Mycotoxins’ Prevalence in Food Industry By-Products: A Systematic Review
Abstract
1. Introduction
2. Results
2.1. Literature Search Process
2.2. Mycotoxins’ Prevalence in By-Products
2.2.1. Distiller Dried Grain with Solubles (DDGS)
2.2.2. Brewer’s Spent Grain (BSG) and Yeast (BSY)
2.2.3. Cocoa Shell (CS)
2.2.4. Grape Pomace (GP)
2.2.5. Sugar Beet Pulp (SBP)
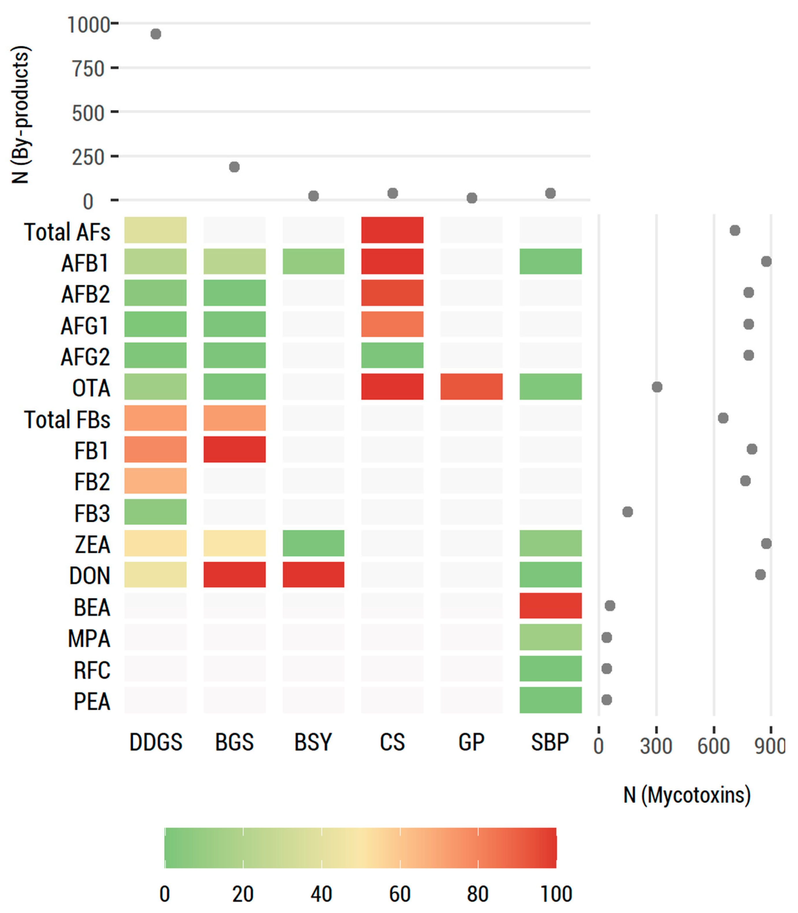
3. Global Data Analysis
4. Conclusions
5. Materials and Methods
5.1. Search Strategy
5.2. Exclusion Criteria and Results Obtained
5.3. Data Processing
Author Contributions
Funding
Institutional Review Board Statement
Informed Consent Statement
Data Availability Statement
Acknowledgments
Conflicts of Interest
Abbreviations
References
- Sandström, V.; Chrysafi, A.; Lamminen, M.; Troell, M.; Jalava, M.; Piipponen, J.; Siebert, S.; van Hal, O.; Virkki, V.; Kummu, M. Food System By-Products Upcycled in Livestock and Aquaculture Feeds Can Increase Global Food Supply. Nat. Food 2022, 3, 729–740. [Google Scholar] [CrossRef]
- De Corato, U.; De Bari, I.; Viola, E.; Pugliese, M. Assessing the main opportunities of integrated biorefining from agro-bioenergy co/by-products and agroindustrial residues into high-value added products associated to some emerging markets: A review. Renew. Sustain. Energy Rev. 2018, 88, 326–346. [Google Scholar] [CrossRef]
- Torres-León, C.; Ramírez-Guzman, N.; Londoño-Hernandez, L.; Martinez-Medina, G.A.; Díaz-Herrera, R.; Navarro-Macias, V.; Alvarez-Pérez, O.B.; Picazo, B.; Villarreal-Vázquez, M.; Ascacio-Valdes, J.; et al. Food Waste and Byproducts: An Opportunity to Minimize Malnutrition and Hunger in Developing Countries. Front. Sustain. Food Syst. 2018, 2, 52. [Google Scholar] [CrossRef]
- De Corato, U.; Viola, E. Biofuel co-products for livestock feed. In Agricultural Bioeconomy—Innovation and Foresight in the Post-COVID Era, 1st ed.; Academic Press: New York, NY, USA; Elsevier Inc.: Philadelphia, PA, USA, 2023; Chapter 13; pp. 245–286. [Google Scholar] [CrossRef]
- Peixoto, A.M.; Petronilho, S.; Domingues, M.R.; Nunes, F.M.; Lopes, J.; Pettersen, M.K.; Grøvlen, M.S.; Wetterhus, E.M.; Gonçalves, I.; Coimbra, M.A. Potato chips byproducts as feedstocks for developing active starch-based films with potential for cheese packaging. Foods 2023, 12, 1167. [Google Scholar] [CrossRef]
- Marroquín-Cardona, A.G.; Johnson, N.M.; Phillips, T.D.; Hayes, A.W. Mycotoxins in a Changing Global Environment—A Review. Food Chem. Toxicol. 2014, 69, 220–230. [Google Scholar] [CrossRef]
- Tola, M.; Kebede, B. Occurrence, Importance and Control of Mycotoxins: A Review. Cogent Food Agric. 2016, 2, 1191103. [Google Scholar] [CrossRef]
- Salvatore, M.M.; Andolfi, A.; Nicoletti, R. Mycotoxin Contamination in Hazelnut: Current Status, Analytical Strategies, and Future Prospects. Toxins 2023, 15, 99. [Google Scholar] [CrossRef]
