Acousto-Plasmonic Sensing Assisted by Nonlinear Optical Interactions in Bimetallic Au-Pt Nanoparticles
Abstract
:1. Introduction
2. Materials and Methods
2.1. Synthesis of Bimetallic NPs
2.2. Acousto-Plasmonic Sensing
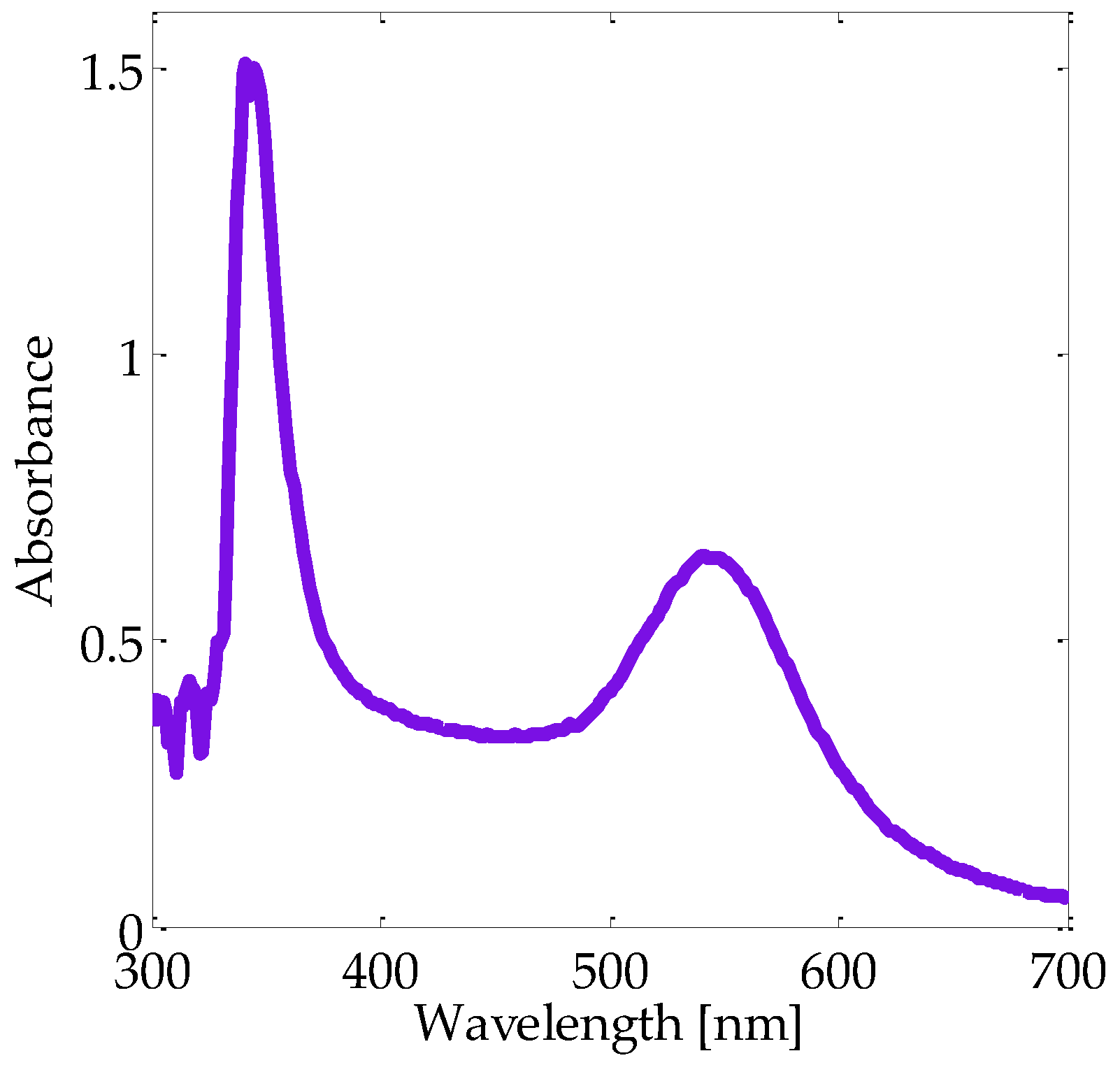
3. Results and Discussion
4. Conclusions
Acknowledgments
Author Contributions
Conflicts of Interest
References
- Sharma, G.; Kumar, D.; Kumar, A.; Al-Muhtaseb, A.H.; Pathania, D.; Naushad, M.; Mola, G.T. Revolution from monometallic to trimetallic nanoparticle composites, various synthesis methods and their applications: A review. Mater. Sci. Eng. C 2017, 71, 1216–1230. [Google Scholar] [CrossRef] [PubMed]
- Bornacelli, J.; Torres-Torres, C.; Silva-Pereyra, H.G.; Rodríguez-Fernández, L.; Avalos-Borja, M.; Cheang-Wong, J.C.; Oliver, A. Nanoscale influence on photolumiescence and third order nonlinear susceptibility exhibited by ion-implanted Pt nanoparticles in silica. Methods Appl. Fluoresc. 2017, 5, 025001. [Google Scholar] [CrossRef] [PubMed]
- Sánchez-Ramírez, J.F.; Pal, U. Optical absorption of colloidal dispersion of bimetallic nanoparticles Au/Pd. Superf. Vacío 2001, 13, 114–116. [Google Scholar]
- European Commission. Nanotechnologies: Principles, Applications, Implications and Hands-On Activities, 1st ed.; Publications Office of the European Union: Luxemburg, 2013; pp. 91–93. ISBN 978-9-27-921437-0. [Google Scholar]
- Ahmadi, T.S.; Wang, Z.L.; Green, T.C.; Henglein, A.; El-Sayed, M.A. Shape-controlled synthesis of colloidal platinum nanoparticles. Science 1996, 272, 1924–1925. [Google Scholar] [CrossRef] [PubMed]
- Karkare, M.M. Choice of precursor not affecting the size of anatase TiO2 nanoparticles but affecting morphology under broader view. Int. Nano Lett. 2014, 4, 111. [Google Scholar] [CrossRef]
- Tarasenko, N.V.; Butsen, A.V.; Nevar, E.A.; Savastenko, N.A. Synthesis of nanosized particles during laser ablation of gold in water. Appl. Surf. Sci. 2006, 252, 4439–4444. [Google Scholar] [CrossRef]
- Kelly, K.L.; Coronado, E.; Zhao, L.L.; Schatz, G.C. The optical properties of metal nanoparticles: The influence of size, shape, and dielectric environment. J. Phys. Chem. B 2003, 107, 668–677. [Google Scholar] [CrossRef]
- Gao, H.; Xiang, W.; Ma, X.; Ma, L.; Huang, Y.; Ni, H.; Liang, X. Sol-gel synthesis and third-order optical nonlinearity of Au nanoparticles doped monolithic glass. Gold Bull. 2015, 48, 153–159. [Google Scholar] [CrossRef]
