Effect of Pore Shape on Mechanical Properties of Porous Shape Memory Alloy
Abstract
:1. Introduction
2. Theoretical Model of Porous SMA with Different Pore Shapes
2.1. Modulus
2.2. Constitutive Model
3. Numerical Analysis Results
3.1. Young’s Modulus of SMA with Different Pore Shapes and Porosities
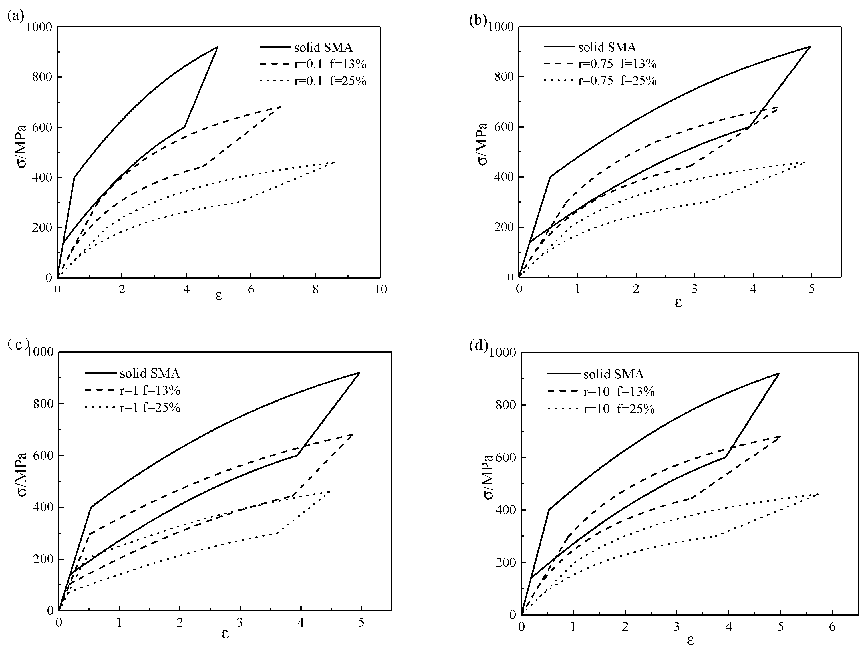
3.2. Stress–Strain Relationship of SMA with Different Pore Shapes and Porosities
4. Conclusions
- The Young’s modulus of porous SMA is related to porosity and pore shape. With the increase in porosity , the Young’s modulus decreased; when was between 0 and 0.1, the influence degree was the largest, and when was between 0.1 and 1, it had little impact on the Young’s modulus. When the pore aspect ratio gradually increased in the range of 0–0.25, the Young’s modulus increased significantly. When exceeded 0.25 and increased gradually, the Young’s modulus first increased slowly and then decreased slowly, reaching the maximum at about .
- The pore shape and porosity had a great influence on the stress–strain relationship of porous SMA, and the pore shape had an irregular influence on the stress–strain relationship. With the increase in porosity, the critical stresses decreased and the area of the hysteretic curve of the stress–strain relationship decreased.
Author Contributions
Funding
Institutional Review Board Statement
Acknowledgments
Conflicts of Interest
References
- Kaya, M.; Çakmak, Ö.; Gülenç, B.; Atlı, K.C. Thermomechanical cyclic stability of porous NiTi shape memory alloy. Mater. Res. Bull. 2017, 95, 243–247. [Google Scholar] [CrossRef]
- Xu, J.L.; Jin, X.F.; Luo, J.M.; Zhong, Z.C. Fabrication and properties of porous NiTi alloys by microwave sintering for biomedical applications. Mater. Lett. 2014, 124, 110–112. [Google Scholar] [CrossRef]
- Li, S.; Kim, Y.; Choi, M.; Nam, T. Highly porous Ni-free Ti-based scaffolds with large recoverable strain for biomedical applications. Intermetallics 2020, 116, 106657. [Google Scholar] [CrossRef]
- Abidi, I.H.; Khalid, F.A.; Farooq, M.U.; Hussain, M.A.; Maqbool, A. Tailoring the pore morphology of porous nitinol with suitable mechanical properties for biomedical applications. Mater. Lett. 2015, 154, 17–20. [Google Scholar] [CrossRef]
- Farber, E.; Zhu, J.N.; Popovich, A.; Popovich, V. A review of NiTi shape memory alloy as a smart material produced by additive manufacturing. Mater. Today Proc. 2019, 30, 761–767. [Google Scholar] [CrossRef]
- Liu, S.; Liu, J.; Wang, L.; Ma, R.L.W.; Zhong, Y.; Lu, W.; Zhang, L.C. Superelastic behavior of in-situ eutectic-reaction manufactured high strength 3D porous NiTi-Nb scaffold. Scr. Mater. 2020, 181, 121–126. [Google Scholar] [CrossRef]
- Zhao, M.; Qing, H.; Wang, Y.; Liang, J.; Zhao, M.; Geng, Y.; Liang, J.; Lu, B. Superelastic behaviors of additively manufactured porous NiTi shape memory alloys designed with Menger sponge-like fractal structures. Mater. Des. 2021, 200, 109448. [Google Scholar] [CrossRef]
- Peng, W.; Liu, K.; Shah, B.A.; Yuan, B.; Gao, Y.; Zhu, M. Enhanced internal friction and specific strength of porous TiNi shape memory alloy composite by the synergistic effect of pore and Ti2Ni. J. Alloys Compd. 2020, 816, 152578. [Google Scholar] [CrossRef]
- Khalifehzadeh, R.; Forouzan, S.; Arami, H.; Sadrnezhaad, S.K. Prediction of the effect of vacuum sintering conditions on porosity and hardness of porous NiTi shape memory alloy using ANFIS. Comput. Mater. Sci. 2007, 40, 359–365. [Google Scholar] [CrossRef]
- Xu, J.L.; Bao, L.Z.; Liu, A.H.; Jin, X.F.; Luo, J.M.; Zhong, Z.C.; Zheng, Y.F. Effect of pore sizes on the microstructure and properties of the biomedical porous NiTi alloys prepared by microwave sintering. J. Alloys Compd. 2015, 645, 137–142. [Google Scholar] [CrossRef]
