Vitamin D Supplementation Is Associated with Inflammation Amelioration and Cognitive Improvement in Decompensated Patients with Cirrhosis
Abstract
1. Introduction
2. Materials and Methods
2.1. Design
2.2. Patients
2.3. Treatment
2.4. Neuropsychological Assessment
- -
- Visuo-motor abilities: Grooved Pegboard test, WAIS IV Block Design subtest, the PHES subtests serial dotting test (SDT) and line drawing test (LDT).
- -
- Executive function: the PHES subtests number connection test A (NCT-A) and B (NCT-B) and the Stroop Test interference score.
- -
- Processing speed: the PHES subtest digit symbol test (DST).
- -
- Attention: the Stroop Colour and Word scores from the Stroop test.
- -
- Working memory: The WAIS IV Letter-Number sequencing subtest.
- -
- Learning and memory: The Hopkins verbal learning test.
2.5. Falls Assessment
- -
- Fall definition and quantification. Falls were defined using the World Health Organization definition as follows: “A fall is an event which results in a person coming to rest inadvertently on the ground or floor or other lower level”. Number of falls within the year before inclusion was recorded at the baseline visit and specifically recorded on every visit during the whole period of the study. The retrospective and prospective number of falls was estimated monthly.
- -
- Risk fall assessment. Risk falls were evaluated using the Tinetti balance and gait assessment [35]. Scores ≤ 18, between 19 and 23 and ≥24 indicated high, moderate or low risk of falls, respectively.
2.6. Fractures Assessment
- -
- Risk of fractures was calculated using the Fracture Risk assessment tool (FRAX) score with the Spanish reference population to calculate the percentage risk at 10 years of osteoporotic fracture and hip fracture based on demographic and clinical characteristics of patients and femoral neck bone mineral density when available (https://frax.shef.ac.uk/FRAX/tool.aspx?lang=en, 2 November 2024).
2.7. Infections Assessment
2.8. Inflammatory Markers
- -
- Serum concentrations of inflammatory mediators: Frozen aliquots of plasma were used for the determination of certain markers previously known to be involved in neuroinflammation (CCL2-MCP1—Chemokine system CC ligand2-Monocyte chemotactin protein 1; IL-12p70—Interleukin12-; IL-1β—Interleukin 1beta; GM-CSF—Granulocyte Macrophage Colony-Stimulating Factor; TNF-α 2nd gen—Tumour necrosis factor alpha-; IL-6—2nd gen-Interleukin 6; CX3CL1/FRACTALKINE—Chemokine (C-X3-C motif) ligand 1-) along with vitamin D binding protein (VITDBP) and hepcidin levels. Customized Simple-Plex immunoassay kits (Bio-techne) were used according to the manufacturer’s instructions (https://www.bio-techne.com/reagents/simple-plex-immunoassays/assay-menu?pdfSource=true_neuroinflammation-assay-brochure#human, 2 November 2024).
- -
- Peripheral blood cell populations: Fresh peripheral blood samples were obtained only from the subgroup of patients included in HGUGM (n = 14) because they must be freshly processed (within the first 18 h from extraction). Whole blood samples were labelled for surface markers with the fluorochrome-labelled antibodies distributed in three cytometry panels to detect several subsets of innate and adaptive cells, in addition to their differentiation and activation status, following the already published protocols [36]. Whole blood was stained with an antibody mix for each panel, and after incubation, red blood cells were lysed using the TQ-Prep Workstation (Beckman Coulter). After the lysis, stained blood was analyzed by flow cytometry (Gallios; Beckman Coulter, Villepinte, France). Absolute count (cells per µL of blood) was determined using Flow-Count Fluorespheres (Beckman Coulter) and results were processed by the software Kaluza (version 2.3, Beckman Coulter).
2.9. Statistical Analysis
3. Results
3.1. Baseline Evaluation
3.1.1. Cognitive Function
3.1.2. Assessment of Risk Falls and Fracture Risks
3.1.3. Infections
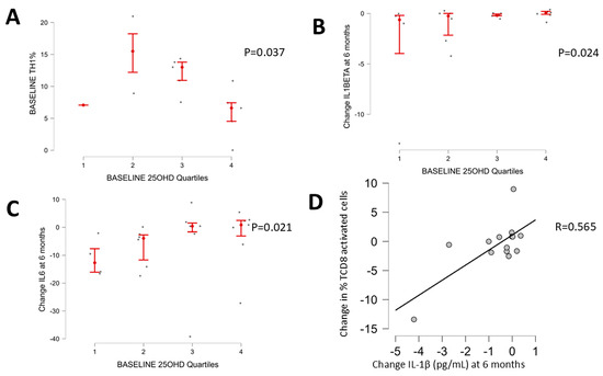
3.1.4. Inflammation
3.2. Follow-Up Evaluation
3.2.1. Cognitive Function
3.2.2. Assessment of Falls and Fracture Risks
3.2.3. Infections
3.2.4. Inflammation
4. Discussion
5. Conclusions
Supplementary Materials
Author Contributions
Funding
Institutional Review Board Statement
Informed Consent Statement
Data Availability Statement
Acknowledgments
Conflicts of Interest
References
- Ferenci, P.; Lockwood, A.; Mullen, K.; Tarter, R.; Weissenborn, K.; Blei, A.T. Hepatic encephalopathy--definition, nomenclature, diagnosis, and quantification: Final report of the working party at the 11th World Congresses of Gastroenterology, Vienna, 1998. Hepatology 2002, 35, 716–721. [Google Scholar] [CrossRef] [PubMed]
