In Vitro Fermentation of Sheep and Cow Milk Using Infant Fecal Bacteria
Abstract
1. Introduction
2. Materials and Methods
2.1. Materials
2.2. In Vitro Digestion of Milk
2.3. Fecal Fermentation of Milk Digest Retentates
2.4. Sample Analysis
2.4.1. SCFA Analysis
2.4.2. DNA Sequencing
2.4.3. NMR Metabolomics
3. Results and Discussion
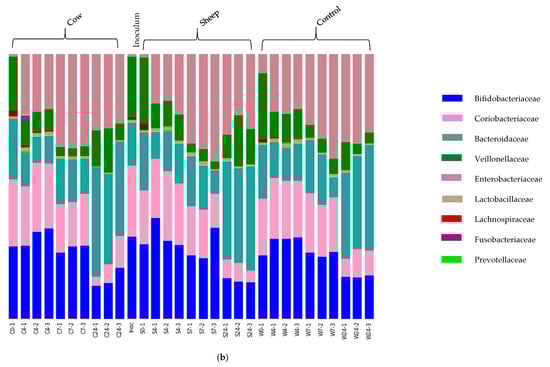
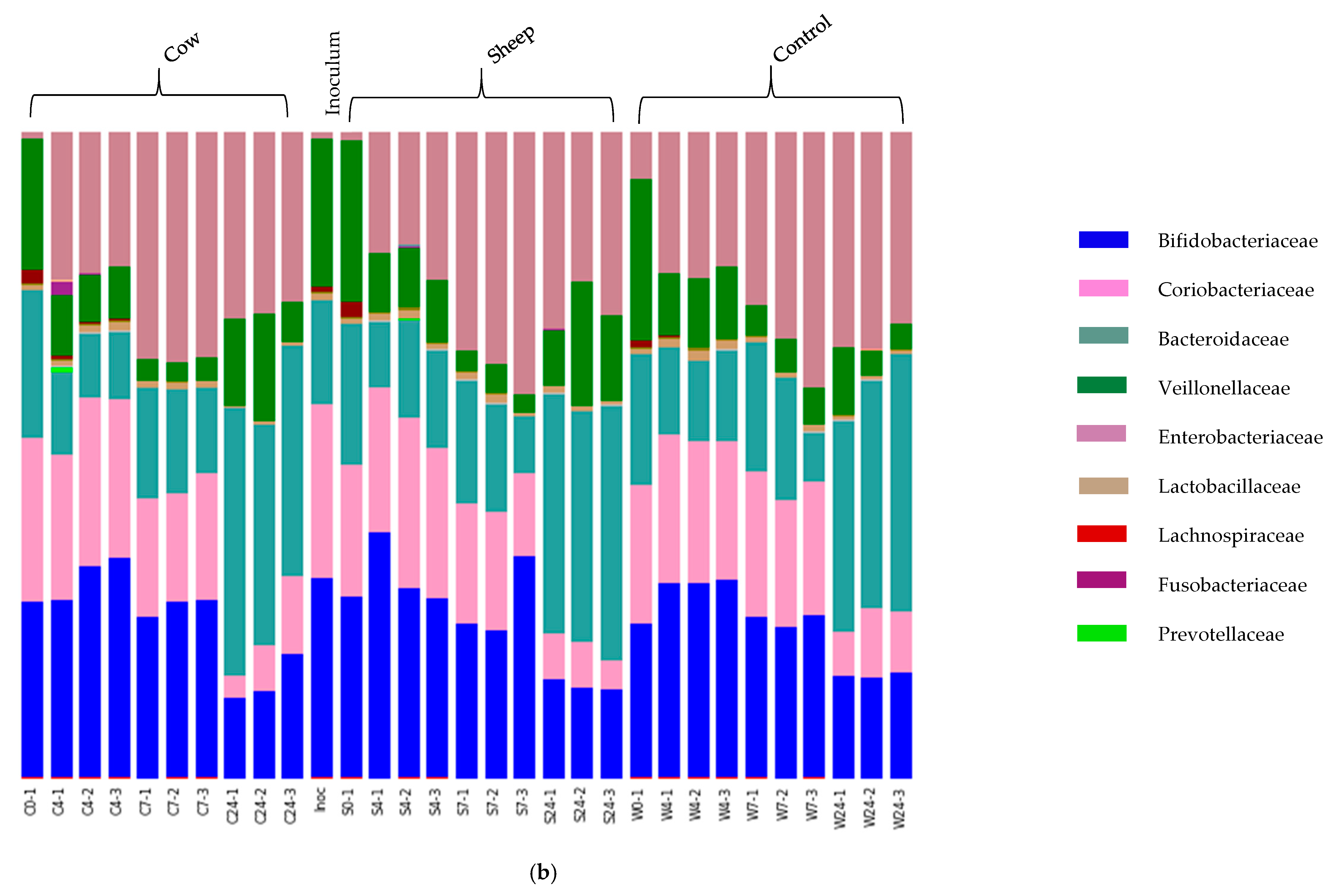
3.1. 16s rRNA Amplicon Sequencing
3.2. NMR-Based Metabolomics
3.3. Short-Chain Fatty Acids by Gas Chromatography
4. Conclusions
Author Contributions
Funding
Acknowledgments
Conflicts of Interest
Appendix A
| Metabolite | 1H Chemical Shift | 13C Chemical Shift | Confirmed TOCSY Cross-Peaks |
|---|---|---|---|
| Acetate | 1.91 | 26.0 | - |
| Alanine | 3.77 | 53.4 | - |
| 1.47 | 19.0 | ||
| Arginine | 3.75 | 57.5 | 1.64/1.91 |
| 3.23 | 43.4 | 1.90/3.76 | |
| 1.90 | 30.4 | 1.64/3.23 | |
| 1.65 | 26.6 | 1.64/3.77 | |
| Aspartate | 3.90 | 55.1 | 2.79/3.89 |
| 2.79 | 39.3 | 2.67/3.88 | |
| 2.68 | 39.3 | 2.79/2.67 | |
| Butyrate | 0.88 | 16.0 | - |
| 1.55 | 22.1 | ||
| 2.15 | 42.3 | ||
| Choline | 3.19 | 56.6 | 3.51/4.05 |
| 3.51 | 70.3 | ||
| 4.07 | 58.6 | ||
| Ethanol | 1.17 | 19.5 | - |
| 3.65 | 60.3 | ||
| Formate | 8.45 | 173.8 | 8.45/8.45 |
| Fucose* | 1.23 | 18.2 | 4.55/3.43 1.24/3.78 |
| 3.43 | 74.4 | ||
| 3.62 | 75.6 | ||
| 3.73 | 74.2 | ||
| 3.79 | 73.6 | ||
| 4.54 | 98.9 | ||
| Galactose | 3.72 | 63.9 | |
| 3.80 | 71.1 | ||
| 3.84 | 71.9 | - | |
| 3.97 | 72.0 | ||
| 4.08 | 73.2 | ||
| 5.25 | 95.0 | ||
| Glutamate | 2.12 | 29.6 | 3.75/2.08 |
| 2.34 | 36.2 | 3.75/2.35 | |
| 3.75 | 57.5 | 2.08/2.34 | |
| Glucose-6-phophate * | 3.58 | 74.0 | 5.22/3.57 5.22/3.55 5.22/3.72 5.22/4.03 |
| 3.58 | 71.8 | ||
| 3.75 | 74.8 | ||
| 3.85 | 73.8 | ||
| 3.89 | 65.7 | ||
| 5.22 | 94.6 | ||
| Glycine | 3.55 | 44.4 | - |
| Isoleucine | 0.93 | 13.8 | - |
| 1.0 | 17.4 | ||
| 1.25 | 27.2 | ||
| 1.46 | 27.1 | ||
| 1.97 | 38.7 | ||
| 3.67 | 62.5 | ||
| Lactate | 1.32 | 22.8 | |
| 4.10 | 71.2 | ||
| Lactose | 3.54 | 73.9 | 5.22/3.82 5.22/3.86 5.22/3.92 5.22/3.94 4.44/3.82 4.44/3.92 3.72/3.57 3.76/3.54 3.54/3.76 |
| 3.58 | 74.0 | ||
| 3.64 | 81.0 | ||
| 3.65 | 75.3 | ||
| 3.75 | 77.9 | ||
| 3.77 | 63.8 | ||
| 3.82 | 74.3 | ||
| 3.88 | 62.5 | ||
| 3.90 | 71.2 | ||
| 3.95 | 72.9 | ||
| 4.43 | 105.7 | ||
| 5.22 | 94.6 | ||
| Leucine | 0.94 | 23.6 | |
| 0.95 | 24.7 | ||
| 1.69 | 26.8 | - | |
| 1.72 | 42.6 | ||
| 3.73 | 56.3 | ||
| Lysine | 1.43 | 24.0 | |
| 1.49 | 24.0 | ||
| 1.71 | 29.2 | - | |
| 1.89 | 32.7 | ||
| 3.02 | 412.1 | ||
| 3.75 | 57.5 | ||
| Methanol | 3.35 | 51.8 | - |
| Methionine | 2.11 | 16.7 | 2.12/3.85 2.11/2.63 |
| 2.17 | 32.5 | ||
| 2.63 | 31.5 | ||
| 3.85 | 56.8 | ||
| N-acetyl glucosamine | 2.04 | 25.0 | 5.19/3.76 5.19/3.82 5.19/3.85 3.75/3.48 |
| 3.47 | 72.6 | ||
| 3.75 | 73.2 | ||
| 3.82 | 63.4 | ||
| 3.82 | 75.3 | ||
| 3.85 | 56.8 | ||
| 5.20 | 93.7 | ||
| N-acetyl mannosamine | 2.03 | 25.0 | 3.50/4.42 3.84/4.42 2.06/3.42 2.06/3.86 |
| 3.40 | 72.6 | ||
| 3.53 | 73.2 | ||
| 3.80 | 63.4 | ||
| 3.84 | 75.3 | ||
| 4.44 | 56.8 | ||
| 5.02 | 93.7 | ||
| Phenylalanine | 3.12 | 39.2 | |
| 3.27 | 39.2 | ||
| 3.95 | 58.7 | - | |
| 7.32 | 132.1 | ||
| 7.37 | 130.5 | ||
| 7.42 | 131.9 | ||
| Proline | 1.99 | 26.5 | |
| 2.06 | 31.7 | ||
| 2.34 | 31.7 | - | |
| 3.33 | 49.0 | ||
| 3.41 | 49.0 | ||
| 4.12 | 64.0 | ||
| Propionate | 2.17 | 33.4 | - |
| 1.04 | 12.9 | ||
| Pyruvate | 2.36 | 29.2 | - |
| Succinate | 2.40 | 36.8 | - |
| Threonine | 1.32 | 22.2 | |
| 3.6 | 63.3 | - | |
| 4.25 | 68.8 | ||
| Tryptophan | 4.05 | 58.0 | 7.73/7.53 7.27/7.53 3.29/4.04 3.47/3.30 |
| 7.19 | 122.3 | ||
| 7.27 | 124.8 | ||
| 7.32 | 128.0 | ||
| 7.53 | 114.8 | ||
| 7.73 | 121.2 | ||
| Tyrosine | 3.03 | 38.3 | 3.17/3.02 7.17/6.88 |
| 3.18 | 38.3 | ||
| 3.95 | 58.7 | ||
| 6.89 | 118.7 | ||
| 7.18 | 133.6 | ||
| Uracil | 7.52 | 146.3 | 7.52/5.79 |
| 7.49 | 146.1 | ||
| 5.79 | 103.8 | ||
| Valine | 0.98 | 19.4 | |
| 1.03 | 20.7 | - | |
| 2.26 | 31.9 | ||
| 3.60 | 63.3 | ||
| myo-Inositol | 3.27 | 77.2 | 3.27/3.53 3.27/4.05 3.53/4.05 3.61/3.27 3.61/4.05 |
| 3.53 | 73.9 | ||
| 4.05 | 75.0 |
| Metabolite | 1H Chemical Shift | 13C Chemical Shift | Confirmed TOCSY Cross-Peaks |
|---|---|---|---|
| 5,6-dihydrouracil | 2.67 | 32.27 | 2.67/3.44 |
| 3.44 | 38.32 | ||
| Acetate | 1.91 | 26.0 | - |
| Alanine | 3.77 | 53.4 | - |
| 1.47 | 19.0 | ||
| Arginine | 3.75 | 57.5 | 1.71/1.89 |