- Zhao, M.; Shao, Y.; Zheng, W.; Luo, Y.; Qiao, J.; Wu, S.; Yan, Y.; Guo, W. Tailoring the damping and mechanical properties of porous NiTi by a phase leaching process. J. Alloys Compd. 2021, 855, 157471. [Google Scholar] [CrossRef]
- Zhang, L.; Zhang, Y.Q.; Jiang, Y.H.; Zhou, R. Mechanical behaviors of porous Ti with high porosity and large pore size prepared by one-step spark plasma sintering technique. Vacuum 2015, 122, 187–194. [Google Scholar] [CrossRef]
- Gur, S.; Frantziskonis, G.N.; Muralidharan, K. Atomistic simulation of shape memory effect (SME) and superelasticity (SE) in nano-porous NiTi shape memory alloy (SMA). Comput. Mater. Sci. 2018, 152, 28–37. [Google Scholar] [CrossRef]
- Kim, Y. Martensitic transformation behavior and mechanical properties of highly porous Ti-Ni-Mo scaffolds. J. Alloys Compd. 2020, 821, 153220. [Google Scholar] [CrossRef]
- Galimzyanov, B.N.; Mokshin, A.V. Mechanical response of mesoporous amorphous NiTi alloy to external deformations. Int. J. Solids Struct. 2021, 224, 111047. [Google Scholar] [CrossRef]
- Zhao, Y.; Taya, M.; Kang, Y.; Kawasaki, A. Compression behavior of porous NiTi shape memory alloy. Acta Mater. 2005, 53, 337–343. [Google Scholar] [CrossRef]
- Zhao, Y.; Taya, M. Analytical modeling for stress-strain curve of a porous NiTi. J. Appl. Mech. Trans. ASME 2007, 74, 291–297. [Google Scholar] [CrossRef] [Green Version]
- Zhu, Y.; Dui, G. A model considering hydrostatic stress of porous NiTi shape memory alloy. Acta Mech. Solida Sin. 2011, 24, 289–298. [Google Scholar] [CrossRef]
- Olsen, J.S.; Zhang, Z.L. Effect of spherical micro-voids in shape memory alloys subjected to uniaxial loading. Int. J. Solids Struct. 2021, 49, 1947–1960. [Google Scholar] [CrossRef] [Green Version]
- Zheng, J.; Chen, L.; Chen, D.; Shao, C.; Yi, M.; Zhang, B. Effects of pore size and porosity of surface-modified porous titanium implants on bone tissue ingrowth. Trans. Nonferrous Met. Soc. China 2019, 29, 2534–2545. [Google Scholar] [CrossRef]
- Qiu, Y.P.; Weng, G.J. A theory of plasticity for porous materials and particle-reinforced composites. J. Appl. Mech. Trans. ASME 1992, 59, 261–268. [Google Scholar] [CrossRef]
- Takao, Y.; Taya, M.; Chou, T.W. Effects of fiber-end cracks on the stiffness of aligned short-fiber composites. Int. J. Solids Struct. 1982, 18, 723–728. [Google Scholar] [CrossRef]
- Lagoudas, D.C.; Bo, Z.; Qidwai, M.A. A unified thermodynamic constitutive model for sm a and finite element analysis of active metal matrix composites. Mech. Compos. Mater. Struct. 1996, 3, 153–179. [Google Scholar] [CrossRef]







| H | |||||||
|---|---|---|---|---|---|---|---|
| 31 | 75 | 400 | 600 | 920 | 140 | 0.02 | 0.3 |
Publisher’s Note: MDPI stays neutral with regard to jurisdictional claims in published maps and institutional affiliations. |
© 2022 by the authors. Licensee MDPI, Basel, Switzerland. This article is an open access article distributed under the terms and conditions of the Creative Commons Attribution (CC BY) license (https://creativecommons.org/licenses/by/4.0/).
Share and Cite
Liu, B.; Pan, Y. Effect of Pore Shape on Mechanical Properties of Porous Shape Memory Alloy. Micromachines 2022, 13, 566. https://doi.org/10.3390/mi13040566
Liu B, Pan Y. Effect of Pore Shape on Mechanical Properties of Porous Shape Memory Alloy. Micromachines. 2022; 13(4):566. https://doi.org/10.3390/mi13040566
Chicago/Turabian StyleLiu, Bingfei, and Yaxuan Pan. 2022. "Effect of Pore Shape on Mechanical Properties of Porous Shape Memory Alloy" Micromachines 13, no. 4: 566. https://doi.org/10.3390/mi13040566
APA StyleLiu, B., & Pan, Y. (2022). Effect of Pore Shape on Mechanical Properties of Porous Shape Memory Alloy. Micromachines, 13(4), 566. https://doi.org/10.3390/mi13040566
