Long-Term Effectiveness of a Smartphone App and a Smart Band on Arterial Stiffness and Central Hemodynamic Parameters in a Population with Overweight and Obesity (Evident 3 Study): Randomised Controlled Trial
Abstract
1. Introduction
2. Materials and Methods
2.1. Study Design
2.2. Study Population
2.3. Approval of the Ethics Committee and Consent of the Subjects to Participate in the Trial
2.4. Randomisation
2.5. Procedures
2.6. Primary Results
2.7. Measurement of Arterial Stiffness
2.8. Measurement of the Central Arterial Pressures and Analysis of the Pulse Wave
2.9. Adherence to the Smartphone App
2.10. Other Variables
2.11. Intervention
2.11.1. Standard Advice Conducted in the Two Groups
2.11.2. Specific Intervention of IG
2.12. Blinding Strategy
3. Results
3.1. Baseline Characteristics of the Subjects and Follow-up
3.2. Adherence to Self-Monitoring on the Smartphone App
3.3. Changes in the Measurements of Stiffness Analysed throughout the Study Period
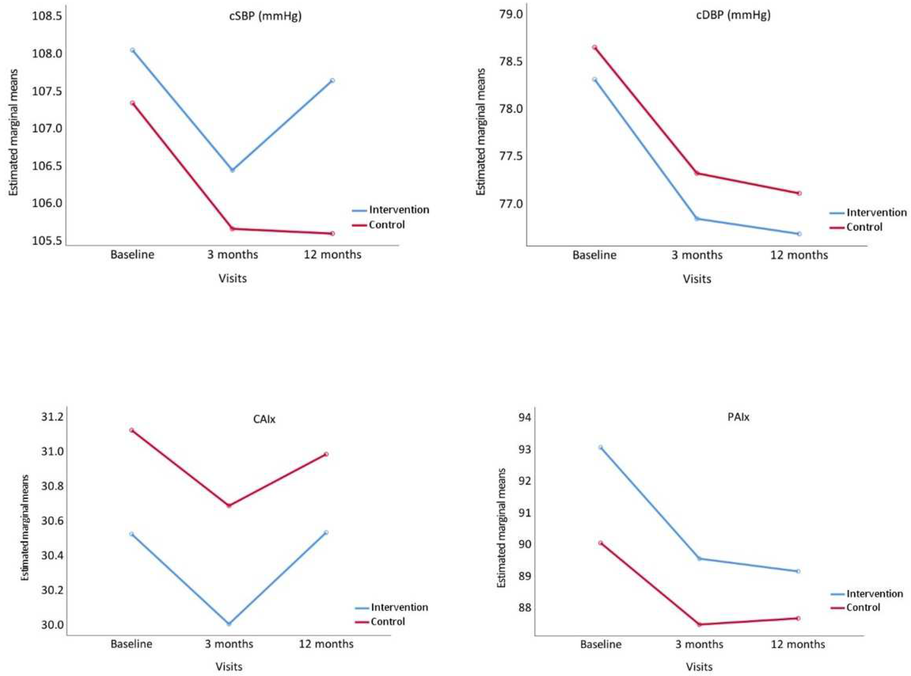
3.4. Changes in the Measures of Central Pressures and Parameters Derived from the Analysis of the Pulse Wave throughout the Study
4. Discussion
Strength and Limitations
5. Conclusions
Supplementary Materials
Author Contributions
Funding
Institutional Review Board Statement
Informed Consent Statement
Data Availability Statement
Acknowledgments
Conflicts of Interest
References
- Stenholm, S.; Head, J.; Kivimäki, M.; Kawachi, I.; Aalto, V.; Zins, M.; Goldberg, M.; Zaninotto, P.; Magnuson Hanson, L.; Westerlund, H.; et al. Smoking, physical inactivity and obesity as predictors of healthy and disease-free life expectancy between ages 50 and 75: A multicohort study. Int. J. Epidemiol. 2016, 45, 1260–1270. [Google Scholar] [CrossRef] [PubMed]
- Xu, H.; Cupples, L.A.; Stokes, A.; Liu, C.T. Association of Obesity with Mortality over 24 Years of Weight History: Findings From the Framingham Heart Study. JAMA Netw. Open 2018, 1, e184587. [Google Scholar] [CrossRef] [PubMed]
- Baillot, A.; Romain, A.J.; Boisvert-Vigneault, K.; Audet, M.; Baillargeon, J.P.; Dionne, I.J.; Valiquette, L.; Chakra, C.N.; Avignon, A.; Langlois, M.F. Effects of lifestyle interventions that include a physical activity component in class II and III obese individuals: A systematic review and meta-analysis. PLoS ONE 2015, 10, e0119017. [Google Scholar] [CrossRef] [PubMed]
- Hassan, Y.; Head, V.; Jacob, D.; Bachmann, M.O.; Diu, S.; Ford, J. Lifestyle interventions for weight loss in adults with severe obesity: A systematic review. Clin. Obes. 2016, 6, 395–403. [Google Scholar] [CrossRef] [PubMed]
- Acosta, A.; Streett, S.; Kroh, M.D.; Cheskin, L.J.; Saunders, K.H.; Kurian, M.; Schofield, M.; Barlow, S.E.; Aronne, L. White Paper AGA: POWER—Practice Guide on Obesity and Weight Management, Education, and Resources. Clin. Gastroenterol. Hepatol. 2017, 15, 631–649.e610. [Google Scholar] [CrossRef]
- Lv, N.; Azar, K.M.J.; Rosas, L.G.; Wulfovich, S.; Xiao, L.; Ma, J. Behavioral lifestyle interventions for moderate and severe obesity: A systematic review. Prev. Med. 2017, 100, 180–193. [Google Scholar] [CrossRef]
- Matsushita, K.; Ding, N.; Kim, E.D.; Budoff, M.; Chirinos, J.A.; Fernhall, B.; Hamburg, N.M.; Kario, K.; Miyoshi, T.; Tanaka, H.; et al. Cardio-ankle vascular index and cardiovascular disease: Systematic review and meta-analysis of prospective and cross-sectional studies. J. Clin. Hypertens. 2019, 21, 16–24. [Google Scholar] [CrossRef]
