Cutbank Geophysics: A New Method for Expanding Magnetic Investigations to the Subsurface Using Magnetic Susceptibility Testing at an Awatixa Hidatsa Village, North Dakota
Abstract
:1. Introduction
2. Materials and Methods
2.1. Awatixa Hidatsa and the Sakakawea Village
2.2. Previous Site Investigations
2.3. Current Investigations
2.3.1. Surface-Based Magnetic Surveys
2.3.2. In Situ Measurements of Magnetic Susceptibility
2.3.3. Sample Collection and Basic Magnetic Susceptibility Reconnaissance
2.3.4. Stratigraphic Information
2.3.5. Detailed Soil Magnetic Studies
3. Results
3.1. Surface-Based Magnetic Data
3.2. Background Off-Site Soils
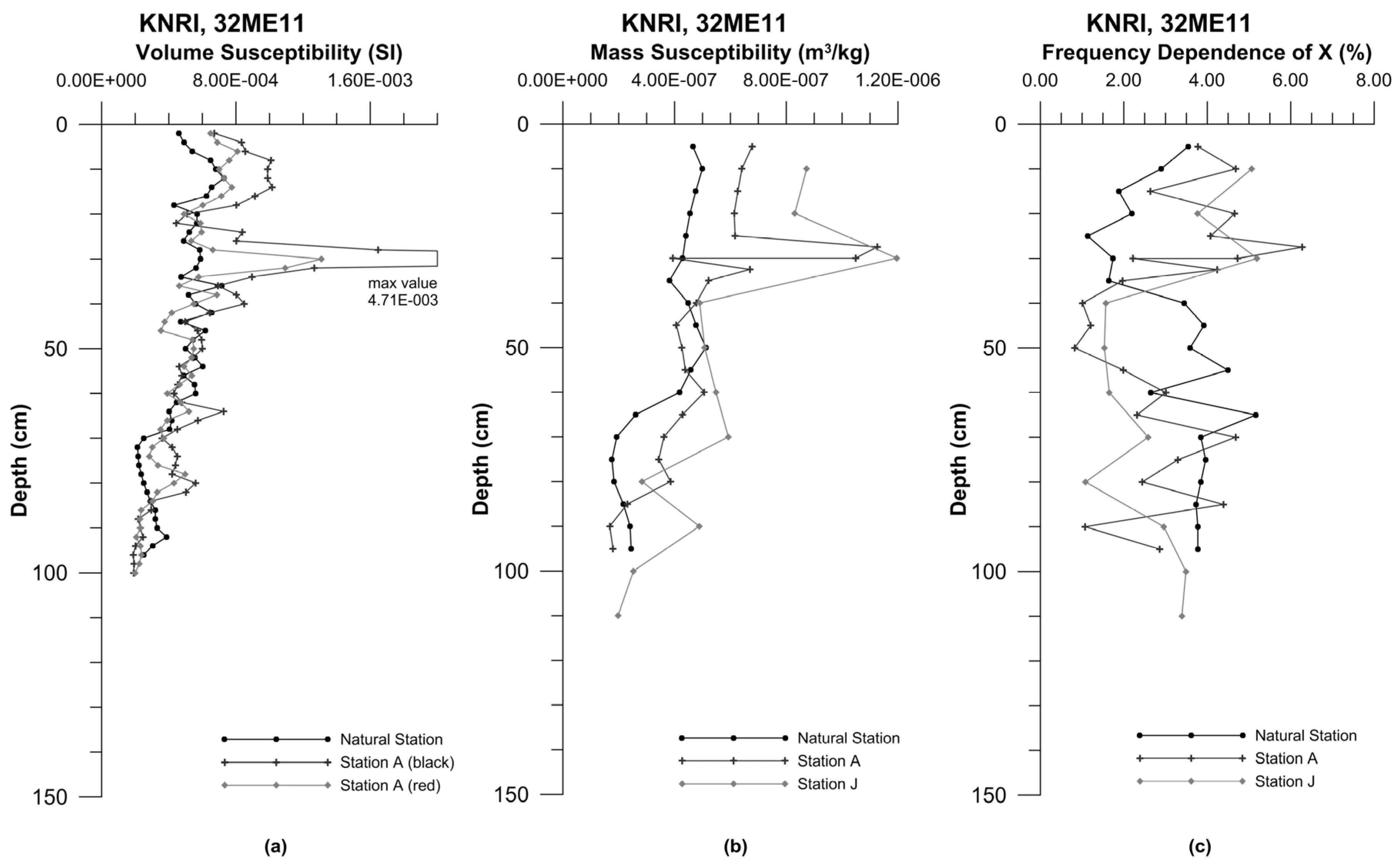
3.3. Moderately-Enhanced On-Site Surface Soils
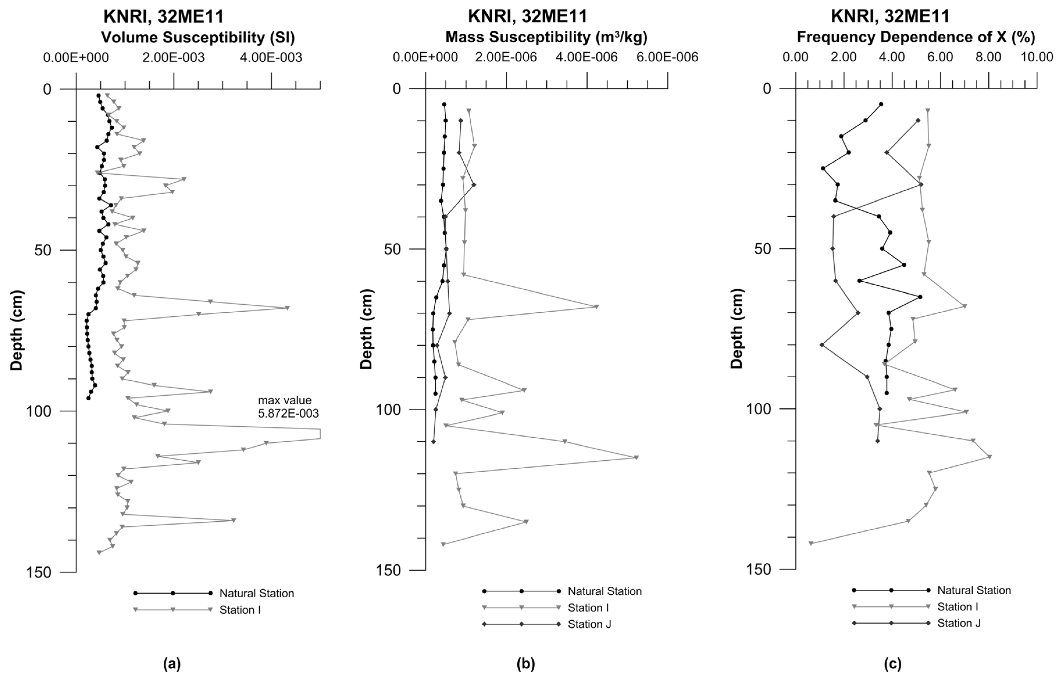
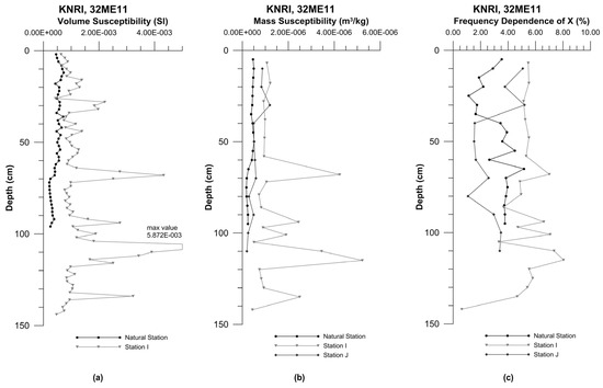
3.4. Highly-Enhanced Site Soils and Magnetic Variation
3.5. Soil Magnetic Results
4. Discussion
5. Conclusions
Acknowledgments
Author Contributions
Conflicts of Interest
References
- Bevan, B.W. Geophysics in Excavations; Geosight: Weems, VA, USA, 2005. [Google Scholar]
- Dalan, R.A. A review of the role of magnetic susceptibility in archaeogeophysical studies in the United States: Recent developments and prospects. Archaeol. Prospect. 2008, 15, 1–31. [Google Scholar] [CrossRef]
- Dalan, R.A.; Bevan, B.; Goodman, D.; Lynch, D.; De Vore, S.; Adamek, S.; Martin, T.; Holley, G.; Michlovic, M. The measurement and analysis of depth in archaeological geophysics: Tests at the Biesterfeldt site USA. Archaeol. Prospect. 2011, 18, 245–265. [Google Scholar] [CrossRef]
- Gaffney, C. Detecting trends in the prediction of the buried past: A review of geophysical techniques in archaeology. Archaeometry 2008, 50, 313–336. [Google Scholar] [CrossRef]
- Kvamme, K.L. Geophysical surveys as landscape archaeology. Am. Antiq. 2003, 63, 435–457. [Google Scholar] [CrossRef]