- Vilstrup, H.; Amodio, P.; Bajaj, J.; Cordoba, J.; Ferenci, P.; Mullen, K.D.; Weissenborn, K.; Wong, P. Hepatic encephalopathy in chronic liver disease: 2014 Practice Guideline by the American Association for the Study of Liver Diseases and the European Association for the Study of the Liver. Hepatology 2014, 60, 715–735. [Google Scholar] [CrossRef]
- Bajaj, J.S.; Saeian, K.; Schubert, C.M.; Hafeezullah, M.; Franco, J.; Varma, R.R.; Gibson, D.P.; Hoffmann, R.G.; Stravitz, R.T.; Heuman, D.M.; et al. Minimal hepatic encephalopathy is associated with motor vehicle crashes: The reality beyond the driving test. Hepatology 2009, 50, 1175–1183. [Google Scholar] [CrossRef] [PubMed]
- Soriano, G.; Roman, E.; Cordoba, J.; Torrens, M.; Poca, M.; Torras, X.; Villanueva, C.; Gich, I.J.; Vargas, V.; Guarner, C. Cognitive dysfunction in cirrhosis is associated with falls: A prospective study. Hepatology 2012, 55, 1922–1930. [Google Scholar] [CrossRef]
- Shawcross, D.L.; Davies, N.A.; Williams, R.; Jalan, R. Systemic inflammatory response exacerbates the neuropsychological effects of induced hyperammonemia in cirrhosis. J. Hepatol. 2004, 40, 247–254. [Google Scholar] [CrossRef]
- Albillos, A.; Martin-Mateos, R.; Van der Merwe, S.; Wiest, R.; Jalan, R.; Alvarez-Mon, M. Cirrhosis-associated immune dysfunction. Nat. Rev. Gastroenterol. Hepatol. 2022, 19, 112–134. [Google Scholar] [CrossRef] [PubMed]
- Tilg, H.; Wilmer, A.; Vogel, W.; Herold, M.; Nolchen, B.; Judmaier, G.; Huber, C. Serum levels of cytokines in chronic liver diseases. Gastroenterology 1992, 103, 264–274. [Google Scholar] [CrossRef] [PubMed]
- Trebicka, J.; Amoros, A.; Pitarch, C.; Titos, E.; Alcaraz-Quiles, J.; Schierwagen, R.; Deulofeu, C.; Fernandez-Gomez, J.; Piano, S.; Caraceni, P.; et al. Addressing Profiles of Systemic Inflammation Across the Different Clinical Phenotypes of Acutely Decompensated Cirrhosis. Front. Immunol. 2019, 10, 476. [Google Scholar] [CrossRef] [PubMed]
- Munoz, L.; Albillos, A.; Nieto, M.; Reyes, E.; Lledo, L.; Monserrat, J.; Sanz, E.; de la Hera, A.; Alvarez-Mon, M. Mesenteric Th1 polarization and monocyte TNF-alpha production: First steps to systemic inflammation in rats with cirrhosis. Hepatology 2005, 42, 411–419. [Google Scholar] [CrossRef]
- Sun, H.Q.; Zhang, J.Y.; Zhang, H.; Zou, Z.S.; Wang, F.S.; Jia, J.H. Increased Th17 cells contribute to disease progression in patients with HBV-associated liver cirrhosis. J. Viral Hepat. 2012, 19, 396–403. [Google Scholar] [CrossRef]
- Giron, J.A.; Alvarez-Mon, M.; Menendez-Caro, J.L.; Abreu, L.; Albillos, A.; Manzano, L.; Durantez, A. Increased spontaneous and lymphokine-conditioned IgA and IgG synthesis by B cells from alcoholic cirrhotic patients. Hepatology 1992, 16, 664–670. [Google Scholar] [CrossRef] [PubMed]
- Shah, N.; Mohamed, F.E.; Jover-Cobos, M.; Macnaughtan, J.; Davies, N.; Moreau, R.; Paradis, V.; Moore, K.; Mookerjee, R.; Jalan, R. Increased renal expression and urinary excretion of TLR4 in acute kidney injury associated with cirrhosis. Liver Int. 2013, 33, 398–409. [Google Scholar] [CrossRef]
- Shawcross, D.L.; Wright, G.; Olde Damink, S.W.; Jalan, R. Role of ammonia and inflammation in minimal hepatic encephalopathy. Metab. Brain Dis. 2007, 22, 125–138. [Google Scholar] [CrossRef]
- EASL Clinical Practice Guidelines on nutrition in chronic liver disease. J. Hepatol. 2019, 70, 172–193. [CrossRef]
- Venu, M.; Martin, E.; Saeian, K.; Gawrieh, S. High prevalence of vitamin A deficiency and vitamin D deficiency in patients evaluated for liver transplantation. Liver Transpl. 2013, 19, 627–633. [Google Scholar] [CrossRef]
- Miroliaee, A.; Nasiri-Toosi, M.; Khalilzadeh, O.; Esteghamati, A.; Abdollahi, A.; Mazloumi, M. Disturbances of parathyroid hormone-vitamin D axis in non-cholestatic chronic liver disease: A cross-sectional study. Hepatol. Int. 2010, 4, 634–640. [Google Scholar] [CrossRef]
- Kitson, M.T.; Roberts, S.K. D-livering the message: The importance of vitamin D status in chronic liver disease. J. Hepatol. 2012, 57, 897–909. [Google Scholar] [CrossRef]
- Anty, R.; Tonohouan, M.; Ferrari-Panaia, P.; Piche, T.; Pariente, A.; Anstee, Q.M.; Gual, P.; Tran, A. Low Levels of 25-Hydroxy Vitamin D are Independently Associated with the Risk of Bacterial Infection in Cirrhotic Patients. Clin. Transl. Gastroenterol. 2014, 5, e56. [Google Scholar] [CrossRef]