- Groopman, J.D.; Kensler, T.W.; Wu, F. Food Safety: Mycotoxins—Occurrence and Toxic Effects. Encycl. Hum. Nutr. 2013, 2–4, 337–341. [Google Scholar] [CrossRef]
- Bui-Klimke, T.R.; Wu, F. Ochratoxin A and Human Health Risk: A Review of the Evidence. Crit. Rev. Food Sci. Nutr. 2015, 55, 1860–1869. [Google Scholar] [CrossRef]
- Gruber-Dorninger, C.; Novak, B.; Nagl, V.; Berthiller, F. Emerging Mycotoxins: Beyond Traditionally Determined Food Contaminants. J. Agric. Food Chem. 2017, 65, 7052–7070. [Google Scholar] [CrossRef]
- Mandappa, I.M.; Basavaraj, K.; Manonmani, H.K. Analysis of Mycotoxins in Fruit Juices. In Fruit Juices: Extraction, Composition, Quality and Analysis; Academic Press: New York, NY, USA, 2018; pp. 763–777. [Google Scholar] [CrossRef]
- Comission Regulation (EC) EUR-Lex—32006R1881—Setting Maximum Levels for Certain Contaminants in Foodstuffs No 1881/2006 of 19 December 2006. Available online: https://eur-lex.europa.eu/legal-content/EN/ALL/?uri=CELEX%3A32006R1881 (accessed on 15 February 2023).
- Abudabos, A.M.; Al-Atiyat, R.M.; Khan, R.U. A Survey of Mycotoxin Contamination and Chemical Composition of Distiller’s Dried Grains with Solubles (DDGS) Imported from the USA into Saudi Arabia. Environ. Sci. Pollut. Res. 2017, 24, 15401–15405. [Google Scholar] [CrossRef] [PubMed]
- Copetti, M.V.; Iamanaka, B.T.; Pereira, J.L.; Lemes, D.P.; Nakano, F.; Taniwaki, M.H. Determination of Aflatoxins in By-Products of Industrial Processing of Cocoa Beans. Food Addit. Contam. Part A 2012, 29, 972–978. [Google Scholar] [CrossRef] [PubMed]
- Copetti, M.V.; Iamanaka, B.T.; Nester, M.A.; Efraim, P.; Taniwaki, M.H. Occurrence of Ochratoxin A in Cocoa By-Products and Determination of Its Reduction during Chocolate Manufacture. Food Chem. 2013, 136, 100–104. [Google Scholar] [CrossRef] [PubMed]
- Pires, N.A.; Gonçalves De Oliveira, M.L.; Gonçalves, J.A.; Faria, A.F. Multiclass Analytical Method for Pesticide and Mycotoxin Analysis in Malt, Brewers’ Spent Grain, and Beer: Development, Validation, and Application. J. Agric. Food Chem. 2021, 69, 4533–4541. [Google Scholar] [CrossRef]
- Piacentini, K.C.; Bĕláková, S.; Benešová, K.; Pernica, M.; Savi, G.D.; Rocha, L.O.; Hartman, I.; Čáslavský, J.; Corrêa, B. Fusarium Mycotoxins Stability during the Malting and Brewing Processes. Toxins 2019, 11, 257. [Google Scholar] [CrossRef]
- Tansakul, N.; Jala, P.; Laopiem, S.; Tangmunkhong, P.; Limsuwan, S. Co-Occurrence of Five Fusarium Toxins in Corn-Dried Distiller’s Grains with Solubles in Thailand and Comparison of ELISA and LC-MS/MS for Fumonisin Analysis. Mycotoxin Res. 2013, 29, 255–260. [Google Scholar] [CrossRef]
