Evaluation of 3D Printability and Biocompatibility of Microfluidic Resin for Fabrication of Solid Microneedles
Abstract
:1. Introduction
2. Materials and Methods
2.1. Materials
2.2. Computer-Aided Design (CAD)
2.3. Additive Manufacturing of Microneedles
2.4. Compression Test
2.5. Scanning Electron Microscopy (SEM)
2.6. Microneedle Axial Force Mechanical Testing
2.7. Preparation of Porcine Skin Samples
2.8. Ex Vivo Piercing of Porcine Skin
2.9. Optical Coherence Tomography (OCT)
2.10. Cytotoxicity Studies and Fluorescence Cell Imaging
3. Results
3.1. Additive Manufacturing of Microneedles
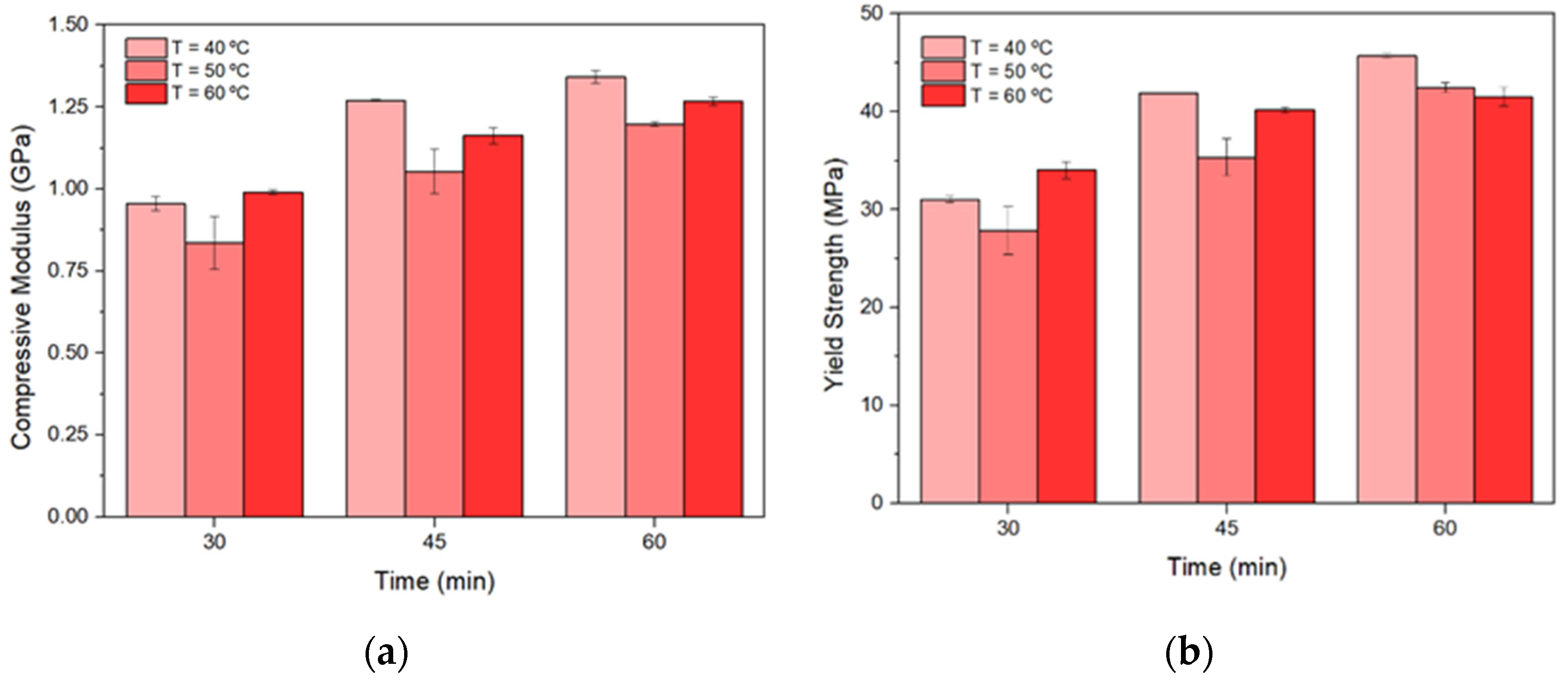
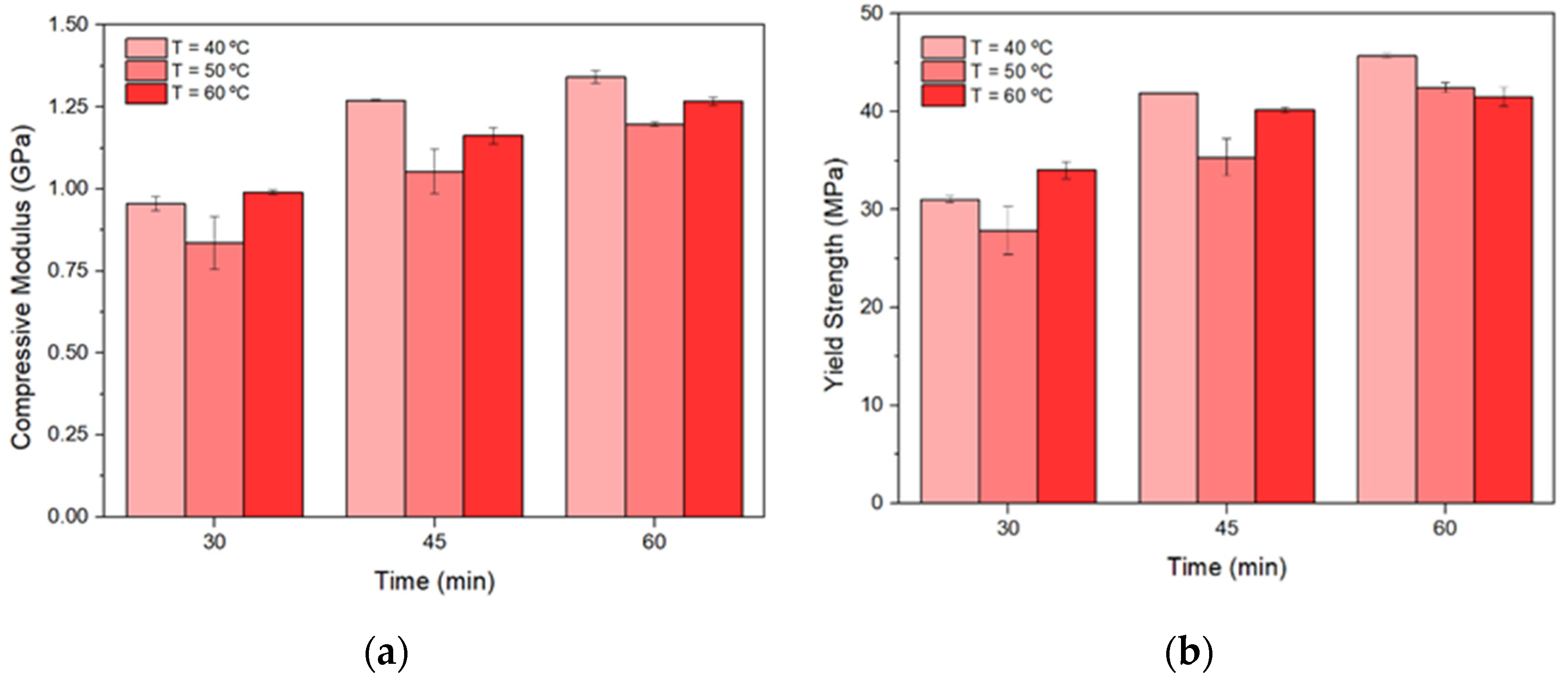
3.2. Optimization of Post-Printing Curing Conditions for Enhanced Mechanical Properties
3.3. Piercing Studies in Porcine Skin
3.4. OCT Studies
3.5. Microneedle Axial Force Mechanical Testing
3.6. Safety Index
3.7. Cytotoxicity Studies
4. Conclusions
Author Contributions
Funding
Institutional Review Board Statement
Informed Consent Statement
Data Availability Statement
Conflicts of Interest
References
- Chia, H.N.; Wu, B.M. Recent advances in 3D printing of biomaterials. J. Biol. Eng. 2015, 9, 4. [Google Scholar] [CrossRef] [PubMed] [Green Version]
- Elahpour, N.; Pahlevanzadeh, F.; Kharaziha, M.; Bakhsheshi-Rad, H.R.; Ramakrishna, S.; Berto, F. 3D printed microneedles for transdermal drug delivery: A brief review of two decades. Int. J. Pharm. 2021, 597, 120301. [Google Scholar] [CrossRef] [PubMed]
- Voet, V.S.D.; Strating, T.; Schnelting, G.H.M.; Dijkstra, P.; Tietema, M.; Xu, J.; Woortman, A.J.J.; Loos, K.; Jager, J.; Folkersma, R. Biobased Acrylate Photocurable Resin Formulation for Stereolithography 3D Printing. ACS Omega 2018, 3, 1403–1408. [Google Scholar] [CrossRef] [PubMed]
- Economidou, S.N.; Pere, C.P.P.; Okereke, M.; Douroumis, D. Optimisation of design and manufacturing parameters of 3d printed solid microneedles for improved strength, sharpness, and drug delivery. Micromachines 2021, 12, 117. [Google Scholar] [CrossRef]
- Vidakis, N.; Petousis, M.; Velidakis, E.; Mountakis, N.; Tsikritzis, D.; Gkagkanatsiou, A.; Kanellopoulou, S. Investigation of the Biocidal Performance of Multi-Functional Resin/Copper Nanocomposites with Superior Mechanical Response in SLA 3D Printing. Biomimetics 2022, 7, 8. [Google Scholar] [CrossRef]