| 3.22 | 43.6 | 1.86/3.75 | |
| 1.87 | 30.6 | 1.71/3.23 | |
| 1.68 | 26.5 | 1.71/3.73 | |
| Aspartate | 3.89 | 55.1 | 3.90/2.81 |
| 2.81 | 39.3 | 3.90/2.67 | |
| 2.67 | 39.4 | 2.80/3.89 | |
| 2.81/2.66 | |||
| 2.66/3.89 | |||
| 2.67/2.80 | |||
| Betaine | 3.88 | 69.8 | 3.88/3.23 |
| 3.25 | 56.1 | ||
| Choline | 3.19 | 56.6 | 3.50/4.05 |
| 3.50 | 70.1 | ||
| 4.05 | 58.3 | ||
| Cytosine | 7.51 | 146.3 | 5.96/7.49 |
| - | - | 7.50/5.97 | |
| Ethanol | 1.17 | 19.6 | - |
| 3.64 | 60.3 | ||
| Formate | 8.45 | 173.8 | 8.45/8.45 |
| Fucose* | 5.11 | 97.7 | 3.92/3.65 |
| 3.92 | 73.5 | 3.44/3.88 | |
| 3.71 | 73.0 | ||
| 3.43 | 74.6 | ||
| 3.87 | 70.8 | ||
| 4.88 | 97.7 | ||
| 3.63 | 75.6 | ||
| - | - | ||
| - | - | ||
| Fumarate | 6.51 | 138.1 | - |
| Galactose | 5.26 | 95.1 | |
| 4.57 | 99.3 | ||
| 4.07 | 73.3 | ||
| 3.98 | 72.1 | ||
| 3.92 | 71.5 | ||
| 3.85 | 72.1 | - | |
| 3.80 | 71.0 | ||
| 3.75 | 63.8 | ||
| 3.70 | 77.9 | ||
| 3.63 | 75.6 | ||
| 3.48 | 74.8 | ||
| Glucose | 5.22 | 94.9 | |
| - | - | ||
| 3.90 | 63.4 | ||
| 3.82 | 63.3 | ||
| 3.81 | 74.1 | ||
| 3.72 | 63.5 | - | |
| 3.70 | 75.6 | ||
| 3.52 | 74.3 | ||
| 3.45 | 78.6 | ||
| 3.40 | 72.5 | ||
| 3.23 | 77.0 | ||
| Glutamate | 2.11 | 29.8 | 3.75/2.05 |
| 2.34 | 36.2 | 3.75/2.34 | |
| 3.75 | 57.5 | 2.12/2.34 | |
| Glutamine | 2.11 | 29.8 | 3.75/2.34 |
| 2.34 | 36.2 | 2.12/2.34 | |
| 3.75 | 57.5 | 2.06/3.75 | |
| Glycerol | 3.55 | 65.4 | |
| 3.65 | 65.4 | - | |
| 3.80 | 74.8 | ||
| Glycine | 3.55 | 44.4 | - |
| Histidine | 3.18 | 30.3 | 7.13/8.00 |
| 3.27 | 30.2 | 7.13/3.26 | |
| 3.28 | 29.3 | 7.13/3.18 | |
| 4.00 | 57.3 | 4.00/3.26 | |
| 7.14 | 120.0 | 4.00/3.18 | |
| 8.03 | 138.4 | ||
| Isoleucine | 0.93 | 13.8 | |
| 1.0 | 17.4 | ||
| 1.45 | 27.0 | - | |
| 1.96 | 38.7 | ||
| 3.65 | 62.5 | ||
| Lactate | 1.31 | 22.9 | - |
| 4.15 | 71.1 | ||
| Leucine | 0.94 | 23.7 | |
| 0.95 | 24.7 | ||
| 1.69 | 26.9 | - | |
| 1.72 | 42.6 | ||
| 3.73 | 56.4 | ||
| Lysine | 1.43 | 24.1 | |
| 1.49 | 24.2 | ||
| 1.7 | 29.1 | - | |
| 1.89 | 32.7 | ||
| 3.04 | 41.8 | ||
| 3.75 | 57.5 | ||
| Methanol | 3.35 | 51.8 | - |
| Methionine | 2.12 | 16.6 | |
| 2.18 | 32.6 | - | |
| 2.63 | 31.5 | ||
| 3.85 | 56.8 | ||
| Ornithine | 3.75 | 57.2 | 3.04/1.76 |
| 3.04 | 41.8 | 3.04/1.93 | |
| 1.93 | 30.2 | 3.04/3.75 | |
| - | - | 1.93/1.77 | |
| Phenylalanine | 3.12 | 39.2 | |
| 3.28 | 39.2 | ||
| 3.99 | 58.9 | - | |
| 7.32 | 132.1 | ||
| 7.37 | 130.5 | ||
| 7.42 | 131.9 | ||
| Proline | 1.99 | 26.5 | |
| 2.05 | 31.7 | - | |
| 2.33 | 31.7 | ||
| 3.33 | 49.0 | ||
| 3.41 | 49.0 | ||
| 4.12 | 64.0 | ||
| Propionate | 2.17 | 33.4 | - |
| 1.04 | 12.9 | ||
| Putrescine | 3.04 | 41.8 | 1.76/3.04 |
| 1.76 | 26.7 | ||
| Pyruvate | 2.36 | 29.1 | - |
| Serine | 3.97 | 63.0 | - |
| 3.83 | 59.3 | ||
| Succinate | 2.39 | 36.8 | - |
| Taurine | 3.25 | 50.4 | 3.41/3.25 |
| 3.42 | 38.3 | ||
| Tryptophan | 3.28 | 29.2 | |
| 3.49 | 29.1 | ||
| 4.05 | 58.3 | ||
| 7.19 | 122.0 | - | |
| 7.27 | 124.9 | ||
| 7.31 | 128.0 | ||
| 7.53 | 114.8 | ||
| 7.72 | 121.3 | ||
| Tyrosine | 3.04 | 38.3 | 3.17/3.95 7.17/6.89 |
| 3.19 | 38.3 | ||
| 3.93 | 59.0 | ||
| 6.89 | 118.7 | ||
| 7.20 | 133.1 | ||
| Uracil | 7.52 | 146.4 | 5.79/7.53 |
| - | - | 7.52/5.79 | |
| 5.79 | 103.8 | ||
| Valine | 0.98 | 19.4 | |
| 1.03 | 20.7 | - | |
| 2.26 | 31.9 | ||
| 3.60 | 63.3 | ||
| Xanthine | 7.74 | 140.1 | 7.72/7.72 |
| myo-Inositol | 3.27 | 77.2 | 4.05/3.51 |
| 3.53 | 73.9 | 4.05/3.26 | |
| 3.63 | 75.9 | 3.27/3.52 | |
| 4.05 | 75.1 | 3.63/3.28 | |
| 3.60/4.05 |
Appendix B
| CM (mM) | SM (mM) | Control (mM) | |||||||
|---|---|---|---|---|---|---|---|---|---|
| Metabolite | 4 h | 7 h | 24 h | 4 h | 7 h | 24 h | 4 h | 7 h | 24 h |
| Acetate †‡ | 333.03 | 431.38 | 2263.06 | 376.31 | 509.63 | 1998.08 | 137.56 | 194.41 | 1024.92 |
| Alanine * †‡ | 52.84 | 55.22 | 74.85 | 39.02 | 43.77 | 59.19 | 10.18 | 11.36 | 17.10 |
| Arginine *†‡ | 32.74 | 31.30 | 1.65 | 24.57 | 24.94 | 3.11 | 0.00 | 0.00 | 0.00 |
| Aspartate †‡ | 33.13 | 35.03 | 26.04 | 26.46 | 37.30 | 22.59 | 10.71 | 9.93 | 6.73 |
| Butyrate †‡ | 9.32 | 16.06 | 92.74 | 5.07 | 30.26 | 92.45 | 3.01 | 8.37 | 54.70 |
| Choline *†‡ | 5.50 | 5.56 | 7.06 | 4.55 | 4.62 | 4.98 | 1.67 | 1.62 | 1.20 |
| Ethanol *† | 305.87 | 165.23 | 122.26 | 296.97 | 353.30 | 205.72 | 217.06 | 240.41 | 103.20 |
| Formate *†‡ | 168.20 | 197.60 | 298.75 | 163.34 | 227.03 | 350.43 | 9.38 | 23.70 | 103.39 |
| Fucose *†‡ | 27.81 | 29.05 | 148.65 | 25.60 | 28.89 | 99.15 | 28.48 | 23.08 | 60.59 |