- Lu, F.; Doane, T.L.; Zhu, J.J.; Burda, C. Gold nanoparticles for diagnostic sensing and therapy. Inorg. Chim. Acta 2012, 393, 142–153. [Google Scholar] [CrossRef]
- Huang, X.; El-Sayed, M.A. Gold nanoparticles: Optical properties and implementations in cancer diagnosis and photothermal therapy. J. Adv. Res. 2010, 1, 13–28. [Google Scholar] [CrossRef]
- Sun, X.; Wan, J.; Qian, K. Designed microdevices for In vitro diagnostics. Small Methods 2017, 1, 1700196. [Google Scholar] [CrossRef]
- Her, S.; Jaffray, D.A.; Allen, C. Gold nanoparticles for applications in cancer radiotherapy: Mechanisms and recent advancements. Adv. Drug Deliv. Rev. 2017, 109, 84–101. [Google Scholar] [CrossRef] [PubMed]
- Morales-Bonilla, S.; Torres-Torres, C.; Trejo-Valdez, M.; Torres-Torres, D.; Urriolagoitia-Calderón, G. Mechano-optical transmittance and third order nonlinear optical properties exhibited by Au nanoparticles. Opt. Int. J. Light Electron Opt. 2015, 126, 4093–4097. [Google Scholar] [CrossRef]
- Gao, Y.; Zhang, X.; Li, Y.; Liu, H.; Wang, Y.; Chang, Q.; Song, Y. Saturable absorption and reverse saturable absorption in platinum nanoparticles. Opt. Commun. 2005, 251, 429–433. [Google Scholar] [CrossRef]
- Pedone, D.; Moglianetti, M.; De Luca, E.; Bardi, G.; Pompa, P.P. Platinum nanoparticles in nanobiomedicine. Chem. Soc. Rev. 2017, 46, 4951–4975. [Google Scholar] [CrossRef] [PubMed]
- Leber, M.; Bhandari, R.; Mize, J.; Warren, D.J.; Shandhi, M.M.H.; Solzbacher, F.; Negi, S. Long term performance of porous platinum coated neural electrodes. Biomed. Microdevices 2017, 19, 62. [Google Scholar] [CrossRef] [PubMed]
- Islam, M.A.; Bhuiya, M.A.K.; Islam, M.S. A review on chemical synthesis process of platinum nanoparticles. Asia Pac. J. Energy Environ. 2014, 1, 107–120. [Google Scholar] [CrossRef]
- Stepanov, A.L.; Golubev, A.N.; Nikitin, S.I.; Osin, Y.N. A review on the fabrication and properties of platinum nanoparticles. Rev. Adv. Mater. Sci. 2014, 38, 160–175. [Google Scholar]
- Blosi, M.; Ortelli, S.; Costa, A.L.; Dondi, M.; Lolli, A.; Andreoli, S.; Benito, P.; Albonetti, S. Bimetallic nanoparticles as efficient catalysts: Facile and green microwave synthesis. Materials 2016, 9, 550. [Google Scholar] [CrossRef] [PubMed]
- Rai, A.; Singh, A.; Ahmad, A.; Sastry, M. Role of halide ions and temperature on the morphology of biologically synthesized gold nanotriangles. Langmuir 2006, 22, 736–741. [Google Scholar] [CrossRef] [PubMed]
- Zaleska-Medynska, A.; Marchelek, M.; Diak, M.; Grabowska, E. Noble metal-based bimetallic nanoparticles: The effect of the structure on the optical, catalytic and photocatalytic properties. Adv. Colloid Interface Sci. 2016, 229, 80–107. [Google Scholar] [CrossRef] [PubMed]
