Differential Antivenom and Small-Molecule Inhibition of Novel Coagulotoxic Variations in Atropoides, Cerrophidion, Metlapilcoatlus, and Porthidium American Viperid Snake Venoms
Abstract
:1. Introduction
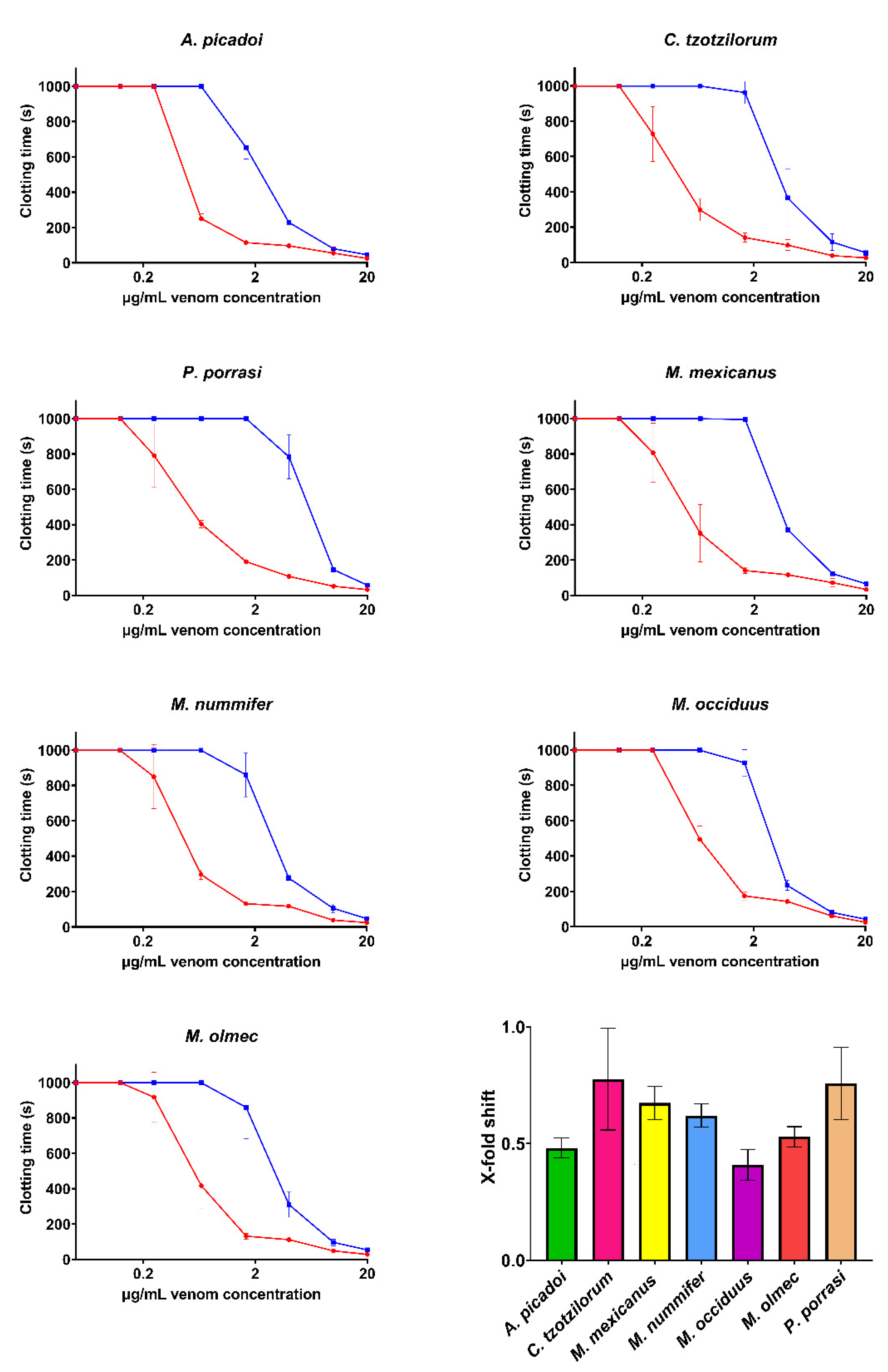
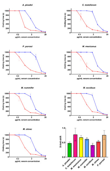
2. Results
3. Discussion
4. Conclusions
5. Materials and Methods
5.1. Venoms, Plasma, and Reagents
5.2. Coagulation Assays
5.3. Thromboelastography (TEG)
5.4. Clotting-Factor Activation
5.5. Statistics
Supplementary Materials
Author Contributions
Funding
Institutional Review Board Statement
Data Availability Statement
Conflicts of Interest
References
- Gutiérrez, J.M. Current challenges for confronting the public health problem of snakebite envenoming in Central America. J. Venom. Anim. Toxins Incl. Trop. Dis. 2014, 20, 7. [Google Scholar] [CrossRef] [PubMed] [Green Version]
- Neri-Castro, E.; Bénard-Valle, M.; de León, J.L.; Boyer, L.; Alagón, A. Envenomations by Reptiles in Mexico. In Handbook of Venoms and Toxins of Reptiles; CRC Press: Boca Raton, FL, USA, 2021; pp. 529–542. [Google Scholar]
- Gutiérrez, J. Snakebite envenomation in Central America. In Handbook of Venoms and Toxins of Reptiles; CRC Press: Boca Raton, FL, USA, 2009; pp. 491–507. [Google Scholar]
- Boyer, L.; Alagón, A.; Fry, B.G.; Jackson, T.N.W.; Sunagar, K.; Chippaux, J.P. Signs, Symptoms and Treatment of Envenomation. In Venomous Reptiles and Their Toxins: Evolution, Pathophysiology and Biodiscovery; Fry, B.G., Ed.; Oxford University Press: New York, NY, USA, 2015; pp. 32–60. [Google Scholar]
- Mackessy, S.P. Handbook of Venoms and Toxins of Reptiles; CRC Press: Boca Raton, FL, USA, 2016. [Google Scholar]
- Campbell, J.A.; Lamar, W.W.; Brodie, E.D. The Venomous Reptiles of the Western Hemisphere; Comstock Publishing Associates: Ithaca, NY, USA, 2004; Volume 2. [Google Scholar]
- Campbell, J. A new generic name for jumping pitvipers (Serpentes: Viperidae). Rev. Latinoam. Herpetol. 2019, 2, 52–53. [Google Scholar] [CrossRef]
- Jadin, R.C.; Townsend, J.H.; Castoe, T.A.; Campbell, J.A. Cryptic diversity in disjunct populations of Middle American Montane Pitvipers: A systematic reassessment of Cerrophidion godmani. Zool. Scr. 2012, 41, 455–470. [Google Scholar] [CrossRef]
- Castoe, T.A.; Sasa, M.M.; Parkinson, C.L. Modeling nucleotide evolution at the mesoscale: The phylogeny of the Neotropical pitvipers of the Porthidium group (Viperidae: Crotalinae). Mol. Phylogenet. Evol. 2005, 37, 881–898. [Google Scholar] [CrossRef] [PubMed]
- Angulo, Y.; Escolano, J.; Lomonte, B.; Gutiérrez, J.M.; Sanz, L.; Calvete, J.J. Snake venomics of Central American pitvipers: Clues for rationalizing the distinct envenomation profiles of Atropoides nummifer and Atropoides picadoi. J. Proteome Res. 2008, 7, 708–719. [Google Scholar] [CrossRef]
