Common Bean Suppresses Hepatic Ceramide Metabolism in a Mouse Model of Metabolic Dysfunction-Associated Steatotic Liver Disease
Abstract
1. Introduction
2. Materials and Methods
2.1. Animal Feeding Study
2.2. Experimental Approach
2.3. Diet Composition
2.4. Metabolomics Analysis
2.5. RNA Isolation and RNAseq Analysis
2.6. Western Blot-Based Nanocapillary Electrophoresis
2.7. Statistical Analysis
3. Results
3.1. Metabolomic Profiles Reveal Sphingolipid Metabolism Affected
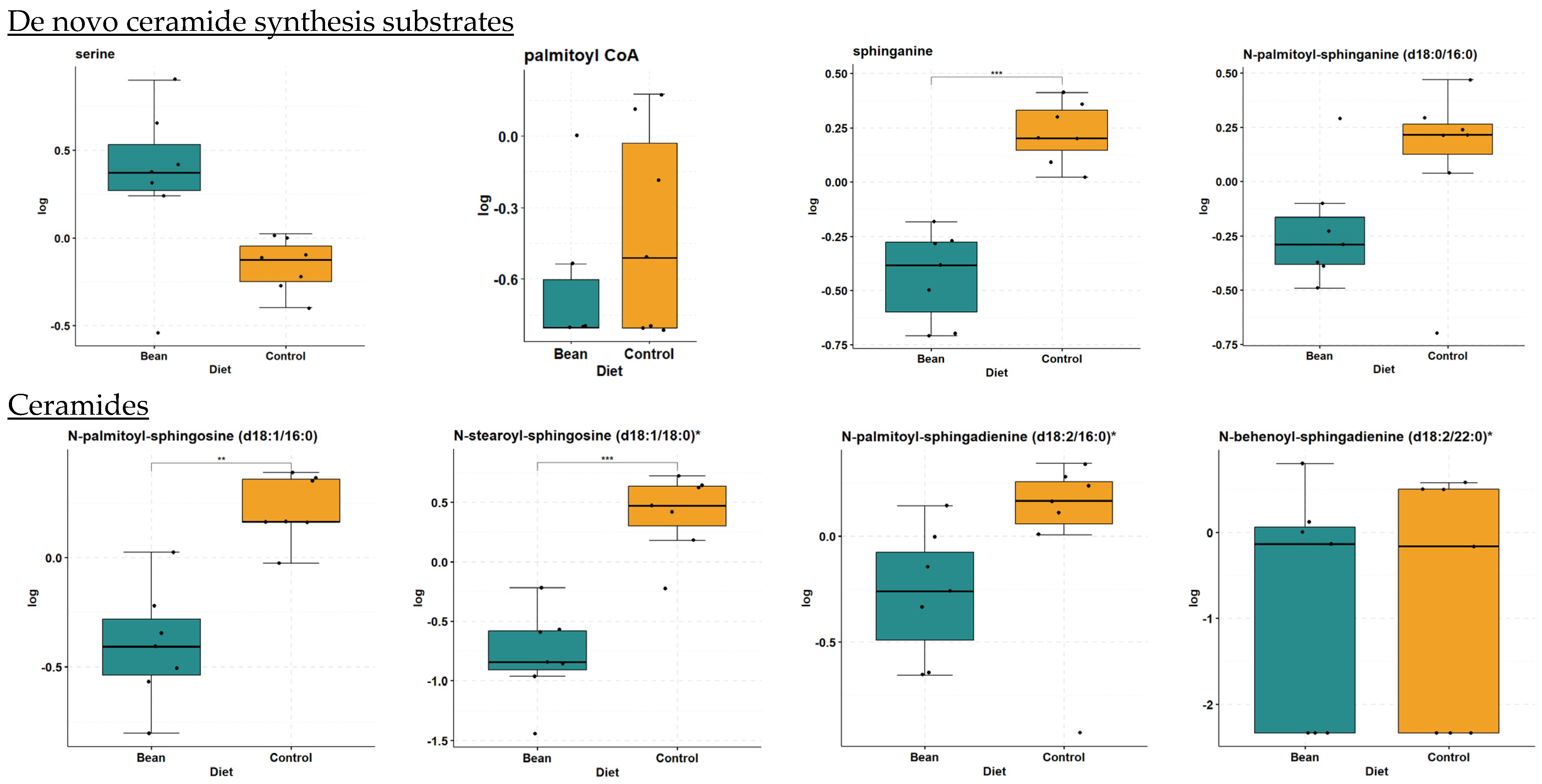
3.2. De Novo Ceramide Synthesis
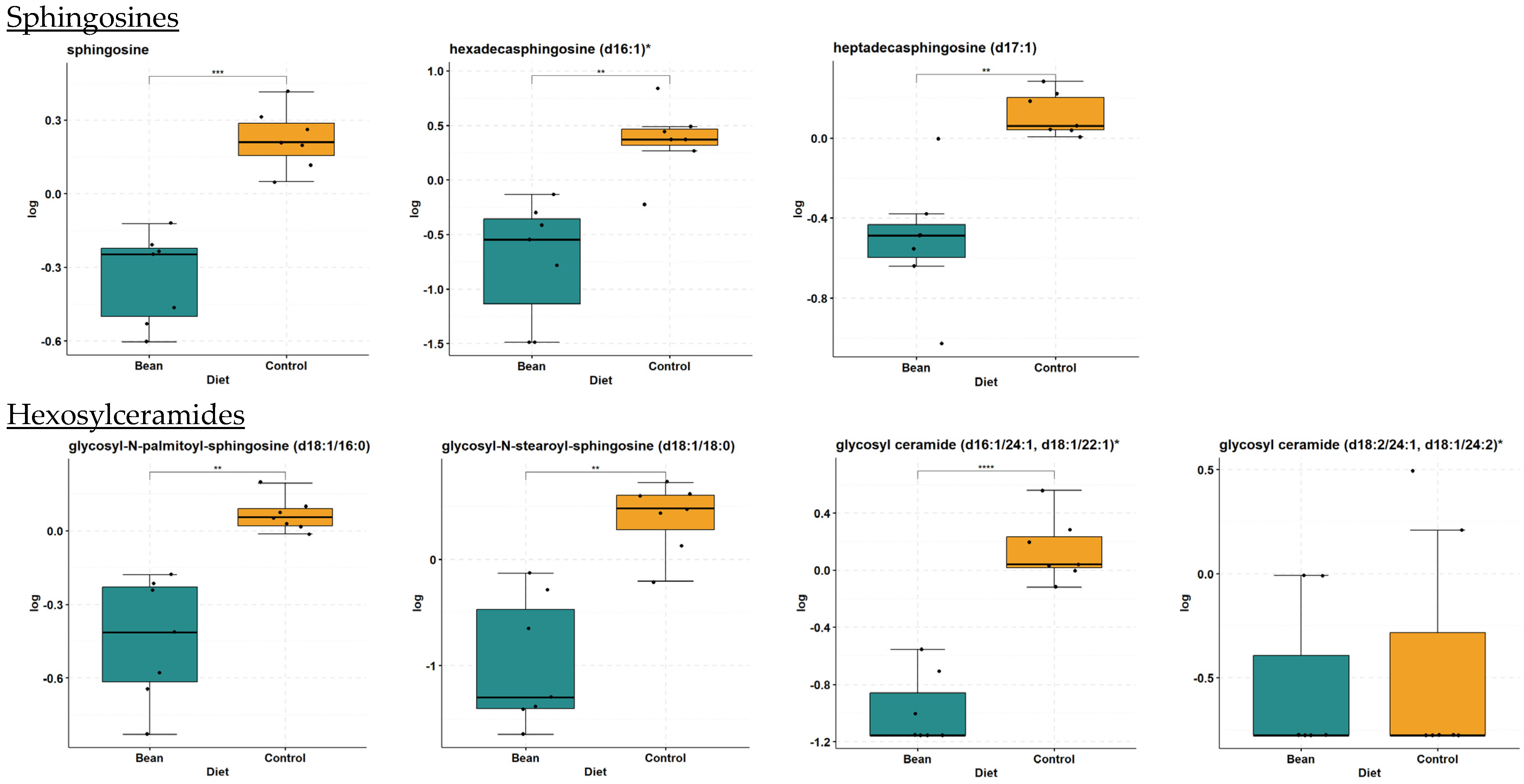
3.3. Salvage Pathway of Ceramide Biotransformation and Degradation
3.4. Sphingomyelin Pathway of Ceramide Biotransformation
3.5. Transcriptional Regulation Altered by Bean Consumption
3.6. Plasma Ceramide Levels for Disease Detection
4. Discussion
4.1. Moving Forward
4.2. Strengths and Limitations
5. Conclusions
Supplementary Materials
Author Contributions
Funding
Institutional Review Board Statement
Data Availability Statement
Conflicts of Interest
References
- Chan, W.K.; Chuah, K.H.; Rajaram, R.B.; Lim, L.L.; Ratnasingam, J.; Vethakkan, S.R. Metabolic Dysfunction-Associated Steatotic Liver Disease (MASLD): A State-of-the-Art Review. J. Obes. Metab. Syndr. 2023, 32, 197–213. [Google Scholar] [CrossRef] [PubMed]
- Jiang, Y.; Wu, L.; Zhu, X.; Bian, H.; Gao, X.; Xia, M. Advances in management of metabolic dysfunction-associated steatotic liver disease: From mechanisms to therapeutics. Lipids Health Dis. 2024, 23, 95. [Google Scholar] [CrossRef] [PubMed]
- Poss, A.M.; Summers, S.A. Too Much of a Good Thing? An Evolutionary Theory to Explain the Role of Ceramides in NAFLD. Front. Endocrinol. 2020, 11, 505. [Google Scholar] [CrossRef] [PubMed]
- Gu, S.; Qiao, Y.; Liu, S.; Yang, S.; Cong, S.; Wang, S.; Yu, D.; Wang, W.; Chai, X. Frontiers and hotspots of adipose tissue and NAFLD: A bibliometric analysis from 2002 to 2022. Front. Physiol. 2023, 14, 1278952. [Google Scholar] [CrossRef] [PubMed]
- Khanmohammadi, S.; Tavolinejad, H.; Aminorroaya, A.; Rezaie, Y.; Ashraf, H.; Vasheghani-Farahani, A. Association of lipid accumulation product with type 2 diabetes mellitus, hypertension, and mortality: A systematic review and meta-analysis. J. Diabetes Metab. Disord. 2022, 21, 1943–1973. [Google Scholar] [CrossRef]
- Miao, L.; Targher, G.; Byrne, C.D.; Cao, Y.-Y.; Zheng, M.-H. Current status and future trends of the global burden of MASLD. Trends Endocrinol. Metab. 2024, 35, 697–707. [Google Scholar] [CrossRef]
- Yanai, H.; Adachi, H.; Hakoshima, M.; Iida, S.; Katsuyama, H. Metabolic-Dysfunction-Associated Steatotic Liver Disease-Its Pathophysiology, Association with Atherosclerosis and Cardiovascular Disease, and Treatments. Int. J. Mol. Sci. 2023, 24, 15473. [Google Scholar] [CrossRef]