| Galactose * | 18.98 | 11.71 | 2.95 | 2.89 | 2.71 | 0.93 | 2.46 | 39.13 | 1.04 |
| Glucose-6-phosphate *†‡ | 111.33 | 52.24 | 28.57 | 100.23 | 102.24 | 57.16 | 68.81 | 38.29 | 20.52 |
| Glutamate †‡ | 48.66 | 55.38 | 18.74 | 41.23 | 50.69 | 16.02 | 15.70 | 17.02 | 0.00 |
| Glycine †‡ | 74.39 | 84.66 | 73.48 | 72.79 | 76.23 | 64.95 | 24.02 | 12.47 | 11.44 |
| Isoleucine *†‡ | 64.17 | 52.66 | 30.61 | 44.10 | 42.26 | 18.61 | 7.78 | 6.65 | 1.14 |
| Lactate †‡ | 98.88 | 119.49 | 19.58 | 103.46 | 126.70 | 17.68 | 34.32 | 36.55 | 35.69 |
| Lactose *† | 46.53 | 119.05 | 38.56 | 37.10 | 35.64 | 23.74 | 33.91 | 36.94 | 105.91 |
| Leucine *†‡ | 62.01 | 63.57 | 24.80 | 39.85 | 39.85 | 7.81 | 7.50 | 8.65 | 3.07 |
| Lysine *†‡ | 53.98 | 50.12 | 50.32 | 36.53 | 27.39 | 21.21 | 0.00 | 0.00 | 3.41 |
| Methanol †‡ | 48.86 | 48.29 | 49.55 | 47.79 | 48.24 | 49.36 | 50.71 | 50.27 | 49.94 |
| Methionine †‡ | 16.07 | 10.59 | 0.90 | 15.20 | 6.95 | 4.99 | 0.00 | 0.00 | 1.95 |
| myo-Inositol | 8.31 | 7.97 | 0.00 | 0.00 | 0.00 | 0.00 | 0.00 | 0.00 | 5.76 |
| N-Acetylglucosamine *‡ | 35.94 | 11.68 | 15.28 | 11.38 | 2.76 | 9.63 | 7.34 | 10.34 | 9.68 |
| N-acetylmannosamine *‡ | 34.27 | 38.17 | 6.13 | 37.79 | 40.11 | 18.67 | 34.55 | 40.60 | 31.10 |
| Ornithine ‡ | 0.00 | 0.00 | 15.62 | 1.57 | 2.85 | 7.84 | 0.00 | 0.00 | 2.15 |
| Phenylalanine *†‡ | 19.34 | 20.46 | 13.38 | 13.32 | 12.86 | 9.45 | 0.00 | 0.00 | 0.37 |
| Proline *‡ | 19.68 | 17.53 | 46.09 | 6.87 | 9.38 | 5.98 | 0.00 | 0.00 | 2.08 |
| Propionate *†‡ | 1.29 | 9.91 | 346.98 | 2.95 | 10.08 | 254.29 | 2.47 | 6.13 | 105.14 |
| Pyruvate †‡ | 30.99 | 25.84 | 0.00 | 34.56 | 16.35 | 2.21 | 18.41 | 16.05 | 0.00 |
| Succinate *†‡ | 12.71 | 23.91 | 1377.31 | 13.04 | 32.25 | 1053.40 | 9.29 | 16.82 | 386.52 |
| Threonine †‡ | 41.95 | 25.67 | 5.15 | 26.65 | 15.75 | 9.47 | 1.15 | 7.39 | 4.46 |
| Tryptophan *†‡ | 13.08 | 13.06 | 10.80 | 9.15 | 9.43 | 7.80 | 2.20 | 1.70 | 0.82 |
| Tyrosine *†‡ | 25.36 | 25.55 | 0.00 | 14.27 | 16.74 | 2.39 | 4.12 | 4.63 | 0.97 |
| Uracil †‡ | 3.89 | 8.26 | 10.04 | 2.01 | 9.24 | 10.36 | 1.71 | 1.95 | 0.00 |
| Valine *†‡ | 62.09 | 65.16 | 57.34 | 44.28 | 48.48 | 35.19 | 9.51 | 9.63 | 8.74 |
| CM vs. SM | CM vs. Control | SM vs. Control | ||||||||||
|---|---|---|---|---|---|---|---|---|---|---|---|---|
| Substrate | Time | Substrate | Time | Substrate | Time | |||||||
| Metabolite | p Value | fdr | p Value | fdr | p Value | fdr | p Value | fdr | p Value | fdr | p Value | fdr |
| Acetate †‡ | 0.351 | 0.459 | 0.000 | 0.001 | 0.000 | 0.000 | 0.000 | 0.000 | 0.000 | 0.000 | 0.000 | 0.000 |
| Alanine *†‡ | 0.000 | 0.000 | 0.000 | 0.000 | 0.000 | 0.000 | 0.000 | 0.000 | 0.000 | 0.000 | 0.000 | 0.000 |
| Arginine *†‡ | 0.035 | 0.057 | 0.000 | 0.000 | 0.000 | 0.001 | 0.001 | 0.003 | 0.000 | 0.000 | 0.001 | 0.002 |
| Aspartate †‡ | 0.192 | 0.283 | 0.000 | 0.001 | 0.000 | 0.000 | 0.014 | 0.019 | 0.000 | 0.000 | 0.002 | 0.004 |
| Butyrate †‡ | 0.521 | 0.611 | 0.000 | 0.000 | 0.000 | 0.000 | 0.000 | 0.000 | 0.000 | 0.000 | 0.000 | 0.000 |
| Choline *†‡ | 0.000 | 0.000 | 0.004 | 0.008 | 0.000 | 0.000 | 0.003 | 0.005 | 0.000 | 0.000 | 1.000 | 1.000 |
| Ethanol *† | 0.019 | 0.037 | 0.018 | 0.022 | 0.804 | 0.828 | 0.009 | 0.014 | 0.002 | 0.002 | 0.001 | 0.002 |
| Formate *†‡ | 0.006 | 0.014 | 0.000 | 0.000 | 0.000 | 0.000 | 0.000 | 0.000 | 0.000 | 0.000 | 0.000 | 0.000 |
| Fucose *†‡ | 0.000 | 0.001 | 0.000 | 0.000 | 0.000 | 0.001 | 0.000 | 0.000 | 0.001 | 0.001 | 0.000 | 0.000 |
| Galactose * | 0.000 | 0.001 | 0.009 | 0.013 | 1.000 | 1.000 | 0.295 | 0.334 | 0.482 | 0.512 | 0.278 | 0.364 |
| Glucose-6-phosphate *†‡ | 0.025 | 0.044 | 0.000 | 0.001 | 0.048 | 0.054 | 0.000 | 0.000 | 0.001 | 0.001 | 0.008 | 0.015 |
| Glutamate †‡ | 0.594 | 0.652 | 0.015 | 0.019 | 0.005 | 0.006 | 0.019 | 0.026 | 0.001 | 0.001 | 0.010 | 0.017 |
| Glycine †‡ | 0.226 | 0.320 | 0.184 | 0.195 | 0.000 | 0.000 | 0.845 | 0.898 | 0.000 | 0.000 | 0.692 | 0.800 |
| Isoleucine *†‡ | 0.000 | 0.000 | 0.000 | 0.000 | 0.000 | 0.000 | 0.000 | 0.000 | 0.000 | 0.000 | 0.000 | 0.001 |
| Lactate †‡ | 0.556 | 0.630 | 0.000 | 0.000 | 0.000 | 0.000 | 0.000 | 0.000 | 0.000 | 0.000 | 0.000 | 0.000 |
| Lactose *† | 0.000 | 0.001 | 0.003 | 0.005 | 0.228 | 0.250 | 0.005 | 0.008 | 0.002 | 0.002 | 0.014 | 0.024 |
| Leucine *†‡ | 0.000 | 0.000 | 0.000 | 0.000 | 0.000 | 0.000 | 0.000 | 0.000 | 0.000 | 0.000 | 0.000 | 0.000 |