- Mallmann, C.A.; Simões, C.T.; Vidal, J.K.; da Silva, C.R.; de Lima Schlösser, L.M.; Araújo de Almeida, C.A. Occurrence and Concentration of Mycotoxins in Maize Dried Distillers’ Grains Produced in Brazil. World Mycotoxin J. 2021, 14, 259–268. [Google Scholar] [CrossRef]
- Lee, K.M.; Herrman, T.J.; Post, L. Evaluation of Selected Nutrients and Contaminants in Distillers Grains from Ethanol Production in Texas. J. Food Prot. 2016, 79, 1562–1571. [Google Scholar] [CrossRef] [PubMed]
- Batatinha, M.J.M.; Simas, M.M.S.; Botura, M.B.; Bitencourt, T.C.; Reis, T.A.; Correa, B. Fumonisins in Brewers Grain (Barley) Used as Dairy Cattle Feed in the State of Bahia, Brazil. Food Control 2007, 18, 608–612. [Google Scholar] [CrossRef]
- Benešová, K.; Běláková, S.; Mikulíková, R.; Svoboda, Z. Monitoring of Selected Aflatoxins in Brewing Materials and Beer by Liquid Chromatography/Mass Spectrometry. Food Control 2012, 25, 626–630. [Google Scholar] [CrossRef]
- Gerbaldo, G.A.; Pereyra, C.M.; Cavaglieri, L.R.; Ruiz, F.; Pascual, L.; Dalcero, A.M.; Barberis, I.L. Surveillance of Aflatoxin and Microbiota Related to Brewer’s Grain Destined for Swine Feed in Argentina. Vet. Med. Int. 2011, 2011, 912480. [Google Scholar] [CrossRef] [PubMed]
- Ribeiro, E.; Alves, A. Comparative Study of Screening Methodologies for Ochratoxin A Detection in Winery By-Products. Anal. Bioanal. Chem. 2008, 391, 1443–1450. [Google Scholar] [CrossRef]
- Rodrigues, I.; Chin, L.J. A Comprehensive Survey on the Occurrence of Mycotoxins in Maize Dried Distillers’ Grain and Solubles Sourced Worldwide. World Mycotoxin J. 2012, 5, 83–88. [Google Scholar] [CrossRef]
- Boudra, H.; Rouillé, B.; Lyan, B.; Morgavi, D.P. Presence of Mycotoxins in Sugar Beet Pulp Silage Collected in France. Anim. Feed Sci. Technol. 2015, 205, 131–135. [Google Scholar] [CrossRef]
- Asurmendi, P.; Barberis, C.; Dalcero, A.; Pascual, L.; Barberis, L. Survey of Aspergillus Section Flavi and Aflatoxin B1 in Brewer’s Grain Used as Pig Feedstuff in Córdoba, Argentina. Mycotoxin Res. 2013, 29, 3–7. [Google Scholar] [CrossRef] [PubMed]
- Gonzalez Pereyra, M.L.; Rosa, C.A.R.; Dalcero, A.M.; Cavaglieri, L.R. Mycobiota and Mycotoxins in Malted Barley and Brewer’s Spent Grain from Argentinean Breweries. Lett. Appl. Microbiol. 2011, 53, 649–655. [Google Scholar] [CrossRef] [PubMed]
- Popp, J.; Harangi-Rákos, M.; Gabnai, Z.; Balogh, P.; Antal, G.; Bai, A. Biofuels and Their Co-Products as Livestock Feed: Global Economic and Environmental Implications. Molecules 2016, 21, 285. [Google Scholar] [CrossRef]
- Liu, K. Chemical Composition of Distillers Grains, a Review. J. Agric. Food Chem. 2011, 59, 1508–1526. [Google Scholar] [CrossRef]
- Ikram, S.; Huang, L.Y.; Zhang, H.; Wang, J.; Yin, M. Composition and Nutrient Value Proposition of Brewers Spent Grain. J. Food Sci. 2017, 82, 2232–2242. [Google Scholar] [CrossRef]
