Online Compensation of Phase Delay Error Based on P-F Characteristic for MEMS Vibratory Gyroscopes
Abstract
:1. Introduction
2. Gyroscope Dynamic Model
3. Phase Delay Analysis and Influences
3.1. Digital Control System
3.2. Phase Delay Influences under Double Closed Loop Detection
4. Phase Delay Compensation Methodology
4.1. Quantization of Phase Delay Error
4.2. The Compensation Scheme for Phase Delay
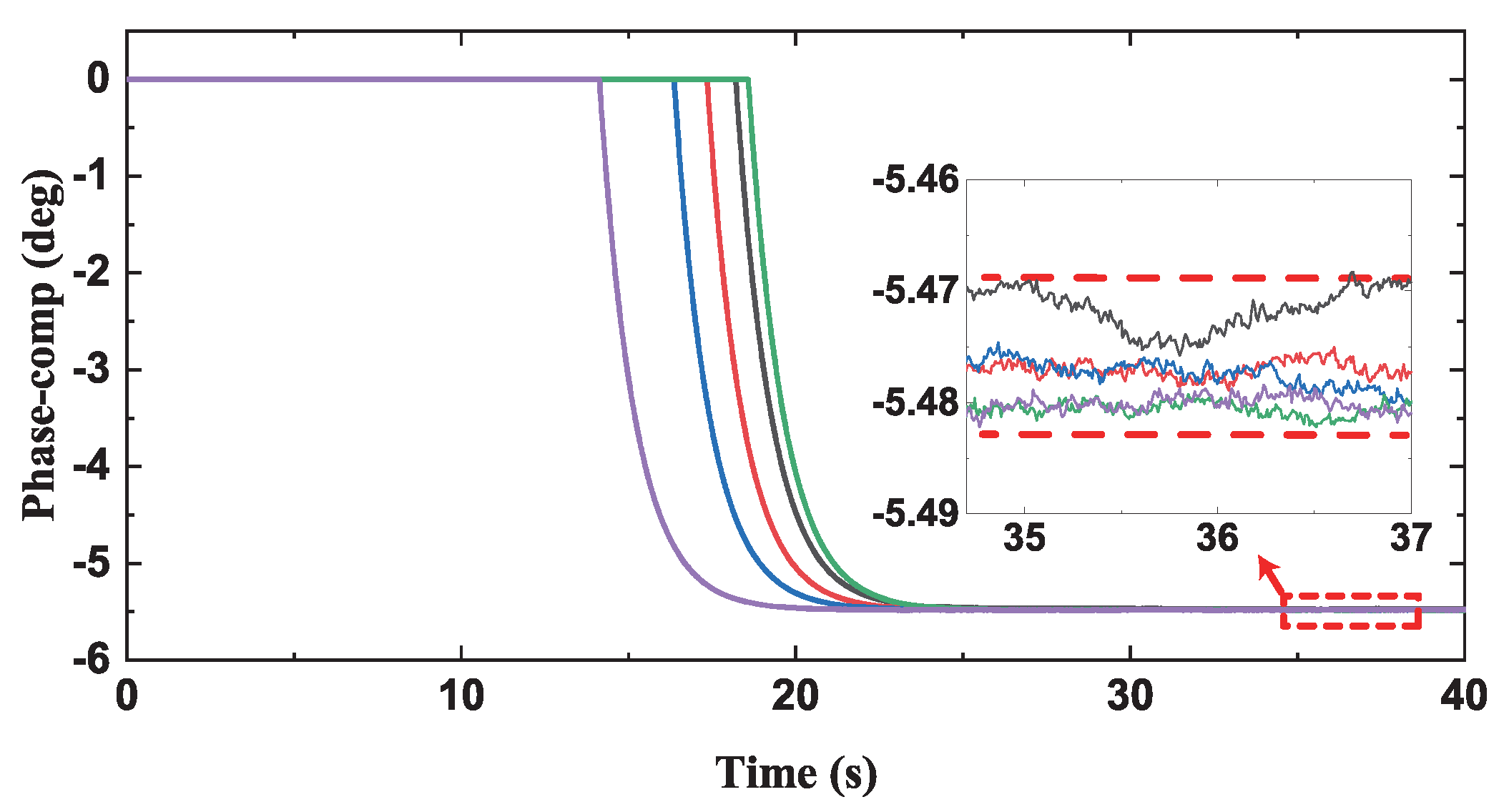
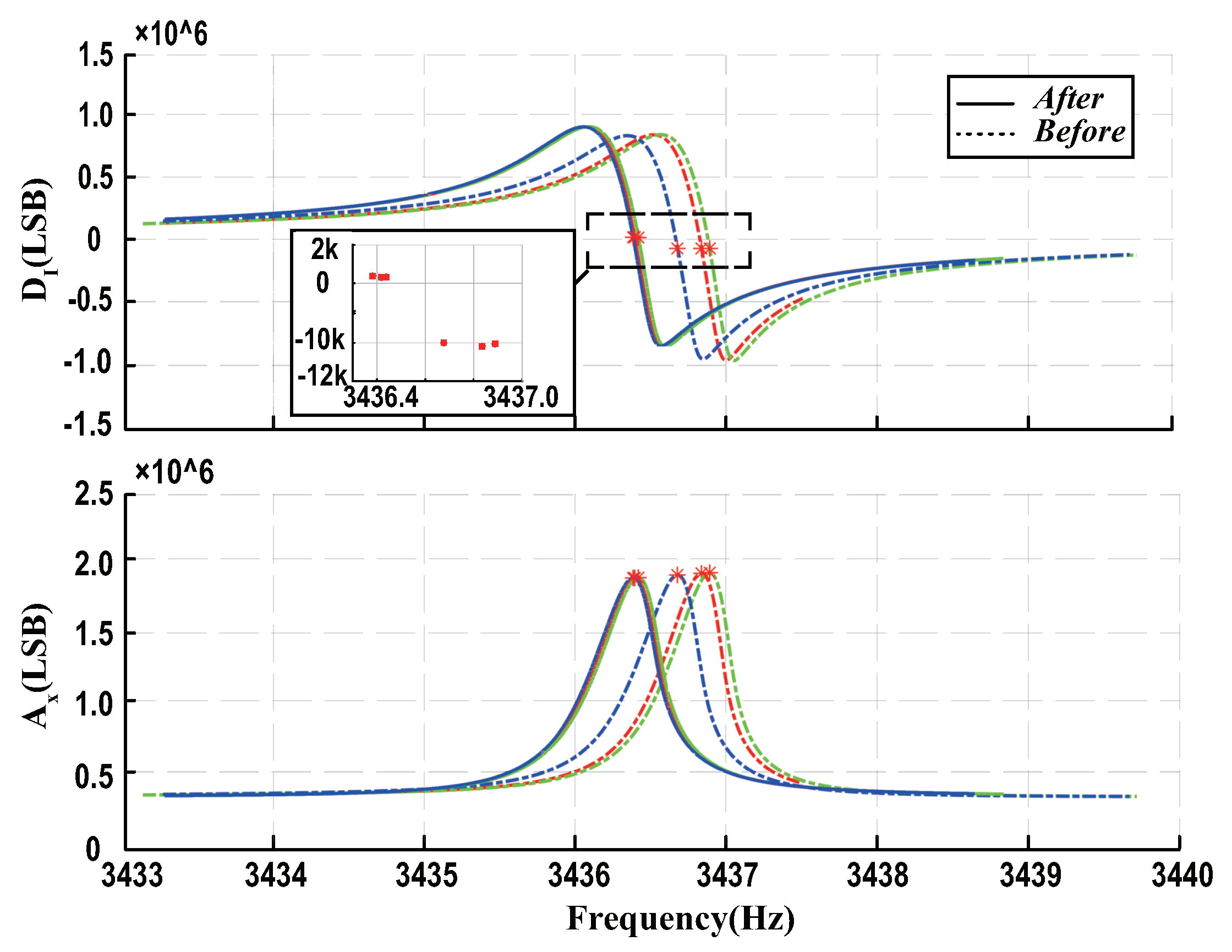
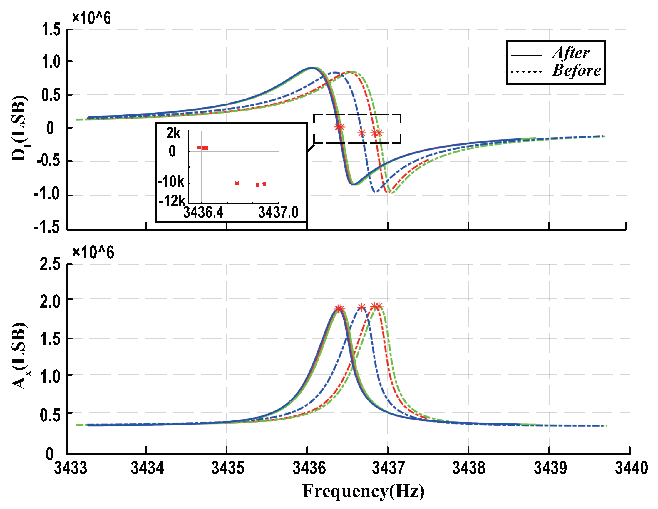
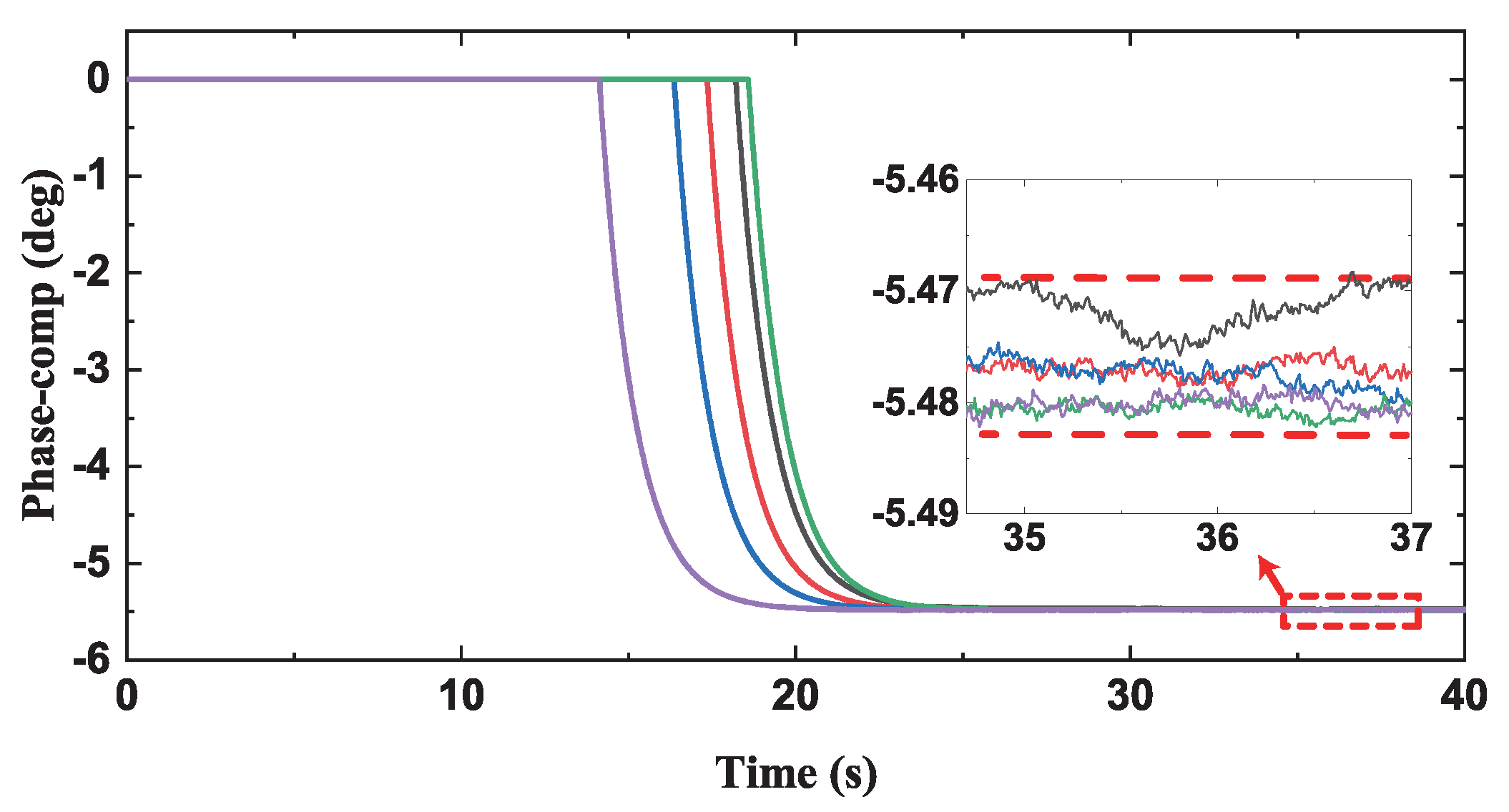
5. Experimental Results and Analysis
5.1. Experimental Setup
5.2. Performance of Online Phase Delay Compensation
6. Conclusions
Author Contributions
Funding
Data Availability Statement
Conflicts of Interest
References
- Langfelder, G.; Bestetti, M.; Gadola, M. Silicon MEMS inertial sensors evolution over a quarter century. J. Micromech. Microeng. 2021, 31, 084002. [Google Scholar] [CrossRef]
- Finkbeiner, S. MEMS for automotive and consumer electronics. In Proceedings of the 2013 European Solid-State Device Research Conference, Bucharest, Romania, 16–20 September 2013. [Google Scholar]
- Zhao, X.R.; Deng, C.F.; Xin, K.; Kong, X.; Xu, J.H.; Liu, Y. Learning to Compensate for the Drift and Error of Gyroscope in Vehicle Localization. In Proceedings of the 2020 IEEE Intelligent Vehicles Symposium (IV), Las Vegas, NE, USA, 19 October–13 November 2020. [Google Scholar]
- Panich, S.; Afzulpurkar, N. Mobile Robot Integrated with Gyroscope by Using IKF. IJARS 2011, 8, 122–136. [Google Scholar] [CrossRef] [Green Version]
