Abstract
Whispering gallery mode (WGM) resonators have high-quality factors and can be used in high-sensitivity sensors due to the narrow line width that allows for the detection of small external changes. In this paper, a force-sensing system based on a high-Q asymmetric V-shaped CaF2 resonator is proposed. Based on the dispersion coupling mechanism, the deformation of the resonator is achieved by loading force, and the resonant frequency is changed to determine the measurement. By adjusting the structural parameters of the asymmetric V-shaped resonator, the deformation of the resonator under force loading is improved. The experimental results show that the sensitivity of the V-shaped tip is 18.84 V/N, which determines the force-sensing resolution of 8.49 μN. This work provides a solution for force-sensing measurements based on a WGM resonator.
1. Introduction
Whispering gallery mode (WGM) resonators have the advantages of high-quality factors, small mode volume, and high energy density [1,2], and they have become an important component in the optical field. With the continuous development of micro–nano processing technology, the WGM mode can be achieved in the resonant cavities of different materials and different structures. For example, semiconductor materials represented by silicon and silicon nitride [3,4] are widely used in optical communication because of their low transmission loss. Polymer materials represented by polymethylmethacrylate (PMMA) [5,6] and polydimethylsiloxane (PDMS) [7,8], which are highly malleable and at the same time have a small Young’s modulus, can be used for cavity quantum electrodynamics research [9,10] and the production of microcavity lasers. [11] The crystal materials represented by calcium fluoride [12,13] and magnesium fluoride [14,15] have controllable processing shapes, which can achieve precise molding under different structures. In addition, the Q value of fluoride crystal resonators [16,17,18] can reach up to 1011 in preparation, so the line width is narrow and can detect small external changes, which can be used for various types of high-sensitivity sensors [19,20,21].
In recent years, force sensors have been widely used in automotive, aerospace industry, bioengineering, health-care, and other fields, leading to in-depth research. Force sensors based on a WGM resonator has the advantages of strong anti-interference ability, fast transmission rate, and high sensitivity, so it has been deeply studied. Several types of force microsensors based on WGM resonators have been reported. For example, A.L. Huston et al. [22] first used WGM resonance to measure mechanical strain. In the study, a cylindrical resonator made of single-mode quartz fiber was used, with a Q value of 105. A WGM shift of ∼0.8 nm was observed at a strain of ∼58. Tindaro Ioppolo et al. [23] reported a micro-optical force sensor based on a WGM resonator using PMMA fabricated into a 960 μm solid hollow sphere, achieving a Q of 106 with a detection sensitivity of 7.644 nm/N. K. Soler-Carracedo et al. [24] reported on WGM force sensors made of oxyfluoride glass microspheres, pointing out the importance of the material’s thermal expansion and thermo-optical coefficient in sensor sensitivity. Y.E. Geints et al. [25] reported a proof-of-concept for a miniature force sensor based on dielectric microspheres coupled to optical field excitation, which has the important advantage of miniaturizing the design, with the force-sensitive element not being in mechanical contact with the WGM resonator.
In previous work, the materials used to fabricate WGM force resonators have mainly focused on semiconductors, polymers, molten amorphous glass, etc. Although it is easy to form the resonator using these materials, the quality factor obtained is small, which can be one of the limiting factors for the sensitivity of the sensor. Therefore, compared with semiconductor materials, polymer materials, and amorphous glass materials, we have selected fluoride crystal materials that allow for the highest possible Q values. A variety of structural types of WGM microcavities have been thoroughly investigated; common structural microcavities include microdisk cavities, microball cavities, micro-ring cavities, microcylindrical cavities, micro-ring core cavities [26,27,28,29,30], etc. After selecting calcium fluoride crystals as the resonator material, we make the resonator structurally asymmetric and V-shaped to explore the effect of the asymmetric V-shaped structures on the sensitivity of the sensors.
