Abstract
Schottky barrier diodes, developed by low-cost techniques and low temperature processes (LTP-SBD), have gained attention for different kinds of novel applications, including flexible electronic fabrication. This work analyzes the behavior of the I–V characteristic of solution processed, ZnO Schottky barrier diodes, fabricated at a low temperature. It is shown that the use of standard extraction methods to determine diode parameters in these devices produce significant dispersion of the ideality factor with values from 2.2 to 4.1, as well as a dependence on the diode area without physical meaning. The analysis of simulated I–V characteristic of LTP-SBD, and its comparison with experimental measurements, confirmed that it is necessary to consider the presence of a density of states (DOS) in the semiconductor gap, to understand specific changes observed in their performance, with respect to standard SBDs. These changes include increased values of Rs, as well as its dependence on bias, an important reduction of the diode current and small rectification values (RR). Additionally, it is shown that the standard extraction methodologies cannot be used to obtain diode parameters of LTP-SBD, as it is necessary to develop adequate parameter extraction methodologies for them.
1. Introduction
During the last decades, the microelectronics industry has been exploring a technological diversification, which allows the possibility of developing specific electronic systems for nontraditional areas, like medical and health care systems, environmental, biological applications, detection systems for chemical or physical signals, etc. Further development of novel materials and fabrication methodologies is required to produce new devices with the desired features. Some of these applications can require substrates, like flexible, transparent, organic, paper, among others [1]. In this context, film deposition from precursor solutions appears to be a potential tool for novel materials and electronic device fabrication techniques [2,3].
On another hand, Schottky barrier diodes (SBD), based on nanostructured oxide semiconductor films, appear to be potential candidates for different kinds of sensor devices. Furthermore, the possibility of using solution-processing techniques for diode manufacture allows the reduction of the fabrication temperatures to levels which make the full fabrication process compatible with flexible substrates. In recent years, the development of SBD based on solution-processes has become an interesting technological approach for manufacturing flexible and paper-based electronic devices, including a variety of sensor devices.
Up to now, for the analysis of low-cost and low temperature processed SBD, (LTP-SBD), thermionic emission was considered the main conduction mechanism. The diode parameters, such as barrier height (ϕb), ideality factor (η), and series resistance (RS), are obtained using parameter extraction methodologies developed for high quality, crystalline semiconductor-based SBD, processed at high temperatures.
In LTP-SBD, three main features have been observed in diode parameters, extracted using above mentioned methodologies [4,5,6,7,8,9,10,11]: (i) the rectification ratio (RR = ION/IOFF) is, usually, very small (one or two orders of magnitude); (ii) large ideality factor values (η > 2), and (iii) relatively large series resistances (RS). Regarding η, values close to 2, even greater than 7, can be found in the literature [4,5,6,7,8,9,10,11]. For SBD processed using high vacuum techniques, like sputtering deposition at room temperature, values of η near to 1 have been found [12,13].
Trying to understand the differences observed in the extracted diode parameters for LTP-SBD, with respect to those obtained for standard SBD, different explanations have been considered, among which are the impact of RS, the presence of different conduction mechanisms, barrier height inhomogeneities, and interfacial states [5,6,7]. However, the physical reasons behind the wide range of values obtained for the LTP-SBD ideality factor are not clear, nor are the strong differences in parameter values observed in different film deposition methods.
In addition to the possible causes of this observed behavior, low temperature processing could jeopardize the semiconductor film quality, since it is well known that noncrystalline materials present a density of localized states (DOS) within the energy gap, which can strongly affect the behavior of devices based on these materials.
In this work, the behavior of the I–V characteristic of solution processed, ZnO LTP-SBD is studied. Main diode parameters, obtained by four extraction methods used for standard SBD fabricated at higher temperatures, are analyzed to evaluate the possibility of using them to characterize LTP-SBD. Additionally, simulated I–V characteristic of SBD, considering the presence of a density of localized states inside the semiconductor gap, were obtained to analyze the origin of the main characteristics of diodes performance.