- Jiménez-Charris, E.; Montealegre-Sanchez, L.; Solano-Redondo, L.; Mora-Obando, D.; Camacho, E.; Castro-Herrera, F.; Fierro-Pérez, L.; Lomonte, B. Proteomic and functional analyses of the venom of Porthidium lansbergii lansbergii (Lansberg’s hognose viper) from the Atlantic Department of Colombia. J. Proteom. 2015, 114, 287–299. [Google Scholar] [CrossRef]
- Lomonte, B.; Fernández, J.; Sanz, L.; Angulo, Y.; Sasa, M.; Gutiérrez, J.M.; Calvete, J.J. Venomous snakes of Costa Rica: Biological and medical implications of their venom proteomic profiles analyzed through the strategy of snake venomics. J. Proteom. 2014, 105, 323–339. [Google Scholar] [CrossRef]
- Lomonte, B.; Rey-Suárez, P.; Tsai, W.-C.; Angulo, Y.; Sasa, M.; Gutiérrez, J.M.; Calvete, J.J. Snake venomics of the pit vipers Porthidium nasutum, Porthidium ophryomegas, and Cerrophidion godmani from Costa Rica: Toxicological and taxonomical insights. J. Proteom. 2012, 75, 1675–1689. [Google Scholar] [CrossRef]
- Méndez, R.; Bonilla, F.; Sasa, M.; Dwyer, Q.; Fernández, J.; Lomonte, B. Proteomic profiling, functional characterization, and immunoneutralization of the venom of Porthidium porrasi, a pitviper endemic to Costa Rica. Acta Trop. 2019, 193, 113–123. [Google Scholar] [CrossRef]
- Ruiz-Campos, M.; Sanz, L.; Bonilla, F.; Sasa, M.; Lomonte, B.; Zaruma-Torres, F.; Terán, M.; Fernández, J.; Calvete, J.J.; Caldeira, C.A. Venomics of the poorly studied hognosed pitvipers Porthidium arcosae and Porthidium volcanicum. J. Proteom. 2021, 249, 104379. [Google Scholar] [CrossRef]
- García-Osorio, B.; Lomonte, B.; Bénard-Valle, M.; de León, J.L.; Román-Domínguez, L.; Mejía-Domínguez, N.R.; Lara-Hernández, F.; Alagón, A.; Neri-Castro, E. Ontogenetic changes in the venom of Metlapilcoatlus nummifer, the mexican jumping viper. Toxicon 2020, 184, 204–214. [Google Scholar] [CrossRef] [PubMed]
- Gutiérrez, J.M.; Tsai, W.-C.; Pla, D.; Solano, G.; Lomonte, B.; Sanz, L.; Angulo, Y.; Calvete, J.J. Preclinical assessment of a polyspecific antivenom against the venoms of Cerrophidion sasai, Porthidium nasutum and Porthidium ophryomegas: Insights from combined antivenomics and neutralization assays. Toxicon 2013, 64, 60–69. [Google Scholar] [CrossRef] [PubMed]
- Antúnez, J.; Fernández, J.; Lomonte, B.; Angulo, Y.; Sanz, L.; Pérez, A.; Calvete, J.J.; Gutiérrez, J.M. Antivenomics of Atropoides mexicanus and Atropoides picadoi snake venoms: Relationship to the neutralization of toxic and enzymatic activities. J. Venom Res. 2010, 1, 8–17. [Google Scholar] [PubMed]
- Otero, R.; Gutiérrez, J.; Beatriz Mesa, M.; Duque, E.; Rodríguez, O.; Luis Arango, J.; Gómez, F.; Toro, A.; Cano, F.; María Rodríguez, L.; et al. Complications of Bothrops, Porthidium, and Bothriechis snakebites in Colombia. A clinical and epidemiological study of 39 cases attended in a university hospital. Toxicon 2002, 40, 1107–1114. [Google Scholar] [CrossRef]