- Scalera, G.M.; Ferrarin, M.; Rabuffetti, M. Gait regularity assessed by wearable sensors: Comparison between accelerometer and gyroscope data for different sensor locations and walking speeds in healthy subjects. J. Biomech. 2020, 113, 110115. [Google Scholar] [CrossRef]
- Zhao, W.L.; Cheng, Y.X.; Zhao, S.H.; Hu, X.M.; Rong, Y.J.; Duan, J.; Chen, J.W. Navigation Grade MEMS IMU for A Satellite. Micromachines 2021, 12, 151. [Google Scholar] [CrossRef] [PubMed]
- Yang, C.; Li, H.S. Digital Control System for the MEMS Tuning Fork Gyroscope Based on Synchronous Integral Demodulator. IEEE Sens. J. 2015, 15, 5755–5764. [Google Scholar] [CrossRef]
- Askari, S.; Asadian, M.H.; Shkel, A.M. Performance of Quad Mass Gyroscope in the Angular Rate Mode. Micromachines 2021, 12, 266. [Google Scholar] [CrossRef]
- Ding, X.K.; Li, H.S.; Ni, Y.F.; Sang, P.C. Analysis of Frequency Response and Scale-Factor of Tuning Fork Micro-Gyroscope Operating at Atmospheric Pressure. Sensors 2015, 15, 2453–2472. [Google Scholar] [CrossRef] [PubMed] [Green Version]
- Saukoski, M.; Aaltonen, L.; Halonen, K.A.I. Zero-rate output and quadrature compensation in vibratory MEMS gyroscopes. IEEE Sens. J. 2007, 7, 1639–1652. [Google Scholar] [CrossRef]
- Tatar, E.; Alper, S.E.; Akin, T. Quadrature-Error Compensation and Corresponding Effects on the Performance of Fully Decoupled MEMS Gyroscopes. J. Microelectromech. Syst. 2012, 21, 656–667. [Google Scholar] [CrossRef]