- Banerjee, S.K. Experimental methods of rock magnetism and paleomagnetism. In Advances in Geophysics; Saltzman, B., Ed.; Academic Press: New York, NY, USA, 1981; Volume 23, pp. 25–99. [Google Scholar]
- Evans, M.E.; Heller, F. Environmental Magnetism: Principles and Applications of Environmagnetics; Academic Press: New York, NY, USA, 2003. [Google Scholar]
- Mullins, C.E. The magnetic properties of the soil and their application to archaeological prospecting. Archaeo-Physika 1974, 5, 143–347. [Google Scholar]
- Tite, M.S.; Mullins, C.E. Enhancement of the magnetic susceptibility of soils on archaeological sites. Archaeometry 1971, 13, 209–219. [Google Scholar] [CrossRef]
- National Park Service. Foundation Document, Knife River Indian Villages National Historic Site, North Dakota; U.S. Department of Interior, National Park Service: Washington, DC, USA, 2013.
- Ahler, S.A.; Weston, T.; McMiller, K.D. Cutbank Profiling and Test Excavations at Sakakawea Village (32ME11), Knife River Indian Villages National Historic Site; Report submitted to the U.S. National Park Service; Department of Anthropology and Archeology, University of North Dakota: Grand Forks, ND, USA, 1980. [Google Scholar]
- National Park Service. Draft Archeological Resources Management Plan and Environmental Impact Statement, Knife River Indian Villages National Historic Site, North Dakota; U.S. Department of Interior, National Park Service: Washington, DC, USA, 2016.
- Weymouth, J.W. Magnetic Surveys of Archaeological Sites in the Knife River Indian Villages National Historic Site: Major Village Sites; U.S. Report submitted to National Park Service; Department of Physics and Astronomy, University of Nebraska-Lincoln: Lincoln, NE, USA, 1988. [Google Scholar]
