A Negative Capacitance Field-Effect Transistor with High Rectification Efficiency for Weak-Energy 2.45 GHz Microwave Wireless Transmission
Abstract
1. Introduction
2. Si-Based NCFET Design
2.1. Basic Working Principle of NCFET
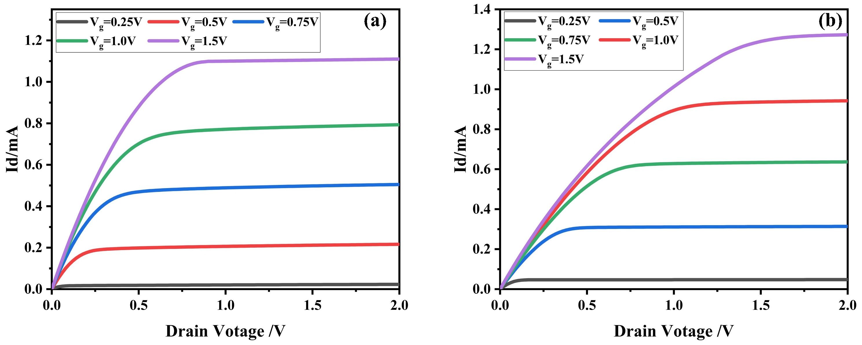
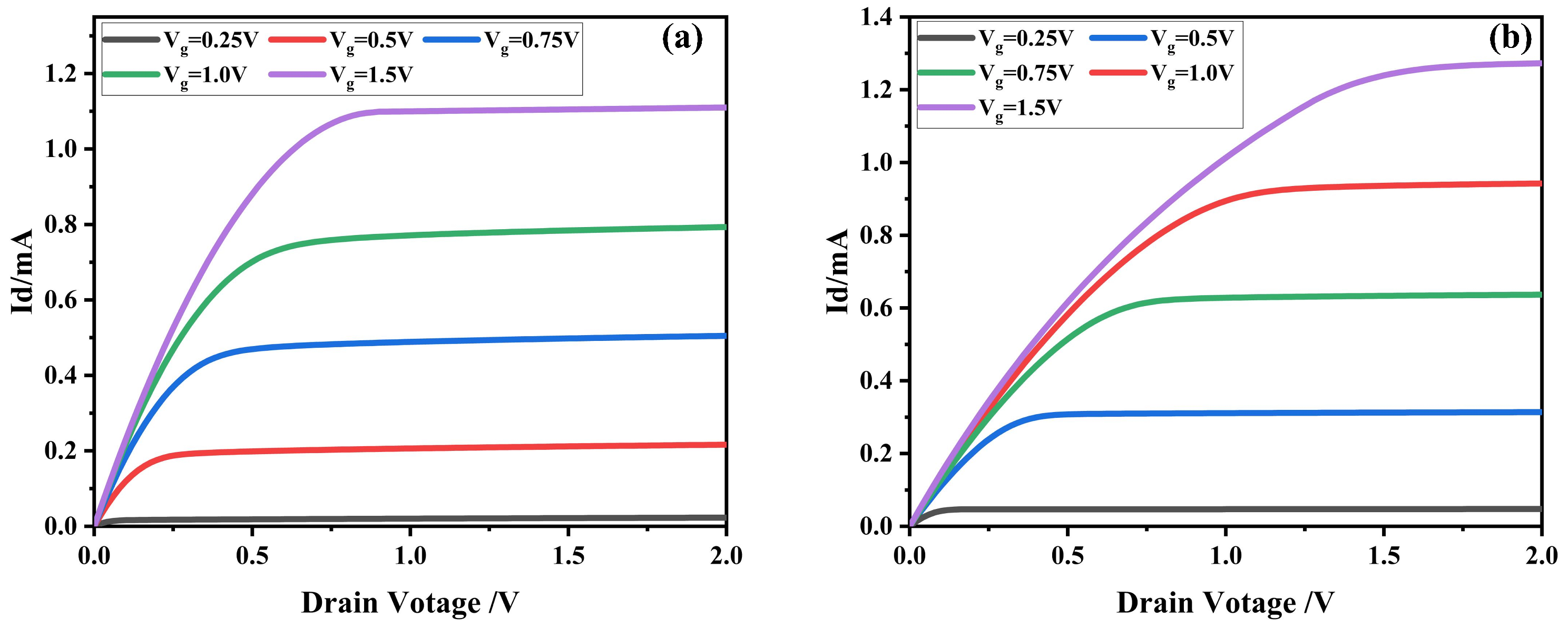
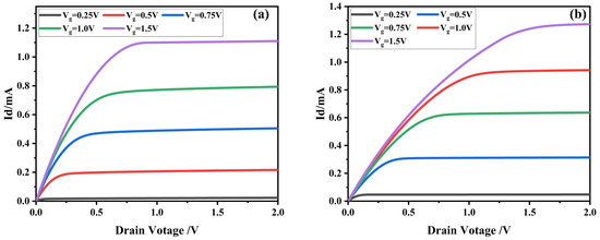
2.2. Simulation of Device Structure Design and Parameter Optimization
3. Rectifier Circuit Design and Simulation
3.1. Rectifier Circuit Construction and Design of New Diode Connection Method
3.2. Transient Simulation and Rectification Efficiency Analysis
| Reference | Technique | Rectifier Topology | Frequency (GHz) | Rectification Efficiency (% at Load @ Input Energy Density) |
|---|---|---|---|---|
| This work | 200 nm NMOS | 1-stage half-wave | 2.45 | 16.1% for 20 K @−10 dBm |
| [29] | 90 nm CMOS | 4-stage Dickson | 2.45 | 1% for 1 M @−8.06 dBm |
| [30] | 300 nm CMOS | 3-stage Dickson | 0.95 | 1.5% for 200 K @−14 dBm |
| [31] | 180 nm CMOS | 5-stage on-chip inductor | 0.9 | 14.46% for 200 K @−9 dBm |
| [32] | 350 nm CMOS | 1-stage full-wave | 0.95 | 15.4% for 1 M @−9 dBm |
| [33] | 65 nm CMOS | 3-stage Dickson | 52 | 13% for 10 M @−10 dBm |
| [34] | 180 nm CMOS | 5-stage Dickson | 2.63 | 7% for 500 K @−15.4 dBm |
4. Conclusions
Author Contributions
Funding
Data Availability Statement
Conflicts of Interest
Correction Statement
References
- Xu, X.; Zhu, P.; Jin, Z.P.; Zhang, H. An Efficient and Secure Mutual Authentication with Key Agreement Protocol for Automobile Roaming System. In Proceedings of the 2nd International Conference on Computer Science and Electronics Engineering, Hangzhou, China, 22–23 March 2013; pp. 602–605. [Google Scholar]
- Karakaya, M. Deadline-Aware Energy-Efficient Query Scheduling in Wireless Sensor Networks with Mobile Sink. Sci. World J. 2013, 1, 834653. [Google Scholar] [CrossRef] [PubMed]
- Zhang, Z.; Pang, H. Georgiadis, A. Wireless power transfer—An overview. IEEE Trans. Ind. Electron. 2018, 5, 1044–1058. [Google Scholar]
- Noble, F.K.; Alam, F.; Potgieter, J.; Xu, W.L. Energy harvesting and current state of the technology with application to traffic monitoring. Int. J. Comput. Appl. Technol. 2010, 8, 166–175. [Google Scholar] [CrossRef]
- Valenta, C.R.; Durgin, G.D. Harvesting wireless power: Survey of energy-harvester conversion efficiency in far-field, wireless power transfer systems. IEEE Microw. Mag. 2014, 6, 108–120. [Google Scholar]