- Lynch, K.M.; Steffen, E.J.; Arendt, E.K. Brewers’ Spent Grain: A Review with an Emphasis on Food and Health. J. Inst. Brew. 2016, 122, 553–568. [Google Scholar] [CrossRef]
- Vieira, E.; Cunha, S.C.; Ferreira, I.M.P.L.V.O. Characterization of a Potential Bioactive Food Ingredient from Inner Cellular Content of Brewer’s Spent Yeast. Waste Biomass Valoriz. 2019, 10, 3235–3242. [Google Scholar] [CrossRef]
- Paul, S.D.; Jeanne, M.H. Chemico-Physical Aspects of Chocolate Processing—A Review. Can. Inst. Food Sci. Technol. J. 1981, 14, 269–282. [Google Scholar] [CrossRef]
- Okiyama, D.C.G.; Navarro, S.L.B.; Rodrigues, C.E.C. Cocoa Shell and Its Compounds: Applications in the Food Industry. Trends Food Sci. Technol. 2017, 63, 103–112. [Google Scholar] [CrossRef]
- Panak Balentić, J.; Ačkar, Đ.; Jokić, S.; Jozinović, A.; Babić, J.; Miličević, B.; Šubarić, D.; Pavlović, N. Cocoa Shell: A By-Product with Great Potential for Wide Application. Molecules 2018, 23, 1404. [Google Scholar] [CrossRef] [PubMed]
- Izurieta, W.P.; Komitopoulou, E. Effect of Moisture on Salmonella spp. Heat Resistance in Cocoa and Hazelnut Shells. Food Res. Int. 2012, 45, 1087–1092. [Google Scholar] [CrossRef]
- Agus, B.A.P.; Mohamad, N.N.; Hussain, N. Composition of Unfermented, Unroasted, Roasted Cocoa Beans and Cocoa Shells from Peninsular Malaysia. J. Food Meas. Charact. 2018, 12, 2581–2589. [Google Scholar] [CrossRef]
- Antonić, B.; Jančíková, S.; Dordević, D.; Tremlová, B. Grape Pomace Valorization: A Systematic Review and Meta-Analysis. Foods 2020, 9, 1627. [Google Scholar] [CrossRef]
- Vashisth, T.; Singh, R.K.; Pegg, R.B. Effects of Drying on the Phenolics Content and Antioxidant Activity of Muscadine Pomace. LWT 2011, 44, 1649–1657. [Google Scholar] [CrossRef]
- Drosou, C.; Kyriakopoulou, K.; Bimpilas, A.; Tsimogiannis, D.; Krokida, M. A Comparative Study on Different Extraction Techniques to Recover Red Grape Pomace Polyphenols from Vinification Byproducts. Ind. Crops Prod. 2015, 75, 141–149. [Google Scholar] [CrossRef]
- Monrad, J.K.; Srinivas, K.; Howard, L.R.; King, J.W. Design and Optimization of a Semicontinuous Hot-Cold Extraction of Polyphenols from Grape Pomace. J. Agric. Food Chem. 2012, 60, 5571–5582. [Google Scholar] [CrossRef]
- Goula, A.M.; Thymiatis, K.; Kaderides, K. Valorization of Grape Pomace: Drying Behavior and Ultrasound Extraction of Phenolics. Food Bioprod. Process. 2016, 100, 132–144. [Google Scholar] [CrossRef]
- Zheng, Y.; Lee, C.; Yu, C.; Cheng, Y.S.; Zhang, R.; Jenkins, B.M.; VanderGheynst, J.S. Dilute Acid Pretreatment and Fermentation of Sugar Beet Pulp to Ethanol. Appl. Energy 2013, 105, 1–7. [Google Scholar] [CrossRef]
- Usmani, Z.; Sharma, M.; Diwan, D.; Tripathi, M.; Whale, E.; Jayakody, L.N.; Moreau, B.; Thakur, V.K.; Tuohy, M.; Gupta, V.K. Valorization of Sugar Beet Pulp to Value-Added Products: A Review. Bioresour. Technol. 2022, 346, 126580. [Google Scholar] [CrossRef] [PubMed]