2. Experimental Part
2.1. Fabrication Process
ZnO Schottky barrier diodes were obtained as follows: (i) the synthesis of ZnO nanoparticles; (ii) the deposition of a film, consisting of the ZnO nanoparticle colloidal dispersion, on a polyethylene terephthalate (PET) substrate, covered by an indium tin oxide (ITO) film as back-side electrode; (iii) deposition, by screen-printing technique, of a top silver electrode. The fabrication process was limited to a maximum temperature of 150 °C. A detailed fabrication process can be found in [11]. Devices with square shape and different length (L) were manufactured and then electrically characterized.
2.2. SBD Simulation
SBDs were simulated using the ATLAS simulation program from Silvaco [14]. ZnO was considered the semiconductor material and the presence of DOS was included.
As already mentioned, noncrystalline semiconductor materials contain certain distributions of DOS, which dominate the overall device electrical characteristics. Such states are grouped into deep and tail states. For our study, the effect of the tail states is predominant, so we will only consider them in our simulations. Tail state energy distribution can be approximated to an exponential distribution as:
where NTA and NTD are, respectively, the acceptor and donor density of the tail states at the corresponding band border. ETA and ETD are, respectively, the activation energy of the acceptor and donor tails.
Main material parameters are shown in Table 1. For the DOS, a symmetrical variation for the acceptor and donor tail states was considered, while the value of NTA and NTD, was varied from 1018 to 1020 cm−3 eV−1. For ETA and ETD, typical values for metal oxide materials were considered. Two different carrier densities, NB, were analyzed. The metal work function (ΦM) was fixed to produce a barrier height of 0.54 eV.
Table 1.
Summary of the semiconductor film parameters used in simulations.
3. Traditional Extraction Methods to Obtain SBD Main Parameters from I–V Curves
Considering that the thermionic emission is the main conduction mechanism in SBD, four I–V extraction methodologies have been used to determine the diode parameters.
3.1. Ideal Extraction Method
The diode current (ID) of an ideal SBD diode is defined by the general diode equation (GDE) expressed as:
where VD is the applied voltage and η is the ideality factor.
The term I0 is the reverse current, which is defined as:
where A is the device area, A* is the Richardson constant and ϕb is the barrier height formed between the metal and the semiconductor.
There are different procedures to determine the barrier height and the ideality factor. Combining (2) and (3), and considering VD >> kT/q, the GDE can be expressed as:
Therefore, the semilogarithmic plot of the forward characteristic exhibits a linear dependence where the slope is related to η and the y-axis intercept with ϕb.
3.2. Norde’s Function
This method considers the presence of a resistance in series with an ideal diode (RS). The method was developed without considering the ideality factor [15]. Afterwards η was included into the extraction procedure [16].
Considering the series resistance, the GDE is modified as:
This method is based on the definition of an F function, considering VD >> kT/q, as [16]:
where γ is an arbitrary constant greater that η.
For values of γ greater than η, the F(VD,γ) vs. VD plot presents a minimum at the point (V0, F0). That point corresponds with a diode current, of value I0 [16]. Hence, the ideality factor can be determined, considering two different values of γ (γ1 and γ2) and the corresponding diode current values at the minimum of the F function [16]:
The barrier height and the series resistance can be determined as [16]:
3.3. Cheung’s Function
The Cheung´s method allows the determination of the ideality factor, as well as the series resistance and the barrier height [17]. Equation (5) can be rewritten, considering the current density (JD = ID/A) and VD >> kT/q, as:
The derivative of Equation (10) with respect to the logarithm of the current density is defined as [17]:
As can be seen, a linear dependence with JD is present and the ideality factor can be determined from the corresponding y-axis intercept [17].
Moreover, an H function is defined as [16]:
Comparing Equations (10) and (12), the H function is expressed as [17]:
Therefore, the plot of H vs. JD shows a linear behavior. The slope is related to the series resistance and the y-axis intercept to the barrier height.
3.4. Forward–Reverse (F–R) Function
This method analyses both the forward as well as reverse I–V characteristic. According to Equation (3), the reverse current is bias independent. However, solution-processed devices usually exhibit an important variation of the reverse current with the reverse voltage [4,5,6,7,8,9,10,11]. Considering the image force lowering effect and a very thin semiconductor film, the reverse current density (JR) can be expressed as [11]:
where VR is the reverse bias, kd is the dynamic dielectric constant and t is the electrical semiconductor film thickness.
Hence, ϕb can be determined through the y-axis intercept of the semilogarithmic plot of JR vs. VR1/2.