- Harrison, S.A.; Bedossa, P.; Guy, C.D.; Schattenberg, J.M.; Loomba, R.; Taub, R.; Labriola, D.; Moussa, S.E.; Neff, G.W.; Rinella, M.E.; et al. A Phase 3, Randomized, Controlled Trial of Resmetirom in NASH with Liver Fibrosis. N. Engl. J. Med. 2024, 390, 497–509. [Google Scholar] [CrossRef]
- Younossi, Z.M.; Corey, K.E.; Lim, J.K. AGA Clinical Practice Update on Lifestyle Modification Using Diet and Exercise to Achieve Weight Loss in the Management of Nonalcoholic Fatty Liver Disease: Expert Review. Gastroenterology 2021, 160, 912–918. [Google Scholar] [CrossRef]
- Hydes, T.J.; Ravi, S.; Loomba, R.; Gray, M.E. Evidence-based clinical advice for nutrition and dietary weight loss strategies for the management of NAFLD and NASH. Clin. Mol. Hepatol. 2020, 26, 383–400. [Google Scholar] [CrossRef]
- Abenavoli, L.; Milic, N. Dietary intervention in non-alcoholic fatty liver disease. J. Acad. Nutr. Diet. 2013, 113, 211. [Google Scholar] [CrossRef] [PubMed]
- Stefano, J.T.; Duarte, S.M.B.; Ribeiro Leite Altikes, R.G.; Oliveira, C.P. Non-pharmacological management options for MAFLD: A practical guide. Ther. Adv. Endocrinol. Metab. 2023, 14, 20420188231160394. [Google Scholar] [CrossRef] [PubMed]
- Zhu, Y.; Yang, H.; Zhang, Y.; Rao, S.; Mo, Y.; Zhang, H.; Liang, S.; Zhang, Z.; Yang, W. Dietary fiber intake and non-alcoholic fatty liver disease: The mediating role of obesity. Front. Public Health 2022, 10, 1038435. [Google Scholar] [CrossRef] [PubMed]
- Rodriguez, L.; Mendez, D.; Montecino, H.; Carrasco, B.; Arevalo, B.; Palomo, I.; Fuentes, E. Role of Phaseolus vulgaris L. in the Prevention of Cardiovascular Diseases-Cardioprotective Potential of Bioactive Compounds. Plants 2022, 11, 186. [Google Scholar] [CrossRef] [PubMed]
- Didinger, C.; Thompson, H.J. The role of pulses in improving human health: A review. Legume Sci. 2022, 4, e147. [Google Scholar] [CrossRef]
- Zhao, L.; Jin, L.; Petrick, J.L.; Zeng, H.; Wang, F.; Tang, L.; Smith-Warner, S.A.; Eliassen, A.H.; Zhang, F.F.; Campbell, P.T.; et al. Specific botanical groups of fruit and vegetable consumption and liver cancer and chronic liver disease mortality: A prospective cohort study. Am. J. Clin. Nutr. 2023, 117, 278–285. [Google Scholar] [CrossRef]
- Tucker, L.A. Legume Intake, Body Weight, and Abdominal Adiposity: 10-Year Weight Change and Cross-Sectional Results in 15,185 U.S. Adults. Nutrients 2023, 15, 460. [Google Scholar] [CrossRef]
- Lutsiv, T.; McGinley, J.N.; Neil, E.S.; Foster, M.T.; Thompson, H.J. Thwarting Metabolic Dysfunction-Associated Fatty Liver Disease (MAFLD) with Common Bean: Dose- and Sex-Dependent Protection against Hepatic Steatosis. Nutrients 2023, 15, 526. [Google Scholar] [CrossRef]
- Lutsiv, T.; McGinley, J.N.; Neil-McDonald, E.S.; Weir, T.L.; Foster, M.T.; Thompson, H.J. Relandscaping the Gut Microbiota with a Whole Food: Dose-Response Effects to Common Bean. Foods 2022, 11, 1153. [Google Scholar] [CrossRef]