| Lysine *†‡ | 0.001 | 0.003 | 0.737 | 0.759 | 0.000 | 0.000 | 0.980 | 1.000 | 0.000 | 0.001 | 0.665 | 0.800 |
| Methanol †‡ | 0.380 | 0.478 | 0.167 | 0.183 | 0.033 | 0.039 | 0.706 | 0.774 | 0.007 | 0.009 | 0.760 | 0.834 |
| Methionine †‡ | 1.000 | 1.000 | 0.009 | 0.013 | 0.002 | 0.003 | 0.072 | 0.088 | 0.001 | 0.001 | 0.084 | 0.119 |
| myo-Inositol | 0.304 | 0.414 | 1.000 | 1.000 | 0.725 | 0.771 | 1.000 | 1.000 | 1.000 | 1.000 | 1.000 | 1.000 |
| N-Acetylglucosamine *‡ | 0.013 | 0.025 | 0.050 | 0.058 | 0.012 | 0.015 | 0.108 | 0.127 | 0.633 | 0.653 | 0.706 | 0.800 |
| N-acetylmannosamine *‡ | 0.000 | 0.000 | 0.000 | 0.000 | 0.008 | 0.010 | 0.001 | 0.002 | 0.182 | 0.200 | 0.001 | 0.003 |
| Ornithine ‡ | 0.902 | 0.929 | 0.007 | 0.011 | 0.016 | 0.019 | 0.000 | 0.001 | 0.035 | 0.041 | 0.075 | 0.111 |
| Phenylalanine *†‡ | 0.000 | 0.000 | 0.000 | 0.000 | 0.000 | 0.000 | 0.000 | 0.000 | 0.000 | 0.000 | 0.195 | 0.265 |
| Proline *‡ | 0.001 | 0.002 | 0.053 | 0.060 | 0.000 | 0.000 | 0.006 | 0.009 | 0.041 | 0.047 | 1.000 | 1.000 |
| Propionate *†‡ | 0.007 | 0.015 | 0.000 | 0.000 | 0.000 | 0.000 | 0.000 | 0.000 | 0.000 | 0.000 | 0.000 | 0.000 |
| Pyruvate †‡ | 0.505 | 0.611 | 0.000 | 0.000 | 0.000 | 0.000 | 0.000 | 0.000 | 0.004 | 0.005 | 0.000 | 0.000 |
| Succinate *†‡ | 0.026 | 0.044 | 0.000 | 0.000 | 0.000 | 0.000 | 0.000 | 0.000 | 0.000 | 0.000 | 0.000 | 0.000 |
| Threonine †‡ | 0.173 | 0.267 | 0.013 | 0.018 | 0.004 | 0.005 | 0.056 | 0.070 | 0.008 | 0.010 | 0.374 | 0.471 |
| Tryptophan *†‡ | 0.000 | 0.000 | 0.006 | 0.009 | 0.000 | 0.000 | 0.001 | 0.002 | 0.000 | 0.000 | 0.024 | 0.039 |
| Tyrosine *†‡ | 0.004 | 0.010 | 0.000 | 0.000 | 0.000 | 0.000 | 0.000 | 0.000 | 0.000 | 0.000 | 0.000 | 0.000 |
| Uracil †‡ | 0.804 | 0.854 | 0.005 | 0.008 | 0.000 | 0.000 | 0.029 | 0.038 | 0.000 | 0.000 | 0.001 | 0.002 |
| Valine *†‡ | 0.000 | 0.000 | 0.015 | 0.019 | 0.000 | 0.000 | 0.001 | 0.001 | 0.000 | 0.000 | 0.067 | 0.103 |
| CM (mM) | SM (mM) | Control (mM) | |||||||
|---|---|---|---|---|---|---|---|---|---|
| Metabolite | 4 h | 7 h | 24 h | 4 h | 7 h | 24 h | 4 h | 7 h | 24 h |
| 5,6-Dihydrouracil | 0.00 | 0.00 | 14.32 | 0.00 | 0.00 | 14.87 | 0.00 | 0.00 | 5.92 |
| Acetate *†‡ | 507.95 | 800.65 | 1154.94 | 563.61 | 776.46 | 1272.14 | 283.88 | 412.59 | 696.04 |
| Alanine †‡ | 61.21 | 72.60 | 25.66 | 58.40 | 69.24 | 31.14 | 19.44 | 21.39 | 23.29 |
| Arginine | 0.00 | 0.00 | 0.00 | 0.00 | 0.00 | 5.42 | 0.00 | 0.00 | 0.00 |
| Aspartate †‡ | 57.36 | 6.93 | 0.00 | 51.30 | 5.61 | 0.00 | 12.26 | 2.14 | 0.00 |
| Betaine | 1.86 | 1.43 | 1.63 | 1.48 | 2.30 | 1.79 | 1.19 | 1.52 | 1.63 |
| Choline †‡ | 12.41 | 14.02 | 15.06 | 11.90 | 13.20 | 15.25 | 9.09 | 8.96 | 9.66 |
| Cytosine | 0.00 | 0.00 | 0.00 | 0.00 | 0.00 | 0.00 | 0.32 | 0.00 | 0.00 |
| Ethanol †‡ | 44.75 | 93.97 | 115.48 | 70.25 | 93.62 | 183.88 | 37.23 | 48.60 | 56.75 |
| Formate †‡ | 76.42 | 251.18 | 126.74 | 137.67 | 235.83 | 150.00 | 33.27 | 88.16 | 56.28 |
| Fucose | 13.32 | 0.00 | 0.00 | 0.00 | 0.00 | 0.00 | 19.96 | 0.00 | 0.00 |
| Fumarate | 1.39 | 2.40 | 0.00 | 2.24 | 1.89 | 0.00 | 2.00 | 1.08 | 0.07 |
| Galactose † | 8.59 | 10.84 | 4.90 | 8.45 | 11.16 | 14.80 | 5.91 | 7.33 | 2.08 |
| Glucose ‡ | 14.16 | 4.22 | 0.54 | 2.38 | 4.82 | 8.75 | 2.25 | 0.84 | 0.00 |
| Glutamate †‡ | 65.03 | 69.47 | 79.47 | 55.88 | 60.37 | 74.79 | 13.08 | 14.54 | 10.01 |
| Glutamine *†‡ | 27.49 | 23.84 | 0.00 | 18.98 | 18.60 | 0.00 | 0.00 | 0.00 | 0.00 |
| Glycerol † | 19.10 | 13.21 | 0.00 | 0.00 | 12.61 | 0.00 | 30.34 | 14.62 | 0.00 |
| Glycine †‡ | 70.13 | 85.82 | 92.04 | 69.10 | 85.07 | 93.55 | 18.52 | 20.71 | 4.32 |
| Histidine *†‡ | 11.08 | 17.63 | 18.73 | 9.23 | 12.15 | 16.85 | 1.58 | 1.88 | 1.10 |
| Hydroxyacetone | 8.45 | 2.18 | 1.60 | 5.94 | 5.04 | 5.14 | 2.49 | 2.89 | 2.14 |
| Isoleucine *†‡ | 52.86 | 57.70 | 56.78 | 41.57 | 50.77 | 47.15 | 8.46 | 8.39 | 6.29 |
| Lactate †‡ | 221.90 | 228.48 | 110.60 | 232.12 | 225.88 | 90.17 | 82.95 | 82.68 | 27.59 |
| Leucine *†‡ | 58.56 | 66.12 | 62.90 | 45.08 | 55.02 | 46.92 | 8.67 | 11.37 | 9.04 |
| Lysine †‡ | 37.87 | 27.87 | 10.49 | 51.67 | 31.99 | 14.69 | 0.00 | 0.00 | 0.00 |
| Methanol | 6.12 | 3.72 | 5.67 | 3.95 | 4.35 | 5.62 | 4.42 | 3.85 | 5.47 |
| Methionine *†‡ | 14.23 | 14.90 | 16.52 | 10.31 | 12.99 | 12.40 | 2.07 | 3.25 | 2.35 |
| myo-Inositol | 0.00 | 3.85 | 15.40 | 14.41 | 0.00 | 0.00 | 7.21 | 6.68 | 8.01 |
| Ornithine †‡ | 10.05 | 4.50 | 0.00 | 11.51 | 6.38 | 0.00 | 0.95 | 0.52 | 0.53 |