Furthermore, the series resistance can be extracted by the voltage derivative, with respect to the diode current of the forward characteristic (dVF/dIF), which is expressed as [18]:
Therefore, RS can be extracted from the y-axis intercept of the plot of the inverse of the current derivative vs. the 1/(IF + I0) term [11]. I0 is calculated through (3) using the ϕb value obtained from (14). Additionally, η can be extracted, in an independent manner, from the slope of the same plot [11].
4. Results and Discussion
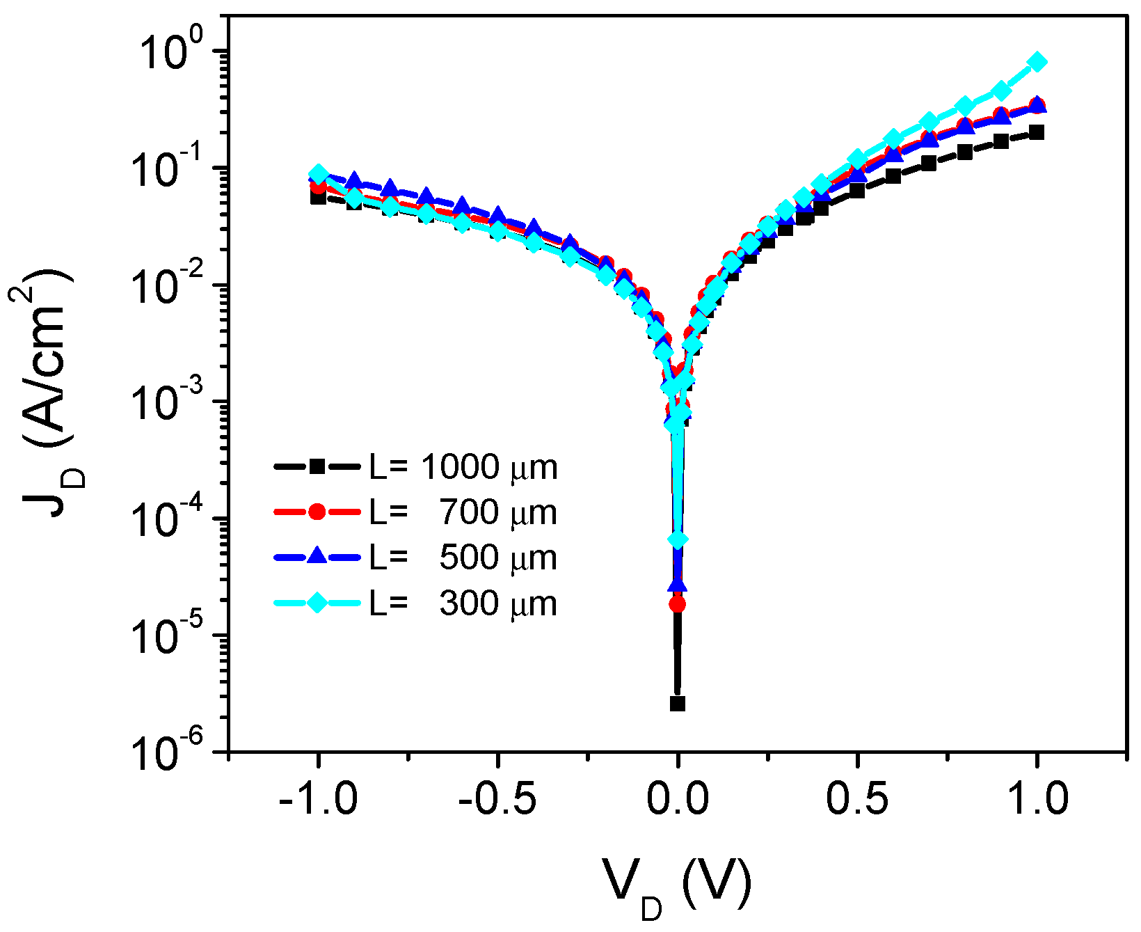
Figure 1 shows the JD–VD characteristics of measured devices with different L. As can be seen, the rectification ratio RR, obtained as diode current at +1 V divided by the current at −1 V, is about one order of magnitude. Contrarily, for crystalline devices, RR can be greater than six orders of magnitude. Moreover, the reverse current density shows a significant dependence on the applied voltage. On the other hand, as expected, the forward current density has similar values for all devices at low applied voltage. Beyond 0.5 V, JD starts to increase as the device area is reduced.