- Thompson, H.J.; McGinley, J.N.; Neil, E.S.; Brick, M.A. Beneficial Effects of Common Bean on Adiposity and Lipid Metabolism. Nutrients 2017, 9, 998. [Google Scholar] [CrossRef]
- Nagral, A.; Bangar, M.; Menezes, S.; Bhatia, S.; Butt, N.; Ghosh, J.; Manchanayake, J.H.; Al Mahtab, M.; Singh, S.P. Gender Differences in Nonalcoholic Fatty Liver Disease. Euroasian J. Hepatogastroenterol. 2022, 12, S19–S25. [Google Scholar] [CrossRef] [PubMed]
- Moran-Costoya, A.; Proenza, A.M.; Gianotti, M.; Llado, I.; Valle, A. Sex Differences in Nonalcoholic Fatty Liver Disease: Estrogen Influence on the Liver-Adipose Tissue Crosstalk. Antioxid. Redox Signal. 2021, 35, 753–774. [Google Scholar] [CrossRef] [PubMed]
- U.S. Department of Agriculture and U.S. Department of Health and Human Services. Dietary Guidelines for Americans, 2020–2025. 9th Edition. December 2020. Available online: https://www.dietaryguidelines.gov (accessed on 7 May 2024).
- Blaise, B.J.; Correia, G.; Tin, A.; Young, J.H.; Vergnaud, A.-C.; Lewis, M.; Pearce, J.T.M.; Elliott, P.; Nicholson, J.K.; Holmes, E.; et al. Power Analysis and Sample Size Determination in Metabolic Phenotyping. Anal. Chem. 2016, 88, 5179–5188. [Google Scholar] [CrossRef] [PubMed]
- Chu, D.T.; Malinowska, E.; Jura, M.; Kozak, L.P. C57BL/6J mice as a polygenic developmental model of diet-induced obesity. Physiol. Rep. 2017, 5, e13093. [Google Scholar] [CrossRef] [PubMed]
- Ford, L.; Kennedy, A.D.; Goodman, K.D.; Pappan, K.L.; Evans, A.M.; Miller, L.A.D.; Wulff, J.E.; Wiggs, B.R.; Lennon, J.J.; Elsea, S.; et al. Precision of a Clinical Metabolomics Profiling Platform for Use in the Identification of Inborn Errors of Metabolism. J. Appl. Lab. Med. 2020, 5, 342–356. [Google Scholar] [CrossRef] [PubMed]
- Walker, J.M. The Bicinchoninic Acid (BCA) Assay for Protein Quantitation. In Basic Protein and Peptide Protocols; Walker, J.M., Ed.; Humana Press: Totowa, NJ, USA, 1994; pp. 5–8. [Google Scholar]
- Thompson, H.J.; Lutsiv, T.; McGinley, J.N.; Fitzgerald, V.K.; Neil, E.S. Consumption of Common Bean Suppresses the Obesogenic Increase in Adipose Depot Mass: Impact of Dose and Biological Sex. Nutrients 2023, 15, 2015. [Google Scholar] [CrossRef]
- Benjamini, Y.; Hochberg, Y. Controlling the false discovery rate: A practical and powerful approach to multiple testing. JR Stat. Soc. B 1995, 57, 289–300. [Google Scholar] [CrossRef]
- Esler, W.P.; Cohen, D.E. Pharmacologic inhibition of lipogenesis for the treatment of NAFLD. J. Hepatol. 2024, 80, 362–377. [Google Scholar] [CrossRef]
- Johnson, E.L.; Heaver, S.L.; Waters, J.L.; Kim, B.I.; Bretin, A.; Goodman, A.L.; Gewirtz, A.T.; Worgall, T.S.; Ley, R.E. Sphingolipids produced by gut bacteria enter host metabolic pathways impacting ceramide levels. Nat. Commun. 2020, 11, 2471. [Google Scholar] [CrossRef]