- Ptak, M.; Skowrońska, A.; Pińkowska, H.; Krzywonos, M. Sugar Beet Pulp in the Context of Developing the Concept of Circular Bioeconomy. Energies 2021, 15, 175. [Google Scholar] [CrossRef]
- Foster, B.L.; Dale, B.E.; Doran-Peterson, J.B. Enzymatic Hydrolysis of Sugar Beet Pulp 269 Enzymatic Hydrolysis of Ammonia-Treated Sugar Beet Pulp; Humana Press: Totowa, NJ, USA, 2001; Volume 91. [Google Scholar]
- Habeeb, A.A.M.; Gad, A.E.; El-Tarabany, A.A.; Mustafa, M.M.; Atta, M.A.A. Using of Sugar Beet Pulp By-Product in Farm Animals Feeding. Int. J. Sci. Res. Sci. Technol. 2017, 3, 107–120. [Google Scholar]
- Barter, R.L.; Yu, B. Superheat: An R Package for Creating Beautiful and Extendable Heatmaps for Visualizing Complex Data. J. Comput. Graph. Stat. 2018, 27, 910–922. [Google Scholar] [CrossRef]




| Mycotoxin | n | % Positive | Maximum (μg/kg) | Average (μg/kg) | Reference |
|---|---|---|---|---|---|
| AF Total | 150 | 14.0 | 11.3 | 6.3 | [14] |
| 148 | 81.1 | 61.0 | 3.4 | [21] | |
| 393 | 19.0 | 89.0 | 2.0 | [26] | |
| AFB1 | 150 | 14.0 | 9.9 | 5.8 | [14] |
| 176 | 32.3 | 7.9 | 1.5 | [20] | |
| 393 | 18.0 | 89.0 | 1.0 | [26] | |
| AFB2 | 150 | 6.0 | 0.6 | 0.5 | [14] |
| 176 | 3.4 | - | 0.1 | [20] | |
| 393 | 5.0 | 19.0 | 0 | [26] | |
| AFG1 | 150 | 2.7 | 0.7 | 0.5 | [14] |
| 176 | 0 | - | - | [20] | |
| 393 | 1.0 | 3.0 | 0 | [26] | |
| AFG2 | 150 | 4.0 | 1.1 | 0.8 | [14] |
| 176 | 0 | - | - | [20] | |
| 393 | 0 | 0 | 0 | [26] | |
| OTA | 47 | 0 | 0 | - | [20] |
| 173 | 25.0 | 68.0 | 2.0 | [26] | |
| Total FBs | 150 | 25.3 | 2.2 | 1..0 | [14] |
| 31 | 100.0 | 5.0 | 0.7 | [21] | |
| 390 | 91.0 | 9042.0 | 1036.0 | [26] | |
| FB1 | 150 | 25.3 | 3.6 | 1.6 | [14] |
| 59 | 98.3 | 143,000.0 | 9080.0 | [19] | |
| 168 | 98.8 | - | 3207.0 | [20] | |
| 390 | 91.0 | 9042.0 | 892.0 | [26] | |
| FB2 | 150 | 23.3 | 2.1 | 0.6 | [14] |
| 59 | 98.3 | 125,000.0 | 5950.0 | [19] | |
| 168 | 97.8 | - | 1243.0 | [20] | |
| 390 | 44.0 | 2626.0 | 144.0 | [26] | |
| FB3 | 150 | 6.0 | 0.7 | 0.4 | [14] |
| DON | 150 | 28.7 | 8.1 | 3.0 | [14] |
| 59 | 49.2 | 6750.0 | 1160.0 | [19] | |
| 168 | 12.9 | - | 59.6 | [20] | |
| 409 | 77.0 | 24,269.0 | 1755.0 | [26] | |
| ZEA | 150 | 34.7 | 501.0 | 167.6 | [14] |
| 59 | 81.4 | 14,990.0 | 910.0 | [19] | |
| 168 | 18.0 | - | 18.2 | [20] | |
| 405 | 85.0 | 10,374.0 | 227.0 | [26] | |
| BEA | 59 | 98.3 | 4220.0 | 350.0 | [19] |
| By-Product | Mycotoxin | n | % Positive | Maximum (µg/kg) | Average (µg/kg) | Reference |
|---|---|---|---|---|---|---|
| BSG | AFB1 | 12 | 8.3 | 0.4 | 0.03 | [23] |
| 26 | 57.0 | 26.9 | 11.8 | [24] | ||
| 16 | 31.3 | 50.4 | - | [28] | ||
| 33 | 18.0 | 44.5 | 19.0 | [29] | ||
| AFB2 | 12 | 0 | 0 | 0 | [23] | |
| 33 | 0 | 0 | 0 | [29] | ||
