Two-Degree-of-Freedom Piezoelectric Energy Harvesting from Vortex-Induced Vibration
Abstract
1. Introduction
2. Wake Oscillator Model for VIVPEH
2.1. 1DOF VIVPEH
2.2. 2DOF VIVPEH
3. Numerical Simulations
3.1. Numerical Method
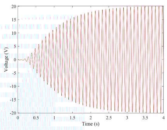
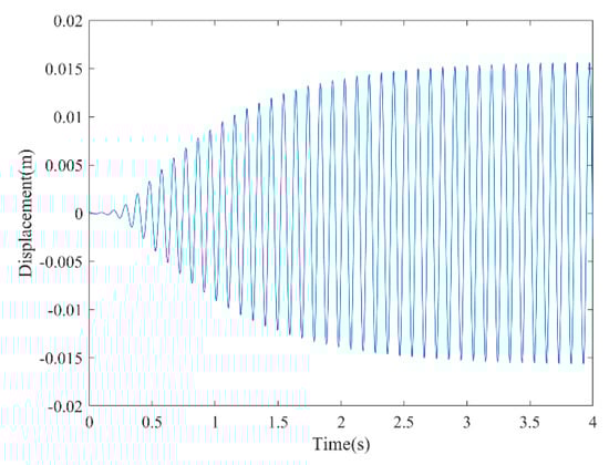
3.2. Preliminary Numerical Results
3.3. Aerodynamic Characteristics
4. Parametric Study
4.1. Effects of Circuit Parameters
4.2. Effect of Mechanical Parameters
5. Conclusions
- (1)
- The 2DOF VIVPEH has two “lock-in” regions, which is beneficial for broadband wind energy harvesting. In general, the bandwidth of region I is smaller than that of region II. Region I and region II correspond to the first- and second-order resonances, respectively.
- (2)
- The optimal load resistance corresponding to the maximum output power is almost the same within the same lock-in region. However, the optimal load resistance corresponding to region II is smaller than that corresponding to region I. This is because different vibration modes are activated in the different lock-in regions.
- (3)
- To reduce the cut-in wind speed, one can increase m1 and m2. However, considering the voltage output within the lock-in regions, m1 and m2 cannot be arbitrarily tuned. Regarding c1 and c2, they should be reduced as much as possible to decrease the cut-in wind speed and enhance the voltage output. Certain environmental factors should be taken into account in selecting k1 and k2. For example, when the ambient wind speed is low (2 m/s), one can select a relatively large k2. When the ambient wind speed is high (5 m/s), it is suggested to increase k1 properly.
Author Contributions
Funding
Conflicts of Interest
References
- Zhao, L.; Zou, H.; Yan, G.; Liu, F.; Tan, T.; Wei, K.; Zhang, W. Magnetic coupling and flextensional amplification mechanisms for high-robustness ambient wind energy harvesting. Energy Energy Energy Energy Convers. Manag. 2019, 201, 112166. [Google Scholar] [CrossRef]
- Fang, S.; Zhou, S.; Yurchenko, D.; Yang, T.; Liao, W. Multistability phenomenon in signal processing, energy harvesting, composite structures, and metamaterials: A review. Mech. Syst. Signal Process. 2022, 166, 108419. [Google Scholar] [CrossRef]
- Li, Z.; Peng, X.; Hu, G.; Zhang, D.; Xu, Z.; Peng, Y.; Xie, S. Towards real-time self-powered sensing with ample redundant charges by a piezostack-based frequency-converted generator from human motions. Energy Convers. Manag. 2022, 258, 115466. [Google Scholar] [CrossRef]
- Zhu, H.; Yao, J. Numerical evaluation of passive control of VIV by small control rods. Appl. Ocean. Res. 2015, 51, 93–116. [Google Scholar] [CrossRef]
- Yang, K.; Wang, J.; Yurchenko, D. A double-beam piezo-magneto-elastic wind energy harvester for improving the galloping-based energy harvesting. Appl. Phys. Lett. 2019, 115, 19390119. [Google Scholar] [CrossRef]
- Barrero-Gil, A.; Alonso, G.; Sanz-Andres, A. Energy harvesting from transverse galloping. J. Sound Vib. 2010, 329, 2873–2883. [Google Scholar] [CrossRef]
- Tang, L.; Zhao, L.; Yang, Y.; Lefeuvre, E. Equivalent Circuit Representation and Analysis of Galloping-Based Wind Energy Harvesting. IEEE-Asme Trans. Mechatron. 2015, 20, 834–844. [Google Scholar] [CrossRef]
- Aquino, A.I.; Calautit, J.K.; Hughes, B.R. Evaluation of the integration of the Wind-Induced Flutter Energy Harvester (WIFEH) into the built environment: Experimental and numerical analysis. Appl. Energy 2017, 207, 61–77. [Google Scholar] [CrossRef]
