You are currently viewing a new version of our website. To view the old version click .
Nutrients
  • This is an early access version, the complete PDF, HTML, and XML versions will be available soon.
  • Article
  • Open Access

26 December 2025

Independent and Combined Effects of Resistance Training and Whey Protein on Skeletal Muscle Mass and Function in Individuals with MASLD Under Caloric Restriction

,
,
,
,
,
,
,
,
and
1
Department of Sport Science, Pusan National University, Busan 46241, Republic of Korea
2
Research Institute of Human Ecology, Pusan National University, Busan 46241, Republic of Korea
3
Department of Kinesiology and Sport Management, Texas Tech University, Lubbock, TX 79409, USA
4
Research Institute of Pharmaceutical Sciences, Gyeongsang National University, Jinju 52828, Republic of Korea
Nutrients2026, 18(1), 83;https://doi.org/10.3390/nu18010083 
(registering DOI)
This article belongs to the Special Issue Nutrition Strategy and Resistance Training

Abstract

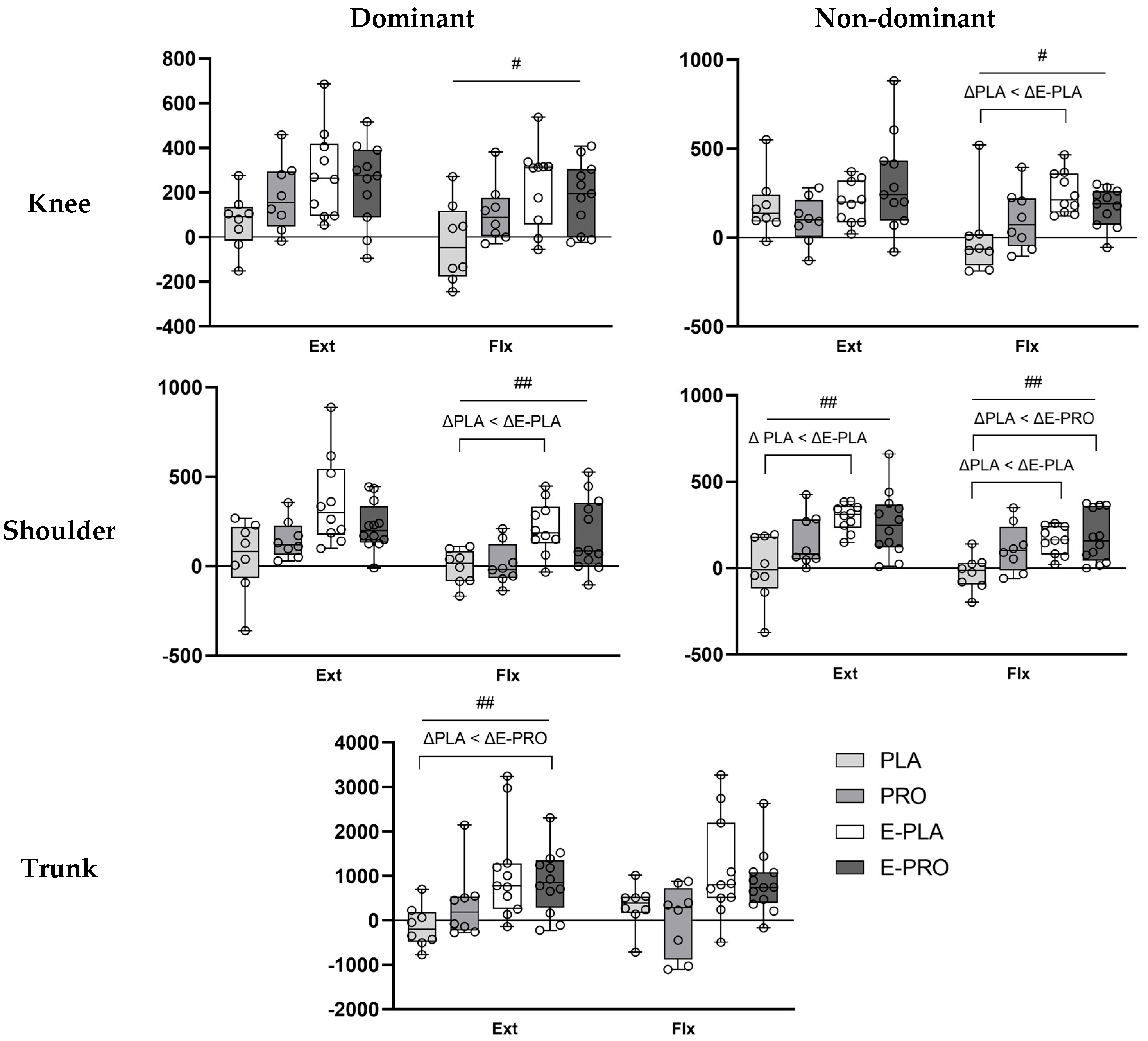
Background/Objectives: Metabolic dysfunction-associated steatotic liver disease (MASLD) often requires caloric restriction (CR) to reduce hepatic fat, but CR can compromise muscle mass and function. Resistance training and whey protein are anabolic stimuli, yet their independent and combined effects under substantial CR are unclear. Methods: In a 4-week randomized, double-blind trial, adults with MASLD (n = 45) under ~30% CR were allocated to four groups: resistance training with whey protein supplementation (E-PRO), resistance training with placebo (E-PLA), whey protein supplementation only (PRO), or placebo only (PLA). PRO groups consumed 1.5 g·kg−1·day−1 protein, while PLA groups consumed 0.8 g·kg−1·day−1. Exercise groups performed supervised exercise 5 days/week. Outcomes included body composition and isokinetic muscle function. Results: Across ~30% CR, all groups reduced body weight and fat mass without skeletal muscle mass loss; no between-group differences in body composition changes were observed. For peak torque, E-PRO improved across all regions except trunk, E-PLA improved except non-dominant shoulder flexors and trunk flexors, PRO improved non-dominant knee flexors and shoulder extensors, and PLA showed no change. For total work, E-PRO and E-PLA increased across all regions PRO improved dominant knee extensors/flexors and shoulder extensors; PLA increased only non-dominant knee extensors. E-PRO and E-PLA exceeded PLA for multiple knee/shoulder/trunk outcomes. Conclusions: In individuals with MASLD undergoing severe CR, ≥0.8 g·kg−1·day−1 of protein preserves skeletal muscle mass. However, the anabolic synergy of resistance training and protein for functional adaptation appears to be blunted by the substantial energy deficit.

Article Metrics

Citations

Article Access Statistics

Multiple requests from the same IP address are counted as one view.