Highlights
What are the main findings?
- This paper proposes a parameter-adjusted Chebyshev filtering algorithm for UAV SAR echo signal enhancement based on phase compensation. This algorithm fully utilizes the high repetition rate characteristic of UAV SAR systems, improving the pulse SNR while reducing the amount of data.
- The SNR gain during SAR processing and its relationship with SNR and PRF were analyzed.
What are the implications of the main findings?
- This method effectively overcomes the problem that traditional SAR echo azimuth processing cannot compensate for phase changes between adjacent pulses, and makes full use of the energy of each pulse, thereby reducing the SNR loss caused by filtering and downsampling.
- This method can significantly reduce the amount of echo data, decrease memory usage, and improve the efficiency of SAR echo signal processing.
Abstract
Unmanned aerial vehicle Synthetic Aperture Radar (UAV SAR) is inevitably affected by hardware performance and complex electromagnetic environments, resulting in noise in the radar echo signal. This causes image blurring and loss of detail, severely limiting the detection performance and imaging quality of UAV SAR. High-repetition-rate UAV SAR can achieve high signal-to-noise ratio (SNR), but the SAR data volume grows exponentially, posing a challenge for large-scale data processing. Furthermore, in the case of high repetition rate, downsampling methods are needed to reduce the amount of raw data, which leads to a decrease in the echo SNR, thus significantly affecting SAR image details. Existing SAR signal processing methods typically involve a series of processing steps on the raw echo data, such as azimuth and range direction processing. However, these traditional methods still have limitations in improving the SNR, especially in complex environments or when the target signal is weak, where their effectiveness is often unsatisfactory. To address these issues, this paper first analyzes the SNR gain in SAR echo data processing and proposes a phase-compensated parameter-adjusted Chebyshev filtering algorithm to improve the SNR of SAR echoes. The algorithm first utilizes azimuth Chebyshev filtering to avoid spectral aliasing during downsampling and fully leverages navigation information provided by the airborne platform to accurately compensate for phase changes between pulses. Then, it employs parameter-adjusted Chebyshev filtering and coherent superposition techniques to combine multiple adjacent pulses into a single pulse with a higher SNR. Finally, the enhanced pulses are combined into a new two-dimensional matrix for subsequent pulse compression and imaging processing. This method can improve the echo SNR while reducing the amount of echo data, minimizing the loss of the original echo SNR and reducing the memory footprint of subsequent imaging processing, thus effectively improving data processing efficiency. The effectiveness of the algorithm is verified through simulation and actual measurement data.
1. Introduction
Synthetic Aperture Radar (SAR) is a microwave remote sensing detector. Due to its all-weather, all-time detection capabilities, as well as its features such as high resolution, large area, and long-distance real-time imaging, it has been widely applied in military fields like battlefield reconnaissance, ground moving target identification, and precision guidance, as well as in civilian fields such as terrain and topography mapping, resource exploration, disaster early warning, and crop and vegetation detection [1,2]. SAR is typically mounted on mobile platforms. By utilizing the coherence of radar echoes, it achieves high resolution in the range direction through the transmission of large time-bandwidth linear frequency-modulated pulse signals combined with pulse compression technology, and leverages the equivalent large aperture obtained from the relative motion between the radar platform and the target to achieve high resolution in the azimuth direction [3,4]. This allows the radar to process the echo signals collected from the detection area to obtain a two-dimensional high-resolution image. According to the difference in the flight platform, SAR can be mainly divided into airborne SAR and spaceborne SAR. Airborne SAR can be further divided into manned airborne SAR and unmanned aerial vehicle SAR (UAV SAR) [5,6]. Compared with other SAR systems, UAV SAR systems are low-cost, are flexible, have short measurement cycles, and are easy to operate in harsh environments without personnel casualties, gradually becoming a research hotspot in the field of remote sensing [6,7,8]. However, due to the miniaturized design of UAV SAR systems, they can only carry compact and lightweight payloads, and the main power available to the radar sensor is extremely limited [9,10], which means that their echo energy for detecting long-range targets is limited, resulting in low echo SNR. In addition, due to the hardware performance and complex electromagnetic environment, the acquired image is inevitably noisy. These noise sources are widespread, including internal thermal noise and external electromagnetic interference, leading to blurred images and loss of details, severely restricting the application accuracy and scope of UAV SAR.
In airborne SAR and spaceborne fast-view real-time imaging systems, the bandwidth required for processing azimuth echo signals is typically narrow. These systems often form oversampling in the azimuth direction because the azimuth sampling frequency, which is the radar pulse repetition frequency (PRF), is usually high [11,12], and the repetition frequency of the waveform is much greater than the Doppler bandwidth of the imaging target. However, high PRF design leads to azimuth data redundancy, which becomes a significant bottleneck in real-time SAR imaging engineering [13].
Appropriately reducing the azimuth sampling frequency not only does not significantly affect imaging but also helps reduce the original data rate, ensuring the efficiency of echo signal processing. Traditional methods typically use downsampling. However, downsampling can result in a loss of some echo SNR severely affecting imaging quality. Therefore, it is necessary to perform azimuth downsampling without losing echo data SNR and without significantly affecting image quality.
In summary, improving the SNR of SAR echo signals is key to enhancing SAR system performance. Generally, it can be achieved from two aspects: system design and signal processing. System design is the foundation for improving SAR echo SNR. By optimizing the hardware and software design of the system, noise generation and propagation can be reduced from the source [14,15,16,17], such as antenna design, transmitter design, and receiver design. From the perspective of system architecture, a classic and widely utilized strategy is to increase the transmitted pulse width to enhance pulse energy (thereby improving SNR), followed by digital dechirping and downsampling at the receiver [18,19]. This method mixes the wide-band echo with a reference signal, converting it into a narrowband signal, which significantly lowers the required Analog-to-Digital (A/D) sampling rate and reduces the data volume in the range direction.