- Haerinia, M.; Shadid, R. Wireless Power Transfer Approaches for Medical Implants: A Review. Signals 2020, 1, 209–229. [Google Scholar] [CrossRef]
- Dan, Z.Y.; He, Z.Q.; Liu, C.J. A Patch Rectenna With an Integrated Impedance Matching Network and a Harmonic Recycling Filter. IEEE Antennas Wirel. Propag. Lett. 2022, 7, 2085. [Google Scholar] [CrossRef]
- Rotenberg, S.A.; Podilchak, S.K.; Re, P.D.H.; Mateo-Segura, C.; Goussetis, G.; Lee, J. Efficient Rectifier for Wireless Power Transmission Systems. IEEE Trans. Microw. Theory Tech. 2020, 5, 1921–1932. [Google Scholar] [CrossRef]
- Erkmen, F.; Almoneef, T.S.; Ramahi, O.M. Scalable Electromagnetic Energy Harvesting Using Frequency-Selective Surfaces. IEEE Trans. Microw. Theory Tech. 2018, 5, 2433–2441. [Google Scholar] [CrossRef]
- Yu, S.; Cheng, F.; Gu, C.; Wang, C.; Huang, K. Compact and Efficient Broadband Rectifier Using T-type Matching Network. IEEE Microw. Wirel. Compon. Lett. 2022, 6, 587–590. [Google Scholar] [CrossRef]
- Xiao, H.; Zhang, H.; Song, W.; Wang, J.; Chen, W.; Lu, M. A High-Input Power Rectifier Circuit for 2.45-GHz Microwave Wireless Power Transmission. IEEE Trans. Ind. Electron. 2022, 3, 2896–2903. [Google Scholar] [CrossRef]
- Ashoor, A.Z.; Ramahi, O.M. Polarization-independent cross-dipole energy harvesting surface. IEEE Trans. Microw. Theory Tech. 2019, 3, 1130–1137. [Google Scholar] [CrossRef]
- Joseph, S.D.; Hsu, S.S.H.; Alieldin, A.; Song, C.; Liu, Y.; Huang, Y. High-Power Wire Bonded GaN Rectifier for Wireless Power Transmission. IEEE Access 2020, 8, 82035–82041. [Google Scholar] [CrossRef]
- Zhai, X.; Song, J.; Chen, H.; Dai, X.; Zhao, T. High Electron Mobility Ge1-xSnx(x > 10%) Folding Space Charge Zone Schottky Diode for Microwave Wireless Power Transfer. IEEE Access 2019, 7, 127438–127452. [Google Scholar] [CrossRef]
- Chek, L.W.; Mekhilef, S.; Ramiah, H. High-Efficiency Long-Distance Wireless Power Transfer Using BaO and GaN Magnetron’s Cathode. IEEE Trans. Ind. Appl. 2022, 7, 4838–4847. [Google Scholar] [CrossRef]
- Wang, C.; Yang, B.; Shinohara, N. Study and Design of a 2.45-GHz Rectifier Achieving 91% Efficiency at 5-W Input Power. IEEE Microw. Wirel. Compon. Lett. 2021, 1, 76–79. [Google Scholar] [CrossRef]
- Zhang, D.; Song, J.J.; Xue, X.H.; Zhang, S.Q. A high rectification efficiency Si0.14Ge0.72Sn0.14-Ge0.82Sn0.18-Ge quantum structure n-MOSFET for 2.45 GHz weak energy microwave wireless energy transmission. Chin. Phys. B 2022, 3, 068401. [Google Scholar] [CrossRef]
- Chen, J.D.; Han, W.H.; Zhao, X.S. Advances in ferroelectric negative capacitance field effect transistor research. Acta Phys. Sin 2020, 3, 224–252. [Google Scholar]
