Response of Grassland Degradation to Drought at Different Time-Scales in Qinghai Province: Spatio-Temporal Characteristics, Correlation, and Implications
Abstract
:1. Introduction
2. Materials and Methods
2.1. Study Area
2.2. Data Sources and Methods
2.2.1. Trend Analysis for Vegetation Change
2.2.2. Hurst Index Analysis Method
2.2.3. The Standardized Precipitation Evapotranspiration Index
2.2.4. The Correlation between NDVI and SPEI
3. Results
3.1. Changes of the SPEI Values in Qinghai Province
3.1.1. Multi-Scale Characteristics of SPEI
3.1.2. Seasonal Distribution of SPEI
3.2. Changes in NDVI in Qinghai Province
3.2.1. Spatio-Temporal Characteristics of NDVI
3.2.2. Trend Analysis of Vegetation Cover Change
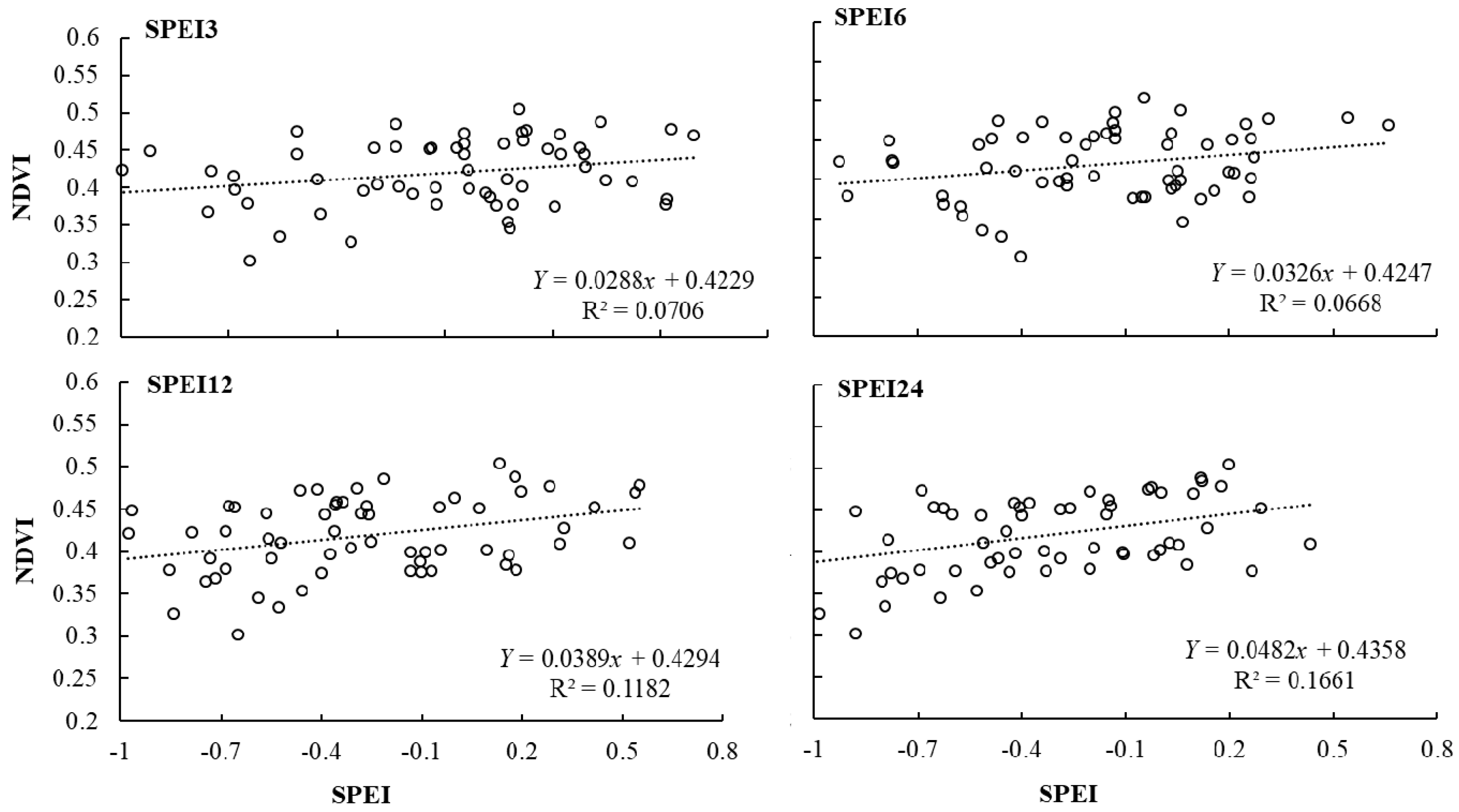
3.3. Correlation Analysis between NDVI and SPEI
3.3.1. Correlation between NDVI and SPEI at an Annual Scale in Qinghai Province
3.3.2. Correlation between NDVI and SPEI at a Monthly Scale in Qinghai Province
3.3.3. Correlation between NDVI Trend Indicators and SPEI at Different Scales
4. Discussion
4.1. Implications of SPEI for Water Resource Management for Grassland
4.2. Relationship between Multi-Scale SPEI and NDVI Dynamics
5. Conclusions
Acknowledgments
Author Contributions
Conflicts of Interest
References
- Field, C.B.; Barros, V.; Stocker, T.F.; Qin, D.; Dokken, D.J.; Ebi, K.L.; Mastrandrea, M.D.; Mach, K.J.; Plattner, G.K.; Allen, S.K.; et al. (Eds.) Managing the Risks of Extreme Events and Disasters to Advance Climate Change Adaptation; IPCC Special Report; Cambridge University Press: Cambridge, UK, 2012; p. 582. [Google Scholar]
- Gang, C.; Wang, Z.; Chen, Y.; Yang, Y. Drought-induced dynamics of carbon and water use efficiency of global grasslands from 2000 to 2011. Ecol. Indic. 2016, 67, 788–797. [Google Scholar] [CrossRef]
- Carrão, H.; Naumann, G.; Barbosa, P. Mapping global patterns of drought risk: An empirical framework based on sub-national estimates of hazard, exposure and vulnerability. Glob. Environ. Chang. 2016, 39, 108–124. [Google Scholar] [CrossRef]
- Alam, N.M.; Sharma, G.C.; Moreira, E.; Jana, C.; Mishra, P.K.; Sharma, N.K.; Mandal, D. Evaluation of drought using SPEI drought class transitions and log-linear models for different agro-ecological regions of India. Phys. Chem. Earth 2017, 100, 31–43. [Google Scholar] [CrossRef]
- Palmer, W.C. Meteorological Drought; U.S. Department of Commerce Weather Bureau Research Paper: Washington, DC, USA, 1965.
- Hao, Z.; Hao, F.; Singh, V.P.; Xia, Y. A theoretical drought classification method for the multivariate drought index based on distribution properties of standardized drought indices. Adv. Water Resour. 2016, 92, 240–247. [Google Scholar] [CrossRef]
- Dutta, D.; Kundu, A.; Patel, N.R. Assessment of agricultural drought in Rajasthan (India) using remote sensing derived vegetation condition index (VCI) and standardized precipitation index (SPI). Egypt. J. Remote Sens. Space Sci. 2015, 18, 53–63. [Google Scholar] [CrossRef]