- Miyoshi, T.; Ito, H.; Shirai, K.; Horinaka, S.; Higaki, J.; Yamamura, S.; Saiki, A.; Takahashi, M.; Masaki, M.; Okura, T.; et al. Predictive Value of the Cardio-Ankle Vascular Index for Cardiovascular Events in Patients at Cardiovascular Risk. J. Am. Heart Assoc. 2021, 10, e020103. [Google Scholar] [CrossRef]
- Ohkuma, T.; Ninomiya, T.; Tomiyama, H.; Kario, K.; Hoshide, S.; Kita, Y.; Inoguchi, T.; Maeda, Y.; Kohara, K.; Tabara, Y.; et al. Brachial-Ankle Pulse Wave Velocity and the Risk Prediction of Cardiovascular Disease: An Individual Participant Data Meta-Analysis. Hypertension 2017, 69, 1045–1052. [Google Scholar] [CrossRef]
- Yasuharu, T.; Setoh, K.; Kawaguchi, T.; Nakayama, T.; Matsuda, F. Brachial-ankle pulse wave velocity and cardio-ankle vascular index are associated with future cardiovascular events in a general population: The Nagahama Study. J. Clin. Hypertens. 2021, 23, 1390–1398. [Google Scholar] [CrossRef]
- Zhong, Q.; Hu, M.J.; Cui, Y.J.; Liang, L.; Zhou, M.M.; Yang, Y.W.; Huang, F. Carotid-Femoral Pulse Wave Velocity in the Prediction of Cardiovascular Events and Mortality: An Updated Systematic Review and Meta-Analysis. Angiology 2018, 69, 617–629. [Google Scholar] [CrossRef] [PubMed]
- Van Bortel, L.M.; Laurent, S.; Boutouyrie, P.; Chowienczyk, P.; Cruickshank, J.K.; De Backer, T.; Filipovsky, J.; Huybrechts, S.; Mattace-Raso, F.U.; Protogerou, A.D.; et al. Expert consensus document on the measurement of aortic stiffness in daily practice using carotid-femoral pulse wave velocity. J. Hypertens. 2012, 30, 445–448. [Google Scholar] [CrossRef] [PubMed]
- Munakata, M. Brachial-Ankle Pulse Wave Velocity: Background, Method, and Clinical Evidence. Pulse 2016, 3, 195–204. [Google Scholar] [CrossRef]
- Namba, T.; Masaki, N.; Takase, B.; Adachi, T. Arterial Stiffness Assessed by Cardio-Ankle Vascular Index. Int. J. Mol. Sci. 2019, 20, 3664. [Google Scholar] [CrossRef]
- McEniery, C.M.; Cockcroft, J.R.; Roman, M.J.; Franklin, S.S.; Wilkinson, I.B. Central blood pressure: Current evidence and clinical importance. Eur. Heart J. 2014, 35, 1719–1725. [Google Scholar] [CrossRef] [PubMed]
- Zuo, J.; Chang, G.; Tan, I.; Butlin, M.; Chu, S.L.; Avolio, A. Central aortic pressure improves prediction of cardiovascular events compared to peripheral blood pressure in short-term follow-up of a hypertensive cohort. Clin. Exp. Hypertens. 2020, 42, 16–23. [Google Scholar] [CrossRef] [PubMed]
- Weber, T.; Wassertheurer, S.; Hametner, B.; Moebus, S.; Pundt, N.; Mahabadi, A.A.; Roggenbuck, U.; Lehmann, N.; Jöckel, K.H.; Erbel, R. Cross-sectional analysis of pulsatile hemodynamics across the adult life span: Reference values, healthy and early vascular aging: The Heinz Nixdorf Recall and the MultiGeneration Study. J. Hypertens. 2019, 37, 2404–2413. [Google Scholar] [CrossRef]
- Shiva Kumar, P.; Medina-Lezama, J.; Morey-Vargas, O.; Zamani, P.; Bolanos-Salazar, J.F.; Chirinos, D.A.; Haines, P.; Khan, Z.A.; Coacalla-Guerra, J.C.; Davalos-Robles, M.E.; et al. Prospective risk factors for increased central augmentation index in men and women. Am. J. Hypertens. 2015, 28, 121–126. [Google Scholar] [CrossRef]
- Li, W.F.; Huang, Y.Q.; Feng, Y.Q. Association between central haemodynamics and risk of all-cause mortality and cardiovascular disease: A systematic review and meta-analysis. J. Hum. Hypertens. 2019, 33, 531–541. [Google Scholar] [CrossRef]
- Boutouyrie, P.; Lacolley, P.; Briet, M.; Regnault, V.; Stanton, A.; Laurent, S.; Mahmud, A. Pharmacological modulation of arterial stiffness. Drugs 2011, 71, 1689–1701. [Google Scholar] [CrossRef]