However, dechirp processing typically requires specific hardware-level analog mixing architectures and fundamentally restricts the effective range swath width. Furthermore, UAV SAR systems are often constrained by cost, power, and size, making such hardware-dependent methods difficult to implement. More importantly, for UAV SAR, a major source of data redundancy originates from the azimuth direction due to the high PRF required to avoid Doppler aliasing caused by platform instability. Therefore, rather than relying on range-domain hardware modifications, solutions are typically sought in purely digital signal processing. There is an urgent need for an azimuth-focused strategy that can mitigate data redundancy while exploiting the excessive high-PRF energy to enhance SNR, without compromising the range swath. Classic signal processing methods, such as Doppler filtering, utilize the Doppler frequency shift caused by the relative motion between the target and the radar to separate target signals from noise. Common Doppler filtering methods include Moving Target Indication (MTI) and Moving Target Detection (MTD), all of which are methods for non-cooperative targets [18,19,20,21,22,23]. Adaptive filtering can also be used to dynamically adjust filter parameters based on the statistical characteristics of the input signal to minimize noise and improve radar echo SNR, such as Least Mean Square (LMS) [24], Recursive Least Square (RLS) [25], Normalized Least Mean Square (NLMS) [26]. Although these adaptive filtering techniques can effectively address noise suppression issues, these methods often make it difficult to determine the filter order, have high computational complexity, and cannot compensate for phase variations between pre-filtered pulses along the azimuth, which can lead to SNR loss in SAR images. Besides traditional signal processing methods, deep learning is gaining popularity in SAR echo signal processing. However, improved performance from deep learning comes with higher computational costs and larger amounts of training data. Data scarcity and dependence on signal samples limit the stability and robustness of deep learning methods in signal denoising [27]. In conclusion, existing pre-filtering has certain limitations in engineering applications, so it is necessary to further optimize signal enhancement methods, implement precise azimuth processing, fully utilize the coherence between adjacent pulses, and improve system imaging performance.
To address the shortcomings of existing research, this paper analyzes the phase variation between target azimuth pulses using SAR imaging modes and proposes a parameter-adjusted Chebyshev filtering SAR echo signal enhancement algorithm based on phase compensation. This algorithm reduces the loss of the original echo SNR while downsampling. First, all azimuth pulses are divided into several segments. Then, the proposed algorithm is applied to each segment to obtain a pulse with improved SNR. All processed pulses are combined into a new two-dimensional matrix for subsequent imaging processing. Furthermore, the proposed algorithm can process acquired radar echo data in real time, significantly improving computational efficiency. Simulations and experiments are used to verify the performance of this scheme.
The research results of this paper can be summarized as follows:
- (1)
- The proposed SAR echo signal enhancement algorithm based on phase compensation parameter-adjusted Chebyshev filtering can effectively reduce the SNR loss caused by filtering downsampling.
- (2)
- This method can achieve any decimation factor, reduce the amount of echo data, and effectively improve the efficiency of subsequent imaging processing.
- (3)
- This method is not iterative; it processes real data without using feedback or any recursive algorithms, which reflects its applicability to real-time signal processing.
The article is organized as follows: Section 2 analyzes the SNR gains during the SAR synthesis process and the impact of high repetition frequency on UAV SAR systems. Based on the above analysis, the method proposed in this paper is introduced. Section 3 processes both simulated and measured data, and analyzes the results to verify the effectiveness of the proposed method. Section 4 discusses the research findings and future research directions. Section 5 summarizes the conclusions.
2. Materials and Methods
2.1. SAR Signal SNR Performance Analysis and PRF Setting
2.1.1. SAR Signal Model
This paper employs a broadside SAR system operating in strip-map mode. When the platform flies along an ideal trajectory, the imaging geometry for a point target is shown in Figure 1. The flight direction of the platform is along the azimuth (X-axis), with a platform height of H (along the Z-axis) and a flight speed of . The SAR system continuously transmits pulse signals along the slant range direction.
Figure 1.
The UAV SAR imaging geometry.
The transmitted signal of the SAR system is a linear frequency modulation signal [28]
where , , , , and denote the frequency-modulated rate, pulse duration, fast time, and carrier frequency, respectively.
The received target baseband echo signal can be expressed as
where is the slant range between radar and target, is the slow time, and is the transmission speed of electromagnetic waves.
2.1.2. SAR Signal SNR Performance Analysis
According to synthetic aperture processing technology, the SNR of the SAR echo signal can be characterized as follows [3]:
where is the SNR of the echo signal, is antenna received power, is system thermal noise, is the Boltzmann constant, is noise equivalent temperature, is signal frequency bandwidth, is radar peak transmit power, and is antenna directional gain. The distance between the radar and the target is ; then, the power density of the target irradiated is . is the wavelength. represents the losses caused by various factors, such as those from transceiver devices, spatial transmission, and polarization effects, which will not be elaborated upon here. The RCS takes for point targets and for stationary targets, where is the physical surface area of the distributed target and is the backscattering coefficient. From the above formula, it can be seen that the energy of the received signal decreases as the detection distance increases.
Due to various reasons, the SNR of UAV SAR receiver echoes is low, with the signal almost completely submerged in noise. For SAR, SAR synthesis processing not only improves resolution but also significantly alters the SNR, primarily through pulse compression and synthetic aperture. Its effect can be explained by adaptive filter theory: it “intelligently” adds N samples of the same measurement. Assuming the noise samples are independent and have a mean of zero, the power of the noise component after coherent accumulation of N pulses is 1/N times that of the original noise component. Therefore, the SNR will become N times the original value, and this increase in SNR can effectively improve image reconstruction performance.
This section mainly analyzes the gain in synthetic aperture processing, which is divided into two parts: pulse compression and synthetic processing.
- The effect of pulse compression
Assuming the radar transmits pulses with a width of every 1/PRF, where PRF is the pulse repetition frequency, then the received echo after time is expressed as
where is the attenuation factor, is the distance between the radar and the point target, and is the zero-mean Gaussian white noise.
The SNR of the SAR echo is expressed as
where represents the average of .
As mentioned earlier, pulse compression can be represented as filtering the received echo using an “adaptive filter” as
where
The integral in Equation (6) represents a weighted summation of samples at intervals of . The purpose of weighting is to superimpose the “useful” signal portions of each sample in phase, thereby enhancing the signal energy. To ensure that the noise in each sample is independent, the sampling interval must satisfy the following condition [2]:
where is signal frequency bandwidth. In pulse compression, we only care about the SNR contribution of a single transmit pulse width .
Since matched filtering causes coherent accumulation of signal components, its amplitude gain is , while noise components accumulate incoherently; its amplitude gain is only . Therefore, the final gain of matched filtering can be expressed as
This gain, also known as the time-bandwidth product (TBP), is an important indicator of the performance of pulse compression technology.
The SAR system transmits a linear frequency modulation (LFM) signal, also known as a “chirp” signal, which is the transmitted signal mentioned above. Its form can be represented as Equation (1).