| Phenylalanine †‡ | 5.08 | 18.90 | 21.31 | 4.66 | 14.99 | 21.16 | 0.00 | 0.85 | 0.00 |
| Proline †‡ | 21.06 | 36.38 | 64.35 | 16.35 | 26.12 | 72.17 | 0.00 | 1.84 | 6.11 |
| Propionate †‡ | 9.57 | 41.34 | 372.47 | 10.92 | 33.22 | 392.88 | 9.23 | 15.63 | 115.11 |
| Putrescine †‡ | 0.00 | 0.00 | 34.33 | 0.00 | 0.00 | 35.58 | 0.00 | 0.00 | 0.00 |
| Pyruvate †‡ | 33.90 | 0.61 | 0.00 | 35.85 | 0.12 | 0.00 | 9.37 | 0.20 | 0.00 |
| Serine | 28.16 | 0.00 | 0.00 | 0.00 | 0.00 | 0.00 | 0.00 | 0.00 | 0.00 |
| Succinate †‡ | 44.09 | 138.78 | 214.41 | 48.71 | 129.11 | 215.28 | 43.09 | 71.74 | 122.43 |
| Taurine | 0.00 | 0.58 | 0.00 | 0.00 | 0.00 | 0.00 | 2.82 | 5.26 | 0.00 |
| Tryptophan †‡ | 10.04 | 13.06 | 4.12 | 10.62 | 15.11 | 5.13 | 1.84 | 2.15 | 0.91 |
| Tyrosine †‡ | 23.12 | 28.32 | 7.79 | 14.79 | 25.78 | 2.75 | 4.00 | 4.22 | 1.24 |
| Uracil †‡ | 12.98 | 14.91 | 4.35 | 13.99 | 15.93 | 3.71 | 6.13 | 6.46 | 1.59 |
| Valine *†‡ | 67.25 | 75.64 | 85.47 | 53.75 | 68.35 | 74.10 | 10.03 | 7.87 | 10.06 |
| Xanthine *‡ | 1.34 | 13.17 | 0.00 | 0.00 | 4.44 | 0.00 | 2.83 | 3.67 | 0.00 |
| CM vs. SM | CM vs. Control | SM vs. Control | ||||||||||
|---|---|---|---|---|---|---|---|---|---|---|---|---|
| Substrate | Time | Substrate | Time | Substrate | Time | |||||||
| Metabolite | p Value | fdr | p Value | fdr | p Value | fdr | p Value | fdr | p Value | fdr | p Value | fdr |
| 5,6-Dihydrouracil | 0.573 | 0.937 | 0.017 | 0.031 | 0.241 | 0.308 | 0.018 | 0.036 | 0.330 | 0.387 | 0.027 | 0.055 |
| Acetate *†‡ | 0.013 | 0.122 | 0.000 | 0.000 | 0.000 | 0.000 | 0.000 | 0.000 | 0.000 | 0.000 | 0.000 | 0.000 |
| Alanine †‡ | 1.000 | 1.000 | 0.006 | 0.012 | 0.000 | 0.000 | 0.023 | 0.042 | 0.002 | 0.004 | 0.108 | 0.159 |
| Arginine | 1.000 | 1.000 | 1.000 | 1.000 | 1.000 | 1.000 | 1.000 | 1.000 | 1.000 | 1.000 | 1.000 | 1.000 |
| Aspartate †‡ | 0.413 | 0.839 | 0.000 | 0.000 | 0.000 | 0.000 | 0.000 | 0.000 | 0.000 | 0.000 | 0.000 | 0.000 |
| Betaine | 0.215 | 0.679 | 0.516 | 0.622 | 0.385 | 0.464 | 0.824 | 0.891 | 0.081 | 0.110 | 0.113 | 0.159 |
| Choline †‡ | 0.311 | 0.839 | 0.000 | 0.001 | 0.000 | 0.000 | 0.006 | 0.015 | 0.000 | 0.000 | 0.001 | 0.003 |
| Cytosine | 1.000 | 1.000 | 1.000 | 1.000 | 1.000 | 1.000 | 1.000 | 1.000 | 1.000 | 1.000 | 1.000 | 1.000 |
| Ethanol †‡ | 0.161 | 0.611 | 0.002 | 0.004 | 0.000 | 0.000 | 0.001 | 0.002 | 0.000 | 0.000 | 0.016 | 0.037 |
| Formate †‡ | 0.148 | 0.611 | 0.000 | 0.000 | 0.000 | 0.001 | 0.003 | 0.009 | 0.000 | 0.000 | 0.007 | 0.019 |
| Fucose | 1.000 | 1.000 | 1.000 | 1.000 | 0.824 | 0.913 | 0.083 | 0.117 | 0.186 | 0.231 | 0.165 | 0.218 |
| Fumarate | 0.594 | 0.937 | 0.000 | 0.001 | 0.324 | 0.402 | 0.000 | 0.000 | 0.364 | 0.414 | 0.001 | 0.002 |
| Galactose † | 0.366 | 0.839 | 0.944 | 1.000 | 0.183 | 0.242 | 0.102 | 0.140 | 0.025 | 0.038 | 0.948 | 1.000 |
| Glucose ‡ | 0.784 | 1.000 | 0.697 | 0.816 | 0.003 | 0.005 | 0.005 | 0.013 | 0.126 | 0.161 | 0.918 | 1.000 |
| Glutamate †‡ | 0.179 | 0.611 | 0.046 | 0.073 | 0.000 | 0.000 | 0.557 | 0.634 | 0.000 | 0.000 | 0.073 | 0.110 |
| Glutamine *†‡ | 0.012 | 0.122 | 0.000 | 0.000 | 0.000 | 0.000 | 0.000 | 0.001 | 0.000 | 0.000 | 0.000 | 0.000 |
| Glycerol † | 0.405 | 0.839 | 0.327 | 0.432 | 0.452 | 0.529 | 0.042 | 0.063 | 0.040 | 0.059 | 0.053 | 0.087 |
| Glycine †‡ | 1.000 | 1.000 | 0.001 | 0.002 | 0.000 | 0.000 | 0.024 | 0.043 | 0.000 | 0.000 | 0.023 | 0.049 |
| Histidine *†‡ | 0.031 | 0.179 | 0.002 | 0.004 | 0.000 | 0.000 | 0.069 | 0.101 | 0.000 | 0.000 | 0.007 | 0.019 |
| Hydroxyacetone | 0.373 | 0.839 | 0.075 | 0.112 | 0.053 | 0.075 | 0.006 | 0.014 | 0.063 | 0.089 | 0.922 | 1.000 |
| Isoleucine *†‡ | 0.018 | 0.122 | 0.227 | 0.310 | 0.000 | 0.000 | 0.826 | 0.891 | 0.000 | 0.000 | 0.221 | 0.275 |
| Lactate †‡ | 0.745 | 0.985 | 0.000 | 0.000 | 0.000 | 0.000 | 0.000 | 0.000 | 0.000 | 0.000 | 0.000 | 0.000 |
| Leucine *†‡ | 0.004 | 0.074 | 0.363 | 0.451 | 0.000 | 0.000 | 0.163 | 0.216 | 0.000 | 0.000 | 0.311 | 0.364 |
| Lysine †‡ | 0.581 | 0.937 | 0.076 | 0.112 | 0.010 | 0.015 | 0.463 | 0.542 | 0.001 | 0.001 | 0.071 | 0.110 |
| Methanol | 0.667 | 0.970 | 0.347 | 0.445 | 0.765 | 0.871 | 0.269 | 0.324 | 0.725 | 0.804 | 0.038 | 0.071 |
| Methionine *†‡ | 0.001 | 0.033 | 0.103 | 0.145 | 0.000 | 0.000 | 0.211 | 0.262 | 0.000 | 0.000 | 0.180 | 0.231 |
| myo-Inositol | 0.300 | 0.839 | 0.033 | 0.054 | 0.902 | 0.973 | 0.021 | 0.041 | 0.192 | 0.231 | 0.014 | 0.033 |
| Ornithine †‡ | 0.745 | 0.985 | 0.013 | 0.024 | 0.021 | 0.031 | 0.036 | 0.057 | 0.019 | 0.029 | 0.041 | 0.073 |