Figure 1.
Plot of the JD–VD characteristic for the different length devices. The diode area is defined as A = L2.
Diode parameter extractions, using the different strategies explained in Section 3, were performed with the aim of analysing the diode performance, as well as the unforeseen current density increment, to a deeper level. Table 2 summarizes the extracted values for ϕb, η and RS. The overall results agree with the main features previously observed for LTP-SBD [4,5,6,7,8,9,10,11].
Table 2.
Summary of the extracted Schottky barrier diode through the different extraction procedures.
Figure 2 shows the comparison of the extracted barrier height obtained with the different methods. As can be seen, for all devices the extracted values of ϕb using the ideal method are about 10% smaller than using the other methods. The Cheung and the F–R methods exhibit close values of ϕb, while Norde´s method shows a small difference for large devices, which increases as L is reduced. Nevertheless, the different methods used allow the determination of the barrier height with a relatively small variation of ±10 %. It is worth noting that the Norde and Cheung methods allow the extraction of the barrier height after the ideality factor; hence, a reliable η extraction is of main importance. On the contrary, the F–R method allows the determination of the barrier height in an independent form.
Figure 2.
Comparison of the extracted values of the barrier height using the different methods.
As can be seen from Table 2, the ideality factor presents abnormally large values when the ideal extraction is used. This occurs because the impact on RS is neglected. The other methods include the series resistance and, thus, the extracted values of η are reduced. Figure 3 shows the comparison of the η extracted values using the methods which include the series resistance on the extraction methodology. In all cases, the resulting η values are greater than 2 and a significant dispersion is observed. Additionally, Norde and F–R methods show an opposite trend. In the Norde case, the value of η increases as the device area is reduced, while with the F–R method, it reduces. However, there is not a physical reason that could support the variation of the diode ideality factor with the device area.
Figure 3.
Comparison of the extracted values of the ideality factor.
Therefore, the standard SBD extraction methods allow the determination of the barrier height into a reasonable deviation. For the ideality factor, however, a significant dispersion and even different trends when varying the diode area are obtained, depending on the method considered. However, the behavior shown in Figure 1 suggests that a single set of parameters is required to define the diode performance up to ~0.4 V, and after that bias, the increment on the current density with the area must be explained.
Figure 4 shows the extracted RS vs. the inverse of the diode area. In the inset, the RS vs. L plot is shown. In general, RS has a linear behavior in respect to 1/A. As a first approach, the device can be considered a rectangular semiconductor with electrodes on the top and at the bottom, which produce the observed dependence with the diode area. This fact also suggests a constant value of the resistance normalized with diode area (A.RS).
Figure 4.
Comparison of the extracted values of the series resistance using the different methods.
The above-mentioned analysis implies an issue on the proper determination of the diode parameters utilizing the traditional methodologies, since a single set of parameters cannot explain the experimental diode current. Because of the observed results, a deeper analysis on the LTP-SBD behavior must be performed, as well as the development of specific extraction methodologies for this kind of devices.