- Paternostro, R.; Wagner, D.; Reiberger, T.; Mandorfer, M.; Schwarzer, R.; Ferlitsch, M.; Trauner, M.; Peck-Radosavljevic, M.; Ferlitsch, A. Low 25-OH-vitamin D levels reflect hepatic dysfunction and are associated with mortality in patients with liver cirrhosis. Wien. Klin. Wochenschr. 2017, 129, 8–15. [Google Scholar] [CrossRef] [PubMed]
- Karakis, I.; Pase, M.P.; Beiser, A.; Booth, S.L.; Jacques, P.F.; Rogers, G.; DeCarli, C.; Vasan, R.S.; Wang, T.J.; Himali, J.J.; et al. Association of Serum Vitamin D with the Risk of Incident Dementia and Subclinical Indices of Brain Aging: The Framingham Heart Study. J. Alzheimer’s Dis. 2016, 51, 451–461. [Google Scholar] [CrossRef]
- Buell, J.S.; Dawson-Hughes, B.; Scott, T.M.; Weiner, D.E.; Dallal, G.E.; Qui, W.Q.; Bergethon, P.; Rosenberg, I.H.; Folstein, M.F.; Patz, S.; et al. 25-Hydroxyvitamin D, dementia, and cerebrovascular pathology in elders receiving home services. Neurology 2010, 74, 18–26. [Google Scholar] [CrossRef]
- Martens, P.J.; Gysemans, C.; Verstuyf, A.; Mathieu, A.C. Vitamin D’s Effect on Immune Function. Nutrients 2020, 12, 1248. [Google Scholar] [CrossRef] [PubMed]
- Caprio, M.; Infante, M.; Calanchini, M.; Mammi, C.; Fabbri, A. Vitamin D: Not just the bone. Evidence for beneficial pleiotropic extraskeletal effects. Eat. Weight. Disord. 2017, 22, 27–41. [Google Scholar] [CrossRef] [PubMed]
- Vidot, H.; Potter, A.; Cheng, R.; Allman-Farinelli, M.; Shackel, N. Serum 25-hydroxyvitamin D deficiency and hepatic encephalopathy in chronic liver disease. World J. Hepatol. 2017, 9, 510–518. [Google Scholar] [CrossRef]
- Afifi, M.A.E.; Hussein, A.M.; Rizk, M. Low Serum 25-Hydroxy Vitamin D (25-OHD) and Hepatic Encephalopathy in HCV-Related Liver Cirrhosis. Int. J. Hepatol. 2021, 2021, 6669527. [Google Scholar] [CrossRef] [PubMed]
- Kumar, P.; Chaudhry, S.; Dev, N.; Kumar, R.; Singh, G. Serum 25-hydroxyvitamin D level in patients with chronic liver disease and its correlation with hepatic encephalopathy: A cross-sectional study. J. Family Med. Prim. Care 2020, 9, 798–803. [Google Scholar] [CrossRef] [PubMed]
- Yousif, M.M.; Sadek, A.M.E.M.; Farrag, H.A.; Selim, F.O.; Hamed, E.F.; Salama, R.I. Associated vitamin D deficiency is a risk factor for the complication of HCV-related liver cirrhosis including hepatic encephalopathy and spontaneous bacterial peritonitis. Intern. Emerg. Med. 2019, 14, 753–761. [Google Scholar] [CrossRef]
- Miwa, T.; Hanai, T.; Hirata, S.; Nishimura, K.; Sahashi, Y.; Unome, S.; Imai, K.; Shirakami, Y.; Suetsugu, A.; Takai, K.; et al. Vitamin D deficiency stratifies the risk of covert and overt hepatic encephalopathy in patients with cirrhosis: A retrospective cohort study. Clin. Nutr. ESPEN 2024, 63, 267–273. [Google Scholar] [CrossRef] [PubMed]
- Berger, M.M.; Shenkin, A.; Schweinlin, A.; Amrein, K.; Augsburger, M.; Biesalski, H.K.; Bischoff, S.C.; Casaer, M.P.; Gundogan, K.; Lepp, H.L.; et al. ESPEN micronutrient guideline. Clin. Nutr. 2022, 41, 1357–1424. [Google Scholar] [CrossRef] [PubMed]
- Holick, M.F.; Binkley, N.C.; Bischoff-Ferrari, H.A.; Gordon, C.M.; Hanley, D.A.; Heaney, R.P.; Murad, M.H.; Weaver, C.M.; Endocrine Society. Evaluation, treatment, and prevention of vitamin D deficiency: An Endocrine Society clinical practice guideline. J. Clin. Endocrinol. Metab. 2011, 96, 1911–1930. [Google Scholar] [CrossRef] [PubMed]
- Institute of Medicine (US) Committee to Review Dietary Reference Intakes for Vitamin D and Calcium; Ross, A.C.; Taylor, C.L.; Yaktine, A.L.; Del Valle, H.B. (Eds.) Dietary Reference Intakes for Calcium and Vitamin D; National Academies Press: Washington, DC, USA, 2011. Available online: https://www.ncbi.nlm.nih.gov/books/NBK56070/ (accessed on 2 November 2024). [CrossRef]
- Garcia-Martinez, R.; Diaz-Ruiz, R.; Millan, J.; Bañares, R. Chronic Liver Failure and Acute-on-Chronic Liver Failure. In Liver Diseases; Springer: Cham, Switzerland, 2020; pp. 381–394. [Google Scholar] [CrossRef]
- Cordoba, J. New assessment of hepatic encephalopathy. J. Hepatol. 2011, 54, 1030–1040. [Google Scholar] [CrossRef] [PubMed]
- Lezak, M.D.; Howieson, D.B.; Bigler, E.D.; Tranel, D. Neuropsychological Assessment, 5th ed.; Oxford University Press: New York, NY, USA, 2012. [Google Scholar]
- Diaz, L.B.; Casuso-Holgado, M.J.; Labajos-Manzanares, M.T.; Baron-Lopez, F.J.; Pinero-Pinto, E.; Romero-Galisteo, R.P.; Moreno-Morales, N. Analysis of Fall Risk Factors in an Aging Population Living in Long-Term Care Institutions in SPAIN: A Retrospective Cohort Study. Int. J. Environ. Res. Public Health 2020, 17, 7234. [Google Scholar] [CrossRef]