Transmitting an LFM signal and performing matched filtering at the receiver is equivalent to transmitting a single-frequency signal with a pulse width of . Based on the previous analysis, the maximum gain for range-directed pulse compression is as follows
If the range direction strictly follows the Nyquist sampling theorem, then , where is the range direction sampling frequency.
- 2.
- The effect of synthetic processing
SAR synthesis processing is a weighted average of independent echo samples acquired at the same distance from the radar. Similarly to the analysis in Equation (6) of Section 2.1.2, for azimuth composite processing, the sampling interval should satisfy the condition , where is the azimuth bandwidth. Since these independent samples are all acquired within the target illumination time , then the number of independent samples is . Then, the SNR gain after processing the entire Doppler bandwidth is expressed as
where is the number of azimuth pulses. The azimuth direction strictly follows the Nyquist sampling theorem, that is , where is the pulse repetition frequency PRF.
From Equations (10) and (11), the total SNR gain can be expressed as follows:
According to the principle of SAR, the synthetic aperture length is expressed as
where is the nearest distance to the point target, is the beam azimuth width, is the antenna width, and is the wavelength. For the same objective, is fixed.
The azimuth accumulation time can be expressed as
For the same , remains constant. Therefore, according to Equation (12), the SNR gain is directly proportional to the PRF; increasing the PRF results in a higher SNR. Next, we will use simulation experiments to illustrate that, for the same aperture length, a higher PRF leads to a higher SNR gain. The simulation parameter settings are shown in Table 1.
Table 1.
Synthetic aperture gain analysis simulation parameters.
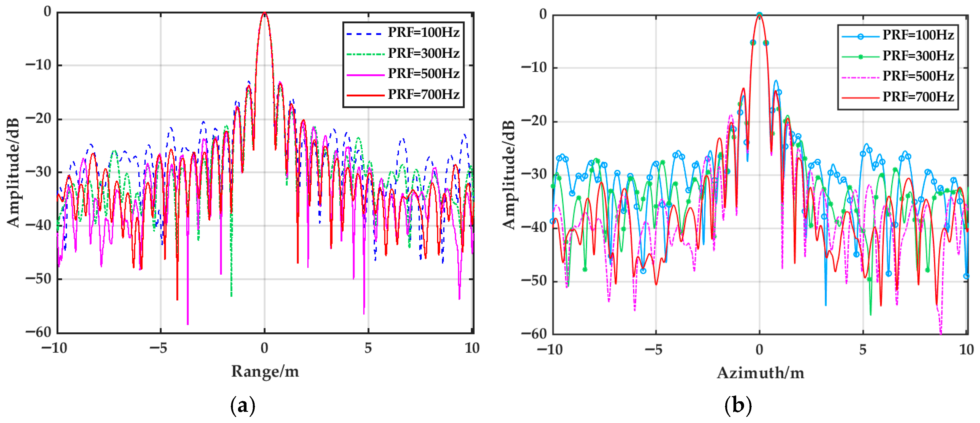
To meet the low SNR imaging requirements of this paper, the pre-pulse-compression echo SNR was set to −40 dB. The imaging results of point targets with the same aperture length and different PRFs are shown in Figure 2. A comparison of the range profile and azimuth profile is shown in Figure 3. It can be seen that as the PRF increases, the SAR imaging SNR is higher, and the point target sidelobes are lower. The target imaging performance under different conditions is shown in Table 2 and Table 3.
Figure 2.
SAR imaging results of same aperture length and different PRF. (a) ; (b) PRF = 300 Hz; (c) PRF = 500 Hz; (d) PRF = 700 Hz.
Figure 3.
Range profiles and azimuth profiles of same aperture length and different PRF. (a) Range profiles; (b) azimuth profiles.
Table 2.
Target imaging performance with same aperture length and different PRF (range profiles).
Table 3.
Target imaging performance with same aperture length and different PRF (azimuth profiles).
While high-repetition-rate radar signal acquisition can improve the SNR of SAR echoes, a higher PRF also introduces range ambiguity and reduces computational efficiency due to large data volumes. Therefore, the constraints on PRF settings for UAV SAR will be primarily considered in the following sections.
2.1.3. High PRF Setting in UAV SAR System
PRF is one of the most critical parameters in SAR system design, as it directly determines the azimuth sampling rate and fundamentally affects the imaging performance, including resolution, ambiguity suppression, and swath width. The selection of PRF involves a complex trade-off among multiple constraints, making it a key consideration in SAR system optimization. This section first analyzes the parameter setting criteria for PRF, then discusses the advantages and challenges of high-repetition-rate design in UAV SAR systems, and finally discusses the constraints of downsampling decimation factor.
- 1.
- The Parameter Setting Criteria for PRF
- (1)
- Doppler Ambiguity ConstraintAccording to the Doppler fuzziness constraint, the PRF must satisfy the Nyquist sampling theorem. If the PRF is too low, the azimuth blur caused by aliasing will be serious. To avoid aliasing in the Doppler frequency domain, the PRF should meet the following requirements:where is echo signal bandwidth. The bandwidth is determined by the platform velocity , the wavelength , and the actual antenna azimuth beamwidth .However, the signal strength at the beam edge only decreases by 6 dB, and the azimuth spectrum attenuates slowly, so the oversampling rate should generally be 1.1~1.4 to reduce the azimuth fuzzy power.
- (2)
- Range Ambiguity ConstraintThe range ambiguity constraint requires that the PRF must be sufficiently low to ensure that all echoes from the previous pulse are received before the next pulse is transmitted. This constraint can be expressed aswhere is the speed of light and is the maximum unambiguous range. If the PRF is too large relative to the echo duration, distance ambiguity will occur because the echoes of different pulses overlap within the receiving window.
- (3)
- Swath Width ConstraintThe swath width is constrained by the PRF and the platform velocity . For a given PRF, the maximum unambiguous swath width is expressed asFrom (18), it can be seen that and PRF are inversely proportional, as higher PRF reduces the maximum swath width. This constraint directly conflicts with the Doppler ambiguity requirement. This fundamental trade-off is one of the primary challenges in SAR system design.
- 2.
- Advantages and Challenges of SAR High-Repetition-Rate Settings
In UAV SAR, the aforementioned constraints do not typically constitute limitations [29]. Since the speed of UAV platforms is generally low, this allows high PRF to meet Doppler sampling requirements while maintaining reasonable range ambiguity margins. Moreover, UAV platforms are limited by payload weight and power consumption, with operating ranges typically within 10–50 Km [9], shorter than those of spaceborne SAR and manned aircraft-borne SAR. As can be seen from Equation (16), this provides more design space for the application of high PRF. Moreover, the geometric relationship of the beam will limit the mapping band width below the ambiguity limit, which means that the PRF can be higher than the value required by the azimuth bandwidth. A higher PRF can increase the average transmit power without increasing the peak power or pulse width, thereby improving the SNR.