- Schultz, M.G.; Gilroy, D.; Wright, L.; Bishop, W.L.; Abhayaratna, W.P.; Stowasser, M.; Sharman, J.E. Out-of-office and central blood pressure for risk stratification: A cross-sectional study in patients treated for hypertension. Eur. J. Clin. Investig. 2012, 42, 393–401. [Google Scholar] [CrossRef] [PubMed]
- Afshin, A.; Babalola, D.; McLean, M.; Yu, Z.; Ma, W.; Chen, C.Y.; Arabi, M.; Mozaffarian, D. Information Technology and Lifestyle: A Systematic Evaluation of Internet and Mobile Interventions for Improving Diet, Physical Activity, Obesity, Tobacco, and Alcohol Use. J. Am. Heart Assoc. 2016, 5, e003058. [Google Scholar] [CrossRef] [PubMed]
- Agnihothri, S.; Cui, L.; Delasay, M.; Rajan, B. The value of mHealth for managing chronic conditions. Health Care Manag. Sci. 2020, 23, 185–202. [Google Scholar] [CrossRef]
- Whitehead, L.; Seaton, P. The Effectiveness of Self-Management Mobile Phone and Tablet Apps in Long-term Condition Management: A Systematic Review. J. Med. Internet Res. 2016, 18, e97. [Google Scholar] [CrossRef]
- Cavero-Redondo, I.; Martinez-Vizcaino, V.; Fernandez-Rodriguez, R.; Saz-Lara, A.; Pascual-Morena, C.; Álvarez-Bueno, C. Effect of Behavioral Weight Management Interventions Using Lifestyle mHealth Self-Monitoring on Weight Loss: A Systematic Review and Meta-Analysis. Nutrients 2020, 12, 1977. [Google Scholar] [CrossRef]
- Wang, Y.; Min, J.; Khuri, J.; Xue, H.; Xie, B.; Kaminsky, L.A.; Cheskin, L.J. Effectiveness of Mobile Health Interventions on Diabetes and Obesity Treatment and Management: Systematic Review of Systematic Reviews. JMIR Mhealth Uhealth 2020, 8, e15400. [Google Scholar] [CrossRef] [PubMed]
- Romeo, A.; Edney, S.; Plotnikoff, R.; Curtis, R.; Ryan, J.; Sanders, I.; Crozier, A.; Maher, C. Can Smartphone Apps Increase Physical Activity? Systematic Review and Meta-Analysis. J. Med. Internet Res. 2019, 21, e12053. [Google Scholar] [CrossRef]
- Fuller, D.; Colwell, E.; Low, J.; Orychock, K.; Tobin, M.A.; Simango, B.; Buote, R.; Van Heerden, D.; Luan, H.; Cullen, K.; et al. Reliability and Validity of Commercially Available Wearable Devices for Measuring Steps, Energy Expenditure, and Heart Rate: Systematic Review. JMIR Mhealth Uhealth 2020, 8, e18694. [Google Scholar] [CrossRef]
- Duncan, M.J.; Fenton, S.; Brown, W.J.; Collins, C.E.; Glozier, N.; Kolt, G.S.; Holliday, E.G.; Morgan, P.J.; Murawski, B.; Plotnikoff, R.C.; et al. Efficacy of a Multi-component m-Health Weight-loss Intervention in Overweight and Obese Adults: A Randomised Controlled Trial. Int. J. Environ. Res. Public Health 2020, 17, 6200. [Google Scholar] [CrossRef]
- Patel, M.L.; Wakayama, L.N.; Bennett, G.G. Self-Monitoring via Digital Health in Weight Loss Interventions: A Systematic Review Among Adults with Overweight or Obesity. Obesity 2021, 29, 478–499. [Google Scholar] [CrossRef]
- Spring, B.; Pellegrini, C.; McFadden, H.G.; Pfammatter, A.F.; Stump, T.K.; Siddique, J.; King, A.C.; Hedeker, D. Multicomponent mHealth Intervention for Large, Sustained Change in Multiple Diet and Activity Risk Behaviors: The Make Better Choices 2 Randomized Controlled Trial. J. Med. Internet Res. 2018, 20, e10528. [Google Scholar] [CrossRef] [PubMed]
- Recio-Rodriguez, J.I.; Gómez-Marcos, M.A.; Agudo-Conde, C.; Ramirez, I.; Gonzalez-Viejo, N.; Gomez-Arranz, A.; Salcedo-Aguilar, F.; Rodriguez-Sanchez, E.; Alonso-Domínguez, R.; Sánchez-Aguadero, N.; et al. EVIDENT 3 Study: A randomized, controlled clinical trial to reduce inactivity and caloric intake in sedentary and overweight or obese people using a smartphone application: Study protocol. Medicine 2018, 97, e9633. [Google Scholar] [CrossRef] [PubMed]