- Sousa, L.F.; Zdenek, C.N.; Dobson, J.S.; Op den Brouw, B.; Coimbra, F.C.; Gillett, A.; Del-Rei, T.H.; Chalkidis, H.d.M.; Sant’Anna, S.; Teixeira-da-Rocha, M.M.; et al. Coagulotoxicity of Bothrops (lancehead pit-vipers) venoms from Brazil: Differential biochemistry and antivenom efficacy resulting from prey-driven venom variation. Toxins 2018, 10, 411. [Google Scholar] [CrossRef] [Green Version]
- Angulo, Y.; Estrada, R.; Gutiérrez, J. Clinical and laboratory alterations in horses during immunization with snake venoms for the production of polyvalent (Crotalinae) antivenom. Toxicon 1997, 35, 81–90. [Google Scholar] [CrossRef]
- Gutiérrez, J.M.; Lomonte, B.; Sanz, L.; Calvete, J.J.; Pla, D. Immunological profile of antivenoms: Preclinical analysis of the efficacy of a polyspecific antivenom through antivenomics and neutralization assays. J. Proteom. 2014, 105, 340–350. [Google Scholar] [CrossRef]
- Jorge, R.J.B.; Monteiro, H.S.; Gonçalves-Machado, L.; Guarnieri, M.C.; Ximenes, R.M.; Borges-Nojosa, D.M.; Karla, P.d.O.; Zingali, R.B.; Corrêa-Netto, C.; Gutiérrez, J.M.; et al. Venomics and antivenomics of Bothrops erythromelas from five geographic populations within the Caatinga ecoregion of northeastern Brazil. J. Proteom. 2015, 114, 93–114. [Google Scholar] [CrossRef]
- Alencar, L.R.; Quental, T.B.; Grazziotin, F.G.; Alfaro, M.L.; Martins, M.; Venzon, M.; Zaher, H. Diversification in vipers: Phylogenetic relationships, time of divergence and shifts in speciation rates. Mol. Phylogenet. Evol. 2016, 105, 50–62. [Google Scholar] [CrossRef]
- Bourke, L.A.; Youngman, N.J.; Zdenek, C.N.; Op den Brouw, B.; Violette, A.; Fourmy, R.; Fry, B.G. Trimeresurus albolabris snakebite treatment implications arising from ontogenetic venom comparisons of anticoagulant function, and antivenom efficacy. Toxicol. Lett. 2020, 327, 2–8. [Google Scholar] [CrossRef]
- Debono, J.; Bos, M.H.; Nouwens, A.; Ge, L.; Frank, N.; Kwok, H.F.; Fry, B.G. Habu coagulotoxicity: Clinical implications of the functional diversification of Protobothrops snake venoms upon blood clotting factors. Toxicol. Vitr. 2019, 55, 62–74. [Google Scholar] [CrossRef] [PubMed] [Green Version]
- Debono, J.; Bos, M.H.; Coimbra, F.; Ge, L.; Frank, N.; Kwok, H.F.; Fry, B.G. Basal but divergent: Clinical implications of differential coagulotoxicity in a clade of Asian vipers. Toxicol. Vitr. 2019, 58, 195–206. [Google Scholar] [CrossRef] [PubMed]
- Seneci, L.; Zdenek, C.N.; Rodrigues, C.F.; Chowdhury, A.; Neri-Castro, E.; Bénard-Valle, M.; Alagón, A.; Fry, B. A Clot Twist: Potent Coagulotoxicity Found in Mexican Neotropical Rattlesnakes. Front. Immunol. 2021, 12, 552. [Google Scholar] [CrossRef] [PubMed]