However, a high PRF generates a large amount of echo data, which increases the burden on signal processing, poses a greater challenge to real-time processing, and places higher demands on storage and transmission systems.
- 3.
- Constraint on Downsampling Factor
In SAR system design, high PRF methods are often used to improve the SNR and reduce transmission power requirements. However, high PRF settings lead to azimuth data redundancy. Therefore, in the SAR echo signal preprocessing stage, it is necessary to downsample the echo data to reduce the amount of echo data. Assuming the echo data reduction factor is D and the original pulse repetition frequency is PRF, the pulse repetition frequency after processing becomes PRF/D. As can be seen from the above analysis, the PRF setting is constrained by Equations (15), (17), and (18). Therefore, downsampling must be performed while satisfying the constraints.
From Equation (15), we can obtain that, for a given input PRF and echo signal Doppler bandwidth , the upper bound of the decimation factor can be obtained. An appropriate decimation factor can minimize the azimuth data rate and avoid aliasing effects caused by over-decimation of the azimuth spectrum. The decimation factor can be expressed as
where indicates rounding down and usually .
2.2. Proposed Method
In traditional UAV SAR systems, in order to reduce azimuth ambiguity and improve image SNR, the frequency of the pulses transmitted by the radar is usually higher than the required pulse frequency, which is equivalent to the bandwidth of the azimuth system being much greater than the signal bandwidth [30]. In Section 2.1, we analyzed the contradiction between high SNR and computational efficiency brought about by high-repetition-rate UAV SAR. Traditional methods can reduce the amount of data by downsampling the original echo data in the azimuth direction under the premise of satisfying Equation (19), but this will lead to a serious loss of SNR, and the downsampling factor is limited. Figure 4 shows the SAR echo processing flow based on the proposed method. The left side of Figure 4 is the overall flowchart of SAR imaging. The received radar signal is sampled by the A/D converter to obtain the raw echo data. At this point, we can preprocess the echo data according to the processing requirements, which is the core content of this paper, then perform range pulse compression, and finally perform BP imaging to obtain the final two-dimensional SAR image. This paper combines the idea of coherent accumulation to preprocess the original echo, and the flowchart is shown on the right side of Figure 4. The proposed algorithm can make full use of all pulses and reduce the amount of data while improving the echo SNR through parameter-adjusted Chebyshev filtering and coherent superposition. Since filtering can effectively prevent spectral aliasing, it is not constrained by the downsampling factor. In addition, accumulation is carried out on the basis of effectively compensating for the phase error of adjacent pulses. This section will introduce the method in detail.
Figure 4.
Flowchart of UAV SAR imaging.
2.2.1. Chebyshev-Based Parameter-Adjusted Azimuth Filtering
First, we perform azimuthal parameter-adjusted Chebyshev filtering on the original SAR echo. This paper uses the Chebyshev method to design a low-frequency FIR filter. The parameters of the FIR filter can be designed by setting the weights of the passband and stopband. The Chebyshev method has an equal-ripple passband and stopband; therefore, the FIR filter designed using this method is shorter than that designed using other methods. Assuming the azimuth downsampling factor is and the pulse repetition frequency is , then after azimuth filtering, the pulse repetition frequency becomes . After downsampling, the starting position of the spectral mirror component is located at . To effectively suppress aliasing, the stopband edge frequency must be set to to ensure sufficient attenuation at the critical point of spectral replication. Theoretically, the Nyquist frequency after downsampling is . However, practical filters have a transition band. If the passband edge is set too close to the Nyquist frequency, the transition band will encroach on the effective signal region, causing signal distortion. Therefore, this paper sets the passband edge frequency to , which is equivalent to retaining 80% of the usable bandwidth after downsampling, ensuring the integrity of the effective signal while reserving sufficient space for the transition band. Based on the above analysis, the edge frequencies of the passband and stopband should satisfy the condition of the equation and be expressed as [31].
where is the stopband edge frequency and is the passband edge frequency.
According to the radar parameters in Section 2.1.1, the PRF is set to 1000 Hz and the sampling factor D is 12. The Chebyshev parameter settings are shown in Table 4.
Table 4.
Chebyshev filter parameter setting.
Since SAR echo data arrives sequentially along range lines following the transmitted pulse, temporary data storage is necessary for azimuth filtering. Assuming the azimuth filter order is N, typically N range lines’ data need to be stored and the corresponding filtering operations performed. It is clear that the higher the filter order, the greater the storage and computational demands on preprocessing. To reduce the burden on the processor, it is generally desirable to have a filter order as low as possible. The research in [32] has shown that a filter with a length of can meet the basic requirements of frequency response characteristics; thus, we choose the filter with length in this paper. To quantitatively evaluate this, we analyzed the frequency responses of the Chebyshev filter under varying orders, specifically N = 2D, 4D, 6D, and 8D. The frequency response curves are shown in Figure 5. Increasing the filter order narrows the transition band and enhances the stopband attenuation, thereby achieving better high-frequency noise suppression and anti-aliasing performance. As can be seen from the figure, the noise suppression capability increases slowly when N = 4D and 6D; however, this leads to a linear increase in computational complexity. Therefore, we chose the filter with length N = 4D in this paper to secure the optimal balance between reliable signal enhancement and processing efficiency.
Figure 5.
Frequency response of Chebyshev filters with varying orders.
The original echo has an azimuth sampling rate of PRF and a range sampling rate of . For ease of explanation, the discretized form of the SAR echo is given as follows
where is the range sampling index and is the azimuth sampling index.
Parameter-adjusted Chebyshev filtering of the original echo yields the filtered echo , which can be represented as follows
2.2.2. Phase Error Analysis of Adjacent Pulses
After azimuth filtering, adjacent D pulses will be coherently superimposed. Next, the phase difference between adjacent pulses will be analyzed in combination with the UAV SAR imaging geometry, which is shown in Figure 1 of Section 2.1.
Range migration results in a phase difference between different pulses within a frame. Without compensation, direct superposition results in a loss of coherence, thereby reducing the SNR. Therefore, phase error compensation is necessary before superposition.