- Ravi, G.; Sharma, A.; Chahuan, Y.S. Analysis and modeling of current mismatch in negative capacitance field-effect transistor. IEEE Trans. Electron Devices 2022, 9, 5337–5344. [Google Scholar]
- Zhang, W.; Bhattacharya, K. A computational model of ferroelectric domains. Part I: Model formulation and domain switching. Acta Mater. 2005, 10, 185–198. [Google Scholar] [CrossRef]
- Sayeef, S.; Datta, S. Use of negative capacitance to provide voltage amplification for low power nanoscale devices. Nano Lett. 2008, 12, 405–410. [Google Scholar]
- Li, Z.; Zai, Y.H. Study of ferroelectric negative capacitance field effect transistor devices. Piezoelectricity—Acousto-Opt. 2019, 12, 782–785. [Google Scholar]
- Yeung, C.W.; Khan, A. Device design considerations for ultra-thin body non-hysteretic negative capacitance FETs. In Proceedings of the 2013 Third Berkeley Symposium on Energy Efficient Electronic Systems (E3S), Berkeley, CA, USA, 28–29 October 2013; pp. 1–2. [Google Scholar]
- Muller, J.; Boscke, T.S.; Schroder, U. Ferroelectricity in simple binary ZrO2 and HfO2. Nano Lett. 2012, 7, 4318–4323. [Google Scholar] [CrossRef]
- Roy, S.; Chakrabarty, P.; Paily, R. Assessing RF/AC performance and linearity analysis of NCFET in CMOS-compatible thin-body FDSOI. IEEE Trans. Electron Devices 2021, 2, 475–481. [Google Scholar] [CrossRef]
- Liu, Z.; Li, P.G.; Zhi, Y.S. Review of gallium oxide based field-effect transistors and Schottky barrier diodes. Chin. Phys. B 2019, 10, 017105. [Google Scholar] [CrossRef]
- Gyawali, B.; Thapa, S.K.; Barakat, A. Analysis and design of diode physical limit bandwidth efficient rectification circuit for maximum flat efficiency, wide impedance, and efficiency bandwidths. Sci. Rep. 2021, 10, 19941. [Google Scholar] [CrossRef] [PubMed]
- Maeda, S.; Hirano, Y.; Yamaguchi, Y. Substrate-bias Effect and Source-drain Breakdown Characteristics in Body-tied Short-channel SOI MOSFET’s. IEEE Trans. Electron Devices 1999, 1, 151–158. [Google Scholar] [CrossRef]
- Giannakas, G.; Plessas, F.; Stamoulis, G. Pseudo-FG technique for efficient energy harvesting. Electron. Lett. 2012, 4, 522–523. [Google Scholar] [CrossRef]
- Umeda, T.; Yoshida, H.; Sekine, S. A 950-MHz rectifier circuit for sensor network tags with 10-m distance. IEEE J. Solid-State Circuits 2005, 12, 35–41. [Google Scholar] [CrossRef]
- Shokrani, M.R.; Khoddam, M.; Hamidon, M.N.B. An RF energy harvester system using UHF micropower CMOS rectifier based on a diode connected CMOS transistor. Sci. World J. 2014, 3, 963709. [Google Scholar] [CrossRef] [PubMed]