- Puig-Ribera, A.; Martín-Cantera, C.; Puigdomenech, E.; Real, J.; Romaguera, M.; Magdalena-Belio, J.F.; Recio-Rodríguez, J.I.; Rodriguez-Martin, B.; Arietaleanizbeaskoa, M.S.; Repiso-Gento, I.; et al. Screening Physical Activity in Family Practice: Validity of the Spanish Version of a Brief Physical Activity Questionnaire. PLoS ONE 2015, 10, e0136870. [Google Scholar] [CrossRef] [PubMed]
- Gómez-Sánchez, M.; Patino-Alonso, M.C.; Gómez-Sánchez, A.; Recio-Rodríguez, J.I.; Rodríguez-Sánchez, E.; Maderuelo-Fernández, J.A.; García-Ortiz, L.; Gómez-Marcos, M.A.; Group, E. Reference values of arterial stiffness parameters and their association with cardiovascular risk factors in the Spanish population. The EVA Study. Rev. Esp. Cardiol. 2020, 73, 43–52. [Google Scholar] [CrossRef] [PubMed]
- World Medical Association Declaration of Helsinki: Ethical principles for medical research involving human subjects. JAMA 2013, 310, 2191–2194. [CrossRef]
- Santiago Pérez, M.I.; Hervada Vidal, X.; Naveira Barbeito, G.; Silva, L.C.; Fariñas, H.; Vázquez, E.; Bacallao, J.; Mújica, O.J. The Epidat program. Rev. Panam. Salud. Publica 2010, 27, 80–82. [Google Scholar] [CrossRef]
- Shirai, K.; Hiruta, N.; Song, M.; Kurosu, T.; Suzuki, J.; Tomaru, T.; Miyashita, Y.; Saiki, A.; Takahashi, M.; Suzuki, K.; et al. Cardio-ankle vascular index (CAVI) as a novel indicator of arterial stiffness: Theory, evidence and perspectives. J. Atheroscler. Thromb. 2011, 18, 924–938. [Google Scholar] [CrossRef]
- Takazawa, K.; Kobayashi, H.; Shindo, N.; Tanaka, N.; Yamashina, A. Relationship between radial and central arterial pulse wave and evaluation of central aortic pressure using the radial arterial pulse wave. Hypertens. Res. 2007, 30, 219–228. [Google Scholar] [CrossRef]
- Raidl, M.; Spain, K.; Lanting, R.; Lockard, M.; Johnson, S.; Spencer, M.; Sant, L.; Welch, J.; Liddil, A.; Hartman-Cunningham, M. The healthy diabetes plate. Prev. Chronic Dis. 2007, 4, A12. [Google Scholar]
- Burke, L.E.; Wang, J.; Sevick, M.A. Self-monitoring in weight loss: A systematic review of the literature. J. Am. Diet. Assoc. 2011, 111, 92–102. [Google Scholar] [CrossRef]
- Schmidt-Kraepelin, M.; Toussaint, P.A.; Thiebes, S.; Hamari, J.; Sunyaev, A. Archetypes of Gamification: Analysis of mHealth Apps. JMIR mHealth uHealth 2020, 8, e19280. [Google Scholar] [CrossRef] [PubMed]
- Singh, N.; Stewart, R.A.H.; Benatar, J.R. Intensity and duration of lifestyle interventions for long-term weight loss and association with mortality: A meta-analysis of randomised trials. BMJ Open 2019, 9, e029966. [Google Scholar] [CrossRef] [PubMed]
- Lu, Y.; Pechlaner, R.; Cai, J.; Yuan, H.; Huang, Z.; Yang, G.; Wang, J.; Chen, Z.; Kiechl, S.; Xu, Q. Trajectories of Age-Related Arterial Stiffness in Chinese Men and Women. J. Am. Coll. Cardiol. 2020, 75, 870–880. [Google Scholar] [CrossRef] [PubMed]
- Wu, Q.; Zhang, X.; Xu, Y.; Wang, M.; Wang, Y.; Yang, X.; Ma, Z.; Sun, Y. A cross-section study of main determinants of arterial stiffness in Hefei area, China. Int. Angiol. 2019, 38, 150–156. [Google Scholar] [CrossRef] [PubMed]
- Kim, J.Y.; Park, J.B.; Kim, D.S.; Kim, K.S.; Jeong, J.W.; Park, J.C.; Oh, B.H.; Chung, N. Gender Difference in Arterial Stiffness in a Multicenter Cross-Sectional Study: The Korean Arterial Aging Study (KAAS). Pulse 2014, 2, 11–17. [Google Scholar] [CrossRef] [PubMed]