In this study, we used the crystalline material CaF2 treated using the single-point diamond polishing technique to fabricate resonators with sizes of 4 mm × 0.3 mm. A CaF2 resonator force-sensing system based on an asymmetric V-shaped structure is proposed to improve the efficiency of force sensing. The asymmetric V-shaped structure was modeled, and the theoretical results showed that the sensing efficiency of the CaF2 resonant force-sensing system is mainly affected by the variation of the resonator radius. The effect of those three parameters, which determine the geometry of V-shaped CaF2 resonators, has been simulated, in particular, the impact of different force levels on the resonator radius. The optimal asymmetric V-shaped structure is obtained by simultaneously optimizing the three parameters. Based on the existing experimental conditions and the CaF2 resonator fabrication technology, an asymmetric V-shaped CaF2 resonator was successfully fabricated, and the sensitivity at the tip of the asymmetric V-shaped structure is measured to be 18.84 V/N, while the sensitivity at the slightly downward position of the tip is measured to be 9.62 V/N. Therefore, this work provides a support for force sensing based on CaF2 V-shaped resonators.
2. Fabrication
The process of preparing the CaF2 resonator is mainly divided into three steps, which are cleaning; gluing the resonator; and single-point diamond turning and polishing. In the first step, the resonator is cleaned with an ultrasonic cleaner to achieve a high degree of cleanliness on the resonator surface to ensure that the bonded resonator is stable. In the second step, a copper post is attached to the fixture and the surface of the copper post is coated evenly with UV glue. The knob on the top of the fixture was turned to move the copper post toward the resonator until it made contact, then it was irradiated with a UV lamp. The bonded resonator is well secured to the air-bearing spindle with a copper post. In the third step, the molding of the crystal resonator is completed by single-point diamond turning. However, some defects may exist on the surface of the crystal. By successively reducing the size of the polishing particles and smoothing the surface by fine polishing, the roughness of the crystal surface is improved. Through the above three processing steps, resonators with low surface roughness, transparent edges, and no scratch damage can be obtained, as shown in Figure 1a. We zoomed in on the region where the white box is located in Figure 1a and labeled the asymmetric V-shaped structure in this region. The yellow arrow points to the position of the “tip”, where the black solid lines represent the structure contour parameters “top”, “heights”, and “bottom”, as shown in Figure 1b. The surface topography was measured using atomic force microscopy (AFM) and the surface roughness, Ra = 0.484 nm, was calculated, as shown in Figure 1c. The surface roughness affects the quality of the resonator, and its optical quality factor is evaluated by measuring the line width of the coupling curve. The line width is 0.72 MHz, and the Q value of the crystal resonator is calculated to be 2.68 × 108. The red line is the Lorentzian fit, and the black line is the actually measured data, as shown in Figure 1d.
Figure 1.
(a) Top view of the polished resonator under optical microscope. (b) Enlarged view of the area in which the white box is located in (a), with the asymmetric V-shaped structure of the area marked. (c) Surface morphology of polished resonators under atomic force microscopy. (d) Normalized transmission spectra of fabricated asymmetric V-shaped CaF2 resonators.
3. Theoretical Analysis and Discussion
We use the finite element method to optimize the sensing efficiency by adjusting the parameters of the resonator structure. According to the simulation results, we finally fabricated the asymmetric V-shaped structure with the contour parameters of top = 50 µm, height = 50 µm, and bottom = 700 µm, and the optimization process is discussed in detail in Section 4. The CaF2 resonator we chose has a diameter of 4 mm and a thickness of 0.3 mm, and the asymmetric V-shaped slit was customized to facilitate the re-manufacturing of this structure resonator. A force sensor based on a high-Q asymmetric V-shaped CaF2 resonator is schematically shown in Figure 2, where the CaF2 resonator can be used for optical input and output through a tapered optical fiber. In the force sensing system, the CaF2 resonator is pressurized using a helical microdisplacement pressurization device, and the CaF2 resonator is deformed by the external load, which also changes its optical resonance parameters, resulting in a shift in the resonance wavelength. In order to improve the detection accuracy, the force signal is detected by locking the laser frequency at the maximum slope of the resonance side by using the PDH locking technology. The demodulated signal is a differentiation of the transmission spectrum
Figure 2.
Experimental schematic of force sensing based on asymmetric V-shaped resonator.