- Seneci, L.; Zdenek, C.N.; Bourke, L.A.; Cochran, C.; Sánchez, E.E.; Neri-Castro, E.; Bénard-Valle, M.; Alagón, A.; Frank, N.; Fry, B.G. A symphony of destruction: Dynamic differential fibrinogenolytic toxicity by rattlesnake (Crotalus and Sistrurus) venoms. Comp. Biochem. Physiol. Part C Toxicol. Pharmacol. 2021, 245, 109034. [Google Scholar] [CrossRef] [PubMed]
- Chowdhury, A.; Zdenek, C.N.; Lewin, M.R.; Carter, R.; Jagar, T.; Ostanek, E.; Harjen, H.; Aldridge, M.; Soria, R.; Haw, G.; et al. Venom-induced blood disturbances by palearctic viperid snakes, and their relative neutralization by antivenoms and enzyme-inhibitors. Front. Immunol. 2021, 12, 2251. [Google Scholar] [CrossRef]
- Oulion, B.; Dobson, J.S.; Zdenek, C.N.; Arbuckle, K.; Lister, C.; Coimbra, F.C.; Op den Brouw, B.; Debono, J.; Rogalski, A.; Violette, A.; et al. Factor X activating Atractaspis snake venoms and the relative coagulotoxicity neutralising efficacy of African antivenoms. Toxicol. Lett. 2018, 288, 119–128. [Google Scholar] [CrossRef] [Green Version]
- Yamada, D.; Sekiya, F.; Morita, T. Prothrombin and factor X activator activities in the venoms of Viperidae snakes. Toxicon 1997, 35, 1581–1589. [Google Scholar] [CrossRef]
- Iddon, D.; Theakston, R. Biological properties of the venom of the red-necked keel-back snake (Rhabdophis subminiatus). Ann. Trop. Med. Parasitol. 1986, 80, 339–344. [Google Scholar] [CrossRef]
- Youngman, N.J.; Debono, J.; Dobson, J.S.; Zdenek, C.N.; Harris, R.J.; Coimbra, F.C.; Naude, A.; Coster, K.; Sundman, E.; Braun, R.; et al. Venomous landmines: Clinical implications of extreme coagulotoxic diversification and differential neutralization by antivenom of venoms within the viperid snake genus Bitis. Toxins 2019, 11, 422. [Google Scholar] [CrossRef] [Green Version]
- Xie, B.; Dashevsky, D.; Rokyta, D.; Ghezellou, P.; Fathinia, B.; Shi, Q.; Richardson, M.K.; Fry, B.G. Dynamic genetic differentiation drives the widespread structural and functional convergent evolution of snake venom proteinaceous toxins. BMC Biol. 2022, 20, 4. [Google Scholar] [CrossRef]
- Chowdhury, A.; Zdenek, C.N.; Dobson, J.S.; Bourke, L.A.; Soria, R.; Fry, B.G. Clinical implications of differential procoagulant toxicity of the Palearctic viperid genus Macrovipera, and the relative neutralization efficacy of antivenoms and enzyme inhibitors. Toxicol. Lett. 2021, 340, 77–88. [Google Scholar] [CrossRef]
- Cipriani, V.; Debono, J.; Goldenberg, J.; Jackson, T.N.; Arbuckle, K.; Dobson, J.; Koludarov, I.; Li, B.; Hay, C.; Dunstan, N.; et al. Correlation between ontogenetic dietary shifts and venom variation in Australian brown snakes (Pseudonaja). Comp. Biochem. Physiol. Part C Toxicol. Pharmacol. 2017, 197, 53–60. [Google Scholar] [CrossRef] [Green Version]