- Weymouth, J.W. A Magnetic Survey of Sakakawea Village (32ME11); Report submitted to the U.S. National Park Service; Department of Physics and Astronomy, University of Nebraska-Lincoln: Lincoln, NE, USA, 1979. [Google Scholar]
- Weymouth, J.W.; Nickel, R.K. A magnetometer survey of the Knife River Indian Villages. Plains Anthropol. Mem. 1977, 13, 104–118. [Google Scholar]
- Bowers, A.W. Hidatsa Social and Ceremonial Organization; Bureau of American Ethnology, Smithsonian Institution: Washington, DC, USA, 1965. [Google Scholar]
- Wood, W.R. Hidatsa Origins and Relationships. In The Phase I Archeological Research Program for the Knife River Indian Villages National Historic Site, Part II: Ethnohistorical Studies; National Park Service, Midwest Archeological Center: Lincoln, NE, USA, 1993; pp. 11–28. [Google Scholar]
- Stewart, F.H. Hidatsa. In Handbook of North American Indians, Plains; DeMallie, R.J., Ed.; Smithsonian Institution: Washington, DC, USA, 2001; Volume 1, pp. 329–348. [Google Scholar]
- Molton, G.E. The Journals of the Lewis and Clark Expedition, Volume 3, August 25, 1804–April 6, 1805; University of Nebraska Press: Lincoln, NE, USA, 1987. [Google Scholar]
- Trimble, M.K. Infectious Disease and Northern Plains Horticulturalists: A Human-Behavior Model. In The Phase I Archeological Research Program for the Knife River Indian Villages National Historic Site, Part II: Ethnohistorical Studies; National Park Service, Midwest Archeological Center: Lincoln, NE, USA, 1993; pp. 75–130. [Google Scholar]
- Hollenback, K.L. Disaster, Technology, and Community: Measuring Responses to Smallpox Epidemics in Historic Hidatsa Villages, North Dakota. Ph.D. Dissertation, University of Arizona, Tucson, AZ, USA, 2012. [Google Scholar]
- Smith, G.H. Like-A-Fishhook Village and Fort Berthold, Garrison Reservoir, North Dakota; U.S Department of Interior, National Park Service: Washington, DC, USA, 1972.