- Wilkerson, J.L.; Tatum, S.M.; Holland, W.L.; Summers, S.A. Ceramides are fuel gauges on the drive to cardiometabolic disease. Physiol. Rev. 2024, 104, 1061–1119. [Google Scholar] [CrossRef]
- Turpin-Nolan, S.M.; Bruning, J.C. The role of ceramides in metabolic disorders: When size and localization matters. Nat. Rev. Endocrinol. 2020, 16, 224–233. [Google Scholar] [CrossRef] [PubMed]
- Yu, X.D.; Wang, J.W. Ceramide de novo synthesis in non-alcoholic fatty liver disease: Pathogenic mechanisms and therapeutic perspectives. Biochem. Pharmacol. 2022, 202, 115157. [Google Scholar] [CrossRef] [PubMed]
- Hajduch, E.; Lachkar, F.; Ferre, P.; Foufelle, F. Roles of Ceramides in Non-Alcoholic Fatty Liver Disease. J. Clin. Med. 2021, 10, 792. [Google Scholar] [CrossRef] [PubMed]
- Chaurasia, B.; Tippetts, T.S.; Mayoral Monibas, R.; Liu, J.; Li, Y.; Wang, L.; Wilkerson, J.L.; Sweeney, C.R.; Pereira, R.F.; Sumida, D.H.; et al. Targeting a ceramide double bond improves insulin resistance and hepatic steatosis. Science 2019, 365, 386–392. [Google Scholar] [CrossRef]
- Luukkonen, P.K.; Zhou, Y.; Sadevirta, S.; Leivonen, M.; Arola, J.; Oresic, M.; Hyotylainen, T.; Yki-Jarvinen, H. Hepatic ceramides dissociate steatosis and insulin resistance in patients with non-alcoholic fatty liver disease. J. Hepatol. 2016, 64, 1167–1175. [Google Scholar] [CrossRef]
- Xia, J.Y.; Holland, W.L.; Kusminski, C.M.; Sun, K.; Sharma, A.X.; Pearson, M.J.; Sifuentes, A.J.; McDonald, J.G.; Gordillo, R.; Scherer, P.E. Targeted Induction of Ceramide Degradation Leads to Improved Systemic Metabolism and Reduced Hepatic Steatosis. Cell Metab. 2015, 22, 266–278. [Google Scholar] [CrossRef]
- Jeon, S.; Scorletti, E.; Dempsey, J.; Buyco, D.; Lin, C.; Saiman, Y.; Bayen, S.; Harkin, J.; Martin, J.; Hooks, R.; et al. Ceramide synthase 6 (CerS6) is upregulated in alcohol-associated liver disease and exhibits sex-based differences in the regulation of energy homeostasis and lipid droplet accumulation. Mol. Metab. 2023, 78, 101804. [Google Scholar] [CrossRef]
- Jiang, M.; Li, C.; Liu, Q.; Wang, A.; Lei, M. Inhibiting Ceramide Synthesis Attenuates Hepatic Steatosis and Fibrosis in Rats with Non-alcoholic Fatty Liver Disease. Front. Endocrinol. 2019, 10, 665. [Google Scholar] [CrossRef]
- Wronowska, W.; Charzyńska, A.; Nienałtowski, K.; Gambin, A. Computational modeling of sphingolipid metabolism. BMC Syst. Biol. 2015, 9, 47. [Google Scholar] [CrossRef]
- Canals, D.; Clarke, C.J. Compartmentalization of Sphingolipid metabolism: Implications for signaling and therapy. Pharmacol. Ther. 2022, 232, 108005. [Google Scholar] [CrossRef]
- Nees, S.; Lutsiv, T.; Thompson, H.J. Ultra-Processed Foods-Dietary Foe or Potential Ally? Nutrients 2024, 16, 1013. [Google Scholar] [CrossRef] [PubMed]
