Landslide Deformation Analysis by Coupling Deformation Time Series from SAR Data with Hydrological Factors through Data Assimilation
Abstract
:1. Introduction
2. Methodology
2.1. Measuring Landslide Deformation with SAR/InSAR Data
2.2. Methods for Time-Series Decomposition
2.3. Coupling Analysis Scheme Based on Data Assimilation
2.3.1. Dynamic Process of a Landslide Evolution
2.3.2. Framework of Ensemble Kalman Filter
3. Study Area and Test Datasets
3.1. Study Area
3.2. Datasets
4. Experimental Results and Analyses
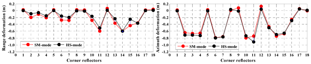
4.1. Deformation Characteristics of Shuping Landslide Area
4.2. Time-Series Deformation Decomposition
4.3. Impact Factors for Landslide Deformation
4.4. Data Assimilation Results
5. Conclusions
Acknowledgments
Author Contributions
Conflicts of Interest
References
- Au, S.W.C. Rain-induced slope instability in Hong Kong. Eng. Geol. 1998, 51, 1–36. [Google Scholar] [CrossRef]
- Schuster, R.L.; Highland, L. Socioeconomic and Environmental Impacts of Landslides in the Western Hemisphere; U.S. Geological Survey (Citeseer): Denver, CO, USA, 2001.
- Huang, R.Q. Some catastrophic landslides since the twentieth century in the southwest of China. Landslides 2009, 6, 69–81. [Google Scholar]
- Wang, F.W.; Zhang, Y.M.; Huo, Z.T.; Peng, X.M.; Araiba, K.; Wang, G.H. Movement of the shuping landslide in the first four years after the initial impoundment of the Three Gorges Dam reservoir, China. Landslides 2008, 5, 321–329. [Google Scholar] [CrossRef]
- Crosta, G.; Frattini, P.; Agliardi, F. Deep seated gravitational slope deformations in the European Alps. Tectonophysics 2013, 605, 13–33. [Google Scholar] [CrossRef]
- Michoud, C.; Baumann, V.; Lauknes, T.; Penna, I.; Derron, M.H.; Jaboyedoff, M. Large slope deformations detection and monitoring along shores of the Potrerillos Dam reservoir, argentina, based on a small-baseline InSR approach. Landslides 2015, 4. [Google Scholar] [CrossRef]
- Liu, C.Z.; Liu, Y.H.; Wen, M.S.; Li, T.F.; Lian, J.F.; Qin, S.W. Geo-hazard initiation and assessment in the Three Gorges reservoir. In Landslide Disaster Mitigation in Three Gorges Reservoir, China; Springer: Berlin, Germany, 2009; pp. 3–40. [Google Scholar]
- Ferretti, A.; Prati, C.; Rocca, F. Permanent scatterers in SAR interferometry. IEEE Trans. Geosci. Remote. Sens. 2001, 39, 8–20. [Google Scholar] [CrossRef]
- Berardino, P.; Fornaro, G.; Lanari, R.; Sansosti, E. A new algorithm for surface deformation monitoring based on small baseline differential SAR interferograms. IEEE Trans. Geosci. Remote. Sens. 2002, 40, 2375–2383. [Google Scholar] [CrossRef]
- Arnaud, A.; Adam, N.; Hanssen, R.; Inglada, J.; Duro, J.; Closa, J.; Eineder, M. ASAR-ERS interferometric phase continuity. In Proceedings of the IEEE International Geoscience and Remote Sensing Symposium, Toulouse, France, 21–25 July 2003; pp. 1133–1135.
- Werner, C.; Wegmüller, U.; Strozzi, T.; Wiesmann, A. Interferometric point target analysis for deformation mapping. In Proceedings of the IEEE International Geoscience and Remote Sensing Symposium, Toulouse, France, 21–25 July 2003; pp. 4362–4364.
