CrossRef]
- Chakraborty, K.; Choudhury, M.G.; Paul, S. Study of Physical, Optical and Electrical Properties of Cesium Titanium (IV) Based Single Halide Perovskite Solar Cell. IEEE J. Photovolt. 2021, 11, 386–390. [Google Scholar] [CrossRef]
- Li, C.; Luo, H.; Gu, H.; Li, H. BTO-Coupled CIGS Solar Cells with High Performances. Materials 2022, 15, 5883. [Google Scholar] [CrossRef] [PubMed]
- Heriche, H.; Rouabah, Z.; Bouarissa, N. New ultra-thin CIGS structure solar cells using SCAPS simulation program. Int. J. Hydrog. Energy 2017, 42, 9524–9532. [Google Scholar] [CrossRef]
- Mostefaoui, M.; Mazar, H.; Khelifi, S. Simulation of high efficiency CIGS solar cells with SCAPS-1D software. Energy Procedia 2015, 74, 736–744. [Google Scholar] [CrossRef]
- Pandey, R.; Chaujar, R. Numerical simulations: Toward the design of 27.6% efficient four-terminal semi-transparent perovskite/Sic passivated rear contact silicon tandem solar cell. Superlattices Microstruct. 2016, 100, 656–666. [Google Scholar] [CrossRef]
- Paul, S.; Grover, S.; Repins, I.L.; Keyes, B.M.; Contreras, M.A.; Ramanathan, K.; Noufi, R.; Zhao, Z.; Liao, F.; Li, J.V. Analysis of back-contact interface recombination in thin-film solar cells. IEEE J. Photovolt. 2018, 8, 871–878. [Google Scholar] [CrossRef]
- Rahul; Singh, P.K.; Singh, R.; Singh, V.; Bhattacharya, B.; Khan, Z.H. New class of lead-free perovskite material for low-cost solar cell application. Mater. Res. Bull. 2018, 97, 572–577. [Google Scholar] [CrossRef]
- Adewoyin, A.D.; Olopade, M.A.; Oyebola, O.O.; Chendo, M.A. Development of CZTGS/CZTS tandem thin film solar cell using SCAPS-1D. Optik 2019, 176, 132–142. [Google Scholar] [CrossRef]
- Wang, X.; Zhang, T.; Lou, Y.; Zhao, Y. All inorganic lead-free perovskite for optoelectronic applications. Mater. Chem. 2019, 3, 365–375. [Google Scholar] [CrossRef]









| Properties | CuSCN | CdS | FTO |
|---|---|---|---|
| Thickness (µm) | 0.35 | 0.50 | 0.1 |
| Eg (eV) | 3.40 | 2.40 | 3.60 |
| Ea (eV) | 1.90 | 4.18 | 4.0 |
| ℇr | 9.0 | 10.0 | 9.0 |
| ND (1/cm3) | 0 | 1 × 1015 | 2.4 × 1018 |
| NA (1/cm3) | 1 × 1018 | 0 | 1 × 105 |
| µn (cm2/VS) | 2 × 10−4 | 100 | 100 |
| µp (cm2/VS) | 1 × 10−2 | 25 | 25 |
| Properties | Cs2TiI1Br5 | Cs2TiI2Br4 | Cs2TiI3Br3 | Cs2TiI4Br2 | Cs2TiI5Br1 | Cs2TiBr6 | Cs2TiI6 |
|---|---|---|---|---|---|---|---|
| Thickness (µm) | 0.3–4 | 0.3–4 | 0.3–4 | 0.3–4 | 0.3–4 | 0.3–4 | 0.3–4 |
| Band gap, Eg (eV) | 1.58 | 1.38 | 1.26 | 1.15 | 1.07 | 1.78 | 1.65 |
| Electron affinity, Ea (eV) | 3.42 | 3.62 | 3.74 | 3.85 | 3.93 | 4.47 | 4.20 |
| Relative permittivity, ℇr | 10 | 19 | 22 | 25 | 28 | 10 | 18 |
| Donor density, ND (1/cm3) | 1 × 1019 | 2 × 1019 | 1 × 1018 | 5 × 1018 | 5 × 1018 | 1 × 1019 | 9 × 1018 |
| Acceptor density, NA (1/cm3) | 1 × 1019 | 2 × 1019 | 1 × 1018 | 5 × 1018 | 5 × 1018 | 1 × 1019 | 9 × 1018 |
| Electron mobility, µn (cm2/VS) | 4.4 | 5.4 | 5.8 | 7.8 | 7.8 | 4.4 | 8.4 |
| Hole mobility, µp (cm2/VS) | 2.5 | 2.9 | 3.1 | 3.9 | 3.9 | 2.5 | 4.3 |
Disclaimer/Publisher’s Note: The statements, opinions and data contained in all publications are solely those of the individual author(s) and contributor(s) and not of MDPI and/or the editor(s). MDPI and/or the editor(s) disclaim responsibility for any injury to people or property resulting from any ideas, methods, instructions or products referred to in the content. |
© 2023 by the authors. Licensee MDPI, Basel, Switzerland. This article is an open access article distributed under the terms and conditions of the Creative Commons Attribution (CC BY) license (https://creativecommons.org/licenses/by/4.0/).
Share and Cite
Chakraborty, K.; Medikondu, N.R.; Duraisamy, K.; Soliman, N.F.; El-Shafai, W.; Lavadiya, S.; Paul, S.; Das, S. Studies of Performance of Cs2TiI6−XBrX (Where x = 0 to 6)-Based Mixed Halide Perovskite Solar Cell with CdS Electron Transport Layer. Micromachines 2023, 14, 447. https://doi.org/10.3390/mi14020447
Chakraborty K, Medikondu NR, Duraisamy K, Soliman NF, El-Shafai W, Lavadiya S, Paul S, Das S. Studies of Performance of Cs2TiI6−XBrX (Where x = 0 to 6)-Based Mixed Halide Perovskite Solar Cell with CdS Electron Transport Layer. Micromachines. 2023; 14(2):447. https://doi.org/10.3390/mi14020447
Chicago/Turabian StyleChakraborty, Kunal, Nageswara Rao Medikondu, Kumutha Duraisamy, Naglaa F. Soliman, Walid El-Shafai, Sunil Lavadiya, Samrat Paul, and Sudipta Das. 2023. "Studies of Performance of Cs2TiI6−XBrX (Where x = 0 to 6)-Based Mixed Halide Perovskite Solar Cell with CdS Electron Transport Layer" Micromachines 14, no. 2: 447. https://doi.org/10.3390/mi14020447
APA StyleChakraborty, K., Medikondu, N. R., Duraisamy, K., Soliman, N. F., El-Shafai, W., Lavadiya, S., Paul, S., & Das, S. (2023). Studies of Performance of Cs2TiI6−XBrX (Where x = 0 to 6)-Based Mixed Halide Perovskite Solar Cell with CdS Electron Transport Layer. Micromachines, 14(2), 447. https://doi.org/10.3390/mi14020447