| Phenylalanine †‡ | 0.686 | 0.970 | 0.025 | 0.043 | 0.000 | 0.000 | 0.013 | 0.027 | 0.007 | 0.012 | 0.142 | 0.194 |
| Proline †‡ | 0.505 | 0.937 | 0.000 | 0.000 | 0.000 | 0.000 | 0.000 | 0.000 | 0.000 | 0.000 | 0.000 | 0.000 |
| Propionate †‡ | 0.843 | 1.000 | 0.000 | 0.001 | 0.000 | 0.000 | 0.000 | 0.000 | 0.002 | 0.003 | 0.000 | 0.000 |
| Putrescine †‡ | 0.556 | 0.937 | 0.000 | 0.000 | 0.004 | 0.006 | 0.004 | 0.010 | 0.011 | 0.019 | 0.011 | 0.029 |
| Pyruvate †‡ | 0.623 | 0.946 | 0.000 | 0.001 | 0.000 | 0.000 | 0.000 | 0.000 | 0.000 | 0.000 | 0.000 | 0.000 |
| Serine | 1.000 | 1.000 | 1.000 | 1.000 | 1.000 | 1.000 | 1.000 | 1.000 | 1.000 | 1.000 | 1.000 | 1.000 |
| Succinate †‡ | 1.000 | 1.000 | 0.000 | 0.000 | 0.000 | 0.000 | 0.000 | 0.000 | 0.000 | 0.000 | 0.000 | 0.000 |
| Taurine | 1.000 | 1.000 | 1.000 | 1.000 | 0.128 | 0.174 | 0.178 | 0.229 | 0.122 | 0.161 | 0.254 | 0.306 |
| Tryptophan †‡ | 0.430 | 0.839 | 0.002 | 0.004 | 0.001 | 0.001 | 0.027 | 0.046 | 0.000 | 0.000 | 0.006 | 0.019 |
| Tyrosine †‡ | 0.171 | 0.611 | 0.000 | 0.000 | 0.000 | 0.000 | 0.001 | 0.003 | 0.000 | 0.000 | 0.004 | 0.013 |
| Uracil †‡ | 0.382 | 0.839 | 0.000 | 0.000 | 0.000 | 0.000 | 0.000 | 0.000 | 0.000 | 0.000 | 0.000 | 0.000 |
| Valine *†‡ | 0.015 | 0.122 | 0.004 | 0.008 | 0.000 | 0.000 | 0.036 | 0.057 | 0.000 | 0.000 | 0.045 | 0.077 |
| Xanthine *‡ | 0.035 | 0.179 | 0.002 | 0.005 | 0.002 | 0.004 | 0.000 | 0.000 | 0.863 | 0.931 | 0.033 | 0.065 |
References
- Maryniak, N.Z.; Hansen, E.B.; Ballegaard, A.S.R.; Sancho, A.I.; Bøgh, K.L. Comparison of the allergenicity and immunogenicity of Camel and cow’s milk—A study in brown Norway rats. Nutrients 2018, 10, 1903. [Google Scholar] [CrossRef] [PubMed]
- Hodgkinson, A.J.; Wallace, O.A.M.; Boggs, I.; Broadhurst, M.; Prosser, C.G. Gastric digestion of cow and goat milk: Impact of infant and young child in vitro digestion conditions. Food Chem. 2018, 245, 275–281. [Google Scholar] [CrossRef] [PubMed]
- Mros, S.; Carne, A.; Ha, M.; Bekhit, A.E.D.; Young, W.; McConnell, M. Comparison of the bioactivity of whole and skimmed digested sheep milk with that of digested goat and cow milk in functional cell culture assays. Small Rumin. Res. 2017, 149, 202–208. [Google Scholar] [CrossRef]
- Balthazar, C.F.; Pimentel, T.C.; Ferrão, L.L.; Almada, C.N.; Santillo, A.; Albenzio, M.; Mollakhalili, N.; Mortazavian, A.M.; Nascimento, J.S.; Silva, M.C.; et al. Sheep Milk: Physicochemical Characteristics and Relevance for Functional Food Development. Compr. Rev. Food Sci. Food Saf. 2017, 16, 247–262. [Google Scholar] [CrossRef]
- Tagliazucchi, D.; Martini, S.; Shamsia, S.; Helal, A.; Conte, A. Biological activities and peptidomic profile of in vitro-digested cow, camel, goat and sheep milk. Int. Dairy J. 2018, 81, 19–27. [Google Scholar] [CrossRef]
- Stiemsma, L.T.; Michels, K.B. The Role of the microbiome in the developmental origins of health and disease. Pediatrics 2018, 141. [Google Scholar] [CrossRef]
- Wopereis, H.; Sim, K.; Shaw, A.; Warner, J.O.; Knol, J.; Kroll, J.S. Intestinal microbiota in infants at high risk for allergy: Effects of prebiotics and role in eczema development. J. Allergy Clin. Immunol. 2018, 141, 1334–1342.e5. [Google Scholar] [CrossRef]
- Collins, J.; Borojevic, R.; Verdu, E.F.; Huizinga, J.D.; Ratcliffe, E.M. Intestinal microbiota influence the early postnatal development of the enteric nervous system. Neurogastroenterol. Motil. 2014, 26, 98–107. [Google Scholar] [CrossRef]
- Carlson, A.L.; Xia, K.; Azcarate-Peril, M.A.; Goldman, B.D.; Ahn, M.; Styner, M.A.; Thompson, A.L.; Geng, X.; Gilmore, J.H.; Knickmeyer, R.C. Infant Gut Microbiome Associated With Cognitive Development. Biol. Psychiatry 2018, 83, 148–159. [Google Scholar] [CrossRef]
- Scott, K.P.; Gratz, S.W.; Sheridan, P.O.; Flint, H.J.; Duncan, S.H. The influence of diet on the gut microbiota. Pharmacol. Res. 2013, 69, 52–60. [Google Scholar] [CrossRef]
- Koenig, J.E.; Spor, A.; Scalfone, N.; Fricker, A.D.; Stombaugh, J.; Knight, R.; Angenent, L.T.; Ley, R.E. Succession of microbial consortia in the developing infant gut microbiome. Proc. Natl. Acad. Sci. USA 2011, 108, 4578–4585. [Google Scholar] [CrossRef] [PubMed]
- Burrow, K.; Young, W.; McConnell, M.; Carne, A.; Barr, D.; Reid, M.; Bekhit, A.E.-D. The Distribution of Essential, Trace, and Nonessential Minerals in Weanling Male Rats Fed Sheep or Cow Milk. Mol. Nutr. Food Res. 2018, 62, 1800482. [Google Scholar] [CrossRef] [PubMed]