- Hou, Z.Q.; Kuang, Y.B.; Ou, F.L.; Xu, Q.; Miao, T.Q.; Xiao, D.B.; Wu, X.Z. A quadrature compensation method to improve the performance of the butterfly vibratory gyroscope. Sens. Actuators A Phys. 2021, 319, 112527. [Google Scholar] [CrossRef]
- Iyer, S.; Zhou, Y.; Mukherjee, T. Analytical modeling of cross-axis coupling in micromechanical springs. In Proceedings of the 1999 International Conference on Modeling and Simulation of Microsystems, San Juan, PR, USA, 19–21 April 1999. [Google Scholar]
- Saukoski, M.; Aaltonen, L.; Halonen, K.A.I. Effects of Synchronous Demodulation in Vibratory MEMS Gyroscopes: A Theoretical Study. IEEE Sens. J. 2008, 8, 1722–1733. [Google Scholar] [CrossRef]
- Bu, F.; Guo, S.; Cheng, M.; Zheng, F.; Xu, D.; Zhao, H. Effect of circuit phase delay on bias stability of MEMS gyroscope under force rebalance detection and self-compensation method. J. Micromech. Microeng. 2019, 29, 095002. [Google Scholar] [CrossRef]
- Zheng, X.D.; Liu, S.Q.; Lin, Y.Y.; Wu, H.B.; Teng, L.; Jin, Z.H. An Improved Phase-Robust Configuration for Vibration Amplitude-Phase Extraction for Capacitive MEMS Gyroscopes. Micromachines 2018, 9, 362. [Google Scholar] [CrossRef] [PubMed] [Green Version]
- Mohammadi, Z.; Salarieh, H. Investigating the effects of quadrature error in parametrically and harmonically excited MEMS rate gyroscopes. Measurement 2016, 87, 152–175. [Google Scholar] [CrossRef]
- Zhao, X.R.; Deng, C.F.; Xin, K.; Kong, X.; Xu, J.H.; Liu, Y. Thermal drift optimization for silicon microgyroscope. In Proceedings of the 2016 IEEE SENSORS, Orlando, FL, USA, 30 October–3 November 2016. [Google Scholar]