- Lopez-Abente, J.; Bernaldo-de-Quiros, E.; Camino, M.; Gil, N.; Panadero, E.; Campos-Dominguez, M.; Seoane-Reula, E.; Gil-Jaurena, J.M.; Pion, M.; Correa-Rocha, R. Immune dysregulation and Th2 polarization are associated with atopic dermatitis in heart-transplant children: A delicate balance between risk of rejection or atopic symptoms. Am. J. Transplant. 2019, 19, 1536–1544. [Google Scholar] [CrossRef]
- EASL Clinical Practice Guidelines on the management of hepatic encephalopathy. J. Hepatol. 2022, 77, 807–824. [CrossRef]
- Balzano, T.; Forteza, J.; Borreda, I.; Molina, P.; Giner, J.; Leone, P.; Urios, A.; Montoliu, C.; Felipo, V. Histological Features of Cerebellar Neuropathology in Patients With Alcoholic and Nonalcoholic Steatohepatitis. J. Neuropathol. Exp. Neurol. 2018, 77, 837–845. [Google Scholar] [CrossRef] [PubMed]
- Ibanez-Samaniego, L.; Rapado-Castro, M.; Cabrero, L.; Navarrete, C.; Garcia-Mulas, S.; Ahumada, A.; Marquez, L.; Perez, M.D.; Rincon, D.; Banares, R.; et al. Hepatitis C eradication improves cognitive function in patients with or without cirrhosis: A prospective real-life study. Eur. J. Neurol. 2022, 29, 400–412. [Google Scholar] [CrossRef] [PubMed]
- Seo, S.W.; Gottesman, R.F.; Clark, J.M.; Hernaez, R.; Chang, Y.; Kim, C.; Ha, K.H.; Guallar, E.; Lazo, M. Nonalcoholic fatty liver disease is associated with cognitive function in adults. Neurology 2016, 86, 1136–1142. [Google Scholar] [CrossRef]
- Garcia-Martinez, R.; Rovira, A.; Alonso, J.; Jacas, C.; Simón-Talero, M.; Chavarria, L.; Vargas, V.; Córdoba, J. Hepatic encephalopathy is associated with posttransplant cognitive function and brain volume. Liver Transpl. 2011, 17, 38–46. [Google Scholar] [CrossRef] [PubMed]
- Weissenborn, K. Minimal/Covert Hepatic Encephalopathy—Impact of Comorbid Conditions. J. Clin. Exp. Hepatol. 2019, 9, 109–111. [Google Scholar] [CrossRef]
- Plauth, M.; Cabre, E.; Riggio, O.; Assis-Camilo, M.; Pirlich, M.; Kondrup, J.; Ferenci, P.; Holm, E.; Vom Dahl, S.; Muller, M.J.; et al. ESPEN Guidelines on Enteral Nutrition: Liver disease. Clin. Nutr. 2006, 25, 285–294. [Google Scholar] [CrossRef]
- Lima, T.S. Beyond an inflammatory mediator: Interleukin-1 in neurophysiology. Exp Physiol. 2023, 108, 917–924. [Google Scholar] [CrossRef] [PubMed]
- Becher, B.; Spath, S.; Goverman, J. Cytokine networks in neuroinflammation. Nat. Rev. Immunol. 2017, 17, 49–59. [Google Scholar] [CrossRef]
- Zhu, Q.; Wan, L.; Huang, H.; Liao, Z. IL-1beta, the first piece to the puzzle of sepsis-related cognitive impairment? Front. Neurosci. 2024, 18, 1370406. [Google Scholar] [CrossRef] [PubMed]
- Lopez-Rodriguez, A.B.; Hennessy, E.; Murray, C.L.; Nazmi, A.; Delaney, H.J.; Healy, D.; Fagan, S.G.; Rooney, M.; Stewart, E.; Lewis, A.; et al. Acute systemic inflammation exacerbates neuroinflammation in Alzheimer’s disease: IL-1beta drives amplified responses in primed astrocytes and neuronal network dysfunction. Alzheimer’s Dement. 2021, 17, 1735–1755. [Google Scholar] [CrossRef] [PubMed]
- Herrera, G.; Calfa, G.; Schioth, H.B.; Lasaga, M.; Scimonelli, T. Memory consolidation impairment induced by Interleukin-1beta is associated with changes in hippocampal structural plasticity. Behav. Brain Res. 2019, 370, 111969. [Google Scholar] [CrossRef] [PubMed]
- Etgen, T.; Sander, D.; Bickel, H.; Sander, K.; Forstl, H. Vitamin D deficiency, cognitive impairment and dementia: A systematic review and meta-analysis. Dement. Geriatr. Cogn. Disord. 2012, 33, 297–305. [Google Scholar] [CrossRef] [PubMed]
- Huang, Z.B.; Sheng, G.Q. Interleukin-1beta with learning and memory. Neurosci. Bull. 2010, 26, 455–468. [Google Scholar] [CrossRef] [PubMed]
- Fassio, A.; Gatti, D.; Rossini, M.; Bertelle, D.; Bixio, R.; Viapiana, O.; Milleri, S.; Benini, C.; Pistillo, F.; Zanetti, G.; et al. Effects on Serum Inflammatory Cytokines of Cholecalciferol Supplementation in Healthy Subjects with Vitamin D Deficiency. Nutrients 2022, 14, 4823. [Google Scholar] [CrossRef]
- Eyles, D.W.; Smith, S.; Kinobe, R.; Hewison, M.; McGrath, J.J. Distribution of the vitamin D receptor and 1 alpha-hydroxylase in human brain. J. Chem. Neuroanat. 2005, 29, 21–30. [Google Scholar] [CrossRef] [PubMed]
- Wechsler, D. Wechsler Adult Intelligence Scale—Fourth Edition. 2008. Available online: https://doi.org/10.1037/t15169-000 (accessed on 2 November 2024).
- Available online: https://www.pearsonassessments.com/professional-assessments/products/spanish-assessments-english.html (accessed on 2 November 2024).