From the standing wave condition of the WGM, the resonance wavelength can be determined as follows:
where m is the resonant mode order and λr is the resonance wavelength. neff and R are the effective refractive index and radius of the CaF2 resonator, respectively. In the force sensing system, the CaF2 resonator changes its radius, as well as its effective refractive index, under external force, causing the resonance wavelength to shift, which can be expressed as follows:
The finite element method (FEM) was used to simulate the radius and refractive index variations of asymmetric V-shaped CaF2 resonators at different forces. The basic properties of the material are as follows: density is 3.18 g/cm−3, Young’s modulus is 75.8 Gpa, and Poisson’s ratio is 0.26. The diameter is 4 mm and the thickness is 0.3 mm. The first influencing factor is the variation of the radius; in the force sensing system, the light is coupled to the CaF2 resonator and circulates along the circumference, so we choose the variation of the outermost radius. As shown in Figure 3a, the variation of the CaF2 resonator radius at different forces has a good linear relationship with a slope of 1.07 × 10−6 mm/N. The inset shows the effect of a force of 1 N on the variation of the CaF2 resonator radius. Another influencing factor is the change in refractive index. The change in refractive index due to the stress in the CaF2 resonator is given by the following equation:
where n0 = 1.426 is the refractive index of the CaF2 resonator under ambient conditions and p12 = 0.198 is the elastic optical coefficient. Using FEM, the relationship between the refractive index of the CaF2 resonator and the force is obtained by applying different forces. The refractive index has a good linear relationship with force, with a slope of 1.1 × 10−10/N, as shown in Figure 3b. The inset illustrates the effect of a 1 N force on straining a CaF2 resonator. Through the above simulations, the effects of CaF2 resonator radius change and refractive index change on the resonance wavelength shift were obtained. The resonance wavelength shift due to the radius change is 8.277 × 10−4 nm/N, and the resonance wavelength shift due to the refractive index change is 1.196 × 10−7 nm/N. Therefore, it can be concluded that the resonance wavelength shift is mainly affected by the radius change, and the effective refractive index change has a negligible effect on the resonance wavelength shift.
Figure 3.
(a) Varying R for different forces simulated. The inset shows the deformation of R when subjected to a force of 1 N. (b) The variation of neff with applied force under simulation. The inset shows the resonator strain at 1 N force.
The sensitivity of a force-sensing system based on an asymmetric V-shaped CaF2 resonator can be defined as follows:
where T is the output signal, F is the force, and λr is the resonance wavelength. The first term ΔT/Δλr is the slope of the resonance spectrum. It is closely related to the Q of the WGM resonator; the larger the Q, the larger the slope and the higher the sensitivity. The second term Δλr/ΔF is the force sensing efficiency of the WGM resonator, i.e., the resonance wavelength shift caused by the change in R and the change in neff of the CaF2 resonator. Since the resonance wavelength shift caused by the change of neff is negligible, the force sensing efficiency can be expressed as follows:
4. Experimental Setup and Results
The experimental setup for the force sensing system is shown in Figure 4. A tunable laser with a linewidth of 10 kHz was used and was tuned to the 1550 nm band. Light is generated by the tunable laser and output through the isolator. The output light passing through the isolator is not reflected back to the laser, which has a protective effect on the laser. The output light is coupled to the CaF2 resonator via a tapered fiber, and the coupling strength is optimized using a polarization controller (PC). The coupled output light is connected to a photodetector (PD) through an intensity-adjustable attenuator, and the electrical signal output from the photodetector is transmitted to an oscilloscope (OSC) for signal display and response.
Figure 4.
Schematic diagram of the experimental setup for force sensing system. Isolator, ISO; fiber polarization controller, FPC; photodetector, PD; oscilloscope, OSC; force transducer, FT. Lines in red indicate optical connections; lines in black indicate circuit connections.