- He, J.; Zhang, M.; Wang, P. Characteristics of extreme arid climate change in southwest China during the past 50 years. Acta Geogr. Sin. 2011, 66, 1179–1190. [Google Scholar]
- Labudová, L.; Labuda, M.; Takáč, J. Comparison of SPI and SPEI applicability for drought impact assessment on crop production in the Danubian Lowland and the East Slovakian Lowland. Theor. Appl. Climatol. 2016, 128, 491–506. [Google Scholar] [CrossRef]
- Marcos, R.; Turco, M.; Bedía, J.; Llasat, M.C.; Provenzale, A. Seasonal predictability of summer fires in a Mediterranean environment. Int. J. Wildland Fire 2015, 24, 1076–1084. [Google Scholar] [CrossRef]
- Peng, D.; Zhang, B.; Wu, C.; Huete, A.R.; Gonsamo, A.; Lei, L.; Ponce-Campos, G.E.; Liu, X.; Wu, Y. Country-level net primary production distribution and response to drought and land cover change. Sci. Total Environ. 2017, 574, 65–77. [Google Scholar] [CrossRef] [PubMed]
- Turco, M.; Levin, N.; Tessler, N.; Saaroni, H. Recent changes and relations among drought, vegetation and wildfires in the eastern Mediterranean: The case of Israel. Glob. Planet. Chang. 2017, 151, 28–35. [Google Scholar] [CrossRef]
- Vicente-Serrano, S.; Beguería, S.; López-Moreno, J. A multi-scalar drought index sensitive to global warming: The standardized precipitation evapotranspiration index. J. Clim. 2010, 23, 1696–1718. [Google Scholar] [CrossRef]
- Vicente-Serrano, S.; López-Moreno, J.; Lorenzo-Lacruz, J. The nao impact on droughts in the Mediterranean region. Adv. Glob. Chang. Res. 2011, 46, 23–40. [Google Scholar]
- Vicente-Serrano, S.M.; Beguería, S.; Lorenzo-Lacruz, J.; Camarero, J.J.; López-Moreno, J.I.; Azorin-Molina, C.; Revuelto, J.; Morán-Tejeda, E.; Sanchez-Lorenzo, A. Performance of drought indices for ecological, agricultural, and hydrological applications. Earth Int. 2012, 16, 1–27. [Google Scholar] [CrossRef]
- Potopová, V.; Štěpánek, P.; Možný, M.; Türkott, L. Performance of the standardised precipitation evapotranspiration index at various lags for agricultural drought risk assessment in the Czech Republic. Agric. For. Meteorol. 2015, 202, 26–38. [Google Scholar] [CrossRef]
- Meza, F.J. Recent trends and enso influence on droughts in northern Chile: An application of the standardized precipitation evapotranspiration index. Weather Clim. Extremes 2013, 1, 51–58. [Google Scholar] [CrossRef]
- Su, H.; Li, G. Low-frequency drought variability based on SPEI in association with climate indices in Beijing. Acta Ecol. Sin. 2012, 32, 5467–5475. [Google Scholar]
- Wang, H.; Chen, A.; Wang, Q. Drought dynamics and impacts on vegetation in China from 1982 to 2011. Ecol. Eng. 2015, 75, 303–307. [Google Scholar] [CrossRef]
- Liu, Z.; Zhou, P.; Zhang, F. Spatiotemporal characteristics of dryness/wetness conditions across Qinghai province, Northwest China. Agric. For. Meteorol. 2013, 182–183, 101–108. [Google Scholar] [CrossRef]
- Tian, J.; Zhu, Y.; Kang, X.; Dong, X. Effects of drought on the archaeal community in soil of the Zoige wetlands of the Qinghai-Tibetan plateau. Eur. J. Soil Biol. 2012, 52, 84–90. [Google Scholar] [CrossRef]