- Bourke, L.A.; Zdenek, C.N.; Neri-Castro, E.; Bénard-Valle, M.; Alagón, A.; Gutiérrez, J.M.; Sanchez, E.F.; Aldridge, M.; Fry, B.G. Pan-American lancehead pit-vipers: Coagulotoxic venom effects and antivenom neutralisation of Bothrops asper and B. atrox geographical variants. Toxins 2021, 13, 78. [Google Scholar] [CrossRef] [PubMed]
- Silva-Carvalho, R.; Gaspar, M.Z.; Quadros, L.H.; Lobo, L.G.; Rogério, L.M.; Santos, N.T.; Zerbinatti, M.C.; Santarém, C.L.; Silva, E.O.; Gerez, J.R.; et al. In vivo treatment with varespladib, a phospholipase A2 inhibitor, prevents the peripheral neurotoxicity and systemic disorders induced by Micrurus corallinus (coral snake) venom in rats. Toxicol. Lett. 2021, 356, 54–63. [Google Scholar] [CrossRef] [PubMed]
- de Souza, J.; Oliveira, I.C.; Yoshida, E.H.; Cantuaria, N.M.; Cogo, J.C.; Torres-Bonilla, K.A.; Hyslop, S.; Junior, N.J.S.; Floriano, R.S.; Gutiérrez, J.M.; et al. Effect of the phospholipase A2 inhibitor Varespladib, and its synergism with crotalic antivenom, on the neuromuscular blockade induced by Crotalus durissus terrificus venom (with and without crotamine) in mouse neuromuscular preparations. Toxicon 2022, 214, 54–61. [Google Scholar] [CrossRef] [PubMed]
- Eng, W.; Fry, B.; Sunagar, K.; Takacs, Z.; Jackson, T.; Guddat, L. Kunitz peptides. In Venomous Reptiles and Their Toxins: Evolution, Pathophysiology and Biodiscovery; Fry, B.G., Ed.; Oxford University Press: Oxford, UK, 2015; pp. 281–290. [Google Scholar]
- Arlinghaus, F.; Fry, B.; Sunagar, K.; Jackson, T.; Eble, J.; Reeks, T.; Clemetson, K. Lectin proteins. Venomous Reptiles & Their Toxins: Evolution, Pathophysiology & Biodiscovery. In Venomous Reptiles and Their Toxins: Evolution, Pathophysiology and Biodiscovery; Fry, B., Ed.; Oxford University Press: Oxford, UK, 2015; pp. 299–3311. [Google Scholar]
- Sunagar, K.; Jackson, T.; Reeks, T.; Fry, B. Group I phospholipase A2 Enzymes; Oxford University Press: New York, NY, USA, 2015. [Google Scholar]
- Coimbra, F.C.; Dobson, J.; Zdenek, C.N.; Op den Brouw, B.; Hamilton, B.; Debono, J.; Masci, P.; Frank, N.; Ge, L.; Kwok, H.F.; et al. Does size matter? Venom proteomic and functional comparison between night adder species (Viperidae: Causus) with short and long venom glands. Comp. Biochem. Physiol. Part C Toxicol. Pharmacol. 2018, 211, 7–14. [Google Scholar] [CrossRef]
- Debono, J.; Bos, M.H.; Do, M.S.; Fry, B.G. Clinical implications of coagulotoxic variations in Mamushi (Viperidae: Gloydius) snake venoms. Comp. Biochem. Physiol. Part C Toxicol. Pharmacol. 2019, 225, 108567. [Google Scholar] [CrossRef]
- Debono, J.; Bos, M.H.; Frank, N.; Fry, B. Clinical implications of differential antivenom efficacy in neutralising coagulotoxicity produced by venoms from species within the arboreal viperid snake genus Trimeresurus. Toxicol. Lett. 2019, 316, 35–48. [Google Scholar] [CrossRef]