- Gómez-Sánchez, M.; Gómez-Sánchez, L.; Patino-Alonso, C.; Recio-Rodríguez, J.I.; Alonso-Domínguez, R.; Sánchez-Aguadero, N.; Sánchez, C.L.; Sánchez, E.R.; García-Ortiz, L.; Gomez-Marcos, M.A. Reference values of central blood pressure and central haemodynamic parameters and their relationship with cardiovascular risk factors in a Spanish population: Early vascular ageing study. J. Hypertens. 2021, 39, 2147–2156. [Google Scholar] [CrossRef]
- Recio-Rodríguez, J.I.; Rodriguez-Sanchez, E.; Martin-Cantera, C.; Martinez-Vizcaino, V.; Arietaleanizbeaskoa, M.S.; Gonzalez-Viejo, N.; Menendez-Suarez, M.; Gómez-Marcos, M.A.; Garcia-Ortiz, L. Combined use of a healthy lifestyle smartphone application and usual primary care counseling to improve arterial stiffness, blood pressure and wave reflections: A Randomized Controlled Trial (EVIDENT II Study). Hypertens. Res. 2019, 42, 852–862. [Google Scholar] [CrossRef]
- Gomez-Marcos, M.A.; Patino-Alonso, M.C.; Recio-Rodriguez, J.I.; Agudo-Conde, C.; Romaguera-Bosch, M.; Magdalena-Gonzalez, O.; Gomez-Arranz, A.; Mendizabal-Gallastegui, N.; Angel Fernandez-Diez, J.; Gomez-Sanchez, L.; et al. Short- and long-term effectiveness of a smartphone application for improving measures of adiposity: A randomised clinical trial—EVIDENT II study. Eur. J. Cardiovasc. Nurs. 2018, 17, 552–562. [Google Scholar] [CrossRef]
- Alonso-Domínguez, R.; García-Ortiz, L.; Patino-Alonso, M.C.; Sánchez-Aguadero, N.; Gómez-Marcos, M.A.; Recio-Rodríguez, J.I. Effectiveness of A Multifactorial Intervention in Increasing Adherence to the Mediterranean Diet among Patients with Diabetes Mellitus Type 2: A Controlled and Randomized Study (EMID Study). Nutrients 2019, 11, 162. [Google Scholar] [CrossRef]
- Alonso-Domínguez, R.; Patino-Alonso, M.C.; Sánchez-Aguadero, N.; García-Ortiz, L.; Recio-Rodríguez, J.I.; Gómez-Marcos, M.A. Effect of a multifactorial intervention on the increase in physical activity in subjects with type 2 diabetes mellitus: A randomized clinical trial (EMID Study). Eur. J. Cardiovasc. Nurs. 2019, 18, 399–409. [Google Scholar] [CrossRef]
- Lugones-Sanchez, C.; Recio-Rodriguez, J.I.; Agudo-Conde, C.; Repiso-Gento, I.; Adalia, E.G.; Ramirez-Manent, J.I.; Sanchez-Calavera, M.A.; Rodriguez-Sanchez, E.; Gomez-Marcos, M.A.; Garcia-Ortiz, L. Long-term Effectiveness of a Smartphone App Combined With a Smart Band on Weight Loss, Physical Activity, and Caloric Intake in a Population With Overweight and Obesity (Evident 3 Study): Randomized Controlled Trial. J. Med. Internet Res. 2022, 24, e30416. [Google Scholar] [CrossRef] [PubMed]
- Lugones-Sánchez, C.; Recio-Rodríguez, J.I.; Menéndez-Suárez, M.; Saz-Lara, A.; Ramirez-Manent, J.I.; Sánchez-Calavera, M.A.; Gómez-Sánchez, L.; Rodríguez-Sánchez, E.; García-Ortiz, L.; Evident Investigators, G. Effect of a Multicomponent mHealth Intervention on the Composition of Diet in a Population with Overweight and Obesity-Randomized Clinical Trial EVIDENT 3. Nutrients 2022, 14, 270. [Google Scholar] [CrossRef] [PubMed]
- Norman, G.J.; Kolodziejczyk, J.K.; Adams, M.A.; Patrick, K.; Marshall, S.J. Fruit and vegetable intake and eating behaviors mediate the effect of a randomized text-message based weight loss program. Prev. Med. 2013, 56, 3–7. [Google Scholar] [CrossRef] [PubMed]
- McLean, G.; Band, R.; Saunderson, K.; Hanlon, P.; Murray, E.; Little, P.; McManus, R.J.; Yardley, L.; Mair, F.S. Digital interventions to promote self-management in adults with hypertension systematic review and meta-analysis. J. Hypertens. 2016, 34, 600–612. [Google Scholar] [CrossRef] [PubMed]