- Mahdavi, S.S.; Abdekhodaie, M.J.; Kumar, H.; Mashayekhan, S.; Baradaran-Rafii, A.; Kim, K. Stereolithography 3D Bioprinting Method for Fabrication of Human Corneal Stroma Equivalent. Ann. Biomed. Eng. 2020, 48, 1955–1970. [Google Scholar] [CrossRef]
- Kim, Y.C.; Park, J.H.; Prausnitz, M.R. Microneedles for drug and vaccine delivery. Adv. Drug Deliv. Rev. 2012, 64, 1547–1568. [Google Scholar] [CrossRef] [Green Version]
- Economidou, S.N.; Lamprou, D.A.; Douroumis, D. 3D printing applications for transdermal drug delivery. Int. J. Pharm. 2018, 544, 415–424. [Google Scholar] [CrossRef]
- Ita, K. Transdermal delivery of drugs with microneedles—Potential and challenges. Pharmaceutics 2015, 7, 90–105. [Google Scholar] [CrossRef] [Green Version]
- Ma, J.; Wang, Y.; Lu, R. Mechanism and Application of Chitosan and its Derivatives in Promoting Permeation in Transdermal Drug Delivery Systems: A Review. Pharmaceuticals 2022, 15, 459. [Google Scholar] [CrossRef]
- Gera, A.K.; Burra, R.K. The Rise of Polymeric Microneedles: Recent Developments, Advances, Challenges, and Applications with Regard to Transdermal Drug Delivery. J. Funct. Biomater. 2022, 13, 81. [Google Scholar] [CrossRef] [PubMed]
- Kulkarni, D.; Damiri, F.; Rojekar, S.; Zehravi, M.; Ramproshad, S.; Dhoke, D.; Musale, S.; Mulani, A.A.; Modak, P.; Paradhi, R.; et al. Recent Advancements in Microneedle Technology for Multifaceted Biomedical Applications. Pharmaceutics 2022, 14, 1097. [Google Scholar] [CrossRef]
- Yao, W.; Li, D.; Zhao, Y.; Zhan, Z.; Jin, G.; Liang, H.; Yang, R. 3D Printed multi-functional hydrogel microneedles based on high-precision digital light processing. Micromachines 2020, 11, 17. [Google Scholar] [CrossRef] [PubMed] [Green Version]
- Guttridge, C.; Shannon, A.; O’Sullivan, A.; O’Sullivan, K.J.; O’Sullivan, L.W. Biocompatible 3D printing resins for medical applications: A review of marketed intended use, biocompatibility certification, and post-processing guidance. Ann. 3D Print. Med. 2022, 4, 185–191. [Google Scholar] [CrossRef]