To generate the force signal sensed by the force-sensing system, the sensitive unit of a standard commercial force transducer (FT) is clamped to a three-dimensional translation stage to form a pressurized device. The CaF2 resonator is pressurized or depressurized by turning the knob. When the pressurizer knob is turned clockwise, an external load is applied to the CaF2 resonator, i.e., the pressurization process; when the pressurizer knob is turned counterclockwise, the force is released from the CaF2 resonator, i.e., the structure tends to a zero force state. This pressurized device generates force, while simultaneously measuring the amount of force applied by a standard commercial force transducer. Force deforms the resonator, changing the optical parameters and providing a smooth reference line on the oscilloscope through the laser’s own frequency-locked module. The effect of the force signal on the optical resonant frequency is converted into a change in response amplitude for more intuitive and reliable force detection.
In order to improve the sensitivity of the force sensing system, on the one hand, we used a single-point diamond turning method to fabricate a high-Q CaF2 resonator; on the other hand, we need to improve the efficiency of the force sensing. For this purpose, we designed an asymmetric V-shaped structure CaF2 resonator. The CaF2 resonator has a diameter of 4 mm and a thickness of 0.3 mm, and its asymmetric V-shaped profile is determined by the following three parameters: top, height, and bottom, as shown in Figure 5a. Theoretically, the structural parameters of the asymmetric V-shaped resonator can modulate the deformation of the resonator under force. We used the finite element method to analyze the effects of the three parameters of the asymmetric V-shaped structure on ΔR/R, and then derived how the three parameters affect the efficiency of force sensing using Equation (5).
Figure 5.
(a) Asymmetric V-shaped profile of CaF2 resonator. (b) The Δλr/ΔF of the CaF2 resonator as a function of ‘top’ under simulation. (c) The Δλr/ΔF of the CaF2 resonator as a function of ‘heights’ under simulation. Inset: the ∆R/R distributions of the resonator at bottom = 400 (700) µm. (d) The |Δλr/ΔF| of the resonator as a function of ‘heights’ and ‘bottom’ for top = 50 μm under simulation. Blue sphere: structural parameters of the fabricated resonator.
Firstly, the V-shaped structure parameter ‘top’ of the resonator was analyzed. A total of 1 N force was applied to the force sensing system, heights = 50 µm, bottom = 700 µm, and the influence of the parameter ‘top’ on the sensing efficiency (Δλr/ΔF) at different values was simulated, as shown in Figure 5b. The influence of the value of ‘top’ on Δλr/ΔF is less than 0.7%, and the main role of ‘top’ in the V-shaped structure is to constrain the distribution of optical modes. Based on the above model parameters, the effect of heights on the Δλr/ΔF of the resonator is observed by partially taking the value of ‘bottom’, while keeping top = 50 µm. The trends of Δλr/ΔF for different values of heights are shown in Figure 5c for bottom = 100 µm, 200 µm, 400 µm, and 700 µm, respectively. From the figure, it can be seen that Δλr/ΔF decreases with increasing heights and changes faster with increasing bottom. In addition, we can see that the value of Δλr/ΔF appears to be less than 0 for the bottom = 400 (700) µm. The insets in Figure 5c show the ΔR/R distribution of the resonator at bottom = 400 (700) µm. It can be seen that the strain in the blue part is less than 0, which means that the resonator shrinks in the radial direction under external force. The part outside the blue color has a strain greater than 0, indicating that the resonator expands outward under external force. The direction of deformation of the resonator determines whether Δλr/ΔF is positive or negative.
From the above two simulation results, it can be seen that in the asymmetric V-shaped structure of the CaF2 resonator, the effect of top on Δλr/ΔF is extremely small; heights and bottom have good linear relationships with Δλr/ΔF, which clearly demonstrates the influence of the three parameters on the performance of the CaF2 resonator. In order to find the optimal combination of parameters to improve the efficiency of force sensing, we fix the parameter top = 50 µm and simulated the values of the other two parameters to obtain the function of |Δλr/ΔF| on heights and bottom. The simulation results show that |Δλr/ΔF| is larger when heights is smaller and the bottom is larger, as shown in Figure 5d.