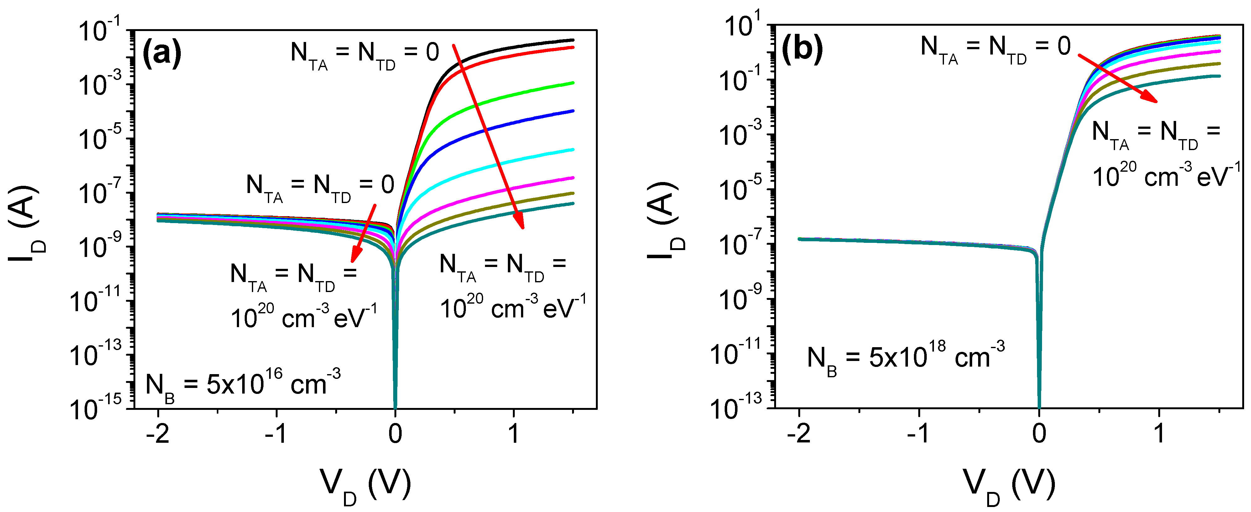
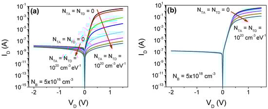
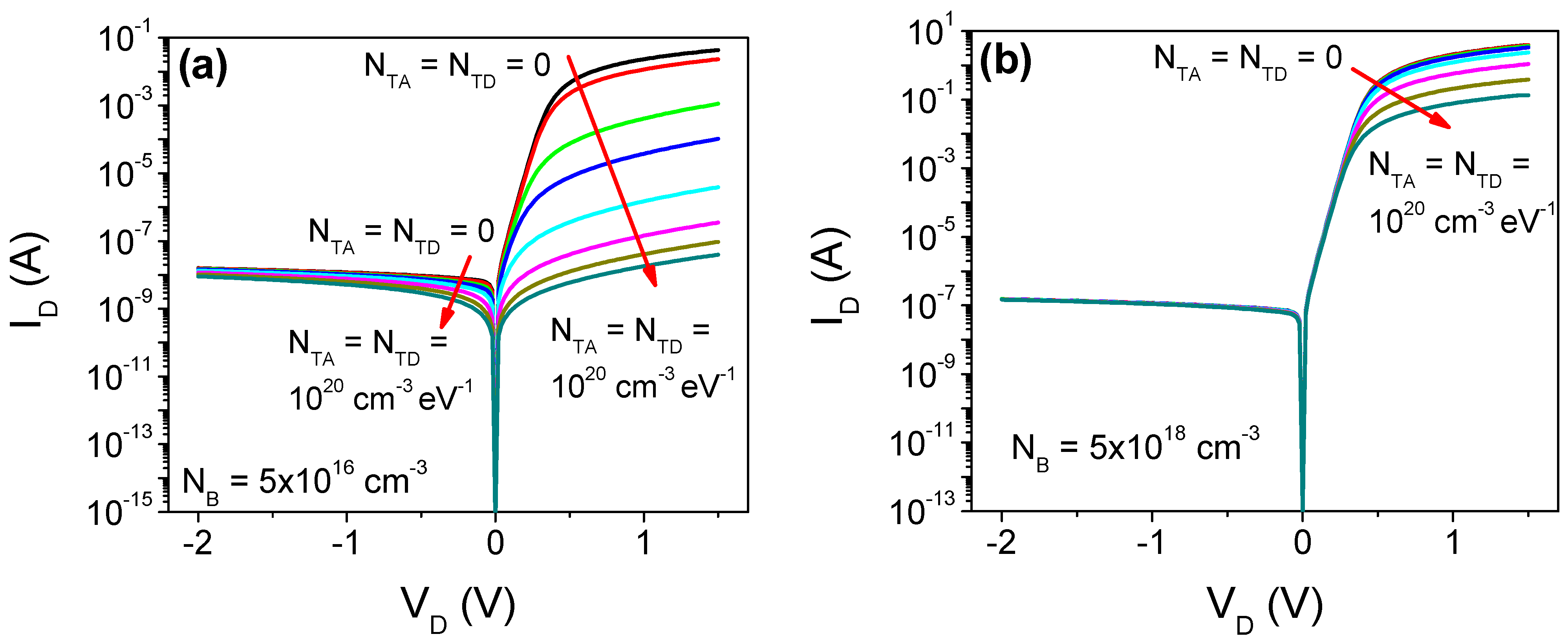
To further analyze the behavior of LTP-SBDs, finite-element numerical simulations were performed. Figure 5a,b show the I–V characteristic for devices simulated in ATLAS, for two doping concentrations and the different DOS parameters shown in Table 1. For comparison, defect-free simulated devices are included. As can be seen, the reverse current exhibits a negligible impact with the presence of DOS. Contrarily, the tail state’s presence produces an important reduction in the forward diode current. This can be explained due to the electron-trapping on the defects, which implies a reduction in the overall free carriers in the conduction band and, hence, of the device current. The impact, however, is more important for devices with relatively low free carrier concentration, which implies a highly resistive film. In such cases, ION is reduced by several orders of magnitude, which explains the typical rectification ratio experimentally achieved [4,5,6,7,8,9,10,11].