- Blanco-Sanchez, P.; Mallorquí, J.J.; Duque, S.; Monells, D. The Coherent Pixels Technique (CPT): An advanced DInSAR technique for nonlinear deformation monitoring. Pure Appl. Geophys. 2008, 165, 1167–1193. [Google Scholar] [CrossRef]
- Ferretti, A.; Fumagalli, A.; Novali, F.; Prati, C.; Rocca, F.; Rucci, A. A new algorithm for processing interferometric data-stacks: SqueeSAR. IEEE Trans. Geosci. Remote. Sens. 2011, 49, 3460–3470. [Google Scholar] [CrossRef]
- Strozzi, T.; Luckman, A.; Murray, T.; Wegmüller, U.; Werner, C.L. Glacier motion estimation using SAR offset-tracking procedures. IEEE Trans. Geosci. Remote. Sens. 2002, 40, 2384–2391. [Google Scholar] [CrossRef]
- Notti, D.; Calò, F.; Cigna, F.; Manunta, M.; Herrera, G.; Berti, M.; Meisina, C.; Tapete, D.; Zucca, F. A user-oriented methodology for DInSAR time series analysis and interpretation: Landslides and subsidence case studies. Pure Appl. Geophys. 2015, 172, 3081–3105. [Google Scholar] [CrossRef]
- Tomás, R.; Li, Z.; Liu, P.; Singleton, A.; Hoey, T.; Cheng, X. Spatiotemporal characteristics of the Huangtupo landslide in the Three Gorges region (China) constrained by radar interferometry. Geophys. J. Int. 2014, 197, 213–232. [Google Scholar] [CrossRef]
- Daley, R. Atmospheric Data Analysis, Cambridge Atmospheric and Space Science Series; Cambridge University Press: Cambridge, UK, 1991. [Google Scholar]
- Talagrand, O. Assimilation of observations, an introduction. J. Meteorol. Soc. Jpn. 1997, 75, 81–99. [Google Scholar]
- Evensen, G. Data Assimilation—The Ensemble Kalman Filter, 2nd ed.; Springer: Berlin, Germany, 2009. [Google Scholar]
- Huang, C.L.; Li, X.; Lu, L.; Gu, J. Experiments of one-dimensional soil moisture assimilation system based on Ensemble Kalman filter. Remote Sens. Environ. 2008, 112, 888–900. [Google Scholar] [CrossRef]
- Xie, X.H.; Zhang, D.X. Data assimilation for distributed hydrological catchment modeling via ensemble kalman filter. Adv. Water Resour. 2010, 33, 678–690. [Google Scholar] [CrossRef]
- Shi, X.G.; Zhang, L.; Balz, T.; Liao, M.S. Landslide deformation monitoring using point-like target offset tracking with multi-mode high-resolution TerraSAR-X data. ISPRS J. Photogramm. 2015, 105, 128–140. [Google Scholar] [CrossRef]
- Wang, L. Research of Recurrence Mechanism and Prediction of Shuping Landslide under Water Level Variation and Rainfall in Three Gorges Reservoir Area. Master’s Thesis, China Three Gorges University, Yichang, China, 15 May 2014. [Google Scholar]
- Ren, F.; Wu, X.L.; Zhang, K.X.; Niu, R.Q. Application of wavelet analysis and a particle swarm-optimized support vector machine to predict the displacement of the shuping landslide in the Three Gorges, China. Environ. Earth Sci. 2015, 73, 4791–4804. [Google Scholar] [CrossRef]
- Peng, L.; Niu, R.Q.; Wu, T. Time series analysis and support vector machine for landslide displacement prediction. J. Zhejiang Univ. 2013, 47, 1672–1679. [Google Scholar]
- Zhang, J.; Yin, K.L.; Wang, J.J.; Huang, F.M. Diaplacement prediction of baishuihe landslide based on time series and pso-svr model. Chin. J. Rock Mech. Eng. 2015, 34, 382–391. [Google Scholar]
- Carnec, C.; Massonnet, D.; King, C. Two examples of the application of SAR interferomety to sites of small extent. Geophys. Res. Lett. 1996, 23, 3579–3582. [Google Scholar] [CrossRef]