- Ang, S.M.; Chen, J.; Liew, J.H.; Johal, J.; Dan, Y.Y.; Allman-Farinelli, M.; Lim, S.L. Efficacy of Interventions That Incorporate Mobile Apps in Facilitating Weight Loss and Health Behavior Change in the Asian Population: Systematic Review and Meta-analysis. J. Med. Internet Res. 2021, 23, e28185. [Google Scholar] [CrossRef]
- Pal, K.; Eastwood, S.V.; Michie, S.; Farmer, A.; Barnard, M.L.; Peacock, R.; Wood, B.; Edwards, P.; Murray, E. Computer-based interventions to improve self-management in adults with type 2 diabetes: A systematic review and meta-analysis. Diabetes Care 2014, 37, 1759–1766. [Google Scholar] [CrossRef]
- Bingham, J.M.; Black, M.; Anderson, E.J.; Li, Y.; Toselli, N.; Fox, S.; Martin, J.R.; Axon, D.R.; Silva-Almodóvar, A. Impact of Telehealth Interventions on Medication Adherence for Patients With Type 2 Diabetes, Hypertension, and/or Dyslipidemia: A Systematic Review. Ann. Pharmacother. 2021, 55, 637–649. [Google Scholar] [CrossRef]
- Jennings, A.; Berendsen, A.M.; de Groot, L.; Feskens, E.J.M.; Brzozowska, A.; Sicinska, E.; Pietruszka, B.; Meunier, N.; Caumon, E.; Malpuech-Brugère, C.; et al. Mediterranean-Style Diet Improves Systolic Blood Pressure and Arterial Stiffness in Older Adults. Hypertension 2019, 73, 578–586. [Google Scholar] [CrossRef]
- Tomoto, T.; Liu, J.; Tseng, B.Y.; Pasha, E.P.; Cardim, D.; Tarumi, T.; Hynan, L.S.; Munro Cullum, C.; Zhang, R. One-Year Aerobic Exercise Reduced Carotid Arterial Stiffness and Increased Cerebral Blood Flow in Amnestic Mild Cognitive Impairment. J. Alzheimer’s Dis. 2021, 80, 841–853. [Google Scholar] [CrossRef]
- King, A.C.; Hekler, E.B.; Grieco, L.A.; Winter, S.J.; Sheats, J.L.; Buman, M.P.; Banerjee, B.; Robinson, T.N.; Cirimele, J. Effects of Three Motivationally Targeted Mobile Device Applications on Initial Physical Activity and Sedentary Behavior Change in Midlife and Older Adults: A Randomized Trial. PLoS ONE 2016, 11, e0156370. [Google Scholar] [CrossRef]
- Moustgaard, H.; Clayton, G.L.; Jones, H.E.; Boutron, I.; Jørgensen, L.; Laursen, D.R.T.; Olsen, M.F.; Paludan-Müller, A.; Ravaud, P.; Savović, J.; et al. Impact of blinding on estimated treatment effects in randomised clinical trials: Meta-epidemiological study. BMJ 2020, 368, l6802. [Google Scholar] [CrossRef]




| Characteristics | Intervention Group (n = 127) | Control Group (n = 126) | p Value |
|---|---|---|---|
| Age, mean years (SD) | 47.96 (9.95) | 47.78 (9.62) | 0.878 |
| Sex, n (%) | 0.413 | ||
| Men | 42 (33.1) | 35 (27.8) | |
| Women | 85 (66.9) | 91 (72.2) | |
| Smoking status, n (%) | 0.899 | ||
| Non smoker | 48 (37.8) | 50 (39.7) | |
| Smoker | 26 (20.5) | 27 (21.4) | |
| Former smoker | 53 (41.7) | 49 (38.9) | |
| Clinical variables, mean (SD) | |||
| BMI (kg/m2) | 32,71 (3.27) | 33.01 (3.31) | 0.460 |
| Systolic blood pressure (mmHg) | 116.13 (14.50) | 114.66 (14.14) | 0.414 |
| Diastolic blood pressure (mmHg) | 79.29 (9.96) | 79.10 (9.65) | 0.876 |
| Heart rate (bpm) | 67.51 (9.01) | 69.82 (10.42 | 0.060 |
| Total Cholesterol (mg/dL) | 194.61 (33.57) | 190. 99 (33.91) | 0.395 |
| HDL Cholesterol (mg/dL) | 49.89 (12.37 | 52.14 (11.72) | 0.139 |
| LDL Cholesterol (mg/dL) | 118.79 (28.26 | 115.42 (29.99) | 0.360 |
| Triglicerides (mg/dL) | 128.95 (76.85) | 117.26 (58.02) | 0.174 |
| Glycaemia (mg/dL) | 90.92 (12.22) | 91.61 (19.49) | 0.737 |
| HbA1c (%) | 5.46 (0.36) | 5.49 (0.53) | 0.536 |
| Cardiovascular Risk (%) | 5.89 (5.18) | 6.07 (6.83) | 0.807 |
| Chronic diseases, n (%) | |||
| Hypertension | 32 (25.2) | 36 (28.6) | 0.322 |