- Abe-Inge, V.; Aidoo, R.; Moncada de la Fuente, M.; Kwofie, E.M. Plant-based dietary shift: Current trends, barriers, and carriers. Trends Food Sci. Technol. 2024, 143, 104292. [Google Scholar] [CrossRef]
- Didinger, C.; Bunning, M.; Thompson, H. A Translational Approach to Increase Pulse Intake and Promote Public Health through Developing an Extension Bean Toolkit. Nutrients 2023, 15, 4121. [Google Scholar] [CrossRef] [PubMed]
- Didinger, C.; Bunning, M.; Thompson, H.J. Bean Cuisine: The Potential of Citizen Science to Help Motivate Changes in Pulse Knowledge and Consumption. Foods 2023, 12, 2667. [Google Scholar] [CrossRef] [PubMed]
- Didinger, C.; Thompson, H. Motivating Pulse-Centric Eating Patterns to Benefit Human and Environmental Well-Being. Nutrients 2020, 12, 3500. [Google Scholar] [CrossRef]
- Didinger, C.; Thompson, H.J. Defining Nutritional and Functional Niches of Legumes: A Call for Clarity to Distinguish a Future Role for Pulses in the Dietary Guidelines for Americans. Nutrients 2021, 13, 1100. [Google Scholar] [CrossRef]
- Lanza, E.; Hartman, T.J.; Albert, P.S.; Shields, R.; Slattery, M.; Caan, B.; Paskett, E.; Iber, F.; Kikendall, J.W.; Lance, P.; et al. High dry bean intake and reduced risk of advanced colorectal adenoma recurrence among participants in the polyp prevention trial. J. Nutr. 2006, 136, 1896–1903. [Google Scholar] [CrossRef]
- Wang, Y.; Wang, Z.; Fu, L.; Chen, Y.; Fang, J. Legume consumption and colorectal adenoma risk: A meta-analysis of observational studies. PLoS ONE 2013, 8, e67335. [Google Scholar] [CrossRef]
- Agurs-Collins, T.; Smoot, D.; Afful, J.; Makambi, K.; Adams-Campbell, L.L. Legume intake and reduced colorectal adenoma risk in African-Americans. J. Natl. Black Nurses Assoc. 2006, 17, 6–12. [Google Scholar]
- Patel, L.; La Vecchia, C.; Negri, E.; Mignozzi, S.; Augustin, L.S.A.; Levi, F.; Serraino, D.; Giacosa, A.; Alicandro, G. Legume intake and cancer risk in a network of case-control studies. Eur. J. Clin. Nutr. 2024, 78, 391–400. [Google Scholar] [CrossRef]
- Zhang, X.; Irajizad, E.; Hoffman, K.L.; Fahrmann, J.F.; Li, F.; Seo, Y.D.; Browman, G.J.; Dennison, J.B.; Vykoukal, J.; Luna, P.N.; et al. Modulating a prebiotic food source influences inflammation and immune-regulating gut microbes and metabolites: Insights from the BE GONE trial. eBioMedicine 2023, 98, 104873. [Google Scholar] [CrossRef] [PubMed]
- Mitchell, D.C.; Lawrence, F.R.; Hartman, T.J.; Curran, J.M. Consumption of dry beans, peas, and lentils could improve diet quality in the US population. J. Am. Diet. Assoc. 2009, 109, 909–913. [Google Scholar] [CrossRef] [PubMed]
- Mudryj, A.N.; Yu, N.; Hartman, T.J.; Mitchell, D.C.; Lawrence, F.R.; Aukema, H.M. Pulse consumption in Canadian adults influences nutrient intakes. Br. J. Nutr. 2012, 108 (Suppl. 1), S27–S36. [Google Scholar] [CrossRef] [PubMed]









| Biospecimen | Effect in Bean vs. Control | Total | Lipid | % Lipid | Sphingolipid-Associated | % Sphingolipid-Associated |