- Gilman, C.; Schneider, M.J. The Way to Independence: Memories of a Hidatsa Indian Family, 1840–1920; Minnesota Historical Society Press: St. Paul, MN, USA, 1987. [Google Scholar]
- Lehmer, D.J.; Wood, W.R.; Dill, C.L. The Knife River Phase; Report on file; National Park Service, Midwest Archeological Center: Lincoln, NE, USA, 1978.
- Ahler, S.A. Plains Village Cultural Taxonomy for the Upper Knife-Heart Region. In The Phase I Archeological Research Program for the Knife River Indian Villages National Historic Site, Part IV: Interpretation of the Archeological Record; National Park Service, Midwest Archeological Center: Lincoln, NE, USA, 1993; pp. 57–108. [Google Scholar]
- Johnson, C.M.; Ahler, S.A.; Haas, H.; Bonani, G. A Chronology of Middle Missouri Plains Village Sites; Smithsonian Institution Scholarly Press: Washington, DC, USA, 2007. [Google Scholar]
- Godfrey, A. Contact with Northern Plains Indian Villages and Communities: An Administrative History of Knife River Indian Villages National Historic Site, North Dakota; National Park Service, Midwest Regional Office: Omaha, NE, USA, 2009.
- Ahler, S.A. A Research Plan for Investigation of the Archeological Resoruces of the Knife River Indian Villages National Historic Site; Report on File; National Park Service, Midwest Archeological Center: Lincoln, NE, USA, 1978.
- Weymouth, J.W. Technical developments and results of the 1977 season of the Great Plains magnetic surveying program. Archaeo-Physika 1979, 10, 710–717. [Google Scholar]
- Hunt, C.P.; Moskowitz, B.M.; Banerjee, S.K. Magnetic properties of rocks and minerals. In Rock Physics and Phase Relations: A Handbook of Physical Constants; Ahrens, T.J., Ed.; American Geophysical Union: Washington, DC, USA, 1995; pp. 189–204. [Google Scholar]
- Wilhelm, F.J. Soil Survey of Mercer County, North Dakota; USDA Soil Conservation Service: Washington, DC, USA, 1978.
- Day, R.; Fuller, M.; Schmidt, V.A. Hysteresis properties of titanomagnetites: Grain size and compositional dependence. Phys. Earth Planet. Int. 1977, 13, 260–277. [Google Scholar] [CrossRef]
- Dunlop, D.J. Theory and application of the Day plot (Mrs/Ms versus Hcr/Hc) 1: Theoretical curves and tests using titanomagnetite data. J. Geophys. Res. 2002, 107. [Google Scholar] [CrossRef]
- Dunlop, D.J. Theory and application of the Day plot (Mrs/Ms versus Hcr/Hc) 2: Application to data for rocks, sediments, and soils. J. Geophys. Res. 2002, 107. [Google Scholar] [CrossRef]
- Jackson, M.; Worm, H.-U.; Banerjee, S.K. Fourier analysis of digital hysteresis data: Rock magnetic applications. Phys. Earth Planet. Inter. 1990, 65, 78–87. [Google Scholar] [CrossRef]
- Banerjee, S.K.; King, J.W.; Marvin, J.A. A rapid method for magnetic granulometry with application to environmental studies. Geophys. Res. Lett. 1981, 8, 333–336. [Google Scholar] [CrossRef]
- King, J.W.; Banerjee, S.K.; Marvin, J.; Ozdemir, O. A comparison of different magnetic methods for determining the relative grain size of magnetite in natural materials: Some results in lake sediments. Earth Planet. Sci. Lett. 1982, 59, 404–419. [Google Scholar] [CrossRef]
- DeVore, S.L. Magnetic Survey of the Southern Portion of the Elbee Site (32ME408), Mercer County, North Dakota; National Park Service, Midwest Archeological Center: Lincoln, NE, USA, 2008.