As can be seen from the Equation (21), the original echo signal contains two main phase terms, namely the frequency modulation phase term is expressed as
and the carrier phase term is expressed as
According to the UAV SAR imaging geometry shown in Figure 1, the pulse moment corresponds to the radial position of the target as follows:
where is the initial distance corresponding to the distance gate, is the number of azimuth pulses for synthetic aperture, and is the pulse repetition period. Assuming that is pulse repetition frequency, then .
For the pulse within the frame, the slant range difference between it and the pulse is expressed as
Taking the pulse as the reference pulse, the complete phase compensation factor for the pulse within the frame is expressed as
Substituting Equations (25) and (26) into Equation (27), the complete phase compensation calculation formula can be obtained. Then, the compensated pulse expression is shown as
Finally, after phase compensation, the adjacent D pulses are accumulated to obtain the echo after coherent superposition, which can be expressed as
where D is the pre-filtering decimation ratio, is the output pulse index., and indicates rounding up .
Through the above steps, we can obtain the new echo signal that will be used for subsequent imaging, which can be expressed as follows:
where .
It is worth noting that the phase compensation factor derived in Equation (27) mainly reflects the influence of the platform’s movement along the azimuth direction on the line-of-sight (LOS). This simplified model does not explicitly include azimuth spatial changes or other complex low-frequency motion errors. The reason for this approximation is that the proposed preprocessing method only focuses on adjacent D pulses. The PRF of the radar system parameters in this paper is set to 1000 Hz, so when D = 12, the accumulation time is only 0.012 s. In such a short time, the changes in low-frequency motion errors, such as those caused by atmospheric turbulence or mechanical vibration, as well as azimuth spatial changes, are actually negligible. Any uncompensated residual low-frequency errors will be passed to the newly constructed downsampled two-dimensional matrix and then processed by BP imaging algorithm.
Furthermore, we analyzed the tolerance range of the proposed phase compensation method in the case of velocity measurement errors in the inertial measurement unit (IMU). Let the actual velocity of the UAV be and the velocity measured by the IMU be . Based on the geometric model, the slant range approximation for a pulse at time relative to the reference pulse is expressed as [3]
The residual phase error caused by the velocity error during phase compensation is expressed as
For coherent accumulation of adjacent pulses to remain effective and not suffer significant SNR loss, the maximum phase error at the edge of the accumulation window should be less than . Therefore,
According to Equation (33), the speed error tolerance v can be expressed as
Substituting the radar parameters from Table 1 into Equation (34) and setting D = 12 and PRF = 1000 Hz, we can obtain . The theoretical velocity error tolerance is on the order of thousands of meters per second. Since commercial UAV IMUs have velocity measurement errors typically well under 1 m/s, the phase error introduced by the IMU during this brief pre-filtering stage is virtually zero.
2.2.3. Analysis of Maximum Stackable Pulse Number
The preceding text introduced the specific details of the proposed method. Although filtering can avoid spectral aliasing caused by downsampling, thus allowing for an unlimited downsampling factor D, the downsampling factor is still constrained by phase error to ensure the coherence of adjacent pulses. To ensure the effectiveness of the proposed phase-compensated coherent superposition, the uncompensated quadratic phase error (QPE) at the sub-aperture edge used for coherent accumulation must be less than , which can be expressed as
Therefore, the boundary of the downsampling factor based on QPE constraints can be expressed as
3. Results
In this section, the performance of the proposed algorithm is evaluated using both simulated data and real radar measurement data from UAV SAR. Additionally, the performance of the proposed algorithm is compared with traditional algorithms, verifying the effectiveness of the proposed method.
3.1. Algorithm Simulation Experiments
In the simulations, the SNR was set to −40 dB and Gaussian white noise was added to the original SAR echo. The key parameters are shown in Table 1 and are kept consistent with the actual measurement data to better utilize simulations to verify the performance of the proposed algorithm. In addition, the PRF is set to 1000 Hz. According to the analysis in Section 2.2.3, substituting the radar parameters into Equation (36) yields a maximum downsampling factor of 230. The downsampling factor in this experiment was set to 12. The proposed method was compared with direct downsampling, downsampling after Least Mean Square (LMS) [24], and direct downsampling after Chebyshev filtering. The processing results of the three methods are shown in Figure 6 and Figure 7, which are the single pulse range profile envelope and BP imaging results, respectively. According to the parameters and Equation (10), it can be concluded that for the original SAR echo, after pulse compression, the gain of the echo is 40 dB. Figure 6b shows the result obtained by decimation by 12 times. It can be found that the sidelobe is raised by about 2 dB compared with Figure 6a. Based on the analysis in Section 2.1.2, the theoretical gain is approximately 10 dB when the downsampling factor is 12. Figure 6a,c–e show that the proposed method achieves an improvement of approximately 9 dB for a single pulse, while the LMS method only improves by 7 dB. Although direct downsampling after filtering has a higher gain than the LMS method, the proposed algorithm is more efficient. In addition, Figure 7 shows SAR imaging results for different methods. Figure 7b is the imaging result after directly downsampling by 12 times, where it can be seen that the SAR image has the highest bottom noise. Comparing Figure 7c,d,e, it can be found that this paper can more effectively improve SNR.
Figure 6.
The single pulse range profile envelopes of different methods. (a) Noise echo; (b) 12× downsampling noise echo; (c) LMS method; (d) filtering with direct downsampling; (e) proposed method.
Figure 7.
SAR imaging result of different methods. (a) Noise echo; (b) 12× downsampling noise echo; (c) LMS method; (d) Filtering with direct downsampling; (e) Proposed method.
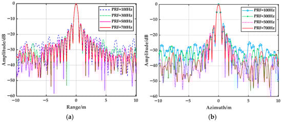
To better analyze the effectiveness of the proposed method, we analyzed the two-dimensional contours of point targets obtained by different methods, as shown in Figure 8, which shows the range and azimuth slices of the imaging results, and calculated their corresponding spatial resolution (IRW), peak sidelobe ratio (PSLR), and integral sidelobe ratio (ISLR).
Figure 8.
The profiles with different methods. (a) The range profiles with different methods. (b) The azimuth profiles with different methods.
It can be seen that the proposed method effectively suppresses sidelobes. Target imaging performance in different cases is given in Table 5. We can see that in the range profile, as shown in Figure 8a, direct sampling increases the sidelobes, while other indicators show little difference. This is because we mainly process the echo azimuth direction, which theoretically should not affect the range indices. Analyzing the azimuth contour in Figure 8b, it can be seen that the proposed method can reduce sidelobes. Since the differences in range profiles among the methods are not significant, only the detailed evaluation indicators for the azimuth profile are recorded in Table 5.