- Gómez, M.R.; Córdoba, J.; Jover, R.; del Olmo, J.; Fernández, A.; Flavià, M.; Compañy, L.; Poveda, M.J.; Felipo, V. Tablas de normalidad de la población española para los tests psicométricos utilizados en el diagnóstico de la encefalopatía hepática mínima. Med. Clin. 2006, 127, 246–249. [Google Scholar] [CrossRef] [PubMed]
- Stroop, J.R. Studies of interference in serial verbal reactions. J. Exp. Psychol. Gen. 1992, 121, 15–23. [Google Scholar] [CrossRef]
- Golden, C.J. Stroop Color and Word Test: A Manual for Clinical and Experimental Uses; Skoelting: Chicago, IL, USA, 1978; pp. 1–32. [Google Scholar]
- Rognoni, T.; Casals-Coll, M.; Sánchez-Benavides, G.; Quintana, M.; Manero, R.M.; Calvo, L.; Palomo, R.; Aranciva, F.; Tamayo, F.; Peña-Casanova, J. Estudios normativos españoles en población adulta joven (proyecto NEURONORMA jóvenes): Normas para las pruebas Stroop Color-Word Interference Test y Tower of London-Drexel University. Neurología 2013, 28, 73–80. [Google Scholar] [CrossRef]
- Peña-Casanova, J.; Quiñones-Úbeda, S.; Gramunt-Fombuena, N.; Quintana, M.; Aguilar, M.; Molinuevo, J.L.; Serradell, M.; Robles, A.; Barquero, M.S.; Payno, M.; et al. Spanish Multicenter Normative Studies (NEURONORMA Project): Norms for the Stroop Color-Word Interference Test and the Tower of London-Drexel. Arch. Clin. Neuropsychol. 2009, 24, 413–429. [Google Scholar] [CrossRef] [PubMed]
- Brandt, J. The hopkins verbal learning test: Development of a new memory test with six equivalent forms. Clin. Neuropsychol. 1991, 5, 125–142. [Google Scholar] [CrossRef]
- Sáez-Atxukarro, O.; Pino, R.D.; Peña, J.; Schretlen, D.J.; Ibarretxe-Bilbao, N.; Ojeda, N. Test de aprendizaje verbal de Hopkins revisado: Normalización y estandarización de la prueba en población española. Rev. Neurol. 2021, 72, 35–42. [Google Scholar] [CrossRef]



| All N = 27 | HGUGM N = 14 | HSCSP N = 13 | p Value | |
|---|---|---|---|---|
| DEMOGRAPHICS | ||||
| Age (years; mean ± SD) | 62.4 ± 11.3 | 57.57 ± 11.2 | 67.6 ± 9.2 | 0.017 * |
| Gender (male; n, %) | 22 (81.5%) | 12 (85%) | 10 (77%) | 0.56 |
| Education (years; mean ± SD) | 9.0 ± 4.0 | 8.0 ± 4.0 | 10.1 ± 3.8 | 0.162 |
| ANTHROPOMETRY | ||||
| BMI (kg/m2; mean ± SD) | 27.9 ± 3.6 | 27.5 ± 3.5 | 28.3 ± 3.7 | 0.59 |
| COMORBIDITIES | ||||
| Charlson index (mean ± SD) | 6.0 ± 1.6 | 5.9 ± 1.8 | 6.2 ± 1.5 | 0.73 |
| CONCOMITANT TREATMENT | ||||
| Antidepressants (n, %) | 1 (3.7%) | 0 (0.0%) | 1 (7.7%) | 0.290 |
| Benzodiazepines (n, %) | 2 (7.4%) | 0 (0%) | 2 (15.4%) | 0.127 |
| Opioids (n, %) | 1 (3.7%) | 0 (0%) | 1 (7.7%) | 0.290 |
| Diuretics (n, %) | 19 (70.4%) | 9 (64.3%) | 10 (77%) | 0.472 |
| Betablockers (n, %) | 7 (50%) | 9 (69%) | 0.310 | |
| CHARACTERISTICS OF CIRRHOSIS | ||||
| Alcohol etiology (n, %) | 9 (33.3%) | 4 (28.6%) | 5 (38.5%) | 0.90 |
| MELD (mean ± SD) | 11.7 ± 4.0 | 14.0 ± 3.8 | 9.2 ± 2.5 | 0.001 * |
| Esophageal varices (n, %) | 21 (77.8%) | 11 (78.6%) | 10 (77%) | 0.918 |
| Ascites (n, %) | 24 (88.9%) | 14 (100%) | 10 (77%) | 0.057 |
| SBP (n, %) | 7 (25.9%) | 5 (36%) | 2 (15.4%) | 0.228 |
| Non-SBP infection (n, %) | 8 (29.6%) | 7 (50%) | 1 (7.7%) | 0.033 * |
| Variceal bleeding (n, %) | 12 (44.4%) | 7 (50%) | 5 (38.5%) | 0.547 |
| Previous OHE (n, %) | 9 (33.3%) | 6 (42.9%) | 3 (23%) | 0.276 |
| INFECTION | ||||
| Patients with infections within the previous year (n, %) | 12 (44.4%) | 9 (64%) | 3 (23%) | 0.054 |
| Number of episodes (median [IQR]) | 2 [2] | 2 [1] | 2 [2] | 0.864 |
| Hospital admission needed (n, %) | 12 (100%) | 9 (100%) | 3 (100%) | 1.00 |