| Dyslipidemia | 28 (22.0) | 26 (20.8) | 0.465 |
| Diabetes Mellitus | 1 (0.8) | 3 (2.4) | 0.308 |
| Medication use, n(%) | |||
| Antihypertensive drugs | 17 (13.4) | 23 (18.3) | 0.187 |
| Lipid-lowering drugs | 22 (17.3) | 19 (15.1) | 0.377 |
| Parameters | Intervention Group (n = 127) | Control Group (n= 126) | Net Difference | |||
|---|---|---|---|---|---|---|
| Values | p Value | Values | p Value | Values | p Value a | |
| cfPWV, m/s | ||||||
| Baseline, mean (SD) | 7.42 (1.38) | N/A b | 7.64 (1.60) | N/Ab | −0.22 (−0.60 to 0.15) | 0.244 |
| 3-month change, mean difference (95% CI) | −0.18 (−0.38 to 0.02) | 0.070 | −0.28 (−0.54 to −0.02) | 0.035 | 0.10 (−0.23 to 0.42) | 0.558 |
| 12-month change, mean difference (95% CI) | −0.04 (−0.24 to 0.16) | 0.702 | −0.30 (−0.54 to −0.05) | 0.018 | 0.26 (−0.05 to 0.57) | 0.104 |
| baPWV, m/s | ||||||
| Baseline, mean (SD) | 11.60 (1.44) | N/A b | 11.77 (1.73) | N/A b | −0.17 (−0.56 to 0.22) | 0.396 |
| 3-month change, mean difference (95% CI) | 0.07 (−0.88 to 0.22) | 0.342 | −0.07 (−0.23 to 0.08) | 0.338 | 0.15 (−0.07 to 0.37) | 0.179 |
| 12-month change, mean difference (95% CI) | 0.10 (−0.04 to 0.23) | 0.160 | 0.13 (−0.06 to 0.33) | 0.185 | −0.03 (−0.27 to 0.21) | 0.805 |
| CAVI | ||||||
| Baseline, mean (SD) | 6.70 (1.02) | N/A b | 6.70 (1.20) | N/A b | 0.01 (−0.27 to 0.27) | 0.992 |
| 3-month change, mean difference (95% CI) | 0.07 (−0.07 to 0.20) | 0.321 | −0.09 (−0.07 to 0.25) | 0.271 | −0.02 (−0.23 to 0.19) | 0.833 |
| 12-month change, mean difference (95% CI) | 0.09 (−0.04 to 0.22) | 0.183 | 0.22 (0.05 to 0.39) | 0.012 | −0.13 (−0.34 to 0.19) | 0.243 |
| Parameters | Intervention Group (n = 127) | Control Group (n= 126) | Net Difference | |||
|---|---|---|---|---|---|---|
| Values | p Value | Values | p Value | Values | p Value a | |
| cSBP (mmHg) | ||||||
| Baseline, mean (SD) | 108.17 (13.69) | N/A b | 107.18 (13.11) | N/A b | 0.99 (−3.34 to 4.32) | 0.559 |
| 3-month change, mean difference (95% CI) | −1.43 (−3.30 to 0.44) | 0.134 | −1.93 (−3.52 to −0.35) | 0.018 | 0.51 (−1.94 to 2.95) | 0.688 |
| 12-month change, mean difference (95% CI) | -0.41 (-2.48 to 1.67) | 0.699 | −1.90 (−3.94 to 0.15) | 0.069 | 1.49 (−1.41 to 4.39) | 0.313 |
| cDBP (mmHg) | ||||||
| Baseline, mean (SD) | 78.81 (9.84) | N/A b | 78.10 (11.87) | N/A b | 0.714 (−2.00 to 3.42) | 0.605 |
| 3-month change, mean difference (95% CI) | −1.37 (−2.76 to 0.02) | 0.053 | −1.06 (−2.82 to 0.69) | 0.232 | −0.31 (−2.51 to 1.90) | 0.785 |
| 12-month change, mean difference (95% CI) | −1.63 (−3.36 to 0.09) | 0.064 | −1.64 (−3.19 to −0.10) | 0.037 | 0.01 (−2.29 to 2.32) | 0.991 |
| CAIx | ||||||
| Baseline, mean (SD) | 30.81 (12.14) | N/A b | 30.42 (11.79) | N/A b | 0.39 (−2.58 to 3.37) | 0.795 |
| 3-month change, mean difference (95% CI) | −0.85 (−2.66 to 0.96) | 0.353 | −0.36 (−2.33 to 1.60) | 0.715 | −0.49 (−3.15 to 2.17) | 0.717 |
| 12-month change, mean difference (95% CI) | 0.01 (−2.07 to 2.09) | 0.993 | −0.05 (−2.16 to 2.06) | 0.961 | 0.006 (−2.89 to 3.01) | 0.967 |
| PAIx | ||||||
| Baseline, mean (SD) | 92.19 (20.82) | N/A b | 89.03 (18.62) | N/A b | 3.16 (−1.84 to 8.17) | 0.214 |
| 3-month change, mean difference (95% CI) | −2.73 (−5.95 to 0.49) | 0.096 | −1.56 (−4.52 to 1.40) | 0.297 | −1.17 (−5.55 to 3.18) | 0.597 |
| 12-month change, mean difference (95% CI) | −3.60 (−7.22 to 0.00) | 0.050 | −2.09 (−5.26 to 1.07) | 0.193 | −1.51 (−6.29 to 3.28) | 0.538 |
| AP (mmHg) | ||||||
| Baseline, mean (SD) | 9.31 (4.99) | N/A b | 8.91 (4.80) | N/A b | 0.40 (−0.84 to 1.61) | 0.521 |
