Correction: Addante-Moya et al. Assessment of the Optimum Linker Tethering Site of Alternariol Haptens for Antibody Generation and Immunoassay Development. Toxins 2021, 13, 883
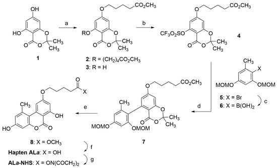
Misplace of Schemes


Reference
- Addante-Moya, L.G.; Abad-Somovilla, A.; Abad-Fuentes, A.; Agulló, C.; Mercader, J.V. Assessment of the Optimum Linker Tethering Site of Alternariol Haptens for Antibody Generation and Immunoassay Development. Toxins 2021, 13, 883. [Google Scholar] [CrossRef]
Disclaimer/Publisher’s Note: The statements, opinions and data contained in all publications are solely those of the individual author(s) and contributor(s) and not of MDPI and/or the editor(s). MDPI and/or the editor(s) disclaim responsibility for any injury to people or property resulting from any ideas, methods, instructions or products referred to in the content. |
© 2023 by the authors. Licensee MDPI, Basel, Switzerland. This article is an open access article distributed under the terms and conditions of the Creative Commons Attribution (CC BY) license (https://creativecommons.org/licenses/by/4.0/).
Share and Cite
Addante-Moya, L.G.; Abad-Somovilla, A.; Abad-Fuentes, A.; Agulló, C.; Mercader, J.V. Correction: Addante-Moya et al. Assessment of the Optimum Linker Tethering Site of Alternariol Haptens for Antibody Generation and Immunoassay Development. Toxins 2021, 13, 883. Toxins 2023, 15, 162. https://doi.org/10.3390/toxins15020162
Addante-Moya LG, Abad-Somovilla A, Abad-Fuentes A, Agulló C, Mercader JV. Correction: Addante-Moya et al. Assessment of the Optimum Linker Tethering Site of Alternariol Haptens for Antibody Generation and Immunoassay Development. Toxins 2021, 13, 883. Toxins. 2023; 15(2):162. https://doi.org/10.3390/toxins15020162
Chicago/Turabian StyleAddante-Moya, Luis G., Antonio Abad-Somovilla, Antonio Abad-Fuentes, Consuelo Agulló, and Josep V. Mercader. 2023. "Correction: Addante-Moya et al. Assessment of the Optimum Linker Tethering Site of Alternariol Haptens for Antibody Generation and Immunoassay Development. Toxins 2021, 13, 883" Toxins 15, no. 2: 162. https://doi.org/10.3390/toxins15020162
APA StyleAddante-Moya, L. G., Abad-Somovilla, A., Abad-Fuentes, A., Agulló, C., & Mercader, J. V. (2023). Correction: Addante-Moya et al. Assessment of the Optimum Linker Tethering Site of Alternariol Haptens for Antibody Generation and Immunoassay Development. Toxins 2021, 13, 883. Toxins, 15(2), 162. https://doi.org/10.3390/toxins15020162