| AFG1 | 12 | 0 | 0 | 0 | [23] | |
| 33 | 0 | 0 | 0 | [29] | ||
| AFG2 | 12 | 0 | 0 | 0 | [23] | |
| 33 | 0 | 0 | 0 | [29] | ||
| OTA | 11 | 0 | 0 | - | [17] | |
| Total FBs | 80 | 72.5 | - | 227.0 | [22] | |
| FB1 | 33 | 100.0 | 145.0 | 124.5 | [29] | |
| DON | 10 | 100.0 | 1068.0 | - | [18] | |
| ZEA | 33 | 0 | 0 | 0 | [29] | |
| 10 | 100.0 | 1429.0 | - | [18] | ||
| BSY | AFB1 | 12 | 8.3 | 0.2 | 0.02 | [23] |
| DON | 10 | 100.0 | 241.0 | 166.0 | [18] | |
| ZEA | 10 | 0 | 0 | 0 | [18] |
| By-Product | Mycotoxin | n | % Positive | Maximum (μg/kg) | Average (μg/kg) | Reference |
|---|---|---|---|---|---|---|
| CS | AFs Total | 19 | 100.0 | 1.4 | 0.3 | [15] |
| AFB1 | 100.0 | 0.8 | 0.2 | |||
| AFB2 | 95.0 | 0.02 | 0.01 | |||
| AFG1 | 84.0 | 0.4 | 0.1 | |||
| AFG2 | 0 | 0.06 | 0.02 | |||
| OTA | 19 | 100.0 | 2.0 | 1.1 | [16] | |
| GP | OTA | 13 | 92.3 | 0.1 | 0.07 | [25] |
| SBP | AFB1 | 40 | 0 | 0 | 0 | [27] |
| OTA | 2.5 | 15.0 | 0.4 | |||
| DON | 0 | 0 | 0 | |||
| ZEA | 7.5 | 6916.0 | 71.0 | |||
| PTL | 0 | 0 | 0 | |||
| MPA | 12.5 | 1436.0 | 320.0 | |||
| RFC | 0 | 0 | 0 | |||
| GLT | 0 | 0 | 0 | |||
| PEA | 0 | 0 | 0 |
Disclaimer/Publisher’s Note: The statements, opinions and data contained in all publications are solely those of the individual author(s) and contributor(s) and not of MDPI and/or the editor(s). MDPI and/or the editor(s) disclaim responsibility for any injury to people or property resulting from any ideas, methods, instructions or products referred to in the content. |
© 2023 by the authors. Licensee MDPI, Basel, Switzerland. This article is an open access article distributed under the terms and conditions of the Creative Commons Attribution (CC BY) license (https://creativecommons.org/licenses/by/4.0/).
Share and Cite
Lopes, P.; Sobral, M.M.C.; Lopes, G.R.; Martins, Z.E.; Passos, C.P.; Petronilho, S.; Ferreira, I.M.P.L.V.O. Mycotoxins’ Prevalence in Food Industry By-Products: A Systematic Review. Toxins 2023, 15, 249. https://doi.org/10.3390/toxins15040249
Lopes P, Sobral MMC, Lopes GR, Martins ZE, Passos CP, Petronilho S, Ferreira IMPLVO. Mycotoxins’ Prevalence in Food Industry By-Products: A Systematic Review. Toxins. 2023; 15(4):249. https://doi.org/10.3390/toxins15040249
Chicago/Turabian StyleLopes, Paloma, M. Madalena C. Sobral, Guido R. Lopes, Zita E. Martins, Claúdia P. Passos, Sílvia Petronilho, and Isabel M. P. L. V. O. Ferreira. 2023. "Mycotoxins’ Prevalence in Food Industry By-Products: A Systematic Review" Toxins 15, no. 4: 249. https://doi.org/10.3390/toxins15040249
APA StyleLopes, P., Sobral, M. M. C., Lopes, G. R., Martins, Z. E., Passos, C. P., Petronilho, S., & Ferreira, I. M. P. L. V. O. (2023). Mycotoxins’ Prevalence in Food Industry By-Products: A Systematic Review. Toxins, 15(4), 249. https://doi.org/10.3390/toxins15040249