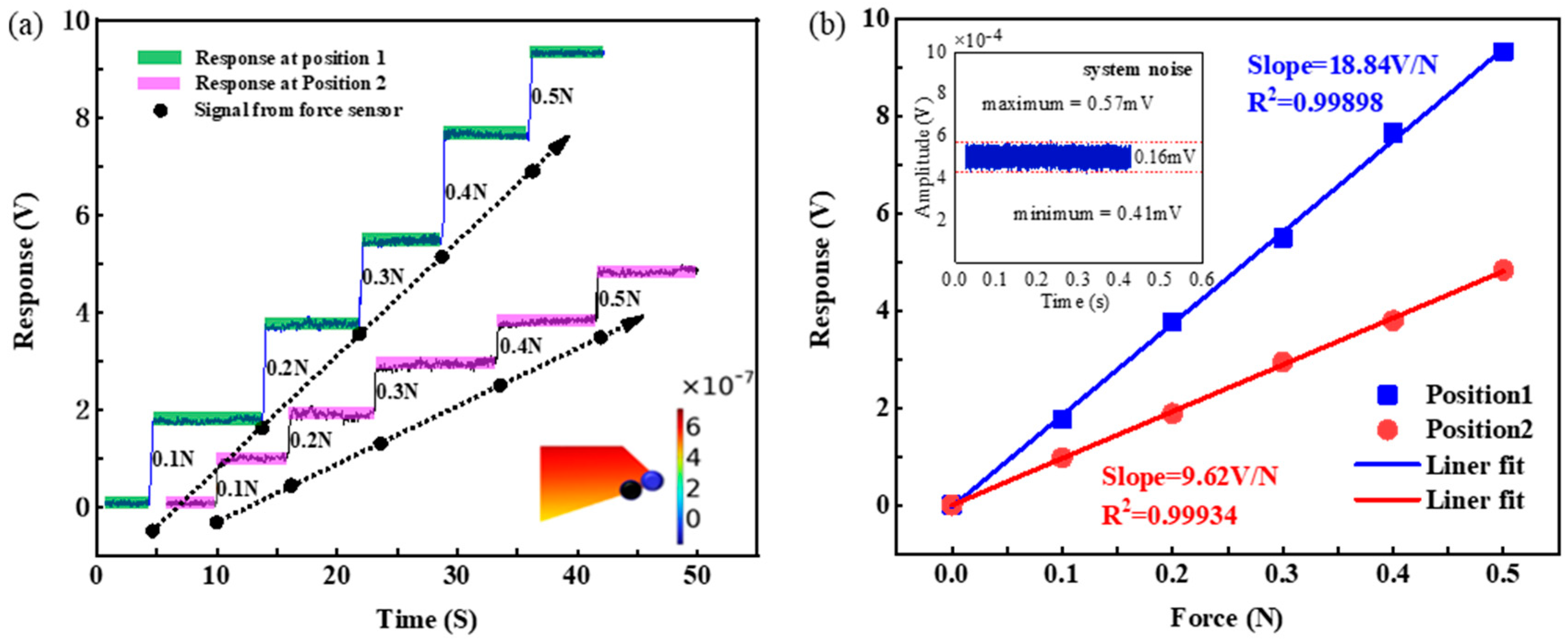
Considering the distribution of the optical mode field and the limitations of the resonator preparation process, we finally made the profile parameters of the resonator V-shaped structure as top = 50 µm, heights = 50 µm, and bottom = 700 µm, respectively, as shown by the blue sphere in Figure 5d. The force-sensing efficiency at the tip of the V-shaped structure of this resonator is simulated to be Δλr/ΔF = 8.28 × 10−4 nm/N. An experimental validation was performed to test an asymmetric V-shaped CaF2 resonator as a force-sensing element, in which a pressurized device was used to apply force to the resonator. We experimentally measured at two positions under this structure, recording several values of applied force and the corresponding voltage responses. As shown in Figure 6a, the resonator was continuously pressurized with the applied force ranging from 0.1 N to 0.5 N, and the experimental results of applying incremental force in 0.1 N increments were tested; it was observed that the WGM resonator variations exhibited a voltage output response that showed a step change trend with increasing force, and the voltage output response time is short in the test load range, thus providing reliable force readings that are important to the performance of the sensor. Position 1 is at the tip of the asymmetric V-shaped structure and position 2 is slightly downward of the tip, as shown in the inset of Figure 6a. We measured the voltage output response at two positions under different forces. The two positions have almost the same Q factor, but the response at position 1 is significantly stronger than that at position 2. The corresponding voltage output response as a function of applied force is plotted as shown in Figure 6b, which is obtained by linear fitting with a slope of 18.84 V/N and a goodness of fit r2 = 0.99898 at position 1, and a slope of 9.62 V/N and an r2 = 0.99934 at position 2. The sensitivity at position 1 is 1.96 times that at position 2. It shows that the design of the asymmetric V-shaped structure can improve the sensitivity of force sensing. It is important to note that for all force measurements discussed here, the temperature of the environment surrounding the sensing system is kept constant to avoid additional effects of temperature variations on the output response. In addition, sensor sensitivity is not the only measure of the device’s detection capability; to fully characterize the sensor’s performance, we also need to know the sensor’s detection limit. For the force sensing we are investigating, the detection limit represents the smallest change in external force that can be detected. As shown in the inset of Figure 6b, the noise of the system without an applied external force is demonstrated with a noise amplitude of 0.16 mV. By calculation, the minimum detectable force is 8.49 µN with a system sensitivity of 18.84 V/N.