- Filadelfi, A.M.C.; Castrucci, A.M.L. A Passive UHF RF Identification CMOS Tag IC Using Ferroelectric RAM in 0.35-μm Technology. IEEE J. Solid-State Circuits 2007, 1, 101–110. [Google Scholar]
- Gao, H.; Matters, K.M.; Harpe, P. A 50–60 GHz mm-wave rectifier with bulk voltage bias in 65-nm CMOS. IEEE Microw. Wirel. Components Lett. 2016, 8, 631–633. [Google Scholar] [CrossRef]
- Li, C.H.; Yu, M.C.; Lin, H.J. A compact 0.9–2.6-GHz dual-band RF energy harvester using SiP technique. IEEE Microw. Wirel. Components Lett. 2017, 7, 666–668. [Google Scholar] [CrossRef]














| Anisotropy Parameters | Value | Unit |
|---|---|---|
| Cm/F | ||
| Cm5/FC2 | ||
| 0 | Cm9/FC4 | |
| g | Cm3/F |
Disclaimer/Publisher’s Note: The statements, opinions and data contained in all publications are solely those of the individual author(s) and contributor(s) and not of MDPI and/or the editor(s). MDPI and/or the editor(s) disclaim responsibility for any injury to people or property resulting from any ideas, methods, instructions or products referred to in the content. |
© 2024 by the authors. Licensee MDPI, Basel, Switzerland. This article is an open access article distributed under the terms and conditions of the Creative Commons Attribution (CC BY) license (https://creativecommons.org/licenses/by/4.0/).
Share and Cite
Tang, H.; Tang, A.; Liu, W.; Huang, J.; Song, J.; Sun, W. A Negative Capacitance Field-Effect Transistor with High Rectification Efficiency for Weak-Energy 2.45 GHz Microwave Wireless Transmission. Micromachines 2025, 16, 58. https://doi.org/10.3390/mi16010058
Tang H, Tang A, Liu W, Huang J, Song J, Sun W. A Negative Capacitance Field-Effect Transistor with High Rectification Efficiency for Weak-Energy 2.45 GHz Microwave Wireless Transmission. Micromachines. 2025; 16(1):58. https://doi.org/10.3390/mi16010058
Chicago/Turabian StyleTang, Hualian, Ailan Tang, Weifeng Liu, Jingxiang Huang, Jianjun Song, and Wenjie Sun. 2025. "A Negative Capacitance Field-Effect Transistor with High Rectification Efficiency for Weak-Energy 2.45 GHz Microwave Wireless Transmission" Micromachines 16, no. 1: 58. https://doi.org/10.3390/mi16010058
APA StyleTang, H., Tang, A., Liu, W., Huang, J., Song, J., & Sun, W. (2025). A Negative Capacitance Field-Effect Transistor with High Rectification Efficiency for Weak-Energy 2.45 GHz Microwave Wireless Transmission. Micromachines, 16(1), 58. https://doi.org/10.3390/mi16010058