- DeVore, S.L. Geophysical Investigations of Three Sites within the Knife River Indian Villages National Historic Site, Mercer County, North Dakota; National Park Service, Midwest Archeological Center: Lincoln, NE, USA, 2015.
- Volf, W.J. Magnetic Gradient Geophysical Survey of the Northern Portion of the Elbee Site (32ME408), Mercer County, North Dakota; National Park Service, Midwest Archeological Center: Lincoln, NE, USA, 2002.
- Bales, J.R.; Kvamme, K.L. Geophysical signatures of earthlodges in the Dakotas. In Plains Earthlodges; Roper, D.C., Pauls, E.R., Eds.; University of Alabama Press: Tuscaloosa, AL, USA, 2005; pp. 157–183. [Google Scholar]
- Kvamme, K.L. Multidimensional prospecting in North American Great Plains village sites. Archaeol. Prospect. 2003, 10, 131–142. [Google Scholar] [CrossRef]
- Kvamme, K.L.; Ahler, S.A. Integrated remote sensing and excavation at Double Ditch State Historic Site, North Dakota. Am. Antiq. 2007, 72, 539–561. [Google Scholar] [CrossRef]
- Thompson, R.; Oldfield, F. Environmental Magnetism; Allen and Unwin: London, UK, 1986. [Google Scholar]
- Verosub, K.L.; Roberts, A.P. Environmental magnetism: past, present and future. J. Geophys. Res. 1995, 100, 2175–2192. [Google Scholar] [CrossRef]
- Lecoanet, H.; Lévêque, F.; Segura, S. Magnetic susceptibility in environmental applications: Comparison of field probes. Phys. Earth Planet. Int. 1999, 115, 191–204. [Google Scholar] [CrossRef]
- Benech, C.; Marmet, E. Optimum depth of investigation and conductivity response rejection of the different electromagnetic devices measuring apparent magnetic susceptibility. Archaeol. Prospect. 1999, 6, 31–45. [Google Scholar] [CrossRef]
- Kvamme, K.L.; Wiewel, A.S. Comprehensive Understanding of Archaeological Magnetism and Instrumentation; Report submitted to the National Center for Preservation Technology and Training; Department of Anthropology & Archeo-Imaging Lab, University of Arkansas: Fayetteville, IL, USA, 2013. [Google Scholar]
- Lowe, K.M.; Fogel, A.S. Understanding Northeastern plains village sites through archaeological geophysics. Archaeol. Prospect. 2010, 17, 247–257. [Google Scholar] [CrossRef]
- Dalan, R.A. A geophysical approach to buried site detection using down-hole susceptibility and soil magnetic techniques. Archaeol. Prospect. 2006, 13, 182–206. [Google Scholar] [CrossRef]
- Dalan, R.A.; Goodman, D. Imaging buried landforms using down-hole susceptibility data and 3D GPR visualization software. Archaeol. Prospect. 2007, 14, 273–280. [Google Scholar] [CrossRef]
- Bevan, B.W. A Review of Some Geophysical Surveys at Hopeton Mounds; Geosight: Weems, VA, USA, 2016. [Google Scholar]
- Dempsey, E.C. An Exercise in Remote Sensing: The Results of Magnetic Susceptibility Testing at the Hopeton Earthworks (33RO26). Undergraduate Senior Thesis, University of Nebraska, Lincoln, NE, USA, 2006. [Google Scholar]
- Lynott, M.J. Hopewell Ceremonial Landscapes of Ohio: More than Mounds and Geometric Earthworks; Oxbow Books: Oxford, UK, 2014. [Google Scholar]
- Weymouth, J.W.; Bevan, B.; Dalan, R. Geophysical investigations at the Hopeton Earthworks. In the Footprints of Squier and Davis: Archeological Fieldwork in Ross County, Ohio; Lynott, M.J., Ed.; National Park Service, Midwest Archeological Center: Lincoln, NE, USA, 2009; pp. 145–158. [Google Scholar]