- Bourlieu, C.; Bouzerzour, K.; Ferret-Bernard, S.; Bourgot, C.L.; Chever, S.; Ménard, O.; Deglaire, A.; Cuinet, I.; Ruyet, P.L.; Bonhomme, C.; et al. Infant formula interface and fat source impact on neonatal digestion and gut microbiota. Eur. J. Lipid Sci. and Technol. 2015, 117, 1500–1512. [Google Scholar] [CrossRef]
- Dupont, D.; Mandalari, G.; Molle, D.; Jardin, J.; Leonil, J.; Faulks, R.M.; Wickham, M.S.; Mills, E.N.; Mackie, A.R. Comparative resistance of food proteins to adult and infant in vitro digestion models. Mol. Nutr. Food Res. 2010, 54, 767–780. [Google Scholar] [CrossRef]
- Minekus, M.; Alminger, M.; Alvito, P.; Ballance, S.; Bohn, T.; Bourlieu, C.; Carrière, F.; Boutrou, R.; Corredig, M.; Dupont, D.; et al. A standardised static in vitro digestion method suitable for food-an international consensus. Food Func. 2014, 5, 1113–1124. [Google Scholar] [CrossRef]
- Bäckhed, F.; Roswall, J.; Peng, Y.; Feng, Q.; Jia, H.; Kovatcheva-Datchary, P.; Li, Y.; Xia, Y.; Xie, H.; Zhong, H.; et al. Dynamics and stabilization of the human gut microbiome during the first year of life. Cell Host Microbe 2015, 17, 690–703. [Google Scholar] [CrossRef]
- Edwards, C.A.; Gibson, G.; Champ, M.; Jensen, B.B.; Mathers, J.C.; Nagengast, F.; Rumney, C.; Quehl, A. In vitro method for quantification of the fermentation of starch by human faecal bacteria. J. Sci. Food Agric. 1996, 71, 209–217. [Google Scholar] [CrossRef]
- Pirk, F.; Skála, I. Functional response of the digestive tract to the ingestion of milk in subjects suffering from lactose intolerance. Digestion 1972, 5, 89–99. [Google Scholar] [CrossRef]
- Jantscher-Krenn, E.; Marx, C.; Bode, L. Human milk oligosaccharides are differentially metabolised in neonatal rats. Br. J. Nutr. 2013, 110, 640–650. [Google Scholar] [CrossRef]
- Richardson, A.J.; Calder, A.G.; Stewart, C.S.; Smith, A. Simultaneous determination of volatile and non-volatile acidic fermentation products of anaerobes by capillary gas chromatography. Lett. Appl. Microbiol. 1989, 9, 5–8. [Google Scholar] [CrossRef]
- R Core Team. R: A Language and Environment for Statistical Computing; R Foundation for Statistical Computing: Vienna, Austria, 2015. [Google Scholar]
- Fadrosh, D.W.; Ma, B.; Gajer, P.; Sengamalay, N.; Ott, S.; Brotman, R.M.; Ravel, J. An improved dual-indexing approach for multiplexed 16S rRNA gene sequencing on the Illumina MiSeq platform. Microbiome 2014, 2, 6. [Google Scholar] [CrossRef] [PubMed]
- Caporaso, J.G.; Kuczynski, J.; Stombaugh, J.; Bittinger, K.; Bushman, F.D.; Costello, E.K.; Fierer, N.; Pẽa, A.G.; Goodrich, J.K.; Gordon, J.I.; et al. QIIME allows analysis of high-throughput community sequencing data. Nat. Methods 2010, 7, 335–336. [Google Scholar] [CrossRef] [PubMed]
- Xia, J.; Bjorndahl, T.C.; Tang, P.; Wishart, D.S. MetaboMiner - Semi-automated identification of metabolites from 2D NMR spectra of complex biofluids. BMC Bioinform. 2008, 9, 507. [Google Scholar] [CrossRef] [PubMed]
- MetaboMiner. Available online: http://wishart.biology.ualberta.ca/metabominer/index.html (accessed on 3 May 2019).
- ColmarM. Available online: http://spin.ccic.osu.edu/index.php/colmarm/index/ (accessed on 3 May 2019).
- Bingol, K.; Li, D.W.; Zhang, B.; Brüschweiler, R. Comprehensive metabolite identification strategy using multiple two-dimensional NMR spectra of a complex mixture implemented in the COLMARm web server. Anal. Chem. 2016, 88, 12411–12418. [Google Scholar] [CrossRef] [PubMed]
- Wishart, D.S.; Jewison, T.; Guo, A.C.; Wilson, M.; Knox, C.; Liu, Y.; Djoumbou, Y.; Mandal, R.; Aziat, F.; Dong, E.; et al. HMDB 3.0-The Human Metabolome Database in 2013. Nucleic Acids Res. 2013, 41, D801–D807. [Google Scholar] [CrossRef]
- Human Metabolome Database. Available online: https://hmdb.ca (accessed on 3 May 2019).
- Ulrich, E.L.; Akutsu, H.; Doreleijers, J.F.; Harano, Y.; Ioannidis, Y.E.; Lin, J.; Livny, M.; Mading, S.; Maziuk, D.; Miller, Z.; et al. BioMagResBank. Nucleic Acids Res. 2008, 36, D402–D408. [Google Scholar] [CrossRef]
- BioMagResBank. Available online: http://www.bmrb.wisc.edu/ (accessed on 3 May 2019).
- Xia, J.; Sinelnikov, I.V.; Han, B.; Wishart, D.S. MetaboAnalyst 3.0-making metabolomics more meaningful. Nucleic Acids Res. 2015, 43, W251–W257. [Google Scholar] [CrossRef]
- MetaboAnalyst. Available online: https://www.metaboanalyst.ca/ (accessed on 3 May 2019).