- Lim, S.H.; Kathuria, H.; Amir, M.H.B.; Zhang, X.; Duong, H.T.T.; Ho, P.C.L.; Kang, L. High resolution photopolymer for 3D printing of personalised microneedle for transdermal delivery of anti-wrinkle small peptide. J. Control. Release 2021, 329, 907–918. [Google Scholar] [CrossRef]
- Moreno-Rivas, O.; Hernández-Velázquez, D.; Piazza, V.; Marquez, S. Rapid prototyping of microfluidic devices by SL 3D printing and their biocompatibility study for cell culturing. Mater. Today Proc. 2019, 13, 436–445. [Google Scholar] [CrossRef]
- Pere, C.P.P.; Economidou, S.N.; Lall, G.; Ziraud, C.; Boateng, J.S.; Alexander, B.D.; Lamprou, D.A.; Douroumis, D. 3D printed microneedles for insulin skin delivery. Int. J. Pharm. 2018, 544, 425–432. [Google Scholar] [CrossRef] [Green Version]
- Economidou, S.N.; Pere, C.P.P.; Reid, A.; Uddin, M.J.; Windmill, J.F.C.; Lamprou, D.A.; Douroumis, D. 3D printed microneedle patches using stereolithography (SLA) for intradermal insulin delivery. Mater. Sci. Eng. C. 2019, 102, 743–755. [Google Scholar] [CrossRef]
- Fujimoto, J.G.; Pitris, C.; Boppart, S.A.; Brezinski, M.E. Optical coherence tomography: An emerging technology for biomedical imaging and optical biopsy. Neoplasia 2000, 2, 9–25. [Google Scholar] [CrossRef] [Green Version]
- Walther, J.; Gaertner, M.; Cimalla, P.; Burkhardt, A.; Kirsten, L.; Meissner, S.; Koch, E. Optical coherence tomography in biomedical research. Anal. Bioanal. Chem. 2011, 400, 2721–2743. [Google Scholar] [CrossRef]
- Donnelly, R.F.; Garland, M.J.; Morrow, D.I.J.; Migalska, K.; Singh, T.R.R.; Majithiya, R.; Woolfson, A.D. Optical coherence tomography is a valuable tool in the study of the effects of microneedle geometry on skin penetration characteristics and in-skin dissolution. J. Control. Release 2010, 147, 333–341. [Google Scholar] [CrossRef] [PubMed]
- Donnelly, R.F.; Mooney, K.; McCrudden, M.T.C.; Vicente-Pérez, E.M.; Belaid, L.; González-Vázquez, P.; McElnay, J.C.; Woolfson, A.D. Hydrogel-forming microneedles increase in volume during swelling in skin, but skin barrier function recovery is unaffected. J. Pharm. Sci. 2014, 103, 1478–1486. [Google Scholar] [CrossRef] [PubMed] [Green Version]
- Uddin, M.J.; Scoutaris, N.; Economidou, S.N.; Giraud, C.; Chowdhry, B.Z.; Donnelly, R.F.; Douroumis, D. 3D printed microneedles for anticancer therapy of skin tumours. Mater. Sci. Eng. C. 2020, 107, 110248. [Google Scholar] [CrossRef]