- Dobson, J.; Yang, D.C.; Op den Brouw, B.; Cochran, C.; Huynh, T.; Kurrupu, S.; Sánchez, E.E.; Massey, D.J.; Baumann, K.; Jackson, T.N.; et al. Rattling the border wall: Pathophysiological implications of functional and proteomic venom variation between Mexican and US subspecies of the desert rattlesnake Crotalus scutulatus. Comp. Biochem. Physiol. Part C Toxicol. Pharmacol. 2018, 205, 62–69. [Google Scholar] [CrossRef] [Green Version]
- Gené, J.; Roy, A.; Rojas, G.; Gutiérrez, J.; Cerdas, L. Comparative study on coagulant, defibrinating, fibrinolytic and fibrinogenolytic activities of Costa Rican crotaline snake venoms and their neutralization by a polyvalent antivenom. Toxicon 1989, 27, 841–848. [Google Scholar] [CrossRef]
- Zdenek, C.N.; Youngman, N.J.; Hay, C.; Dobson, J.; Dunstan, N.; Allen, L.; Milanovic, L.; Fry, B.G. Anticoagulant activity of black snake (Elapidae: Pseudechis) venoms: Mechanisms, potency, and antivenom efficacy. Toxicol. Lett. 2020, 330, 176–184. [Google Scholar] [CrossRef] [PubMed]








| Fibrinogen-Clotting Assay | Step 1: 50 µL of 0.1 µg/mL Venom (1 mg/mL 50% Glycerol Stock Diluted with OK Buffer) + 50 µL of 0.025 M Calcium + 50 µL of Phospholipid + 25 µL of OK Buffer. Step 2: 120 s Incubation. Step 3: Addition of 75 µL of 4 mg/mL Fibrinogen. |
| Factor Xa-inhibition assay | Step 1: 50 µL of 0.1 µg/mL venom (1 mg/mL 50% glycerol stock diluted with Owren–Koller (OK) buffer) + 50 µL of 0.025 M calcium + 50 µL of phospholipid + 25 µL of Factor Xa. Step 2: 120 s incubation. Step 3: Addition of 75 µL of plasma. |
| FIXa inhibition | Step 1: 50 µL of 0.1 µg/mL venom (1 mg/mL 50% glycerol stock diluted with Owren–Koller (OK) buffer) + 50 µL of 0.025 M calcium + 50 µL of phospholipid + 25 µL of Factor IXa (1 mg/mL). Step 2: 120 s incubation. Step 3: Addition of 75 µL of plasma. |
| FXIa inhibition | Step 1: 50 µL of 0.1 µg/mL venom (1 mg/mL 50% glycerol stock diluted with Owren–Koller (OK) buffer) + 50 µL of 0.025 M calcium + 50 µL of phospholipid + 25 µL of Factor XIa (1 mg/mL). Step 2: 120 s incubation. Step 3: Addition of 75 µL of plasma. |
| Thrombin-inhibition assay | Step 1: 50 µL of 0.1 µg/mL venom (1 mg/mL 50% glycerol stock diluted with OK buffer) + 50 µL of 0.025 M calcium + 50 µL of phospholipid + 25 µL of thrombin. Step 2: 120 s incubation. Step 3: Addition of 75 µL of 4 mg/mL fibrinogen. |
| Prothrombinase-complex-inhibition assay | Step 1: 50 µL of 0.1 µg/mL venom (1 mg/mL 50% glycerol stock diluted with OK buffer) + 50 µL of 0.025 M calcium + 50 µL of phospholipid + 75 µL of plasma. Step 2: 120 s incubation. Step 3: Addition of 25 µL of Factor Xa. |