- Bajgain, R.; Xiao, X.; Wagle, P.; Basara, J.; Zhou, Y. Sensitivity analysis of vegetation indices to drought over two tallgrass prairie sites. ISPRS J. Photogramm. Remote Sens. 2015, 108, 151–161. [Google Scholar] [CrossRef]
- Gouveia, C.; Trigo, R.M.; Beguería, S. Drought impacts on vegetation activity in the Mediterranean region: An assessment using remote sensing data and multi-scale drought indicators. Glob. Planet. Chang. 2016, 151, 15–27. [Google Scholar] [CrossRef]
- Liu, J.Y.; Xu, X.L.; Shao, Q.Q. Grassland degradation in the “three-river headwaters” region, Qinghai province. J. Geogr. Sci. 2008, 18, 259–273. [Google Scholar] [CrossRef]
- Liu, S.; Zhao, H.; Su, X.; Deng, L. Spatio-temporal variability in rangeland conditions associated with climate change in the Altun mountain national nature reserve on the Qinghai-Tibet Plateau over the past 15 years. Rangel. J. 2015, 37, 67–75. [Google Scholar] [CrossRef]
- Alatorre, L.C.; Sánchez-Carrillo, S.; Miramontes-Beltrán, S. Temporal changes of ndvi for qualitative environmental assessment of mangroves: Shrimp farming impact on the health decline of the arid mangroves in the gulf of California (1990–2010). J. Arid Environ. 2016, 125, 98–109. [Google Scholar] [CrossRef]
- Ichii, K.; Kawabata, A.; Yamaguchi, Y. Global correlation analysis for ndvi and climatic variables and NDVI trends: 1982–1990. Int. J. Remote Sens. 2002, 23, 3873–3878. [Google Scholar] [CrossRef]
- Carlson, T.N.; Ripley, D.A. On the relation between ndvi, fractional vegetation cover, and leaf area index. Remote Sens. Environ. 1997, 62, 241–252. [Google Scholar] [CrossRef]
- Zhou, L.; Tucke, J.C.; Kaufma, R.K. Variations in northern vegetation activity inferred from satellite data of vegetation index during 1981 to 1999. J. Geophys. Res. 2001, 106, 20069–20083. [Google Scholar] [CrossRef]
- Gandhi, G.M.; Parthiban, S.; Thummalu, N. NDVI: Vegetation change detection using remote sensing and gis-a case study of Vellore district. Proced. Comput. Sci. 2015, 57, 1199–1210. [Google Scholar] [CrossRef]
- White, D.C.; Lewis, M.M.; Green, G. A generalizable ndvi-based wetland delineation indicator for remote monitoring of groundwater flows in the Australian Great Artesian basin. Ecol. Indic. 2016, 60, 1309–1320. [Google Scholar] [CrossRef]
- Eckert, S.; Hüsler, F.; Liniger, H. Trend analysis of MODIS NDVI time series for detecting land degradation and regeneration in Mongolia. J. Arid Environ. 2015, 113, 16–28. [Google Scholar] [CrossRef]
- Cui, Y.P.; Liu, J.Y.; Hu, Y.F. An analysis of temporal evolution of NDVI in various vegetation-climate regions in inner Mongolia, China. Proced. Environ. Sci. 2012, 13, 1989–1996. [Google Scholar] [CrossRef]
- Jiang, W.; Yuan, L.; Wang, W. Spatio-temporal analysis of vegetation variation in the Yellow River basin. Ecol. Indic. 2015, 51, 117–126. [Google Scholar] [CrossRef]