Figure 6.
(a) Voltage output response of CaF2 resonator under forces at two different positions. Inset: the coupling positions and the distribution of ΔR/R. (b) The voltage output response depends on the applied force in the case shown in (a). Inset: system noise.
5. Conclusions
This paper investigates the sensing mechanism of a CaF2 resonator based on the asymmetric V-shaped structure of the resonator, and analyzes the effects of varying the resonator radius and effective refractive index on the resonance wavelength shift of the force sensing system. To improve the force sensing efficiency of the sensor, the effects of the three parameters top, heights, and bottom, which determine the asymmetric V-shaped profile, on |Δλr/ΔF| under external force are simulated and analyzed. Trends in force-sensing efficiency were obtained and a physical explanation for these trends was provided. Through simulation analysis, the asymmetric V-shaped structure was optimized to enhance the coupling strength between the force and light fields, and the best parameter combination to improve the force sensing efficiency was obtained. The force sensing sensitivity of the resonator is measured to be 18.84 V/N at the tip of the asymmetric V-shaped structure and 9.62 V/N at the slightly downward tip, based on the existing experimental conditions and fabrication technique of the CaF2 resonator. It is proven that the V-shaped structure plays a crucial role in sensitivity enhancement. In addition, we tested the system with a minimum detectable external force of 8.49 µN. It provides a new solution for force measurement using the WGM CaF2 resonator as a platform for a wide range of applications.
Author Contributions
Writing—original draft preparation, D.W.; conceptualization, J.R. and E.X.; methodology, J.L. (Jianglong Li); investigation, H.Y.; supervision, W.L.; funding acquisition, J.T. and J.L. (Jun Liu). All authors have read and agreed to the published version of the manuscript.
Funding
This work was supported by Joint Funds of the National Natural Science Foundation of China (U21A20141), the General Program of National Natural Science Foundation of China (62373331), the National Key Research and Development Program of China (2022YFB3203400), the Innovative Research Group Project of National Natural Science Foundation of China (51821003), and the Open Project Program of Shanxi Key Laboratory of Advanced Semiconductor Optoelectronic Devices and Integrated Systems (2022SZKF01, 2023SZKF06).
Data Availability Statement
Data underlying the results presented in this paper are not publicly available at this time but may be obtained from the authors upon reasonable request.
Conflicts of Interest
The authors declare no conflicts of interest.