- Shrestha, P.; Stoeber, B. Fluid absorption by skin tissue during intradermal injections through hollow microneedles. Sci. Rep. 2018, 8, 13749. [Google Scholar] [CrossRef] [PubMed]
- Tsai, M.-T.; Lee, I.-C.; Lee, Z.-F.; Liu, H.-L.; Wang, C.-C.; Choia, Y.-C.; Chou, H.-Y.; Lee, J.-D. In vivo investigation of temporal effects and drug delivery induced by transdermal microneedles with optical coherence tomography. Biomed. Opt. Express 2016, 7, 1865–1876. [Google Scholar] [CrossRef] [Green Version]
- Lau, S.; Fei, J.; Liu, H.; Chen, W.; Liu, R. Multilayered pyramidal dissolving microneedle patches with flexible pedestals for improving effective drug delivery. J. Control. Release 2017, 265, 113–119. [Google Scholar] [CrossRef]
- Chen, M.C.; Ling, M.H.; Lai, K.Y.; Pramudityo, E. Chitosan microneedle patches for sustained transdermal delivery of macromolecules. Biomacromolecules 2012, 13, 4022–4031. [Google Scholar] [CrossRef]
- Demir, Y.K.; Akan, Z.; Kerimoglu, O. Characterization of Polymeric Microneedle Arrays for Transdermal Drug Delivery. PLoS ONE 2013, 8, e77289. [Google Scholar] [CrossRef] [Green Version]
- Yalcintas, E.P.; Ackerman, D.S.; Korkmaz, E.; Telmer, C.A.; Jarvik, J.W.; Campbell, P.G.; Bruchez, M.P.; Ozdoganlar, O.B. Analysis of In Vitro Cytotoxicity of Carbohydrate-Based Materials Used for Dissolvable Microneedle Arrays. Pharm. Res. 2020, 37, 33. [Google Scholar] [CrossRef]











| MN Type | Height (μm) | Base (μm) |
|---|---|---|
| Cone 1:1 (C1) | 1000 | 1000 |
| Cone 2:1 (C2) | 1000 | 500 |
| Cone 3:1 (C3) | 1000 | 333 |
| 3-sided pyramid 1:1 (3P1) | 1000 | 1000 |
| 3-sided pyramid 2:1 (3P2) | 1000 | 500 |
| 3-sided pyramid 3:1 (3P3) | 1000 | 333 |
| 4-sided pyramid 1:1 (4P1) | 1000 | 1000 |
| 4-sided pyramid 1:1 (4P2) | 1000 | 500 |
| 4-sided pyramid 1:1 (4P3) | 1000 | 333 |
| Design | Penetration Depth (μm) | Penetration Depth (%) | Penetration Width (µm) | Penetration Width (%) |
|---|---|---|---|---|
| Control | 0.0 | 0.0 | 0.0 | 0.0 |
| C1 | 760.4 ± 33.2 | 76.0 | 770.2 ± 45.0 | 77.0 |
| C2 | 801.5 ± 20.3 | 80.1 | 392.1 ± 31.0 | 78.4 |