- Vallès, Y.; Artacho, A.; Pascual-García, A.; Ferrús, M.L.; Gosalbes, M.J.; Abellán, J.J.; Francino, M.P. Microbial Succession in the Gut: Directional Trends of Taxonomic and Functional Change in a Birth Cohort of Spanish Infants. PLoS Genet. 2014, 10, e1004406. [Google Scholar] [CrossRef]
- Milani, C.; Duranti, S.; Bottacini, F.; Casey, E.; Turroni, F.; Mahony, J.; Belzer, C.; Palacio, S.D.; Montes, S.A.; Mancabelli, L.; et al. The first microbial colonizers of the human gut: Composition, activities, and health implications of the infant gut microbiota. Microbiol. Mol. Biol. Rev. 2017, 81, e00036-17. [Google Scholar] [CrossRef]
- Gómez-Cortés, P.; Bach, A.; Luna, P.; Juárez, M.; de la Fuente, M.A. Effects of extruded linseed supplementation on n-3 fatty acids and conjugated linoleic acid in milk and cheese from ewes. J. Dairy Sci. 2009, 92, 4122–4134. [Google Scholar] [CrossRef]
- Lam, Y.Y.; Ha, C.W.Y.; Hoffmann, J.M.A.; Oscarsson, J.; Dinudom, A.; Mather, T.J.; Cook, D.I.; Hunt, N.H.; Caterson, I.D.; Holmes, A.J.; et al. Effects of dietary fat profile on gut permeability and microbiota and their relationships with metabolic changes in mice. Obesity 2015, 23, 1429–1439. [Google Scholar] [CrossRef] [PubMed]
- Markiewicz-Keszycka, M.; Czyzak-Runowska, G.; Lipinska, P.; Wójtowski, J. Fatty acid profile of milk—A review. Bull. Vet. Inst. Pulawy 2013, 57, 135–139. [Google Scholar] [CrossRef]
- Lopetuso, L.R.; Scaldaferri, F.; Petito, V.; Gasbarrini, A. Commensal Clostridia: Leading players in the maintenance of gut homeostasis. Gut Pathog. 2013, 5, 23. [Google Scholar] [CrossRef] [PubMed]
- Bokulich, N.A.; Chung, J.; Battaglia, T.; Henderson, N.; Jay, M.; Li, H.; Lieber, A.D.; Wu, F.; Perez-Perez, G.I.; Chen, Y.; et al. Antibiotics, birth mode, and diet shape microbiome maturation during early life. Sci. Transl. Med. 2016, 8, 343ra82. [Google Scholar] [CrossRef] [PubMed]
- Chen, C.C.; Chen, K.J.; Kong, M.S.; Chang, H.J.; Huang, J.L. Alterations in the gut microbiotas of children with food sensitization in early life. Pediatr. Allergy Immunol. 2016, 27, 254–262. [Google Scholar] [CrossRef]
- Ling, Z.; Li, Z.; Liu, X.; Cheng, Y.; Luo, Y.; Tong, X.; Yuan, L.; Wang, Y.; Sun, J.; Li, L.; et al. Altered fecal microbiota composition associated with food allergy in infants. Appl. Environ. Microbiol. 2014, 80, 2546–2554. [Google Scholar] [CrossRef]
- Rios-Covian, D.; Salazar, N.; Gueimonde, M.; de los Reyes-Gavilan, C.G. Shaping the metabolism of intestinal Bacteroides population through diet to improve human health. Front. Microbiol. 2017, 8, 376. [Google Scholar] [CrossRef]
- Aguirre, M.; Eck, A.; Koenen, M.E.; Savelkoul, P.H.M.; Budding, A.E.; Venema, K. Diet drives quick changes in the metabolic activity and composition of human gut microbiota in a validated in vitro gut model. Res. Microbiol. 2016, 167, 114–125. [Google Scholar] [CrossRef]
- Zhao, Y.; Wu, J.; Li, J.V.; Zhou, N.Y.; Tang, H.; Wang, Y. Gut microbiota composition modifies fecal metabolic profiles in mice. J. Proteome Res. 2013, 12, 2987–2999. [Google Scholar] [CrossRef]
- Satoh, T.; Odamaki, T.; Namura, M.; Shimizu, T.; Iwatsuki, K.; Nishimoto, M.; Kitaoka, M.; Xiao, J.Z. In vitro comparative evaluation of the impact of lacto-N-biose I, a major building block of human milk oligosaccharides, on the fecal microbiota of infants. Anaerobe 2013, 19, 50–57. [Google Scholar] [CrossRef]
- Le Blay, G.; Chassard, C.; Baltzer, S.; Lacroix, C. Set up of a new in vitro model to study dietary fructans fermentation in formula-fed babies. Br. J. Nutr. 2010, 103, 403–411. [Google Scholar] [CrossRef] [PubMed]
- Claeys, W.L.; Verraes, C.; Cardoen, S.; De Block, J.; Huyghebaert, A.; Raes, K.; Dewettinck, K.; Herman, L. Consumption of raw or heated milk from different species: An evaluation of the nutritional and potential health benefits. Food Control 2014, 42, 188–201. [Google Scholar] [CrossRef]
- Kuiken, K.A.; Pearson, P.B. The essential amino acid (except tryptophan) content of colostrum and milk of the cow and ewe. J. Nutr. 1949, 39, 167–176. [Google Scholar] [CrossRef] [PubMed]
- Montoya, C.A.; Cabrera, D.L.; Zou, M.; Boland, M.J.; Moughan, P.J. The Rate at Which Digested Protein Enters the Small Intestine Modulates the Rate of Amino Acid Digestibility throughout the Small Intestine of Growing Pigs. J. Nutr. 2018, 148, 1743–1750. [Google Scholar] [CrossRef] [PubMed]
- Shimomura, Y.; Kitaura, Y. Physiological and pathological roles of branched-chain amino acids in the regulation of protein and energy metabolism and neurological functions. Pharmacol. Res. 2018, 133, 215–217. [Google Scholar] [CrossRef] [PubMed]
- Peng, M.; Biswas, D. Short chain and polyunsaturated fatty acids in host gut health and foodborne bacterial pathogen inhibition. Crit. Rev. Food Sci. Nutr. 2017, 57, 3987–4002. [Google Scholar] [CrossRef]
- Ríos-Covián, D.; Ruas-Madiedo, P.; Margolles, A.; Gueimonde, M.; De los Reyes-Gavilán, C.G.; Salazar, N. Intestinal short chain fatty acids and their link with diet and human health. Front. Microbiol. 2016, 7, 185. [Google Scholar] [CrossRef]
- Arpaia, N.; Campbell, C.; Fan, X.; Dikiy, S.; Van Der Veeken, J.; Deroos, P.; Liu, H.; Cross, J.R.; Pfeffer, K.; Coffer, P.J.; et al. Metabolites produced by commensal bacteria promote peripheral regulatory T-cell generation. Nature 2013, 504, 451–455. [Google Scholar] [CrossRef]
- Stefka, A.T.; Feehley, T.; Tripathi, P.; Qiu, J.; McCoy, K.; Mazmanian, S.K.; Tjota, M.Y.; Seo, G.Y.; Cao, S.; Theriault, B.R.; et al. Commensal bacteria protect against food allergen sensitization. Proc. Natl. Acad. Sci. USA 2014, 111, 13145–13150. [Google Scholar] [CrossRef]
- Potaczek, D.P.; Harb, H.; Michel, S.; Alhamwe, B.A.; Renz, H.; Tost, J. Epigenetics and allergy: From basic mechanisms to clinical applications. Epigenomics 2017, 9, 539–571. [Google Scholar] [CrossRef]
- Scheiman, J.; Luber, J.M.; Chavkin, T.A.; MacDonald, T.; Tung, A.; Pham, L.-D.; Wibowo, M.C.; Wurth, R.C.; Punthambaker, S.; Tierney, B.T.; et al. Meta-omics analysis of elite athletes identifies a performance-enhancing microbe that functions via lactate metabolism. Nat. Med. 2019, 25, 1104–1109. [Google Scholar] [CrossRef] [PubMed]
- Ng, S.K.C.; Hamilton, I.R. Carbon dioxide fixation by Veillonella parvula M4 and its relation to propionic acid formation. Can. J. Microbiol. 1973, 19, 715–723. [Google Scholar] [CrossRef] [PubMed]









© 2020 by the authors. Licensee MDPI, Basel, Switzerland. This article is an open access article distributed under the terms and conditions of the Creative Commons Attribution (CC BY) license (http://creativecommons.org/licenses/by/4.0/).
Share and Cite
Ahlborn, N.; Young, W.; Mullaney, J.; Samuelsson, L.M. In Vitro Fermentation of Sheep and Cow Milk Using Infant Fecal Bacteria. Nutrients 2020, 12, 1802. https://doi.org/10.3390/nu12061802
Ahlborn N, Young W, Mullaney J, Samuelsson LM. In Vitro Fermentation of Sheep and Cow Milk Using Infant Fecal Bacteria. Nutrients. 2020; 12(6):1802. https://doi.org/10.3390/nu12061802
Chicago/Turabian StyleAhlborn, Natalie, Wayne Young, Jane Mullaney, and Linda M. Samuelsson. 2020. "In Vitro Fermentation of Sheep and Cow Milk Using Infant Fecal Bacteria" Nutrients 12, no. 6: 1802. https://doi.org/10.3390/nu12061802
APA StyleAhlborn, N., Young, W., Mullaney, J., & Samuelsson, L. M. (2020). In Vitro Fermentation of Sheep and Cow Milk Using Infant Fecal Bacteria. Nutrients, 12(6), 1802. https://doi.org/10.3390/nu12061802