- Gaffuri Pagani, L.; Guerinoni, L.; Falorni, L.; Fedeli, P.; Carulli, P.; Langfelder, G. Direct Phase Measurement and Compensation to Enhance MEMS Gyroscopes ZRO Stability. JMEMS 2021, 30, 703–711. [Google Scholar] [CrossRef]
- Xu, P.F.; Wei, Z.Y.; Guo, Z.Y.; Jia, L.; Han, G.W.; Si, C.W.; Ning, J.; Yang, F.H. A Real-Time Circuit Phase Delay Correction System for MEMS Vibratory Gyroscopes. Micromachines 2021, 12, 506. [Google Scholar] [CrossRef]
- Yin, T.; Lin, Y.S.; Yang, H.G.; Wu, H.M. A Phase Self-Correction Method for Bias Temperature Drift Suppression of MEMS Gyroscopes. J. Circuits Syst. Comput. 2020, 29, 2050198. [Google Scholar] [CrossRef]
- Liu, M.X.; Fan, Q.; Zhao, J.; Su, Y. A Phase Compensation Method for MEMS Quadruple Mass Gyroscope in Zero Bias Drift. IEEE Sens. J. 2021, 21, 3087–3096. [Google Scholar] [CrossRef]
- Wu, H.B.; Zheng, X.D.; Wang, X.T.; Shen, Y.J.; Jin, Z.H. Effects of both the drive- and sense-mode circuit phase delay on MEMS gyroscope performance and real-time suppression of the residual fluctuation phase error. J. Micromech. Microeng. 2021, 31, 055006. [Google Scholar] [CrossRef]
- Jia, J.; Ding, X.K.; Gao, Y.; Li, H.S. Demodulation phase angle compensation for quadrature error in decoupled dual-mass MEMS gyroscope. J. Micro/Nanolith. MEMS MOEMS 2018, 17, 035001. [Google Scholar] [CrossRef]