- Dalan, R.A. A magnetic susceptibility logger for archaeological application. Geoarchaeology 2001, 16, 263–273. [Google Scholar] [CrossRef]
- Aitken, M.J. Magnetic location. In Science and Archaeology; Brothwell, D., Higgs, E., Eds.; Praeger Publishers: Washington, DC, USA, 1970; pp. 681–694. [Google Scholar]
- Tite, M.S.; Mullins, C.E. Magnetic properties of soils. Prospez. Archeol. 1970, 5, 111–112. [Google Scholar]
- Clark, A.J. Seeing Beneath the Soil: Prospecting Methods in Archaeology; B.T. Batsford: London, UK, 1990. [Google Scholar]
- Challands, A. Field magnetic susceptibility measurement for prospection and excavation. In Geoprospection in the Archaeological Landscape; Spoerry, P., Ed.; Oxbow Books: Oxford, UK, 1992. [Google Scholar]
- Batt, C.; Fear, S.; Heron, C. The role of magnetic susceptibility as a geophysical survey technique: A site assessment. Archaeol. Prospect. 1995, 2, 179–196. [Google Scholar]
- Peters, C.; Thompson, R. Supermagnetic enhancement, superparamagnetism, and archaeological soils. Geoarchaeology 1999, 14, 401–413. [Google Scholar] [CrossRef]
- McLean, R.G.; Kean, W.F. Contributions of wood ash magnetism and archaeomagnetic properties of fire pits and hearths. Earth Planet. Sci. Lett. 1993, 119, 387–394. [Google Scholar] [CrossRef]
- Linford, N.; Canti, M.G. Geophysical evidence for fires in antiquity: Preliminary results from an experimental study. Archaeol. Prospect. 2001, 8, 211–225. [Google Scholar] [CrossRef]
- Bevan, B.W. Forward Magnetic Models: Creation and Calculation; Geosight: Weems, VA, USA, 2016. [Google Scholar]


















© 2017 by the authors. Licensee MDPI, Basel, Switzerland. This article is an open access article distributed under the terms and conditions of the Creative Commons Attribution (CC BY) license ( http://creativecommons.org/licenses/by/4.0/).
Share and Cite
Dalan, R.; Sturdevant, J.; Wallace, R.; Schneider, B.; Vore, S.D. Cutbank Geophysics: A New Method for Expanding Magnetic Investigations to the Subsurface Using Magnetic Susceptibility Testing at an Awatixa Hidatsa Village, North Dakota. Remote Sens. 2017, 9, 112. https://doi.org/10.3390/rs9020112
Dalan R, Sturdevant J, Wallace R, Schneider B, Vore SD. Cutbank Geophysics: A New Method for Expanding Magnetic Investigations to the Subsurface Using Magnetic Susceptibility Testing at an Awatixa Hidatsa Village, North Dakota. Remote Sensing. 2017; 9(2):112. https://doi.org/10.3390/rs9020112
Chicago/Turabian StyleDalan, Rinita, Jay Sturdevant, Rebecca Wallace, Blair Schneider, and Steven De Vore. 2017. "Cutbank Geophysics: A New Method for Expanding Magnetic Investigations to the Subsurface Using Magnetic Susceptibility Testing at an Awatixa Hidatsa Village, North Dakota" Remote Sensing 9, no. 2: 112. https://doi.org/10.3390/rs9020112
APA StyleDalan, R., Sturdevant, J., Wallace, R., Schneider, B., & Vore, S. D. (2017). Cutbank Geophysics: A New Method for Expanding Magnetic Investigations to the Subsurface Using Magnetic Susceptibility Testing at an Awatixa Hidatsa Village, North Dakota. Remote Sensing, 9(2), 112. https://doi.org/10.3390/rs9020112