- Hou, X.X.; Ying, L.L.; Gao, M.; Bi, X.L.; Lu, X.; Zhu, M.M. Character of vegetation cover change in China’s Eastern coastal areas 1998–2008. Sci. Geogr. Sin. 2010, 30, 735–749. [Google Scholar]
- Xie, P.; Chen, G.; Lei, H. Hydrological alteration analysis method based on hurst coefficient. J. Basic Sci. Eng. 2009, 17, 32–39. [Google Scholar]
- Li, H.; Liu, G.; Fu, B. Response of vegetation to climate change and human activity based on NDVI in the three-river headwaters region. Acta Ecol. Sin. 2011, 31, 5495–5504. [Google Scholar]
- Birtwistle, A.N.; Laituri, M.; Bledsoe, B. Using NDVI to measure precipitation in semi-arid landscapes. J. Arid Environ. 2016, 131, 15–24. [Google Scholar] [CrossRef]
- Fu, B.; Burgher, I. Riparian vegetation ndvi dynamics and its relationship with climate, surface water and groundwater. J. Arid Environ. 2015, 113, 59–68. [Google Scholar] [CrossRef]
- Cong, N.; Piao, S.; Chen, A.; Wang, X. Spring vegetation green-up date in china inferred from SPOT NDVI data: A multiple model analysis. Agric. For. Meteorol. 2012, 165, 104–113. [Google Scholar] [CrossRef]
- Ling, L.; Xu, H.; Zhang, Q. Climate change in the manas river basin, Xinjiang during 1956–2007. J. Glaciol. Geocryol. 2011, 33, 64–71. [Google Scholar]
- Ouyang, W.; Hao, F.; Skidmore, A.K. Integration of multi-sensor data to assess grassland dynamics in a Yellow river sub-watershed. Ecol. Indic. 2012, 18, 163–170. [Google Scholar] [CrossRef]
- Sun, Y.; Guo, P. Spatiotemporal variation of vegetation coverage index in north China during the period from 1982 to 2006. Arid Zone Res. Inst. 2012, 2, 187–193. [Google Scholar]
- Liu, S.; Cheng, F.; Dong, S.; Zhao, H.D.; Hou, X.Y.; Wu, X. Spatiotemporal dynamics of grassland aboveground biomass on the Qinghai-Tibet Plateau based on validated MODIS NDVI. Sci. Rep. 2017, 7, 1–8. [Google Scholar] [CrossRef] [PubMed]
- Cui, B.L.; Xiao, B.; Li, X.Y.; Wang, Q.; Zhang, Z.H.; Zhan, C.; Li, X.D. Exploring the geomorphological processes of Qinghai Lake and surrounding lakes in the northeastern Tibetan Plateau, using Multitemporal Landsat Imagery (1973–2015). Glob. Planet. Chang. 2017, 152, 167–175. [Google Scholar] [CrossRef]
- Yao, Y.; Zhang, X.; Ma, Q. Application research on different drought indices in crop growing period at east agricultural region of Qinghai Province. J. Nat. Disasters 2014, 23, 177–189. [Google Scholar]
- Shen, H.; Ma, H.; Wang, J. Variation characteristics of extreme air temperature events in Qinghai Province. J. Glaciol. Geocryol. 2012, 34, 1371–1382. [Google Scholar]
- Feng, S.; Hu, Q.; Qian, W. Quality control of daily meteorological data in china 1951–2000: A new dataset. Int. J. Climatol. 2004, 24, 853–870. [Google Scholar] [CrossRef]
- Fischer, T.; Gemmer, M.; Liu, L.; Su, B. Temperature and precipitation trends and dryness/wetness pattern in the Zhujiang River Basin, South China, 1961–2007. Quat. Int. 2011, 244, 138–148. [Google Scholar] [CrossRef]
- Liu, S.L.; Su, X.K.; Dong, S.K.; Cheng, F.Y.; Zhao, H.D.; Wu, X.Y.; Zhang, X.; Li, J.R. Modeling aboveground biomass of an alpine desert grassland with SPOT-VGT NDVI. GISci. Remote Sens. 2015, 52, 680–699. [Google Scholar] [CrossRef]