- Berardino, P.; Costantini, M.; Franceschetti, G.; Iodice, A.; Pietranera, L.; Rizzo, V. Use of differential SAR interferometry in monitoring and modelling large slope instability at maratea (Basilicata, Italy). Eng. Geol. 2003, 68, 31–51. [Google Scholar] [CrossRef]
- Catani, F.; Farina, P.; Moretti, S.; Nico, G.; Strozzi, T. On the application of SAR interferometry to geomorphological studies: Estimation of landform attributes and mass movements. Geomorphology 2005, 66, 119–131. [Google Scholar] [CrossRef]
- Lauknes, T.R.; Piyush Shanker, A.; Dehls, J.F.; Zebker, H.A.; Henderson, I.H.C.; Larsen, Y. Detailed rockslide mapping in northern norway with small baseline and persistent scatterer interferometric SAR time series methods. Remote Sens. Environ. 2010, 114, 2097–2109. [Google Scholar] [CrossRef]
- Massonnet, D.; Feigl, K.L. Radar interferometry and its application to changes in the earth’s surface. Rev. Geophys. 1998, 36, 441–500. [Google Scholar] [CrossRef]
- Bianchini, S.; Herrera, G.; Mateos, R.; Notti, D.; Garcia, I.; Mora, O.; Moretti, S. Landslide activity maps generation by means of Persistent Scatterer interferometry. Remote Sens. 2013, 5, 6198–6222. [Google Scholar] [CrossRef]
- Liu, P.; Li, Z.H.; Hoey, T.; Kincal, C.; Zhang, J.F.; Zeng, Q.M.; Muller, J.-P. Using advanced InSAR time series techniques to monitor landslide movements in badong of the three gorges region, China. Int. J. Appl. Earth Obs. 2013, 21, 253–264. [Google Scholar] [CrossRef]
- Raspini, F.; Moretti, S.; Casagli, N. Landslide mapping using SqueeSAR data: Giampilieri (Ialy) case study. In Landslide Science and Practice; Springer: Berlin, Germany, 2013; Volume 1, pp. 147–154. [Google Scholar]
- Singleton, A.; Li, Z.; Hoey, T.; Muller, J.-P. Evaluating sub-pixel offset techniques as an alternative to D-InSAR for monitoring episodic landslide movements in vegetated terrain. Remote Sens. Environ. 2014, 147, 133–144. [Google Scholar] [CrossRef]
- Fan, J.H.; Lin, H.; Xia, Y.; Zhao, H.L.; Guo, X.F.; Li, M. Mapping the deformation of shuping landslide using DInSAR and offset tracking methods. In Landslide Science for a Safer Geoenvironment; Sassa, K., Canuti, P., Yin, Y., Eds.; Springer: Berlin, Germany, 2014; pp. 319–324. [Google Scholar]
- Raspini, F.; Ciampalini, A.; del Conte, S.; Lombardi, L.; Nocentini, M.; Gigli, G.; Ferretti, A.; Casagli, N. Exploitation of amplitude and phase of satellite SAR images for landslide mapping: The case of montescaglioso (south Italy). Remote Sens. 2015, 7, 14576–14596. [Google Scholar] [CrossRef]
- Sansosti, E.; Berardino, P.; Bonano, M.; Calò, F.; Castaldo, R.; Casu, F.; Manunta, M.; Manzo, M.; Pepe, A.; Pepe, S. How second generation SAR systems are impacting the analysis of ground deformation. Int. Appl. Earth Obs. 2014, 28, 1–11. [Google Scholar] [CrossRef]
- Hu, X.; Wang, T.; Liao, M.S. Measuring coseismic displacements with point-like targets offset tracking. IEEE Geosci. Remote Sens. 2014, 11, 283–287. [Google Scholar] [CrossRef]
- Li, X.F.; Muller, J.P.; Fang, C.; Zhao, Y.H. Measuring displacement field from TerraSAR-X amplitude images by subpixel correlation: An application to the landslide in Shuping, Tree Grges area. Acta Petrol. Sin. 2011, 27, 3843–3850. [Google Scholar]
- Seng, H.S. A new approach of moving average method in time series analysis. In Proceedings of the New Media Studies (CoNMedia), Tangerang, Indonesia, 27–28 November 2013; pp. 1–4.