| 3-month change, mean difference (95% CI) | 0.43 (−1.04 to 1.92) | 0.558 | 0.42 (−1.18 to 2.02) | 0.604 | 0.02 (−2.15 to 2.19) | 0.987 |
| 12-month change, mean difference (95% CI) | 0.80 (−0.79 to 2.39) | 0.320 | 0.34 (−1.41 to 2.10) | 0.699 | 0.46 (−1.89 to 2.81) | 0.701 |
| ED (%) | ||||||
| Baseline, mean (SD) | 35.02 (4.18) | N/A b | 35.37 (6.39) | N/A b | 0.35 (−1.70 to 0.99) | 0.795 |
| 3-month change, mean difference (95% CI) | −0.52 (−1.12 to 0.07) | 0.087 | −0.04 (−1.23 to 1.16) | 0.951 | −0.49 (−1.76 to 0.79) | 0.454 |
| 12-month change, mean difference (95% CI) | −0.82 (−1.36 to −0.27) | 0.003 | −0.54 (−1.72 to 0.64) | 0.367 | −0.28 (−1.54 to 0.98) | 0.662 |
| SEVR (%) | ||||||
| Baseline, mean (SD) | 167.48 (26.63) | N/A b | 167.06 (26.25) | N/A b | 0.42 (−6.15 to 6.99) | 0.900 |
| 3-month change, mean difference (95% CI) | 2.90 (−0.87 to 6.67) | 0.130 | −2.07 −5.95 to 1.80) | 0.291 | 4.98 (−0.42 to 10.38) | 0.070 |
| 12-month change, mean difference (95% CI) | 5.31 (1.18 to 9.44) | 0.012 | 0.56 (−4.96 to 6.08) | 0.840 | 4.75 (−2.11 to 11.60) | 0.168 |
Publisher’s Note: MDPI stays neutral with regard to jurisdictional claims in published maps and institutional affiliations. |
© 2022 by the authors. Licensee MDPI, Basel, Switzerland. This article is an open access article distributed under the terms and conditions of the Creative Commons Attribution (CC BY) license (https://creativecommons.org/licenses/by/4.0/).
Share and Cite
Gómez-Sánchez, L.; Gómez-Sánchez, M.; Lugones-Sánchez, C.; Rodríguez-Sánchez, E.; Tamayo-Morales, O.; Gonzalez-Sánchez, S.; Magallón-Botaya, R.; Ramirez-Manent, J.I.; Recio-Rodriguez, J.I.; Agudo-Conde, C.; et al. Long-Term Effectiveness of a Smartphone App and a Smart Band on Arterial Stiffness and Central Hemodynamic Parameters in a Population with Overweight and Obesity (Evident 3 Study): Randomised Controlled Trial. Nutrients 2022, 14, 4758. https://doi.org/10.3390/nu14224758
Gómez-Sánchez L, Gómez-Sánchez M, Lugones-Sánchez C, Rodríguez-Sánchez E, Tamayo-Morales O, Gonzalez-Sánchez S, Magallón-Botaya R, Ramirez-Manent JI, Recio-Rodriguez JI, Agudo-Conde C, et al. Long-Term Effectiveness of a Smartphone App and a Smart Band on Arterial Stiffness and Central Hemodynamic Parameters in a Population with Overweight and Obesity (Evident 3 Study): Randomised Controlled Trial. Nutrients. 2022; 14(22):4758. https://doi.org/10.3390/nu14224758
Chicago/Turabian StyleGómez-Sánchez, Leticia, Marta Gómez-Sánchez, Cristina Lugones-Sánchez, Emiliano Rodríguez-Sánchez, Olaya Tamayo-Morales, Susana Gonzalez-Sánchez, Rosa Magallón-Botaya, Jose Ignacio Ramirez-Manent, Jose I. Recio-Rodriguez, Cristina Agudo-Conde, and et al. 2022. "Long-Term Effectiveness of a Smartphone App and a Smart Band on Arterial Stiffness and Central Hemodynamic Parameters in a Population with Overweight and Obesity (Evident 3 Study): Randomised Controlled Trial" Nutrients 14, no. 22: 4758. https://doi.org/10.3390/nu14224758
APA StyleGómez-Sánchez, L., Gómez-Sánchez, M., Lugones-Sánchez, C., Rodríguez-Sánchez, E., Tamayo-Morales, O., Gonzalez-Sánchez, S., Magallón-Botaya, R., Ramirez-Manent, J. I., Recio-Rodriguez, J. I., Agudo-Conde, C., García-Ortiz, L., & Gómez-Marcos, M. A. (2022). Long-Term Effectiveness of a Smartphone App and a Smart Band on Arterial Stiffness and Central Hemodynamic Parameters in a Population with Overweight and Obesity (Evident 3 Study): Randomised Controlled Trial. Nutrients, 14(22), 4758. https://doi.org/10.3390/nu14224758