- Liu, F.; Zhang, W.; Zhao, L.; Zou, H.; Tan, T.; Peng, Z.; Meng, G. Performance enhancement of wind energy harvester utilizing wake flow induced by double upstream flat-plates. Appl. Energy 2020, 257, 114034. [Google Scholar] [CrossRef]
- Hu, G.; Wang, J.; Su, Z.; Li, G.; Peng, H.; Kwok, K.C.S. Performance evaluation of twin piezoelectric wind energy harvesters under mutual interference. Appl. Phys. Lett. 2019, 115, 0739017. [Google Scholar] [CrossRef]
- Wang, J.; Gu, S.; Zhang, C.; Hu, G.; Chen, G.; Yang, K.; Li, H.; Lai, Y.; Litak, G.; Yurchenko, D. Hybrid wind energy scavenging by coupling vortex-induced vibrations and galloping. Energy Convers. Manag. 2020, 213, 112835. [Google Scholar] [CrossRef]
- Dai, H.L.; Abdelkefi, A.; Wang, L. Piezoelectric energy harvesting from concurrent vortex-induced vibrations and base excitations. Nonlinear Dyn. 2014, 77, 967–981. [Google Scholar] [CrossRef]
- Taylor, G.W.; Burns, J.R.; Kammann, S.M.; Powers, W.B.; Welsh, T.R. The energy harvesting eel: A small subsurface ocean/river power generator. IEEE J. Ocean. Eng. 2001, 26, 539–547. [Google Scholar] [CrossRef]
- Song, R.; Shan, X.; Lv, F.; Xie, T. A study of vortex-induced energy harvesting from water using PZT piezoelectric cantilever with cylindrical extension. Ceram. Int. 2015, 411, S768–S773. [Google Scholar] [CrossRef]
- Wang, J.; Tang, L.; Zhao, L.; Hu, G.; Song, R.; Xu, K. Equivalent circuit representation of a vortex-induced vibration-based energy harvester using a semi-empirical lumped parameter approach. Int. J. Energy Res. 2020, 44, 4516–4528. [Google Scholar] [CrossRef]
- Ehsan, F.; Scanlan, R.H. Vortex-induced vibrations of flexible bridges. J. Eng. Mech.-ASCE 1990, 116, 1392–1411. [Google Scholar] [CrossRef]
- Dai, H.L.; Abdelkefi, A.; Wang, L. Theoretical modeling and nonlinear analysis of piezoelectric energy harvesting from vortex-induced vibrations. J. Intell. Mater. Syst. Struct. 2014, 25, 1861–1874. [Google Scholar] [CrossRef]
- Azadeh-Ranjbar, V.; Elvin, N.; Andreopoulos, Y. Vortex-induced vibration of finite-length circular cylinders with spanwise free-ends: Broadening the lock-in envelope. Phys. Fluids 2018, 30, 10510410. [Google Scholar] [CrossRef]
- Lan, C.; Tang, L.; Harne, R.L. Comparative methods to assess harmonic response of nonlinear piezoelectric energy harvesters interfaced with AC and DC circuits. J. Sound Vib. 2018, 421, 61–78. [Google Scholar] [CrossRef]
- Lan, C.; Tang, L.; Hu, G.; Qin, W. Dynamics and performance of a two degree-of-freedom galloping-based piezoelectric energy harvester. Smart Mater. Struct. 2019, 28, 0450184. [Google Scholar] [CrossRef]
- Tang, L.; Yang, Y. A nonlinear piezoelectric energy harvester with magnetic oscillator. Appl. Phys. Lett. 2012, 101, 0941029. [Google Scholar] [CrossRef]
- Wu, H.; Tang, L.; Yang, Y.; Soh, C.K. Development of a broadband nonlinear two-degree-of-freedom piezoelectric energy harvester. J. Intell. Mater. Syst. Struct. 2014, 25, 1875–1889. [Google Scholar] [CrossRef]
- Su, W.; Zu, J.; Zhu, Y. Design and development of a broadband magnet-induced dual-cantilever piezoelectric energy harvester. J. Intell. Mater. Syst. Struct. 2014, 25, 430–442. [Google Scholar] [CrossRef]
- Zhao, L.; Tang, L.; Yang, Y. Enhanced piezoelectric galloping energy harvesting using 2 degree-of- freedom cut-out cantilever with magnetic interaction. Jpn. J. Appl. Phys. 2014, 53, 0603026. [Google Scholar] [CrossRef]
- Hu, G.; Wang, J.; Qiao, H.; Zhao, L.; Li, Z.; Tang, L. An experimental study of a two-degree-of-freedom galloping energy harvester. Int. J. Energy Res. 2021, 45, 3365–3374. [Google Scholar] [CrossRef]