Table 5.
Simulation result indicators of different methods.
Our proposed method improves the SNR of a single pulse and reduces the number of azimuth pulses. According to Equation (11) in Section 2.1.2, the SNR gain of the entire SAR processing is also related to the number of azimuth points. Therefore, our method improves the SNR of a single pulse, resulting in a smaller improvement in the SNR of the SAR image compared to the original image.
3.2. Verification of Measured Data
To verify the effectiveness of the proposed algorithm, our team conducted an L-band UAV SAR experiment in Jiangxi Province, China. The radar system parameters are shown in Table 1. The optical image of the experimental scene is shown in Figure 9. The radar system was mounted on a UAV. The corresponding flight trajectory is marked by the red line in Figure 9, and the yellow boxes mark the observation scenes.
Figure 9.
Optical images of the experimental scenario.
BP imaging was performed on the measured data. To facilitate comparison of the imaging results of different signal enhancement algorithms, we performed imaging processing on a scene ranging from 3900 m to 5000 m. This paper mainly focuses on signal enhancement processing of this scene to verify the effectiveness of the proposed algorithm.
First, the simulated echo is directly downsampled. According to the parameters and Equation (19), the maximum downsampling factor is 10 to avoid spectral aliasing. To illustrate that the proposed algorithm is not constrained by the downsampling factor, all results below are based on a downsampling factor of 12. For ease of demonstration, the image on the right side of Figure 10 is a magnified view of the details within the red box on the left. As shown in Figure 10b, the SAR image is directly downsampled from the measurement data by a factor of 12. It can be seen that artifacts caused by spectral aliasing appear on the right side of the SAR image. This is because the sampling factor is too large, resulting in frequency aliasing. By comparing the image details in the yellow circle in Figure 10a,c–e after magnification, it can be seen that the proposed algorithm can generate SAR images with a lower noise floor and effectively improve the SNR of SAR images without producing aliasing.

Figure 10.
SAR images of different methods. (a) Filtering without downsampling; (b) Direct downsampling; (c) Filtering with direct downsampling; (d) LMS with direct downsampling; (e) Proposed method.
3.2.1. SAR Image Quality Evaluation
To quantitatively analyze the processing results of different methods on the measured data, we selected the following evaluation indicators to analyze the processed SAR images and recorded them in Table 6.
Table 6.
Measured data result indicators of different methods.
- Image Entropy [33]
Image entropy is an important metric for measuring image quality; the smaller the entropy value, the better the image focusing performance. The definition of image entropy is expressed as
where is the number of pulses, is the number of range points, is the intensity density of the pixel at the point in the image, is the total energy of the image, and is the intensity of the pixel at point in the SAR image.
- 2.
- Edge Preservation Index (EPI) [34]
EPI is used to measure the ability of image processing algorithms to preserve edge information during compression or filtering processes. Its calculation method is typically based on the comparison of edge intensity between the original image and the processed image, defined as
where and are the results of the edge filtering of the image and , respectively, and are their means. The closer the value is to 1, the better the edge information is maintained. In this paper, the SAR image before signal enhancement and the SAR image after processing are compared, and the details of the proposed method are judged according to the EPI to determine the detail retention of the original SAR image.
- 3.
- Noise Equivalent Sigma Zero (NESZ) [35,36]
NESZ is an index that measures the sensitivity of a system to areas with low radar backscattering, corresponding to the equivalent normalized radar cross section (σ0) that provides a uniform SNR. Its value can be obtained from the radar system parameters through relevant radar calculation equations [35]. In practical applications, the relevant parameters may differ from the theoretical parameters. This paper uses the calculation method in reference [36] to obtain the NESZ value of the obtained SAR image. The lower the NESZ value, the higher the radiation sensitivity of the system and the stronger its detection capability for weakly scattering targets.
As shown in Table 6, the proposed method achieves an EPI of 0.9986, which best preserves image details compared to direct downsampling and the LMS method. A comparison of image entropy values shows that the algorithm maintains good resolution. Furthermore, the NESZ of the unsampled image after filtering is −18.27 dB, while the proposed algorithm achieves −17.67 dB. Compared to other algorithms, the proposed algorithm has the lowest NESZ and is closer to the value of the unsampled image after filtering. Similarly to the simulation analysis, the overall SNR of the SAR image is not significantly improved because the algorithm only increases the SNR of a single pulse while reducing the number of pulses. Compared to direct downsampling, the image quality is significantly improved, and the energy is closer to that of the original SAR image.
3.2.2. Execution Time Analysis
For UAV SAR, real-time data processing is a critical requirement due to strict limitations on power consumption and hardware resources. Therefore, evaluating the computational efficiency and imaging performance of the proposed signal enhancement algorithm is essential. Traditional adaptive filtering methods, such as the LMS algorithm, require continuous iterative updates to the filter weights for each azimuth pulse. This results in high computational complexity, which scales with filter length and the number of pulses processed, severely limiting its feasibility in real-time UAV search and rescue imaging. In contrast, the proposed method avoids recursive weight updates. To further optimize execution efficiency, a vectorized phase compensation lookup table strategy is applied to the algorithm. Before filtering, the complex phase compensation factors for all range bands are pre-calculated and stored. During the coherent superposition stage, the algorithm only requires low-complexity matrix lookup and pointwise complex multiplication. This optimization significantly reduces the computational burden caused by trigonometric function and square root operations in the loop for the phase compensation factors.
To quantitatively assess processing efficiency, the execution time of different methods was recorded using the measurement data described in Section 3.2. The time required to process the measured data is shown in Table 7.
Table 7.
Execution time comparison of different methods.
As shown in Table 7, direct downsampling is the fastest method because it directly extracts data without complex signal processing steps. However, as analyzed earlier, it severely degrades image quality. The preprocessing time for filtering the raw data without extraction is 155.89 s, and the total time for BP imaging is 629.27 s. While this effectively improves image quality, the large data volume causes significant time consumption. The preprocessing time for filtering and direct extraction is the same as for filtering without extraction, but the BP imaging time is significantly reduced due to the downsampling step. The proposed method takes 200.73 s in the preprocessing stage, and the total time for BP imaging is 436.59 s. Due to phase compensation and coherent accumulation steps, its preprocessing runtime is slightly longer than that of filtering and direct extraction by almost 45 s, which is within a tolerable range, and its image quality is superior. Considering the SNR and excellent preservation of image details, the computational cost of this method is reasonable and suitable for practical applications of UAV SAR.