- Dai, S.; Zhang, B.; Wang, H. Vegetation cover change and the driving factors over northwest China. J. Arid Land 2011, 3, 25–33. [Google Scholar]
- Cao, J.; Chi, D.; Wu, L. Mann-Kendall examination and application in the analysis of precipitation trend. Agric. Sci.Technol. Equip. 2008, 5, 35–39. [Google Scholar]
- Xu, Z.; Takeuchi, K.; Ishidaira, H. Monotonic trend and step changes in Japanese precipitation. J. Hydrol. 2003, 279, 144–150. [Google Scholar] [CrossRef]
- Hurst, H. Long term storage capacity of reservoirs. Trans. Am. Soc. Civ. Eng. 1951, 116, 776–808. [Google Scholar]
- Zhang, G.; Zha, L. Analysis on the future tendency of climate change in Nanjing in the last 50 years. J. Anhui Normal Univ. 2008, 31, 580–586. [Google Scholar]
- Wang, J.; Xu, Z. Long-term trend and the sustainability of air temperature and precipitation in the Baiyangdian basin. Resour. Sci. 2009, 31, 1214–1221. [Google Scholar]
- Wu, D.H.; Zhao, X.; Liang, S.L.; Zhou, T.; Huang, K.C.; Tang, B.J.; Zhao, W.Q. Time-lag effects of global vegetation responses to climate change. Glob. Chang. Biol. 2015, 21, 3520–3531. [Google Scholar] [CrossRef] [PubMed]
- Liu, B.; Jin, H.L.; Sun, L.Y.; Sun, Z.; Su, Z.Z. Winter and summer monsoonal evolution in northeastern Qinghai-Tibetan Plateau during the Holocene period. Chem. Der Erde Geochem. 2013, 73, 309–321. [Google Scholar] [CrossRef]
- Wang, Z.; Zhang, Y.; Yang, Y.; Zhou, W. Quantitative assess the driving forces on the grassland degradation in the Qinghai-Tibet plateau, in China. Ecol. Inform. 2016, 33, 32–44. [Google Scholar] [CrossRef]
- Gao, B.; Jiang, T.; Su, B.; Zhu, X. Evolution analysis on droughts in northeast China during 1961–2012 based on SPEI. Chin. J. Agrometeorol. 2014, 35, 656–662. [Google Scholar]
- Kędzior, M.A.; Zawadzki, J. SMOS data as a source of the agricultural drought information: Case study of the Vistula catchment, Poland. Geoderma 2017, 306, 167–182. [Google Scholar] [CrossRef]
- Li, Y.; He, J.; Li, X. Hydrological and meteorological droughts in the Red River Basin of Yunnan Province based on SPEI and SDI Indices. Prog. Geogr. 2016, 35, 758–767. [Google Scholar]
- Homdee, T.; Pongput, K.; Kanae, S. A comparative performance analysis of three standardized climatic drought indices in the Chi river basin, Thailand. Agric. Nat. Resour. 2016, 50, 211–219. [Google Scholar] [CrossRef]
- Yang, F.; Liu, L. Study on occurrence pattern and trend of drought in east Qinghai province. Arid Zone Res. 2012, 29, 284–288. [Google Scholar]
- Fu, Y. The meteorological disasters in Qinghai province in 2001: A review. J. Qinghai Meteorol. 2002, 1, 37–42. [Google Scholar]
- Liao, Q.; Zhang, X.; Ma, Q. Spatiotemporal variation of fractional vegetation cover and remote sensing monitoring in the eastern agricultural region of Qinghai Province. Acta Ecol. Sin. 2014, 34, 5936–5943. [Google Scholar]