| ICU admission (n, %) | 1 (3.7%) | 1 (16%) | 0 (0%) | 0.546 |
| Antibiotics needed (n%) | 12 (100%) | 9 (100%) | 3 (100%) | 1.00 |
| DECOMPENSATIONS within the previous year | ||||
| Number of hospital admissions within the previous year (median [IQR]) | 2 [2] | 2 [2] | 1.5 [1] | 0.616 |
| Ascites (n) | 25 | 12 | 13 | 0.506 |
| SBP (n) | 6 | 3 | 3 | 1 |
| Variceal bleeding (n) | 9 | 4 | 5 | 0.823 |
| Overt HE (n) | 12 | 7 | 5 | 0.361 |
| LABORATORY TESTS | ||||
| Hb (gr/dL, mean ± SD) | 11.7 ± 1.6 | 12.2 ± 1.4 | 11.3 ± 1.8 | 0.17 |
| Platelets (1 × 109/L; mean ± SD) | 84.3 ± 31.3 | 83.5 ± 23.73 | 85.2 ± 38.8 | 0.889 |
| INR (mean ± SD) | 1.3 ± 0.2 | 1.4 ± 0.2 | 1.2 ± 0.1 | 0.006 * |
| Creatinine (mg/dL; mean ± SD) | 0.9 ± 0.2 | 0.9 ± 0.3 | 0.8 ± 0.1 | 0.202 |
| Na (mEq/l; mean ± SD) | 138.4 ± 3.9 | 138.9 ± 4.5 | 137.9 ± 3.1 | 0.541 |
| AST (UI/l; mean ± SD) | 47.2 ± 44.6 | 59.4 ± 59.7 | 34.2 ± 8.9 | 0.145 |
| ALT (UI/l; mean ± SD) | 32.3 ± 34.3 | 40.7 ± 46.0 | 23.0 ± 8.6 | 0.181 |
| GGT (UI/l; mean ± SD) | 130.7 ± 109.6 | 132.0 ± 91.6 | 129.4 ± 130.0 | 0.952 |
| ALP (UI/l; mean ± SD) | 156.5 ± 64.2 | 152.8 ± 67.8 | 160.1 ± 63.0 | 0.776 |
| Albumin (gr/dL; mean ± SD) | 3.4 ± 5.0 | 3.5 ± 0.6 | 3.3 ± 0.3 | 0.370 |
| Ca (mg/dL; mean ± SD) | 9.1 ± 0.5 | 9.2 ± 0.5 | 8.9 ± 0.6 | 0.238 |
| Phosphate (mg/dL; mean ± SD) | 3.4 ± 0.8 | 3.6 ± 0.7 | 3.2 ± 0.8 | 0.154 |
| Triglycerides (mg/dL, mean ± SD) | 86.3 ± 34.3 | 90.5 ± 37.7 | 81.8 ± 30.9 | 0.519 |
| Cholesterol (mg/dL, mean ± SD) | 132.6 ± 42.9 | 138,1 ± 41.2 | 126.7 ± 45.5 | 0.500 |
| Prealbumin (mg/dL, mean ± SD) | 8.7 ± 4.1 | 8.1 ± 4.5 | 9.4 ± 3.5 | 0.437 |
| Mg (mg/dL; mean ± SD) | 1.8 ± 0.2 | 1.8 ± 0.2 | 1.8 ± 0.2 | 0.809 |
| Zn (µg/L; mean ± SD) | 56.4 ± 13.5 | 55.93 ± 13.7 | 56.9 ± 13.7 | 0.850 |
| Cu (µg/L; mean ± SD) | 89.2 ± 30.6 | 88.4 ± 31.1 | 85.6 ± 27.4 | 0.615 |
| Ferritin (µg/L; mean ± SD) | 220.2 ± 274.6 | 253 ± 333 | 178 ± 182 | 0.511 |
| RCP (mg/dL; mean ± SD) | 1.0 ± 1.3 | 1.23 ± 1.5 | 0.85 ± 1.0 | 0.457 |
| Procalcitonin (µg/L; median [IQR]) | 0.09 [0.13] | 0.08 [0.13] | 0.1 [0.17] | 0.151 |
| 25OHD (µg/L; mean ± SD) | 14.7 ± 8.4 | 17.74 ± 7.2 | 11.4 ± 8.7 | 0.048 * |
| 25OHD sufficient/insufficient/deficient (n) | 0/8/19 | 0/6/8 | 0/2/11 | 0.209 |
| PTH (ng/L; mean ± SD) | 41.3 ± 20.1 | 42.7 ± 21.6 | 39.7 ± 19.1 | 0.715 |
| Vitamin A (µg/dL; mean ± SD) | 17.8 ± 10.9 | 20.0 ± 9.7 | 15.6 ± 12.1 | 0.319 |
| Vitamin E (µg/dL; mean ± SD) | 1137.0 ± 440.7 | 1227.1 ± 388.9 | 1039.9 ± 487.1 | 0.279 |
| Vitamin B12 (ng/L; mean ± SD) | 701.4 ± 274.6 | 747.0 ± 288.8 | 542.0 ± 148.9 | 0.196 |
| Folate (µg/L; mean ± SD) | 10.9 ± 5.6 | 10.4 ± 5.7 | 11.6 ± 5.7 | 0.616 |
| 6 | 12 | P | P | P | ||
|---|---|---|---|---|---|---|
| Baseline (n = 27) | Months (n = 27) | Months (n = 22) | (6 m vs. Baseline) | (12 m vs. Baseline) | (3 Visits) | |
| COGNITIVE ASSESSMENT | ||||||
| PHES (score; median [IQR]) | 0.0 [3] | 0.0 [4] | −1 [5] | 0.302 | 0.323 | |
| Processing speed (T-score; mean ± SD) | 46.5 ± 9.2 | 48.1 ± 12.1 | 45.9 ± 10.9 | 0.051 | 0.554 | |
| Executive (T-score; mean ± SD) | 45.6 ± 11.2 | 49.6 ± 9.8 | 47.5 ± 9.4 | 0.070 | 0.223 | |
| Visuomotor (T-score; mean ± SD) | 38.7 ± 11.5 | 39.9 ± 11.3 | 37.5 ± 10 | 0.202 | 0.360 | |
| Learning and memory (T-score; mean ± SD) | 53.9 ± 11.1 | 51.9 ± 9.7 | 50.9 ± 11.6 | 0.346 | 0.285 | |
| Working memory (T-score; mean ± SD) | 46.7 ± 13 | 50 ± 11 | 50 ± 12 | 0.047 * | 0.412 | |
| Attention (T-score; mean ± SD) | 35.6 ± 9.2 | 35.3 ± 7.5 | 35.2 ± 7.0 | 0.627 | 0.881 | |
| Global cognitive function (T-score; mean ± SD) | 44 ± 9 | 45.6 ± 8 | 43.5 ± 8.4 | 0.299 | 0.281 | |