- Xu, F.; Wang, Y.; Du, J.; Ye, J. Study of displacement prediction model of landslide based on time series analysis. Chin. J. Rock Mech. Eng. 2011, 30, 746–751. [Google Scholar]
- Kayacan, E.; Ulutas, B.; Kaynak, O. Grey system theory-based models in time series prediction. Expert Syst. Appl. 2010, 37, 1784–1789. [Google Scholar] [CrossRef]
- Deng, J.L. Control problems of grey systems. Syst. Control Lett. 1982, 1, 288–294. [Google Scholar]
- Evensen, G. Sequential data assimilation with a nonlinear quasi-geostrophic model using Monte Carlo methods to forecast error statistics. J. Geophys. Res. 1994, 99, 10143. [Google Scholar] [CrossRef]
- Burgers, G.; van Jan Leeuwen, P.; Evensen, G. Analysis scheme in the ensemble Kalman filter. Mon. Weather Rev. 1998, 126, 1719–1724. [Google Scholar] [CrossRef]
- Van Leeuwen, P.J. Comment on data assimilation using an ensemble kalm$an filter technique. Mon. Weather Rev. 1999, 127, 1374–1377. [Google Scholar] [CrossRef]
- De Zan, F. Accuracy of Incoherent Speckle Tracking for Circular Gaussian Signals. IEEE Geosci. Remote Sens. 2014, 11, 264–267. [Google Scholar] [CrossRef]
- Chen, D.; Xue, G.; Xu, F. Study on the Engineering Geology Properties in Three Gorges; Hubei Science and Technology Publisher: Wuhan, China, 1997. [Google Scholar]
- Fu, W.X.; Guo, H.D.; Tian, Q.J.; Guo, X.F. Landslide monitoring by corner reflectors differential interferometry SAR. Int. J. Remote Sens. 2010, 31, 6387–6400. [Google Scholar] [CrossRef]
- Wen, B.P.; Wang, S.J.; Wang, E.Z.; Zhang, J.M. Characteristics of rapid giant landslides in China. Landslides 2004, 1, 247–261. [Google Scholar] [CrossRef]
- Wang, F.W.; Zhang, Y.M.; Huo, Z.T.; Peng, X.M. Monitoring on shuping landslide in the Three Gorges Dam Reservoir, China. In Landslide Disaster Mitigation in Three Gorges Reservoir, China; Springer: Berlin, Germany, 2009; pp. 257–273. [Google Scholar]
- Xia, Y. Synthetic aperture radar interferometry. In Sciences of Geodesy-I; Springer: Berlin, Germany, 2010; pp. 415–474. [Google Scholar]
- Xia, Y.; Kaufmann, H.; Guo, X.F. Landslide monitoring in the Three Gorges area using D-InSAR and corner reflectors. Photogramm. Eng. Remote Sens. 2004, 70, 1167–1172. [Google Scholar]
- Tomás, R.; Li, Z.; Lopez-Sanchez, J.M.; Liu, P.; Singleton, A. Using wavelet tools to analyse seasonal variations from InSAR time-series data: A case study of the Huangtupo landslide. Landslides 2015, 6. [Google Scholar] [CrossRef]
- Tullos, D. Assessing the influence of environmental impact assessments on science and policy: An analysis of the Three Gorges project. J. Environ. Manag. 2009, 90, S208–S223. [Google Scholar] [CrossRef] [PubMed]
- Lin, J.L.; Lin, C.L. The use of the orthogonal array with grey relational analysis to optimize the electrical discharge machining process with multiple performance characteristics. Int. J. Mach. Tools Manuf. 2002, 42, 237–244. [Google Scholar] [CrossRef]