4. Discussion
This paper addresses the key trade-off between SNR and data reduction in high-repetition-frequency UAV SAR systems. It proposes an echo signal enhancement technique based on phase compensation parameter adjustment of Chebyshev filtering, aiming to improve the echo SNR while reducing the data volume. Experimental results based on simulation and actual UAV SAR data show that, compared with traditional downsampling and adaptive filtering methods (such as LMS), the proposed technique can achieve higher SNR gain, has better preserved image details, and can effectively suppress aliasing artifacts. Compared with adaptive filtering methods such as LMS, the LMS method cannot compensate for inter-pulse phase changes by iteratively adjusting the filter coefficients, while our method models the SAR echo signal based on the platform motion geometry, which can effectively reduce SNR loss. This improvement can be attributed to the coherence accumulated after phase alignment, while traditional processing methods do not utilize the deterministic phase relationship between continuous pulses. The phase error analysis in Section 3.2 shows that for a shorter accumulation window, the residual phase error caused by typical IMU velocity error can be ignored, thus ensuring near-ideal coherent superposition. This finding justifies using a simplified linear distance offset model for phase compensation in the pre-filtering stage.
In addition, a major challenge in drone search and rescue is achieving real-time data processing under strict power and hardware constraints. Compared to recursive adaptive filters that require continuous weight updates and are sensitive to initialization, the non-iterative nature of this method further enhances its practicality. Based on execution time analysis, the proposed method requires 200.73 s for preprocessing and 436.59 s for total blood pressure imaging. Although the preprocessing time is about 45 s longer than simple filtering with direct downsampling, it completely avoids the severe spectral aliasing and artifacts caused by direct downsampling. The total processing time is far less than the 629.27 s required for filtering without downsampling, which confirms that the computational cost of this method is highly reasonable and strategically balanced with the superior image quality it produces.
While effective, this method has some limitations. The derived phase compensation factor primarily considers the change in LOS caused by platform azimuth motion, omitting complex low-frequency motion errors such as mechanical vibration or atmospheric turbulence. This simplification is currently reasonable because the accumulation time between adjacent pulses is extremely short, making these low-frequency errors negligible. However, if future applications require significantly higher weight reduction factors and increased accumulation time windows, these uncompensated residual errors may become apparent, affecting image quality. Furthermore, this paper primarily derives phase compensation based on the assumption of orthographic side-viewing and does not consider the case of strabismus.
Future research could consider combining phase-compensated pre-filtering with autofocus algorithms to further improve image quality even in the presence of uncompensated motion errors. Secondly, future research could also take strabismus into account.
5. Conclusions
This paper fully utilizes the high repetition rate characteristic of UAV SAR systems, employing parameter-adjusted Chebyshev filtering and phase compensation to accumulate azimuth signals from multiple adjacent pulses. This effectively improves the SNR of system and significantly reduces the amount of data required for subsequent processing, demonstrating broad application prospects. First, this paper analyzes the mechanism of SNR gain generation during SAR synthesis processing and the impact of high RF on echo SNR. Then, to improve the performance of SNR enhancement methods, a method combining phase compensation and parameter-adjusted Chebyshev filtering is proposed based on the SAR imaging model. This method is not limited by the downsampling factor and can accurately compensate for phase changes between pulses, achieving superior accumulation gain compared to traditional linear pre-filtering methods. Finally, simulation and experimental data verify the effectiveness of the proposed method in improving the UAV SAR echo SNR.
Author Contributions
Conceptualization, L.W. and L.C.; methodology, L.W. and L.C.; software, L.W., L.C., and D.A.; validation, L.W. and L.C.; formal analysis, L.W., L.C., and D.A.; resources, L.C. and D.A.; supervision, L.C. and D.A.; validation, L.W. and L.C.; writing—original draft preparation, L.W. and L.C.; writing—review and editing, L.W., L.C., and D.A. All authors have read and agreed to the published version of the manuscript.
Funding
This research was funded by the National Natural Science Foundation of China grant number 42227801.
Data Availability Statement
The data presented in this study are available from the corresponding author on request.
Conflicts of Interest
The authors declare no conflicts of interest.
References
- Hersey, R.K.; Culpepper, E. Radar processing architecture for simultaneous SAR, GMTI, ATR, and tracking. In Proceedings of the 2016 IEEE Radar Conference (RadarConf), Philadelphia, PA, USA, 2–6 May 2016; pp. 1–5. [Google Scholar] [CrossRef]
- Massonnet, D.; Souyris, J.C. Imaging with Synthetic Aperture Radar; EPFL Press: Lausanne, Switzerland, 2008. [Google Scholar] [CrossRef]
- Cumming, I.G.; Wong, F.H. Digital Processing of Synthetic Aperture Radar Data; Artech House: Norwood, MA, USA, 2005; Volume 1, pp. 108–110. [Google Scholar]