| FALLS ASSESSMENT | ||||||
| Falls (mean ± SD) (events/patient/month) | 0.097 ± 0.2 † | 0.05 ± 0.07 ‡ | 0.359 | |||
| Tinetti balance (score; mean ± SD) | 14.7 ± 1.9 | 15.1 ± 2.2 | 14.0 ± 3.0 | 0.353 | ||
| Tinetti gait (score; mean ± SD) | 11.6 ± 0.9 | 10.5 ± 3.8 | 11.1 ± 2.7 | 0.374 | ||
| Tinetti total (score; mean ± SD) | 26.3 ± 2.7 | 26.7 ± 3.3 | 25.2 ± 4.7 | 0.395 | ||
| FRACTURES ASSESSMENT | ||||||
| FRAX major osteoporotic (%; median [IQR]) | 2.8 [4] | 3.1 [4.1] | 0.331 | |||
| FRAX hip fracture (%; median [IQR]) | 0.6 [2] | 0.6 [1.4] | 0.702 |
| PHES (Score) | Processing Speed (T-Score) | Executive (T-Score) | Visuomotor (T-Score) | Learning and Memory (T-Score) | Working Memory (T-Score) | Attention (T-Score) | GCF (T-Score) | |
|---|---|---|---|---|---|---|---|---|
| 25OHD (µg/L) | R = 0.06 p = 0.77 | R = 0.06 p = 0.80 | R = 0.24 p = 0.25 | R = 0.06 p = 0.78 | R = 0.34 p = 0.09 | R = 0.44 p = 0.09 | R = 0.16 p = 0.51 | R = 0.20 p = 0.32 |
| CCL2-MCP1 (pg/mL) | R = −0.09 p = 0.69 | R = −0.09 p = 0.68 | R = 0.01 p = 0.97 | R = −0.21 p = 0.316 | R = −0.29 p = 0.12 | R = −0.22 p = 0.46 | R = 0.07 p = 0.79 | R = −0.20 p = 0.32 |
| IL12p70 (pg/mL) | R = −0.13 p = 0.57 | R = −0.08 p = 0.74 | R = 0.08 p = 0.75 | R = −0.08 p = 0.73 | R = −0.04 p = 0.85 | R = −0.18 p = 0.56 | R = 0.02 p = 0.93 | R = −0.06 p = 0.77 |
| IL1 β (pg/mL) | R = −0.42 p = 0.05 | R = −0.42 * p = 0.04 | R = −0.290 p = 0.18 | R = −0.36 p = 0.08 | R = −0.06 p = 0.78 | R = −0.08 p = 0.79 | R = −0.48 * p = 0.04 | R = −0.32 p = 0.11 |
| GM-CSF (pg/mL) | R = −0.23 p = 0.30 | R = −0.18 p = 0.40 | R = 0.03 p = 0.88 | R = −0.24 p = 0.26 | R = −0.02 p = 0.92 | R = 0.11 p = 0.71 | R = −0.17 p = 0.48 | R = −0.15 p = 0.46 |
| TNF-α (pg/mL) | R = −0.10 p = 0.68 | R = −0.25 p = 0.24 | R = 0.20 p = 0.37 | R = −0.15 p = 0.46 | R = −0.13 p = 0.52 | R = 0.10 p = 0.73 | R = −0.03 p = 0.91 | R = −0.12 p = 0.58 |
| IL-6 (pg/mL) | R = 0.14 p = 0.55 | R = −0.06 p = 0.77 | R = 0.18 p = 0.42 | R = 0.05 p = 0.82 | R = −0.15 p = 0.47 | R = 0.20 p = 0.49 | R = −0.03 p = 0.89 | R = −0.01 p = 0.97 |
| CX3CL1/ FRACTALKINE (pg/mL) | R = −0.08 p = 0.72 | R = −0.05 p = 0.81 | R = −0.03 p = 0.91 | R = −0.16 p = 0.44 | R = 0.01 p = 0.98 | R = 0.05 p = 0.87 | R = 0.11 p = 0.64 | R = −0.1 p = 0.64 |
| HEPCIDINE (pg/mL) | R = 0.224 p = 0.32 | R = 0.40 p = 0.06 | R = −0.06 p = 0.77 | R = 0.37 p = 0.07 | R = 0.34 p = 0.09 | R = 0.29 p = 0.31 | R = 0.30 p = 0.21 | R = 0.33 p = 0.10 |
| VITDBP (mg/mL) | R = 0.15 p = 0.50 | R = 0.36 p = 0.10 | R = −0.28 p = 0.20 | R = 0.20 p = 0.34 | R = 0.21 p = 0.30 | R = −0.28 p = 0.33 | R = 0.13 p = 0.60 | R = 0.13 p = 0.53 |
| BASELINE (n = 27) | 6 MONTHS (n = 27) | 12 MONTHS (n = 22) | P (6 m vs. Baseline) | P (3 Visits) | |
|---|---|---|---|---|---|
| INFECTIONS | |||||
| Episodes/patient/month (mean ± SD) | 0.064 ± 0.09 † | 0.055 ± 0.1 ‡ | 0.683 | ||
| RCP (mg/dL; mean ± SD) | 0.97 ± 1.3 | 1.0 ± 1.21 | 0.64 ± 0.2 | 0.342 | |
| Procalcitonin (µg/L; median [IQR]) | 0.10 [0.13] | 0.09 [0.1] | 0.095 [0.1] | 0.685 | |
| MEDICATIONS | |||||
| Antidepressants (n%) | 1(3.7%) | 2(7.4%) | 1(4.5%) | 1.000 | |
| Benzodiazepines (n, %) | 2(7.4%) | 3(11.1%) | 2(9%) | 1.000 | |
| LABORATORY | |||||
| 25OHD (µg/L; mean ± SD) | 14.6 ± 9.0 | 37.4 ± 20.4 | 42.6 ± 18.5 | <0.001 * | |
| 25OHD sufficient/insufficient/deficient (n) | 0/8/19 | 17/4/6 | 15/5/2 | <0.001 * | |
| PTH (ng/L; mean ± SD) | 42 ± 22 | 32 ± 19 | 30 ± 11 | 0.054 | |
| Prealbumin (mg/dL; mean ± SD) | 8.2 ± 3.7 | 12.1 ± 5.3 | 11.4 ± 5.5 | 0.005 * | |