|---|---|---|---|---|---|---|
| Liver | Increased | 318 | 138 | 43.4 | * 9 | 6.52 |
| Decreased | 169 | 102 | 60.36 | 12 | 11.76 | |
| Plasma | Increased | 223 | 101 | 45.29 | ** 5 | 4.95 |
| Decreased | 173 | 100 | 57.8 | 14 | 14 |
| Sub Pathway | Biochemical Name | Fold Change | p-Value |
|---|---|---|---|
| Glycine, Serine and Threonine Metabolism | serine | 1.74 | 0.0281 |
| Fatty Acid Metabolism | palmitoyl CoA | 0.77 | 0.3140 |
| Sphingolipid Synthesis | sphinganine | 0.52 | 0.0000 |
| Dihydroceramides | N-palmitoyl-sphinganine (d18:0/16:0) | 0.70 | 0.0799 |
| Ceramides | N-palmitoyl-sphingosine (d18:1/16:0) | 0.54 | 0.0003 |
| N-stearoyl-sphingosine (d18:1/18:0) * | 0.31 | 0.0000 | |
| N-palmitoyl-sphingadienine (d18:2/16:0) * | 0.72 | 0.1610 | |
| N-behenoyl-sphingadienine (d18:2/22:0) * | 0.89 | 0.9074 | |
| N-palmitoyl-heptadecasphingosine (d17:1/16:0) * | 0.63 | 0.0045 | |
| ceramide (d18:1/14:0, d16:1/16:0) * | 0.48 | 0.0007 | |
| ceramide (d18:1/17:0, d17:1/18:0) * | 0.68 | 0.1039 | |
| ceramide (d18:2/24:1, d18:1/24:2) * | 1.14 | 0.5097 |
| Sub Pathway | Biochemical Name | Fold Change | p-Value |
|---|---|---|---|
| Sphingosines | sphingosine | 0.57 | 0.0000 |
| hexadecasphingosine (d16:1) * | 0.36 | 0.0011 | |
| heptadecasphingosine (d17:1) | 0.55 | 0.0011 | |
| Hexosylceramides (HCER) | glycosyl-N-palmitoyl-sphingosine (d18:1/16:0) | 0.61 | 0.0013 |
| glycosyl-N-stearoyl-sphingosine (d18:1/18:0) | 0.29 | 0.0005 | |
| glycosyl ceramide (d16:1/24:1, d18:1/22:1) * | 0.33 | 0.0000 | |
| glycosyl ceramide (d18:2/24:1, d18:1/24:2) * | 0.83 | 0.6916 |
| Sub Pathway | Biochemical Name | Fold Change | p-Value |
|---|---|---|---|
| Dihydrosphingomyelins | palmitoyl dihydrosphingomyelin (d18:0/16:0) * | 0.98 | 0.6848 |
| behenoyl dihydrosphingomyelin (d18:0/22:0) * | 0.90 | 0.3238 | |
| sphingomyelin (d18:0/18:0, d19:0/17:0) * | 0.91 | 0.2891 | |
| sphingomyelin (d18:0/20:0, d16:0/22:0) * | 0.73 | 0.0651 | |
| Sphingomyelins | palmitoyl sphingomyelin (d18:1/16:0) | 0.94 | 0.3427 |
| hydroxypalmitoyl sphingomyelin (d18:1/16:0(OH)) ** | 0.93 | 0.4985 | |
| stearoyl sphingomyelin (d18:1/18:0) | 0.97 | 0.8237 | |
| behenoyl sphingomyelin (d18:1/22:0) * | 1.52 | 0.0003 | |
| tricosanoyl sphingomyelin (d18:1/23:0) * | 1.07 | 0.3722 | |
| lignoceroyl sphingomyelin (d18:1/24:0) | 1.15 | 0.3174 | |
| sphingomyelin (d18:2/23:1) * | 2.16 | 0.0005 | |
| sphingomyelin (d18:1/14:0, d16:1/16:0) * | 0.88 | 0.0982 | |
| sphingomyelin (d17:1/16:0, d18:1/15:0, d16:1/17:0) * | 1.05 | 0.3203 | |
| sphingomyelin (d18:2/16:0, d18:1/16:1) * | 1.23 | 0.0064 | |
| sphingomyelin (d18:1/17:0, d17:1/18:0, d19:1/16:0) | 1.29 | 0.0071 | |
| sphingomyelin (d18:1/18:1, d18:2/18:0) | 1.31 | 0.3226 | |
| sphingomyelin (d18:1/19:0, d19:1/18:0) * | 1.30 | 0.0074 | |
