Aluminum Nitride-Based Adjustable Effective Electromechanical Coupling Coefficient Film Bulk Acoustic Resonator
Abstract
:1. Introduction
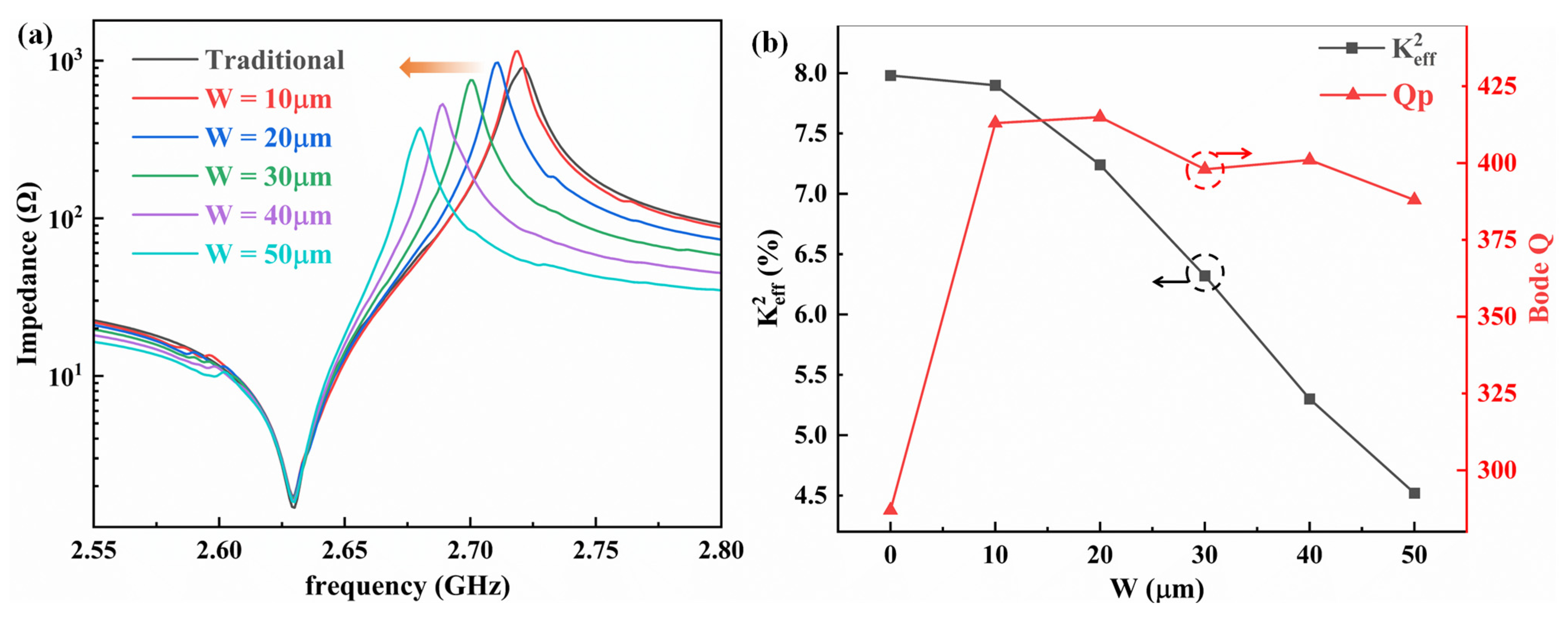
2. Device’s Structural Design
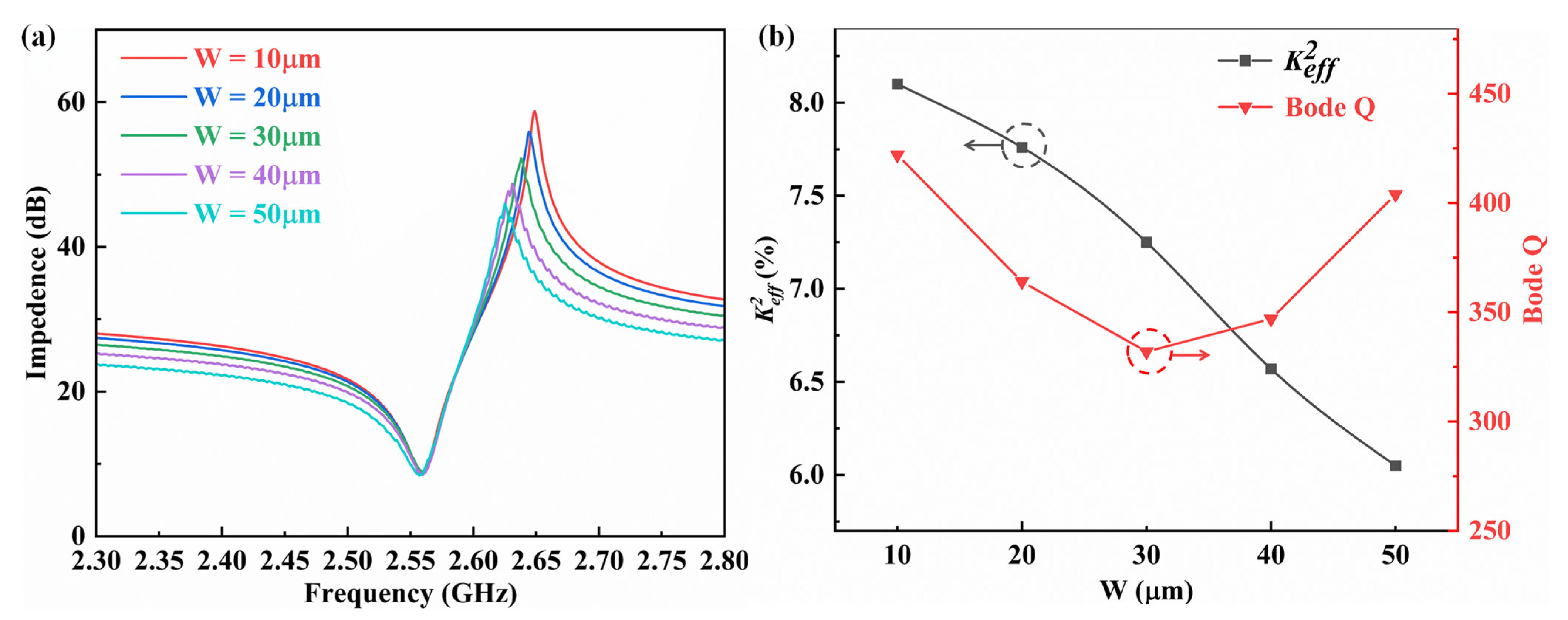
3. Device Fabrication and Experiment
4. Conclusions
Author Contributions
Funding
Data Availability Statement
Conflicts of Interest
References
- Ruppel, C.C.W. Acoustic Wave Filter Technology—A Review. IEEE Trans. Ultrason. Ferroelectr. Freq. Control. 2017, 64, 1390–1400. [Google Scholar] [CrossRef] [PubMed]
- Ruby, R.; Bradley, P.; Larson, J.; Oshmyansky, Y. PCS 1900 MHz duplexer using thin film bulk acoustic resonators (FBARs). Electron. Lett. 1999, 35, 794–795. [Google Scholar] [CrossRef]
- Liu, Y.; Cai, Y.; Zhang, Y.; Tovstopyat, A.; Liu, S.; Sun, C. Materials, Design, and Characteristics of Bulk Acoustic Wave Resonator: A Review. Micromachines 2020, 11, 630. [Google Scholar] [CrossRef] [PubMed]
- Ruby, R. A Snapshot in Time: The Future in Filters for Cell Phones. IEEE Microw. Mag. 2015, 16, 46–59. [Google Scholar] [CrossRef]
- Feld, D.; Wang, K.; Bradley, P.; Barfknecht, A.; Ly, B.; Ruby, R. A high performance 3.0 mm/spl times/3.0 mm/spl times/1.1 mm FBAR full band Tx filter for US PCS handsets. IEEE 2002, 1, 913–918. [Google Scholar]
- Bradley, P.; Ruby, R.; Barfknecht, A.; Geefay, F.; Han, C.; Gan, G.; Oshmyansky, Y.; Larson, J. A 5 mm/spl times/5 mm/spl times/1.37 mm hermetic FBAR duplexer for PCS handsets with wafer-scale packaging. IEEE 2002, 1, 931–934. [Google Scholar]
- Aigner, R. SAW and BAW technologies for RF filter applications: A review of the relative strengths and weaknesses. In Proceedings of the IEEE Ultrasonics Symposium, Beijing, China, 2–5 November 2008; pp. 582–589. [Google Scholar]
- Bi, F.Z.; Barber, B.P. Bulk acoustic wave RF technology. IEEE Microw. Mag. 2008, 9, 65–80. [Google Scholar] [CrossRef]
- Lakin, K.; Wang, J. UHF composite bulk wave resonators. In Proceedings of the Ultrasonics Symposium, Boston, MA, USA, 5–7 November 1980; pp. 834–837. [Google Scholar]