| C3 | 833.2 ± 24.8 | 83.3 | 298.6 ± 19.2 | 89.6 |
| 3P1 | 732.1 ± 34.1 | 73.2 | 792.1 ± 30.0 | 79.2 |
| 3P2 | 765.1 ± 36.1 | 76.5 | 404.2 ± 18.8 | 80.8 |
| 3P3 | 796.1 ± 17.3 | 79.6 | 304.4 ± 19.4 | 91.2 |
| 4P1 | 680.1 ± 33.9 | 68.0 | 809.5 ± 23.7 | 80.9 |
| 4P2 | 714.9 ± 35.1 | 71.4 | 420.5 ± 17.6 | 84.1 |
| 4P3 | 755.8 ± 26.3 | 75.5 | 309.3 ± 13.2 | 92.8 |
| Geometry | Cone | 3-Sided Pyramid | 4-Sided Pyramid | ||||||
|---|---|---|---|---|---|---|---|---|---|
| Ratio | 1:1 | 2:1 | 3:1 | 1:1 | 2:1 | 3:1 | 1:1 | 2:1 | 3:1 |
| Margin of Safety | 426.2 | 112.7 | 19.8 | 209.6 | 14.6 | 14.0 | 427.6 | 95.0 | 28.5 |
Publisher’s Note: MDPI stays neutral with regard to jurisdictional claims in published maps and institutional affiliations. |
© 2022 by the authors. Licensee MDPI, Basel, Switzerland. This article is an open access article distributed under the terms and conditions of the Creative Commons Attribution (CC BY) license (https://creativecommons.org/licenses/by/4.0/).
Share and Cite
Tabriz, A.G.; Viegas, B.; Okereke, M.; Uddin, M.J.; Lopez, E.A.; Zand, N.; Ranatunga, M.; Getti, G.; Douroumis, D. Evaluation of 3D Printability and Biocompatibility of Microfluidic Resin for Fabrication of Solid Microneedles. Micromachines 2022, 13, 1368. https://doi.org/10.3390/mi13091368
Tabriz AG, Viegas B, Okereke M, Uddin MJ, Lopez EA, Zand N, Ranatunga M, Getti G, Douroumis D. Evaluation of 3D Printability and Biocompatibility of Microfluidic Resin for Fabrication of Solid Microneedles. Micromachines. 2022; 13(9):1368. https://doi.org/10.3390/mi13091368
Chicago/Turabian StyleTabriz, Atabak Ghanizadeh, Beatriz Viegas, Michael Okereke, Md Jasim Uddin, Elena Arribas Lopez, Nazanin Zand, Medhavi Ranatunga, Giulia Getti, and Dennis Douroumis. 2022. "Evaluation of 3D Printability and Biocompatibility of Microfluidic Resin for Fabrication of Solid Microneedles" Micromachines 13, no. 9: 1368. https://doi.org/10.3390/mi13091368
APA StyleTabriz, A. G., Viegas, B., Okereke, M., Uddin, M. J., Lopez, E. A., Zand, N., Ranatunga, M., Getti, G., & Douroumis, D. (2022). Evaluation of 3D Printability and Biocompatibility of Microfluidic Resin for Fabrication of Solid Microneedles. Micromachines, 13(9), 1368. https://doi.org/10.3390/mi13091368