| sphingomyelin (d18:1/20:0, d16:1/22:0) * | 1.05 | 0.4648 | |
| sphingomyelin (d18:1/20:1, d18:2/20:0) * | 1.21 | 0.3421 | |
| sphingomyelin (d18:1/21:0, d17:1/22:0, d16:1/23:0) * | 1.75 | 0.0007 | |
| sphingomyelin (d18:2/21:0, d16:2/23:0) * | 1.75 | 0.0128 | |
| sphingomyelin (d18:1/22:1, d18:2/22:0, d16:1/24:1) * | 1.27 | 0.0469 | |
| sphingomyelin (d18:1/22:2, d18:2/22:1, d16:1/24:2) * | 1.87 | 0.0006 | |
| sphingomyelin (d18:2/23:0, d18:1/23:1, d17:1/24:1) * | 1.05 | 0.7338 | |
| sphingomyelin (d18:1/24:1, d18:2/24:0) * | 0.92 | 0.3313 | |
| sphingomyelin (d18:2/24:1, d18:1/24:2) * | 1.26 | 0.0662 |
| Symbol | ID | Entrez Gene Name | Expr Log Ratio | Expr p-Value | Expr q-Value |
|---|---|---|---|---|---|
| SPTLC1 | ENSMUSG00000021468 | serine palmitoyltransferase long chain base subunit 1 | −0.1 | 0.1900 | 0.4200 |
| SPTLC2 | ENSMUSG00000021036 | serine palmitoyltransferase long chain base subunit 2 | −0.33 | 0.0001 | 0.0014 |
| SPTLC3 | ENSMUSG00000039092 | serine palmitoyltransferase long chain base subunit 3 | 2.40 | 0.0100 | 0.0800 |
| KDSR | ENSMUSG00000009905 | 3-ketodihydrosphingosine reductase | −0.54 | 0.0000 | 0.0000 |
| CERS1 | ENSMUSG00000087408 | ceramide synthase 1 | −0.97 | 0.3400 | 0.5900 |
| CERS2 | ENSMUSG00000015714 | ceramide synthase 2 | 0.03 | 0.6700 | 0.8300 |
| CERS3 | ENSMUSG00000030510 | ceramide synthase 3 | −1.25 | 0.2000 | 0.4400 |
| CERS4 | ENSMUSG00000008206 | ceramide synthase 4 | −0.09 | 0.6900 | 0.8500 |
| CERS5 | ENSMUSG00000023021 | ceramide synthase 5 | −0.03 | 0.9100 | 0.9600 |
| CERS6 | ENSMUSG00000027035 | ceramide synthase 6 | −0.44 | 0.0005 | 0.0062 |
| DEGS1 | ENSMUSG00000038633 | delta 4-desaturase, sphingolipid 1 | 0.06 | 0.4800 | 0.7100 |
| DEGS2 | ENSMUSG00000021263 | delta 4-desaturase, sphingolipid 2 | −0.4 | 0.5200 | 0.7400 |
| Symbol | ID | Entrez Gene Name | Expr Log Ratio | Expr p-Value | Expr q-Value |
|---|---|---|---|---|---|
| ACER2 | ENSMUSG00000038007 | alkaline ceramidase 2 | −0.38 | 0.0034 | 0.0300 |
| ASAH1 | ENSMUSG00000031591 | N-acylsphingosine amidohydrolase 1 | −0.16 | 0.0400 | 0.1500 |
| ASAH2 | ENSMUSG00000024887 | N-acylsphingosine amidohydrolase 2 | −0.30 | 0.0005 | 0.0061 |
| CERK | ENSMUSG00000035891 | ceramide kinase | −0.39 | 0.0300 | 0.1400 |
| CERT1 | ENSMUSG00000021669 | ceramide transporter 1 | −0.31 | 0.0000 | 0.0006 |
| PSAP | ENSMUSG00000004207 | prosaposin | −0.23 | 0.0200 | 0.1000 |
| SGPP1 | ENSMUSG00000021054 | sphingosine-1-phosphate phosphatase 1 | 0.24 | 0.0008 | 0.0090 |
| SGSM1 | ENSMUSG00000042216 | small G protein signaling modulator 1 | −0.42 | 0.0200 | 0.1000 |
| SMPD3 | ENSMUSG00000031906 | sphingomyelin phosphodiesterase 3 | −2.70 | 0.0000 | 0.0000 |
| UGCG | ENSMUSG00000028381 | UDP-glucose ceramide glucosyltransferase | −0.25 | 0.0200 | 0.0900 |
| Sub Pathway | Biochemical Name | Fold Change | p-Value |