- Wanjala, B.N.; Luo, J.; Fang, B.; Mott, D.; Zhong, C. Gold platinum nanoparticles: Alloying and phase segregation. J. Mater. Chem. 2011, 21, 4012–4020. [Google Scholar] [CrossRef]
- Lang, H.; Maldonado, S.; Stevenson, K.J.; Chandler, B.D. Synthesis and characterization of dendrimer templated supported bimetallic Pt-Au nanoparticles. J. Am. Chem. Soc. 2004, 126, 12949–12956. [Google Scholar] [CrossRef] [PubMed]
- Cheeke, J.; David, N. Fundamentals and Applications of Ultrasonic Waves, 2nd ed.; CRC Press: Boca Raton, FL, USA, 2012; p. 11. ISBN 978-1-13-807720-1. [Google Scholar]
- Navarro, A.; Pava-Chipol, J.; Martínez-González, C.L.; Trejo-Valdez, M.; Hernández-Gómez, L.H.; Torres-Torres, C. Acoustically-controlled optical Kerr effect signals in bimetallic Au-Pt nanoparticles embedded in a TiO2 thin film. Opt. Int. J. Light Electron Opt. 2017, 130, 24–31. [Google Scholar] [CrossRef]
- Utegulov, Z.N.; Shaw, J.M.; Draine, B.T.; Kim, S.A.; Johnson, W.L. Surface-plasmon enhancement of Brillouin light scattering from gold-nanodisk arrays on glass. Int. Soc. Opt. Photonics 2007, 6641, 66411M-1–66411M-10. [Google Scholar]
- Lebedev-Stepanov, P.V.; Rybak, S.A. Sound absorption by a solution of nanoparticles. Acoust. Phys. 2009, 55, 329–333. [Google Scholar] [CrossRef]
- Mirdamadi-Esfahani, M.; Mostafavi, M.; Keita, B.; Nadjo, L.; Kooyman, P.; Remita, H. Bimetallic Au-Pt nanoparticles synthesized by radiolysis: Application in electro-catalysis. Gold Bull. 2010, 43, 49–56. [Google Scholar] [CrossRef]
- Ritzhaupt-Kleissl, E.; Boehm, J.; Hausselt, J.; Hanemann, T. Thermoplastic polymer nanocomposites for applications in optical devices. Mater. Sci. Eng. C 2006, 26, 1067–1071. [Google Scholar] [CrossRef]
- Cardinal, M.F.; Mongin, D.; Crut, A.; Maioli, P.; Rodríguez-González, B.; Pérez-Juste, J.; Liz-Marzán, L.M.; Del Fatti, N.; Valleé, F. Acoustic vibrations in bimetallic Au@Pd core—Shell nanorods. J. Phys. Chem. Lett. 2012, 3, 613–619. [Google Scholar] [CrossRef] [PubMed]
- Chen, M.; Cai, F.; Wang, C.; Wang, Z.; Meng, L.; Li, F.; Zhang, P.; Liu, X.; Zheng, H. Observation of metal nanoparticles for acoustic manipulation. Adv. Sci. 2017, 4, 1600447. [Google Scholar] [CrossRef] [PubMed]
- Crut, A.; Maioli, P.; del Fatti, N.; Vallée, F. Time-domain investigation of the acoustic vibrations of metal nanoparticles: Size and encapsulation effects. Ultrasonics 2015, 56, 98–108. [Google Scholar] [CrossRef] [PubMed]