- Cheng, G.; Zhang, B.L.; Chang, C.H. Correlation analysis on typical vegetation ndvi with temperature and precipitation in Otintag sandy land. Hubei Agric. Sci. 2013, 52, 1298–1303. [Google Scholar]
- Zhao, S.; Gong, Z.; Liu, X. Correlation analysis between vegetation coverage and climate drought conditions in north China during 2001–2013. Acta Geogr. Sin. 2015, 70, 717–729. [Google Scholar]
- Song, M.; Peng, J.; Wang, J.; Dong, L. Better resource management: An improved resource and environmental efficiency evaluation approach that considers undesirable outputs. Resour. Conserv. Recycl. 2016, 128, 197–205. [Google Scholar] [CrossRef]










| SPEI Value Range | Drought Grade |
|---|---|
| <−2 | Extreme drought |
| [−2, −1.5] | Severe drought |
| [−1.5, −1] | Moderate drought |
| [−1, −0.5] | Slight drought |
| >−0.5 | No drought |
| NDVI Series | SPEI 3 | SPEI 6 | SPEI 12 | SPEI 24 |
|---|---|---|---|---|
| NDVI for the year | 0.3596 | 0.5801 | 0.8097 ** | 0.8927 ** |
| One year lagged NDVI series | 0.6652 * | 0.7534 ** | 0.8325 ** | 0.8035 ** |
| NDVI Series | SPEI 3 | SPEI 6 | SPEI 12 | SPEI 24 |
|---|---|---|---|---|
| NDVI for the year | 0.3011 | 0.5734 | 0.5321 | 0.3202 |
| One year lagged NDVI series | 0.5611 | 0.7285 ** | 0.8137 ** | 0.7680 ** |
| NDVI Series | SPEI 3 | SPEI 6 | SPEI 12 | SPEI 24 |
|---|---|---|---|---|
| NDVI for the month | 0.0181 | 0.4609 | 0.6869 ** | 0.5106 |
| One month lagged NDVI series | 0.0066 | 0.3745 | 0.8403 ** | 0.8221 ** |
| Two months lagged NDVI series | 0.0650 | 0.1805 | 0.6289 * | 0.8582 ** |
| Three months lagged NDVI series | −0.1249 | −0.2152 | 0.1141 | 0.5454 |
© 2017 by the authors. Licensee MDPI, Basel, Switzerland. This article is an open access article distributed under the terms and conditions of the Creative Commons Attribution (CC BY) license (http://creativecommons.org/licenses/by/4.0/).
Share and Cite
Liu, S.; Zhang, Y.; Cheng, F.; Hou, X.; Zhao, S. Response of Grassland Degradation to Drought at Different Time-Scales in Qinghai Province: Spatio-Temporal Characteristics, Correlation, and Implications. Remote Sens. 2017, 9, 1329. https://doi.org/10.3390/rs9121329
Liu S, Zhang Y, Cheng F, Hou X, Zhao S. Response of Grassland Degradation to Drought at Different Time-Scales in Qinghai Province: Spatio-Temporal Characteristics, Correlation, and Implications. Remote Sensing. 2017; 9(12):1329. https://doi.org/10.3390/rs9121329
Chicago/Turabian StyleLiu, Shiliang, Yueqiu Zhang, Fangyan Cheng, Xiaoyun Hou, and Shuang Zhao. 2017. "Response of Grassland Degradation to Drought at Different Time-Scales in Qinghai Province: Spatio-Temporal Characteristics, Correlation, and Implications" Remote Sensing 9, no. 12: 1329. https://doi.org/10.3390/rs9121329
APA StyleLiu, S., Zhang, Y., Cheng, F., Hou, X., & Zhao, S. (2017). Response of Grassland Degradation to Drought at Different Time-Scales in Qinghai Province: Spatio-Temporal Characteristics, Correlation, and Implications. Remote Sensing, 9(12), 1329. https://doi.org/10.3390/rs9121329