- Hu, G.; Wang, J.; Tang, L. A comb-like beam based piezoelectric system for galloping energy harvesting. Mech. Syst. Signal Process. 2021, 150, 107301. [Google Scholar] [CrossRef]
- Erturk, A.; Inman, D.J. Issues in mathematical modeling of piezoelectric energy harvesters. Smart Mater. Struct. 2008, 17, 0650166. [Google Scholar] [CrossRef]
- Wang, J.; Sun, S.; Tang, L.; Hu, G.; Liang, J. On the use of metasurface for Vortex-Induced vibration suppression or energy harvesting. Energy Convers. Manag. 2021, 235, 113991. [Google Scholar] [CrossRef]
- Blevins, R.D. Flow-Induced Vibrations; Van Nostrand Reinhold: New York, NY, USA, 1990. [Google Scholar]
- Krenk, S.; Nielsen, S. Energy balanced double oscillator model for vortex-induced vibrations. J. Eng. Mech.-ASCE 1999, 125, 263–271. [Google Scholar] [CrossRef]
- Facchinetti, M.L.; de Langre, E.; Biolley, F. Coupling of structure and wake oscillators in vortex-induced vibrations. J. Fluids Struct. 2004, 19, 123–140. [Google Scholar] [CrossRef]
- Lan, C.; Liao, Y.; Hu, G. A unified equivalent circuit and impedance analysis method for galloping piezoelectric energy harvesters. Mech. Syst. Signal Process. 2022, 165, 108339. [Google Scholar] [CrossRef]
- Hu, G.; Lan, C.; Tang, L.; Zhou, B.; Yang, Y. Dynamics and power limit analysis of a galloping piezoelectric energy harvester under forced excitation. Mech. Syst. Signal Process. 2022, 168, 108724. [Google Scholar] [CrossRef]
























| Mechanical Parameters | Aerodynamic Parameters | ||
|---|---|---|---|
| Effective mass m1 (g) | 10 | Air density, ρ (kg × m−3) | 1.204 |
| Effective mass m2 (g) | 7.5 | Bluff body height, L (m) | 0.203 |
| Effective stiffness k1 (N × m−1) | 21.985 | Cross flow dimension, D (m) | 0.0396 |
| Effective stiffness k2 (N × m−1) | 12.15 | Amplitude of the fluctuating lift force coefficient, CL0 | 0.3 |
| Effective damping c1 (N × s/m) | 0.0041 | ||
| Effective damping c2 (N × s/m) | 0.0026 | Mean drag coefficient, CD | 2 |
| Electromechanical coupling θ (μN × V−1) | 39.657 | Modal constants, λ | 0.3 |
| Capacitance, Cp (nF) | 30.78 | Modal constants, A | 12 |
| Resistive load, RL (MΩ) | 1 | — | — |
| Wind Speed | RMS Voltage | Wind Speed | RMS Voltage |
|---|---|---|---|
| (m/s) | (V) | (m/s) | (V) |
| 1.565 | 0.663 | 1.566 | 8.511 |
| 2.015 | 14.038 | 2.016 | 0.563 |
| 3.108 | 1.069 | 3.109 | 7.422 |
| 5.000 | 16.023 | 5.001 | 0.6627 |
Publisher’s Note: MDPI stays neutral with regard to jurisdictional claims in published maps and institutional affiliations. |
© 2022 by the authors. Licensee MDPI, Basel, Switzerland. This article is an open access article distributed under the terms and conditions of the Creative Commons Attribution (CC BY) license (https://creativecommons.org/licenses/by/4.0/).
Share and Cite
Lu, D.; Li, Z.; Hu, G.; Zhou, B.; Yang, Y.; Zhang, G. Two-Degree-of-Freedom Piezoelectric Energy Harvesting from Vortex-Induced Vibration. Micromachines 2022, 13, 1936. https://doi.org/10.3390/mi13111936
Lu D, Li Z, Hu G, Zhou B, Yang Y, Zhang G. Two-Degree-of-Freedom Piezoelectric Energy Harvesting from Vortex-Induced Vibration. Micromachines. 2022; 13(11):1936. https://doi.org/10.3390/mi13111936
Chicago/Turabian StyleLu, De, Zhiqing Li, Guobiao Hu, Bo Zhou, Yaowen Yang, and Guiyong Zhang. 2022. "Two-Degree-of-Freedom Piezoelectric Energy Harvesting from Vortex-Induced Vibration" Micromachines 13, no. 11: 1936. https://doi.org/10.3390/mi13111936
APA StyleLu, D., Li, Z., Hu, G., Zhou, B., Yang, Y., & Zhang, G. (2022). Two-Degree-of-Freedom Piezoelectric Energy Harvesting from Vortex-Induced Vibration. Micromachines, 13(11), 1936. https://doi.org/10.3390/mi13111936