- Piyabongkarn, D.; Rajamani, R.; Greminger, M. The development of a MEMS gyroscope for absolute angle measurement. IEEE Trans. Control Syst. Technol. 2005, 13, 185–195. [Google Scholar] [CrossRef]
- Raman, J.; Cretu, E.; Rombouts, P.; Weyten, L. A Closed-Loop Digitally Controlled MEMS Gyroscope With Unconstrained Sigma-Delta Force-Feedback. IEEE Sens. J. 2009, 9, 297–305. [Google Scholar] [CrossRef]
- Cui, M.; Huang, Y.; Wang, W.; Cao, H.L. MEMS Gyroscope Temperature Compensation Based on Drive Mode Vibration Characteristic Control. Micromachines 2019, 10, 248. [Google Scholar] [CrossRef] [PubMed] [Green Version]
- Cui, J.; Guo, Z.Y.; Zhao, Q.C.; Yang, Z.C.; Hao, Y.L.; Yan, G.Z. Force Rebalance Controller Synthesis for a Micromachined Vibratory Gyroscope Based on Sensitivity Margin Specifications. J. Microelectromech. Syst. 2011, 20, 1382–1394. [Google Scholar] [CrossRef]
- Zhou, J.; Shen, Q.; Xie, J.B.; Cao, P.P.; Yuan, W.Z. Energy Dissipation Contribution Modeling of Vibratory Behavior for Silicon Micromachined Gyroscope. Shock Vib. 2018, 2018, 6901268. [Google Scholar] [CrossRef]
- Xu, L.; Li, H.S.; Ni, Y.F.; Liu, J.; Huang, L.B. Frequency Tuning of Work Modes in Z-Axis Dual-Mass Silicon Microgyroscope. J. Sens. 2014, 2014, 891735. [Google Scholar] [CrossRef]
- Bülz, D.; Forke, R.; Hiller, K.; Weidlich, S.; Hahn, S.; Shaporin, A.; Wünsch, D.; Konietzka, S.; Motl, T.; Billep, D.; et al. North finding with a single double mass MEMS gyroscope—A performance demonstrator. In Proceedings of the 2021 DGON Inertial Sensors and Systems (ISS), Braunschweig, Germany, 29–30 September 2021. [Google Scholar]


