- Bradley, P.; Ruby, R.; Larson, J.; Oshmyansky, Y.; Figueredo, D. A film bulk acoustic resonator (FBAR) duplexer for USPCS handset applications. IEEE 2001, 1, 367–370. [Google Scholar]
- Krishnaswamy, S.V.; Rosenbaum, J.; Horwitz, S.; Yale, C.; Moore, R.A. Compact FBAR filters offer low-loss performance. Microw. RF 1991, 30, 127–136. [Google Scholar]
- Lv, L.; Shuai, Y.; Huang, S.; Zhu, D.; Wang, Y.; Luo, W.; Wu, C.; Zhang, W. BAW Resonator with an Optimized SiO2/Ta2O5 Reflector for 5G Applications. ACS Omega 2022, 7, 20994–20999. [Google Scholar] [CrossRef] [PubMed]
- Zhang, H.; Pang, W.; Chen, W.; Zhou, C. Design of unbalanced and balanced radio frequency bulk acoustic wave filters for TD-SCDMA. In Proceedings of the International Conference on Microwave and Millimeter Wave Technology, Chengdu, China, 8–11 May 2010; pp. 878–881. [Google Scholar]
- Chawla, P.; Garg, A.; Singh, S. A high performance multiband BAW filter. Int. J. Inf. Technol. 2019, 11, 779–783. [Google Scholar] [CrossRef]
- Pang, W.; Yu, H.; Zhang, H.; Kim, E.S. Electrically tunable and temperature compensated FBAR. In Proceedings of the IEEE MTT-S International Microwave Symposium Digest, Long Beach, CA, USA, 17 June 2005; pp. 1279–1282. [Google Scholar]
- Larson, J.D.; Bradley, P.D.; Wartenberg, S.; Ruby, R.C. Modified Butterworth-Van Dyke circuit for FBAR resonators and automated measurement system. IEEE 2000, 1, 863–868. [Google Scholar]
- Bjurstrom, J.; Vestling, L.; Olsson, J.; Katardjiev, I. An accurate direct extraction technique for the MBVD resonator model. IEEE 2004, 3, 1241–1244. [Google Scholar]
- Gao, C.; Zou, Y.; Zhou, J.; Liu, Y.; Liu, W.; Cai, Y.; Sun, C. Influence of Etching Trench on K eff 2 of Film Bulk Acoustic Resonator. Micromachines 2022, 13, 102. [Google Scholar] [CrossRef] [PubMed]
- Pang, W.; Zhang, H.; Yu, H.; Kim, E.S. Electrically tunable and switchable film bulk acoustic resonator. In Proceedings of the IEEE International Frequency Control Symposium and Exposition, Montreal, QC, Canada, 23–27 August 2004; pp. 22–26. [Google Scholar]