Figure 5.
I–V characteristic for the simulated SBD considering different densities of localized states for NB equal to (a) 5 × 1016 and (b) 5 × 1018 cm−3. For comparison, defect free devices (NTA = NTD = 0) are considered.
Figure 6 shows the comparison of the RR vs. the defect densities for two values of NB. As can be observed, LTP-SBDs with low quality semiconductor films (i.e., high resistivity and high defects densities) exhibit a strong RR reduction, until around one order of magnitude, which are similar to what is observed in experimental devices [4,5,6,7,8,9,10,11]. On the other hand, when the layer has a moderate or high conductivity (which implies a better film quality), the impact of the defects is reduced and the RR value is only slightly reduced, remaining several orders of magnitude as experimentally observed for high vacuum processing [12,13], even for defect densities in the range of 1020 cm−3eV−1. It can be expected that a further increase of the defect densities will produce a stronger RR reduction.
Figure 6.
Comparison of the rectification ratio (RR) vs. the defect densities, for both NB values used in the simulations.
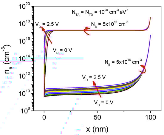
Figure 7 shows the simulated electron concentration (ne) inside the semiconductor film for both NB values vs. forward applied voltage. As can be seen, the impact of the film qualities on ne is confirmed. Moreover, it is observed that, for high resistivity films, ne is modulated by the forward bias. Contrarily, for low resistivity films, ne is constant along most of the film thickness.
Figure 7.
Comparison of the electron concentration (ne) vs. the semiconductor film position (x), for both NB values used in the simulations.
As was mentioned above, the diode can be considered as a rectangular semiconductor die. Therefore, the resistance due to a differential film thickness is defined as:
where μ is the electron mobility and A is the device area.
The total resistance, due to the semiconductor film, can be calculated integrating (16) along the film thickness (t):
Considering the electron distribution shown in Figure 7, it is possible to determine the series resistance contribution caused by the film. Figure 8 shows the calculated resistance vs. the bias applied for device with NB = 5 × 1016 cm−3 and defect densities of 1020 cm−3 eV−1. In the inset, the calculated resistance for a device with NB = 5 × 1018 cm−3 is also shown. For the case of low resistivity semiconductor film, the resistance shows an abrupt reduction at small forward bias, from about 1 MΩ to few kΩ. When bias is increased above 1 V, RS becomes almost constant. On the contrary, for a higher resistivity material with a relatively high defect density, the resistance exhibits extremely high values. At the same time, an important dependence on the applied forward voltage is observed. According to Figure 8, RS exhibits an exponential dependence on VD, which, as a first approach, can be expressed as:
where R0 is the zero bias resistance and δ can be related to the DOS.
Figure 8.
Calculated series resistance vs. forward bias, for NB of 5 × 1016 cm−3. In the inset, the corresponding plot for NB of 5 × 1018 cm−3 is shown.
Under this scenario, to better represent the behavior of the I–V curve for LTP-SBDs, the general diode equation must be modified as:
This series resistance bias dependence can explain the abnormal current density increment observed as L is reduced in Figure 1. As diode area is reduced, the resistance value is increased, and, therefore, its reduction with the applied voltage becomes more significant. Hence, beyond 0.4 V, the current density starts to increase, due to the RS reduction.