- Major, T.A.; Lo, S.S.; Yu, K.; Hartland, G.V. Time-resolved studies of the acoustic vibrational modes of metal and semiconductor nano-objects. J. Phys. Chem. Lett. 2014, 5, 866–874. [Google Scholar] [CrossRef] [PubMed]
- Fernández-Valdés, D.; Torres-Torres, C.; Martínez-González, C.L.; Trejo-Valdez, M.; Hernández-Gómez, L.H.; Torres-Martínez, R. Gyroscopic behavior exhibited by the optical Kerr effect in bimetallic Au-Pt nanoparticles suspended in ethanol. J. Nanopart. Res. 2016, 17, 204. [Google Scholar] [CrossRef]
- Boyd, R.W. Nonlinear Optics, 3rd ed.; Academic Press: Madrid, Spain, 2008; pp. 1–2. [Google Scholar]
- Yadav, R.R.; Mishra, G.; Yadawa, P.K.; Kor, S.K.; Gupta, A.K.; Raj, B.; Jayakumar, T. Ultrasonic properties of nanoparticles-liquid suspensions. Ultrasonics 2008, 48, 591–593. [Google Scholar] [CrossRef] [PubMed]
- Ayub, M.; Zander, A.C.; Howard, C.Q.; Cazzolato, B.S. A review of acoustic absorption mechanisms of nanoscopic fibres. Proc. Acoust. 2011, 2011, 2–4. [Google Scholar]






© 2017 by the authors. Licensee MDPI, Basel, Switzerland. This article is an open access article distributed under the terms and conditions of the Creative Commons Attribution (CC BY) license (http://creativecommons.org/licenses/by/4.0/).
Share and Cite
Hurtado-Aviles, E.A.; Torres, J.A.; Trejo-Valdez, M.; Urriolagoitia-Sosa, G.; Villalpando, I.; Torres-Torres, C. Acousto-Plasmonic Sensing Assisted by Nonlinear Optical Interactions in Bimetallic Au-Pt Nanoparticles. Micromachines 2017, 8, 321. https://doi.org/10.3390/mi8110321
Hurtado-Aviles EA, Torres JA, Trejo-Valdez M, Urriolagoitia-Sosa G, Villalpando I, Torres-Torres C. Acousto-Plasmonic Sensing Assisted by Nonlinear Optical Interactions in Bimetallic Au-Pt Nanoparticles. Micromachines. 2017; 8(11):321. https://doi.org/10.3390/mi8110321
Chicago/Turabian StyleHurtado-Aviles, Eric Abraham, Jesús Alejandro Torres, Martín Trejo-Valdez, Guillermo Urriolagoitia-Sosa, Isaela Villalpando, and Carlos Torres-Torres. 2017. "Acousto-Plasmonic Sensing Assisted by Nonlinear Optical Interactions in Bimetallic Au-Pt Nanoparticles" Micromachines 8, no. 11: 321. https://doi.org/10.3390/mi8110321
APA StyleHurtado-Aviles, E. A., Torres, J. A., Trejo-Valdez, M., Urriolagoitia-Sosa, G., Villalpando, I., & Torres-Torres, C. (2017). Acousto-Plasmonic Sensing Assisted by Nonlinear Optical Interactions in Bimetallic Au-Pt Nanoparticles. Micromachines, 8(11), 321. https://doi.org/10.3390/mi8110321