- Pang, W.; Zhang, H.; Yu, H.; Lee, C.-Y.; Kim, E.S. Electrical frequency tuning of film bulk acoustic resonator. J. Microelectromech. Syst. 2007, 16, 1303–1313. [Google Scholar] [CrossRef]








| Width | 0 μm | 10 μm | 20 μm | 30 μm | 40 μm | 50 μm |
|---|---|---|---|---|---|---|
| Cp (pF) | 1.288 | 0.043 | 0.161 | 0.363 | 0.644 | 1.066 |
Disclaimer/Publisher’s Note: The statements, opinions and data contained in all publications are solely those of the individual author(s) and contributor(s) and not of MDPI and/or the editor(s). MDPI and/or the editor(s) disclaim responsibility for any injury to people or property resulting from any ideas, methods, instructions or products referred to in the content. |
© 2023 by the authors. Licensee MDPI, Basel, Switzerland. This article is an open access article distributed under the terms and conditions of the Creative Commons Attribution (CC BY) license (https://creativecommons.org/licenses/by/4.0/).
Share and Cite
Qu, Y.; Luo, T.; Wen, Z.; Wei, M.; Gu, X.; Chen, X.; Zou, Y.; Cai, Y.; Liu, Y.; Sun, C. Aluminum Nitride-Based Adjustable Effective Electromechanical Coupling Coefficient Film Bulk Acoustic Resonator. Micromachines 2023, 14, 157. https://doi.org/10.3390/mi14010157
Qu Y, Luo T, Wen Z, Wei M, Gu X, Chen X, Zou Y, Cai Y, Liu Y, Sun C. Aluminum Nitride-Based Adjustable Effective Electromechanical Coupling Coefficient Film Bulk Acoustic Resonator. Micromachines. 2023; 14(1):157. https://doi.org/10.3390/mi14010157
Chicago/Turabian StyleQu, Yuanhang, Tiancheng Luo, Zhiwei Wen, Min Wei, Xiyu Gu, Xiang Chen, Yang Zou, Yao Cai, Yan Liu, and Chengliang Sun. 2023. "Aluminum Nitride-Based Adjustable Effective Electromechanical Coupling Coefficient Film Bulk Acoustic Resonator" Micromachines 14, no. 1: 157. https://doi.org/10.3390/mi14010157
APA StyleQu, Y., Luo, T., Wen, Z., Wei, M., Gu, X., Chen, X., Zou, Y., Cai, Y., Liu, Y., & Sun, C. (2023). Aluminum Nitride-Based Adjustable Effective Electromechanical Coupling Coefficient Film Bulk Acoustic Resonator. Micromachines, 14(1), 157. https://doi.org/10.3390/mi14010157