Furthermore, the bias-dependent RS would imply an important concern regarding the correct parameter extraction. In order to verify this assumption, Figure 9 shows the corresponding dVD/dln(ID) vs. ID plot, according to Equation (11) of Cheung´s method, for the simulated device shown in Figure 8. For comparison, in the inset the plot for a defect free device is shown. As can be seen, the extraction procedure can be properly applied for the defect free device getting the extracted value of η as one. On the contrary, when the high defect density is included in the simulation, the plot does not show a linear behavior at any forward bias region. This fact clearly shows that for low-cost and low-temperature processing SBDs, the film quality compromises the reliable application of the traditional extraction methods due to the bias dependence exhibited by RS. Therefore, the extracted parameters can exhibit the important variations shown in Figure 2 and Figure 3. Thus, proper extraction methodologies for low-cost and low-temperature processed SBD are of main importance to adequately understand the diode behavior.
Figure 9.
Plot of the dVD/dln(ID) vs ID, used for η and RS extraction in the Cheung extraction method.
5. Conclusions
ZnO LTP-SBDs were analyzed using a single ID–VD characteristic and four traditional extraction methodologies. The barrier height extraction shows a relatively small dispersion of about ±10%. On the other hand, the ideality factor obtained exhibits a significant dispersion with values from 2.2 to 4.1, depending on the extraction method used. Simulation results show that devices without or with low DOS, as is the case of standard SBD fabricated at higher temperatures, show high values of RR, relatively small values of RS, and are almost bias-independent at relatively high forward applied voltage. Thus, traditional parameter extraction methodologies can be properly used. On the other hand, devices fabricated using low-cost techniques (solution-processing techniques, printing strategies, etc.) at low temperatures can produce films with high tail state densities and high resistivity. Simulations showed that the combination of high DOS and low carrier concentration produces a strong impact on diode behavior, which implies an important reduction in the forward current and RR values. For these devices, the series resistance exhibits high values, as well as an exponential dependence on the forward applied voltage. Under these conditions, the traditional extraction methodologies of diode parameters are compromised, so further efforts must be made to develop adequate parameter extraction methodologies for low-cost and very low-temperature processed Schottky barrier diodes.
Author Contributions
Conceptualization, J.C.T. and A.G.M.-L.; methodology, J.C.T. and A.G.M.-L.; software, J.C.T., R.G. and M.E.; validation, S.A.H. and A.G.M.-L.; investigation, J.C.T., S.A.H., R.G. and A.G.M.-L.; resources, M.d.l.L.O., M.E. and A.G.M.-L.; writing—original draft preparation, J.C.T. and A.G.M.-L.; writing—review and editing, M.E. All authors have read and agreed to the published version of the manuscript.
Funding
This research received no external funding.
Conflicts of Interest
The authors declare no conflict of interest.
References
- Baeg, K.-J.; Lee, J. Flexible Electronic Systems on Plastic Substrates and Textiles for Smart Wearable Technologies. Adv. Mater. Technol. 2020, 5, 2000071. [Google Scholar] [CrossRef]
- Berger, P.R.; Li, M.; Mattei, R.M.; Niang, M.A.; Talisa, N.; Tripepi, M.; Harris, B.; Bhalerao, S.R.; Chowdhury, E.A.; Winter, C.H.; et al. Advancements in Solution Processable Devices using Metal Oxides For Printed Internet-of-Things Objects. In Proceedings of the IEEE Electron Devices Technology and Manufacturing Conference (EDTM), Singapore, 12–15 March 2019. [Google Scholar] [CrossRef]