References
- Heylman, K.D.; Knapper, K.A.; Horak, E.H.; Rea, M.T.; Vanga, S.K.; Goldsmith, R.H. Optical Microresonators for Sensing and Transduction: A Materials Perspective. Adv. Mater. 2017, 29, 1700037. [Google Scholar] [CrossRef] [PubMed]
- Xu, X.; Chen, W.; Zhao, G.; Li, Y.; Lu, C.; Yang, L. Wireless whispering-gallery-mode sensor for thermal sensing and aerial mapping. Light Sci. Appl. 2018, 7, 62. [Google Scholar] [CrossRef]
- Xu, Q.; Fattal, D.; Beausoleil, R.G. Silicon microring resonators with 1.5-μm radius. Opt. Express 2008, 16, 4309–4315. [Google Scholar] [CrossRef] [PubMed]
- Song, J.H.; Kongnyuy, T.D.; De Heyn, P.; Lardenois, S.; Jansen, R.; Rottenberg, X. Enhanced Silicon Ring Resonators Using Low-Loss Bends. IEEE Photonics Technol. Lett. 2021, 33, 313–316. [Google Scholar] [CrossRef]
- Schwesyg, J.R.; Beckmann, T.; Zimmermann, A.S.; Buse, K.; Haertle, D. Fabrication and characterization of whispering-gallery-mode resonators made of polymers. Opt. Express 2009, 17, 2573–2578. [Google Scholar] [CrossRef] [PubMed]
- Shi, L.; Zhu, T.; Huang, D.; Liu, M. Thermo–Optic Tuning of Integrated Polymethyl Methacrylate Sphere Whispering Gallery Mode Resonator. IEEE Photonics J. 2016, 8, 2701307. [Google Scholar] [CrossRef]
- Frenkel, M.; Avellan, M.; Guo, Z. Whispering-gallery mode composite sensors for on-chip dynamic temperature monitoring. Meas. Sci. Technol. 2013, 24, 075103. [Google Scholar] [CrossRef]
- Frenkel, M.; Guo, Z. On-chip, dynamic, and cryogenic temperature monitoring via PDMS micro-bead coatings. J. Polym. Sci. Part B Polym. Phys. 2016, 54, 1118–1124. [Google Scholar] [CrossRef]
- Xiao, Y.-F.; Zou, C.-L.; Xue, P.; Xiao, L.; Li, Y.; Dong, C.-H.; Han, Z.-F.; Gong, Q. Quantum electrodynamics in a whispering-gallery microcavity coated with a polymer nanolayer. Phys. Rev. A 2010, 81, 053807. [Google Scholar] [CrossRef]
- Li, Y.; Abolmaali, F.; Allen, K.W.; Limberopoulos, N.I.; Urbas, A.; Rakovich, Y.; Maslov, A.V.; Astratov, V.N. Whispering gallery mode hybridization in photonic molecules. Laser Photonics Rev. 2017, 11, 1600278. [Google Scholar] [CrossRef]
- Huang, Q.; Zhan, X.; Hou, Z.; Chen, Q.; Xu, H. Polymer photonic-molecule microlaser fabricated by femtosecond laser direct writing. Opt. Commun. 2016, 362, 73–76. [Google Scholar] [CrossRef]
- Savchenkov, A.A.; Matsko, A.B.; Ilchenko, V.S.; Maleki, L. Optical resonators with ten million finesse. Opt. Express 2007, 15, 6768–6773. [Google Scholar] [CrossRef] [PubMed]
- Savchenkov, A.A.; Matsko, A.B.; Ilchenko, V.S.; Solomatine, I.; Seidel, D.; Maleki, L. Tunable Optical Frequency Comb with a Crystalline Whispering Gallery Mode Resonator. Phys. Rev. Lett. 2008, 101, 093902. [Google Scholar] [CrossRef] [PubMed]
- Zeltner, R.; Sedlmeir, F.; Leuchs, G.; Schwefel, H.G.L. Crystalline MgF2 whispering gallery mode resonators for enhanced bulk index sensitivity. Eur. Phys. J. Spec. Top. 2014, 223, 1989–1994. [Google Scholar] [CrossRef]
- Khozeymeh, F.; Razaghi, M. Crystalline MgF2 Whispering Gallery Mode Resonators as Optical Refractometric Sensors With Ultra-High Improved Sensitivity. IEEE Sens. J. 2020, 20, 2416–2423. [Google Scholar] [CrossRef]
- Lecaplain, C.; Javerzac-Galy, C.; Gorodetsky, M.L.; Kippenberg, T.J. Mid-infrared ultra-high-Q resonators based on fluoride crystalline materials. Nat. Commun. 2016, 7, 13383. [Google Scholar] [CrossRef] [PubMed]