|---|---|---|---|
| Ceramides | N-palmitoyl-sphingosine (d18:1/16:0) | 0.52 | 0.0006 |
| N-stearoyl-sphingosine (d18:1/18:0) * | 0.24 | 0.0001 | |
| ceramide (d18:1/14:0, d16:1/16:0) * | 0.52 | 0.0597 | |
| ceramide (d18:1/20:0, d16:1/22:0, d20:1/18:0)* | 0.51 | 0.0136 | |
| ceramide (d16:1/24:1, d18:1/22:1) * | 2.23 | 0.1209 | |
| ceramide (d18:2/24:1, d18:1/24:2) * | 0.55 | 0.0001 | |
| Hexosylceramides (HCER) | glycosyl-N-palmitoyl-sphingosine (d18:1/16:0) | 0.52 | 0.0002 |
| glycosyl-N-stearoyl-sphingosine (d18:1/18:0) | 0.33 | 0.0001 | |
| glycosyl-N-behenoyl-sphingosine (d18:1/22:0) * | 1.04 | 0.9564 | |
| glycosyl-N-nervonoyl-sphingosine (d18:1/24:1) * | 0.57 | 0.1257 | |
| glycosyl ceramide (d18:1/20:0, d16:1/22:0) * | 0.79 | 0.5237 | |
| glycosyl ceramide (d16:1/24:1, d18:1/22:1) * | 0.56 | 0.0093 | |
| glycosyl ceramide (d18:1/23:1, d17:1/24:1) * | 0.43 | 0.0720 | |
| glycosyl ceramide (d18:2/24:1, d18:1/24:2) * | 0.70 | 0.0026 | |
| Lactosylceramides (LCER) | lactosyl-N-palmitoyl-sphingosine (d18:1/16:0) | 0.67 | 0.0101 |
Disclaimer/Publisher’s Note: The statements, opinions and data contained in all publications are solely those of the individual author(s) and contributor(s) and not of MDPI and/or the editor(s). MDPI and/or the editor(s) disclaim responsibility for any injury to people or property resulting from any ideas, methods, instructions or products referred to in the content. |
© 2024 by the authors. Licensee MDPI, Basel, Switzerland. This article is an open access article distributed under the terms and conditions of the Creative Commons Attribution (CC BY) license (https://creativecommons.org/licenses/by/4.0/).
Share and Cite
Fitzgerald, V.K.; Lutsiv, T.; McGinley, J.N.; Neil, E.S.; Playdon, M.C.; Thompson, H.J. Common Bean Suppresses Hepatic Ceramide Metabolism in a Mouse Model of Metabolic Dysfunction-Associated Steatotic Liver Disease. Nutrients 2024, 16, 3196. https://doi.org/10.3390/nu16183196
Fitzgerald VK, Lutsiv T, McGinley JN, Neil ES, Playdon MC, Thompson HJ. Common Bean Suppresses Hepatic Ceramide Metabolism in a Mouse Model of Metabolic Dysfunction-Associated Steatotic Liver Disease. Nutrients. 2024; 16(18):3196. https://doi.org/10.3390/nu16183196
Chicago/Turabian StyleFitzgerald, Vanessa K., Tymofiy Lutsiv, John N. McGinley, Elizabeth S. Neil, Mary C. Playdon, and Henry J. Thompson. 2024. "Common Bean Suppresses Hepatic Ceramide Metabolism in a Mouse Model of Metabolic Dysfunction-Associated Steatotic Liver Disease" Nutrients 16, no. 18: 3196. https://doi.org/10.3390/nu16183196
APA StyleFitzgerald, V. K., Lutsiv, T., McGinley, J. N., Neil, E. S., Playdon, M. C., & Thompson, H. J. (2024). Common Bean Suppresses Hepatic Ceramide Metabolism in a Mouse Model of Metabolic Dysfunction-Associated Steatotic Liver Disease. Nutrients, 16(18), 3196. https://doi.org/10.3390/nu16183196