- Chan, K.-Y.; Ng, Z.-N.; Au, B.W.-C.; Knipp, D. Visibly transparent metal oxide diodes prepared by solution processing. Opt. Mater. 2018, 75, 595–600. [Google Scholar] [CrossRef]
- Rouis, A.; Hizem, N.; Kalboussi, A. Electrical characterizations of Schottky diode with zinc oxide nanowires. In Proceedings of the IEEE International Conference on Design & Test of Integrated Micro & Nano-Systems (DTS), Gammarth, Tunisia, 28 April–1 May 2019. [Google Scholar] [CrossRef]
- Ahmeda, M.A.M.; Mwankemwa, B.S.; Carleschi, E.; Doyle, B.P.; Meyer, W.E.; Nel, J.M. Effect of Sm doping ZnO nanorods on structural optical and electrical properties of Schottky diodes prepared by chemical bath deposition. Mater. Sci. Semicond. Processing 2018, 79, 53–60. [Google Scholar] [CrossRef] [Green Version]
- Caglar, Y.; Caglar, M.T.; Ilican, S. XRD, SEM, XPS studies of Sb doped ZnO films and electrical properties of its based Schottky diodes. Optik 2018, 164, 424–432. [Google Scholar] [CrossRef]
- Rana, V.S.; Rajput, J.K.; Pathak, T.K.; Purohit, L.P. Cu sputtered Cu/ZnO Schottky diodes on fluorine doped tin oxide substrate for optoelectronic applications. Thin Solid Film. 2019, 679, 79–85. [Google Scholar] [CrossRef]
- Zhang, J.; Zhao, G.; Li, Y.; Ai, T.; Wu, C.; Jia, J.; Yan, F.; Wang, Y. Study on the electrical properties of nano ZnO/PET-ITO heterojunction prepared by hydrothermal method. J. Electron Spectrosc. Relat. Phenom. 2019, 235, 68–72. [Google Scholar] [CrossRef]
- Ozório, M.S.; Nascimento, M.R.; Vieira, D.H.; Nogueira, G.L.; Martin, C.S.; Lima, S.A.M.; Alves, N. AZO transparent electrodes grown in situ during the deposition of zinc acetate dihydrate onto aluminum thin film by spray pyrolysis. J. Mater. Sci. Mater. Electron. 2019, 30, 13454–13461. [Google Scholar] [CrossRef]
- Yilmaz, M.; Cirak, B.B.; Aydogan, S.; Grilli, M.L.; Biber, M. Facile electrochemical-assisted synthesis of TiO2 nanotubes and their role in Schottky barrier diode applications. Superlattices Microstruct. 2018, 113, 310–318. [Google Scholar] [CrossRef]
- Tinoco, J.C.; Hernández, S.A.; Rodrigez-Bernal, O.; Vega-Poot, A.G.; Rodriguez Gattorno, G.; de la L. Olvera, M.; Martinez-Lopez, A.G. Fabrication of Schottky Barrier Diodes based on ZnO for Flexible Electronics. J. Mater. Sci. Mater. Electron. 2020, 30, 7373–7377. [Google Scholar] [CrossRef]
- Zhang, J.; Wang, H.; Wilson, J.; Ma, X.; Jin, J.; Song, A. Room Temperature Processed Ultrahigh-Frequency Indium–Gallium–Zinc-Oxide Schottky Diode. IEEE Electron Device Lett. 2016, 37, 389–392. [Google Scholar] [CrossRef]
- Xin, Q.; Yan, L.; Du, L.; Zhang, J.; Luo, Y.; Wang, Q.; Song, A. Influence of sputtering conditions on room-temperature fabricated InGaZnO-based Schottky diodes. Thin Solid Film. 2016, 616, 569–572. [Google Scholar] [CrossRef]
- ATLAS User’s Manual; SILVACO Inc.: Santa Clara, CA, USA, 2020.
- Norde, H. A modified forward I–V plot for Schottky diodes with high series resistance. J. Appl. Phys. 1979, 50, 5052–5053. [Google Scholar] [CrossRef]
- Bohlin, K.E. Generalized Norde plot including determination of the ideality factor. J. Appl. Phys. 1986, 60, 1223–1224. [Google Scholar] [CrossRef]
- Cheung, S.K.; Cheung, N.W. Extraction of Schottky diode parameters from forward current-voltage characteristics. Appl. Phys. Lett 1989, 49, 85–87. [Google Scholar] [CrossRef]
- Ortiz-Conde, A.; García-Sánchez, F.J. A new approach to the extraction of single exponential diode model parameters. Solid State Electron. 2018, 144, 33–38. [Google Scholar] [CrossRef]
Publisher’s Note: MDPI stays neutral with regard to jurisdictional claims in published maps and institutional affiliations. |
© 2022 by the authors. Licensee MDPI, Basel, Switzerland. This article is an open access article distributed under the terms and conditions of the Creative Commons Attribution (CC BY) license (https://creativecommons.org/licenses/by/4.0/).