| Fibrinogen-clotting assay with antivenom | Step 1: 50 µL of 0.1 µg/mL venom (1 mg/mL 50% glycerol stock diluted with OK buffer) + 50 µL of 0.025 M calcium + 50 µL of phospholipid + 25 µL of 5% concentration of ICP polyvalent antivenom diluted with OK buffer. Step 2: 120 s incubation. Step 3: Addition of 75 µL of 4 mg/mL fibrinogen. |
| Prothrombinase-inhibition assay with antivenom | Step 1: 50 µL of 0.1 µg/mL venom (4 mg/mL 50% glycerol stock diluted with OK buffer) + 50 µL of 0.025 M calcium + 50 µL of phospholipid + 75 µL of plasma + 25 µL of 5% concentration of ICP polyvalent antivenom diluted with OK buffer. Step 2: 120 s incubation. Step 3: Addition of 25 µL of Factor Xa. |
| FXa-inhibition assay with antivenom | Step 1: 50 µL of 0.1 µg/mL venom (4 mg/mL 50% glycerol stock diluted with Owren–Koller (OK) buffer) + 50 µL of 0.025 M calcium + 50 µL of phospholipid + 25 µL of Factor Xa + 25 µL of 5% concentration of ICP polyvalent antivenom diluted with OK buffer. Step 2: 120 s incubation. Step 3: Addition of 75 µL of plasma. |
Publisher’s Note: MDPI stays neutral with regard to jurisdictional claims in published maps and institutional affiliations. |
© 2022 by the authors. Licensee MDPI, Basel, Switzerland. This article is an open access article distributed under the terms and conditions of the Creative Commons Attribution (CC BY) license (https://creativecommons.org/licenses/by/4.0/).
Share and Cite
Jones, L.; Youngman, N.J.; Neri-Castro, E.; Guadarrama-Martínez, A.; Lewin, M.R.; Carter, R.; Frank, N.; Fry, B.G. Differential Antivenom and Small-Molecule Inhibition of Novel Coagulotoxic Variations in Atropoides, Cerrophidion, Metlapilcoatlus, and Porthidium American Viperid Snake Venoms. Toxins 2022, 14, 511. https://doi.org/10.3390/toxins14080511
Jones L, Youngman NJ, Neri-Castro E, Guadarrama-Martínez A, Lewin MR, Carter R, Frank N, Fry BG. Differential Antivenom and Small-Molecule Inhibition of Novel Coagulotoxic Variations in Atropoides, Cerrophidion, Metlapilcoatlus, and Porthidium American Viperid Snake Venoms. Toxins. 2022; 14(8):511. https://doi.org/10.3390/toxins14080511
Chicago/Turabian StyleJones, Lee, Nicholas J. Youngman, Edgar Neri-Castro, Alid Guadarrama-Martínez, Matthew R. Lewin, Rebecca Carter, Nathaniel Frank, and Bryan G. Fry. 2022. "Differential Antivenom and Small-Molecule Inhibition of Novel Coagulotoxic Variations in Atropoides, Cerrophidion, Metlapilcoatlus, and Porthidium American Viperid Snake Venoms" Toxins 14, no. 8: 511. https://doi.org/10.3390/toxins14080511
APA StyleJones, L., Youngman, N. J., Neri-Castro, E., Guadarrama-Martínez, A., Lewin, M. R., Carter, R., Frank, N., & Fry, B. G. (2022). Differential Antivenom and Small-Molecule Inhibition of Novel Coagulotoxic Variations in Atropoides, Cerrophidion, Metlapilcoatlus, and Porthidium American Viperid Snake Venoms. Toxins, 14(8), 511. https://doi.org/10.3390/toxins14080511