| Albumin (gr/dL; mean ± SD) | 34 ± 4.5 | 35.7 ± 6.4 | 36 ± 6.3 | 0.234 | |
| Cholesterol (mg/dL; mean ± SD) | 133.2 ± 48 | 160.7 ± 46.9 | 172.4 ± 82.5 | 0.023 * | |
| Vitamin A (µg/dL; mean ± SD) | 14.3 ± 9.0 | 26.7 ± 14.5 | 27.0 ± 13.1 | 0.002 * | |
| Vitamin E (µg/dL; mean ± SD) | 1149 ± 499 | 1304 ± 599 | 1518 ± 1612 | 0.288 | |
| Ferritin (µg/dL; mean ± SD) | 276 ± 304 | 186 ± 225 | 173 ± 306 | 0.256 | |
| Hemoglobin (gr/dL; mean ± SD) | 11.9 ± 1.6 | 12.9 ± 2.0 | 12.8 ± 2.0 | 0.03 * | 0.070 |
| LIVER SCORES | |||||
| Child-Pugh (mean ± SD) | 6,9 ± 1.5 | 6.8 ± 1.7 | 6.8 ± 1.7 | 0.798 | |
| MELD (mean ± SD) | 11.1 ± 3.8 | 11.5 ± 3.3 | 12.9 ± 4.4 | 0.053 | |
| INFLAMMATION | |||||
| CCL2-MCP1 (pg/mL; median [IQR]) | 270 [149] | 256 [114] | 284 [169] | 0.026 * | 0.807 |
| IL12p70 (pg/mL; median [IQR]) | 2.46 [3.5] | 1.98 [2.3] | 1.45 [3.7] | 0.615 | 0.920 |
| IL-1β (pg/mL; median [IQR]) | 0.5 [0.8] | 0.3 [0.8] | 0.2 [0.9] | 0.026 * | 0.368 |
| GM-CSF (pg/mL; median [IQR]) | 2.06 [2.1] | 1.8 [1.3] | 1.8 [3.6] | 0.059 | 0.807 |
| TNF-α (pg/mL; median [IQR]) | 12.5 [6.4] | 11.3 [4.9] | 11.0 [5.5] | 0.191 | 0.607 |
| IL6 (pg/mL; median [IQR]) | 8.3 [13.8] | 7.6 [5.5] | 7.5 [6.5] | 0.037 * | 0.199 |
| CX3CL1/Fractalkine (pg/mL; median [IQR]) | 1930 [918] | 1941 [1414] | 1635 [1179] | 0.362 | 0.807 |
| Hepcidine (pg/mL; median [IQR]) | 17,324 [57,583] | 18,445 [24,855] | 5715 [16,594] | 0.078 | 0.046 * |
Disclaimer/Publisher’s Note: The statements, opinions and data contained in all publications are solely those of the individual author(s) and contributor(s) and not of MDPI and/or the editor(s). MDPI and/or the editor(s) disclaim responsibility for any injury to people or property resulting from any ideas, methods, instructions or products referred to in the content. |
© 2025 by the authors. Licensee MDPI, Basel, Switzerland. This article is an open access article distributed under the terms and conditions of the Creative Commons Attribution (CC BY) license (https://creativecommons.org/licenses/by/4.0/).
Share and Cite
Diaz-Ruiz, R.; Poca, M.; Roman, E.; Panadero-Gomez, R.; Cuyàs, B.; Bañares, I.; Morales, A.; Puerto, M.; Lopez-Esteban, R.; Blazquez, E.; et al. Vitamin D Supplementation Is Associated with Inflammation Amelioration and Cognitive Improvement in Decompensated Patients with Cirrhosis. Nutrients 2025, 17, 226. https://doi.org/10.3390/nu17020226
Diaz-Ruiz R, Poca M, Roman E, Panadero-Gomez R, Cuyàs B, Bañares I, Morales A, Puerto M, Lopez-Esteban R, Blazquez E, et al. Vitamin D Supplementation Is Associated with Inflammation Amelioration and Cognitive Improvement in Decompensated Patients with Cirrhosis. Nutrients. 2025; 17(2):226. https://doi.org/10.3390/nu17020226
Chicago/Turabian StyleDiaz-Ruiz, Raquel, Maria Poca, Eva Roman, Rocio Panadero-Gomez, Berta Cuyàs, Irene Bañares, Angela Morales, Marta Puerto, Rocio Lopez-Esteban, Elena Blazquez, and et al. 2025. "Vitamin D Supplementation Is Associated with Inflammation Amelioration and Cognitive Improvement in Decompensated Patients with Cirrhosis" Nutrients 17, no. 2: 226. https://doi.org/10.3390/nu17020226
APA StyleDiaz-Ruiz, R., Poca, M., Roman, E., Panadero-Gomez, R., Cuyàs, B., Bañares, I., Morales, A., Puerto, M., Lopez-Esteban, R., Blazquez, E., Fernández-Castillo, M., Correa-Rocha, R., Rapado-Castro, M., Breton, I., Bañares, R., Soriano, G., & Garcia-Martinez, R. (2025). Vitamin D Supplementation Is Associated with Inflammation Amelioration and Cognitive Improvement in Decompensated Patients with Cirrhosis. Nutrients, 17(2), 226. https://doi.org/10.3390/nu17020226