| Specification | Value | Units |
|---|---|---|
| Drive mode natural frequency | rad/s | |
| Sense mode natural Frequency | rad/s | |
| Quality factor of drive mode | 8129.82 | |
| Quality factor of sense mode | 1262.92 | |
| Mode Mass | kg | |
| Drive mode vibration amplitude | 5.00 |
Publisher’s Note: MDPI stays neutral with regard to jurisdictional claims in published maps and institutional affiliations. |
© 2022 by the authors. Licensee MDPI, Basel, Switzerland. This article is an open access article distributed under the terms and conditions of the Creative Commons Attribution (CC BY) license (https://creativecommons.org/licenses/by/4.0/).
Share and Cite
Liu, X.; Qin, Z.; Li, H. Online Compensation of Phase Delay Error Based on P-F Characteristic for MEMS Vibratory Gyroscopes. Micromachines 2022, 13, 647. https://doi.org/10.3390/mi13050647
Liu X, Qin Z, Li H. Online Compensation of Phase Delay Error Based on P-F Characteristic for MEMS Vibratory Gyroscopes. Micromachines. 2022; 13(5):647. https://doi.org/10.3390/mi13050647
Chicago/Turabian StyleLiu, Xuewen, Zhengcheng Qin, and Hongsheng Li. 2022. "Online Compensation of Phase Delay Error Based on P-F Characteristic for MEMS Vibratory Gyroscopes" Micromachines 13, no. 5: 647. https://doi.org/10.3390/mi13050647
APA StyleLiu, X., Qin, Z., & Li, H. (2022). Online Compensation of Phase Delay Error Based on P-F Characteristic for MEMS Vibratory Gyroscopes. Micromachines, 13(5), 647. https://doi.org/10.3390/mi13050647