- Grudinin, I.S.; Matsko, A.B.; Maleki, L. On the fundamental limits of Q factor of crystalline dielectric resonators. Opt. Express 2007, 15, 3390–3395. [Google Scholar] [CrossRef] [PubMed]
- Grudinin, I.S.; Maleki, L. Efficient Raman laser based on a CaF2 resonator. J. Opt. Soc. Am. B 2008, 25, 594–598. [Google Scholar] [CrossRef]
- Jiang, X.; Qavi, A.J.; Huang, S.H.; Yang, L. Whispering-Gallery Sensors. Matter 2020, 3, 371–392. [Google Scholar] [CrossRef]
- Toropov, N.; Cabello, G.; Serrano, M.P.; Gutha, R.R.; Rafti, M.; Vollmer, F. Review of biosensing with whispering-gallery mode lasers. Light Sci. Appl. 2021, 10, 42. [Google Scholar] [CrossRef]
- Liao, J.; Qavi, A.; Adolphson, M.; Yang, L. High-Q WGM Resonators Encapsulated in PDMS for Highly Sensitive Displacement Detection. J. Light. Technol. 2022, 41, 2862–2869. [Google Scholar] [CrossRef]
- Huston, A.L.; Eversole, J.D. Strain-sensitive elastic scattering from cylinders. Opt. Lett. 1993, 18, 1104–1106. [Google Scholar] [CrossRef] [PubMed]
- Ioppolo, T.; Kozhevnikov, M.; Stepaniuk, V.; Ötügen, M.V.; Sheverev, V. Micro-optical force sensor concept based on whispering gallery mode resonators. Appl. Opt. 2008, 47, 3009–3014. [Google Scholar] [CrossRef] [PubMed]
- Soler-Carracedo, K.; Estevez-Alonso, P.; Martin, I.R.; Rios, S. Improving the sensitivity of WGM pressure sensors with oxyfluoride glass microspheres. J. Lumin. 2021, 238, 118249. [Google Scholar] [CrossRef]
- Geints, Y.E.; Minin, O.V.; Minin, I.V. Proof-of-concept of a miniature pressure sensor based on coupled optical WGMs excited in a dielectric microsphere. Opt. Laser Technol. 2022, 151, 108015. [Google Scholar] [CrossRef]
- Moon, H.-J.; Chough, Y.-T.; An, K. Cylindrical Microcavity Laser Based on the Evanescent-Wave-Coupled Gain. Phys. Rev. Lett. 2000, 85, 3161–3164. [Google Scholar] [CrossRef]
- Ilchenko, V.; Volikov, P.; Velichansky, V.; Treussart, F.; Lefèvre-Seguin, V.; Raimond, J.-M.; Haroche, S. Strain-tunable high-Q optical microsphere resonator. Opt. Commun. 1998, 145, 86–90. [Google Scholar] [CrossRef]
- Honda, K.; Garmire, E.; Wilson, K. Characteristics of an integrated optics ring resonator fabricated in glass. J. Light. Technol. 1984, 2, 714–719. [Google Scholar] [CrossRef]
- Fang, Z.; Xu, Y.; Wang, M.; Qiao, L.; Lin, J.; Fang, W.; Cheng, Y. Monolithic integration of a lithium niobate microresonator with a free-standing waveguide using femtosecond laser assisted ion beam writing. Sci. Rep. 2017, 7, 45610. [Google Scholar] [CrossRef]
- Armani, D.K.; Kippenberg, T.J.; Spillane, S.M.; Vahala, K.J. Ultra-high-Q toroid microcavity on a chip. Nature 2003, 421, 925–928. [Google Scholar] [CrossRef]
Disclaimer/Publisher’s Note: The statements, opinions and data contained in all publications are solely those of the individual author(s) and contributor(s) and not of MDPI and/or the editor(s). MDPI and/or the editor(s) disclaim responsibility for any injury to people or property resulting from any ideas, methods, instructions or products referred to in the content. |
© 2024 by the authors. Licensee MDPI, Basel, Switzerland. This article is an open access article distributed under the terms and conditions of the Creative Commons Attribution (CC BY) license (https://creativecommons.org/licenses/by/4.0/).