- Li, X.Z.; Kong, J.M. Application of GA-SVM method with parameter optimization for landslide development prediction. Nat. Hazards Earth Syst. 2014, 14, 525–533. [Google Scholar] [CrossRef]
- Yang, K.; Koike, T.; Kaihotsu, I.; Qin, J. Validation of a dual-pass microwave land data assimilation system for estimating surface soil moisture in semiarid regions. J. Hydrometeorol. 2009, 10, 780–793. [Google Scholar] [CrossRef]















| Parameter | SM Mode Data | HS Mode Data |
|---|---|---|
| Orbit direction | Descending | Descending |
| Look angle | 24° | 39° |
| Heading | 190.7° | 189.6° |
| Antenna polarization mode | VV | HH |
| Azimuth spacing | 1.96 m | 0.87 m |
| Range spacing | 0.91 m | 0.45 m |
| Date of master image | 17 November 2009 | 4 July 2009 |
| First acquisition | 21 July 2008 | 21 February 2009 |
| Last acquisition | 1 May 2010 | 15 April 2010 |
| Groups | No. of Corner Reflectors |
|---|---|
| Reference point | CR12 |
| Outside landslide area | CR8, CR17 and CR18 |
| Group1 | CR1, CR5 and CR9 |
| Group2 | CR2, CR3, CR4, CR6, CR7 and CR10 |
| Group3 | CR11, CR13, CR14, CR15 and CR16 |
| Data Source | Reservoir Level | Rainfall | |
|---|---|---|---|
| SM mode | range | 0.878 | 0.776 |
| azimuth | 0.878 | 0.776 | |
| HS mode | range | 0.864 | 0.807 |
| azimuth | 0.863 | 0.807 | |
| Date | Range (mm) | Azimuth (mm) |
|---|---|---|
| 26 April 2010 (HS) | −46.9 | −54.3 |
| 1 May 2010 (SM) | −49.4 | −59.1 |
| 7 May 2010 (HS) | −43.6 | −50.1 |
| 12 May 2010 (SM) | −42.9 | −51.4 |
© 2016 by the authors; licensee MDPI, Basel, Switzerland. This article is an open access article distributed under the terms and conditions of the Creative Commons by Attribution (CC-BY) license (http://creativecommons.org/licenses/by/4.0/).
Share and Cite
Jiang, Y.; Liao, M.; Zhou, Z.; Shi, X.; Zhang, L.; Balz, T. Landslide Deformation Analysis by Coupling Deformation Time Series from SAR Data with Hydrological Factors through Data Assimilation. Remote Sens. 2016, 8, 179. https://doi.org/10.3390/rs8030179
Jiang Y, Liao M, Zhou Z, Shi X, Zhang L, Balz T. Landslide Deformation Analysis by Coupling Deformation Time Series from SAR Data with Hydrological Factors through Data Assimilation. Remote Sensing. 2016; 8(3):179. https://doi.org/10.3390/rs8030179
Chicago/Turabian StyleJiang, Yanan, Mingsheng Liao, Zhiwei Zhou, Xuguo Shi, Lu Zhang, and Time Balz. 2016. "Landslide Deformation Analysis by Coupling Deformation Time Series from SAR Data with Hydrological Factors through Data Assimilation" Remote Sensing 8, no. 3: 179. https://doi.org/10.3390/rs8030179
APA StyleJiang, Y., Liao, M., Zhou, Z., Shi, X., Zhang, L., & Balz, T. (2016). Landslide Deformation Analysis by Coupling Deformation Time Series from SAR Data with Hydrological Factors through Data Assimilation. Remote Sensing, 8(3), 179. https://doi.org/10.3390/rs8030179