- Chen, S.; Zhao, H.; Zhang, S.; Chen, Y. An extended nonlinear chirp scaling algorithm for missile borne SAR imaging. Signal Process. 2014, 99, 58–68. [Google Scholar] [CrossRef]
- Hügler, P.; Roos, F.; Schartel, M.; Geiger, M.; Waldschmidt, C. Radar Taking Off: New Capabilities for UAVs. IEEE Microw. Mag. 2018, 19, 43–53. [Google Scholar] [CrossRef]
- Grathwohl, A.; Stelzig, M.; Kanz, J.; Fenske, P.; Benedikter, A.; Knill, C. Taking a look beneath the surface: Multicopter UAV-based ground-penetrating imaging radars. IEEE Microw. Mag. 2022, 23, 32–46. [Google Scholar] [CrossRef]
- Fernández, M.G.; López, Y.Á.; Arboleya, A.A.; Valdés, B.G.; Vaqueiro, Y.R.; Andrés, F.L.H.; García, A.P. Synthetic aperture radar imaging system for landmine detection using a ground penetrating radar on board a unmanned aerial vehicle. IEEE Access 2018, 6, 45100–45112. [Google Scholar] [CrossRef]
- Lopez, Y.A.; Garcia-Fernandez, M.; Alvarez-Narciandi, G.; Andres, F.L.H. Unmanned aerial vehicle-based ground-penetrating radar systems: A review. IEEE Geosci. Remote Sens. Mag. 2022, 10, 66–86. [Google Scholar] [CrossRef]
- Bekar, A.; Antoniou, M.; Baker, C.J. Low-Cost, High-Resolution, Drone-Borne SAR Imaging. IEEE Trans. Geosci. Remote Sens. 2022, 60, 5208811. [Google Scholar] [CrossRef]
- Sun, Z.; He, Y.; Chen, T.; An, H.; Wu, J.; Yang, J. Energy-efficient passive UAV SAR: System concept and performance analysis. In Proceedings of the 2021 IEEE International Geoscience and Remote Sensing Symposium IGARSS, Brussels, Belgium, 12–17 July 2021; pp. 8261–8264. [Google Scholar] [CrossRef]
- Li, J.; Chang, W.; Li, Y. Azimuth Pre-processing in Real Time Imaging of UWB SAR. In Proceedings of the 2009 European Radar Conference (EuRAD), Rome, Italy, 30 September–2 October 2009; pp. 362–365. [Google Scholar]
- Zhou, Z.X.; Deng, Y.; Wang, W.; Jia, X.; Wang, R. Analysis of Varying-PRI Spotlight SAR Data. IEEE Trans. Geosci. Remote Sens. 2022, 60, 5221020. [Google Scholar] [CrossRef]
- Lei, L.; ShiJian, S.; Song, N.; Jingyu, L. Application of adaptive phase azimuth prefiltering method. In Proceedings of the EUSAR 2024; 15th European Conference on Synthetic Aperture Radar, Munich, Germany, 23–26 April 2024; pp. 633–637. [Google Scholar]
- Hu, S.; Yuan, X.; Ni, W.; Wang, X. Trajectory Planning of Cellular-Connected UAV for Communication-Assisted Radar Sensing. IEEE Trans. Commun. 2022, 70, 6385–6396. [Google Scholar] [CrossRef]
- Zhou, J.; Zhang, X.; Qin, K.; Yang, F.; Wang, L.; Song, D. Energy-Efficient Target Area Imaging for UAV-SAR-Based ISAC: Beamforming Design and Trajectory Optimization. Remote Sens. 2025, 17, 2082. [Google Scholar] [CrossRef]
- Reyhanigalangashi, O. Design and Development of an RF-SoC-Based Ultra-Wideband Radar for Remote Sensing of Snow. Doctoral Dissertation, The University of Alabama, Tuscaloosa, AL, USA, 2025. [Google Scholar]
- Herd, J.S.; Conway, M.D. The evolution to modern phased array architectures. Proc. IEEE 2016, 104, 519–529. [Google Scholar] [CrossRef]
- Meta, A.; Hoogeboom, P.; Ligthart, L.P. Signal processing for FMCW SAR. IEEE Trans. Geosci. Remote Sens. 2007, 45, 3519–3532. [Google Scholar] [CrossRef]
- Quan, Y.; Li, Y.; Hu, G.; Xing, M. Real-time implementation of frequency-modulated continuous-wave synthetic aperture radar imaging using field programmable gate array. Rev. Sci. Instrum. 2015, 86, 064706. [Google Scholar] [CrossRef]
- Li, D.; Zhan, M.; Liu, H.; Liao, Y.; Liao, G. A robust translational motion compensation method for ISAR imaging based on keystone transform and fractional Fourier transform under low SNR environment. IEEE Trans. Aerosp. Electron. Syst. 2017, 53, 2140–2156. [Google Scholar] [CrossRef]
- Liu, Y.; Zhang, S.; Zhu, D.; Li, X. A novel speed compensation method for ISAR imaging with low SNR. Sensors 2015, 15, 18402–18415. [Google Scholar] [CrossRef]
- Chen, W.; Lv, M.; Yang, J.; Ma, X. Sparse aperture bistatic ISAR imaging under low signal-to-noise ratio condition. J. Appl. Remote Sens. 2020, 14, 036515. [Google Scholar] [CrossRef]
- Fu, J.; Xing, M.; Amin, M.G. ISAR imaging motion compensation in low SNR environments using phase gradient and filtering techniques. IEEE Trans. Aerosp. Electron. Syst. 2021, 57, 4296–4312. [Google Scholar] [CrossRef]
- Tan, D.K.P.; Lesturgie, M.; Sun, H.; Lu, Y. Space Time Interference Analysis and Suppression for Airborne Passive Radar Using Transmissions of Opportunity. IET Radar Sonar Navig. 2014, 8, 142–152. [Google Scholar] [CrossRef]
- Zhu, X.L.; Zhang, X.D. Adaptive RLS Algorithm for Blind Source Separation Using a Natural Gradient. IEEE Signal Process. Lett. 2002, 9, 432–435. [Google Scholar] [CrossRef]
- Ma, Y.; Shan, T.; Zhang, Y.D.; Amin, M.G.; Tao, R.; Feng, Y. A Novel Two-Dimensional Sparse-Weight NLMS Filtering Scheme for Passive Bistatic Radar. IEEE Geosci. Remote Sens. Lett. 2016, 13, 676–680. [Google Scholar] [CrossRef]
- Zhang, J.; Liu, Z.; Jiang, W.; Liu, Y.; Zhou, X.; Li, X. Application of deep generative networks for SAR/ISAR: A review. Artif. Intell. Rev. 2023, 56, 11905–11983. [Google Scholar] [CrossRef]
- Han, S.; Zhu, D.; Mao, X. Squint Spotlight SAR Imaging by Two-Step Scaling Transform-Based Extended PFA and 2-D Autofocus. IEEE J. Sel. Top. Appl. Earth Obs. Remote Sens. 2023, 16, 1295–1307. [Google Scholar] [CrossRef]
- Song, S.; Qiu, X.; Shangguan, S.; Luo, Y.; Li, Z.; Zhang, Z.; Li, H. A polarization-power-maximum-based 3D imaging method for Ku-band UAV-borne fully-polarimetric array InSAR. IEEE J. Sel. Top. Appl. Earth Obs. Remote Sens. 2025, 18, 10320–10336. [Google Scholar] [CrossRef]
- Li, X.; Sun, Z.; Yeo, T.S.; Zhang, T.; Yi, W.; Cui, G.; Kong, L. STGRFT for detection of maneuvering weak target with multiple motion models. IEEE Trans. Signal Process. 2019, 67, 1902–1917. [Google Scholar] [CrossRef]
- Yan, S.; Li, Y.; Zhou, Z. Real-time motion compensation of an airborne UWB SAR. In Proceedings of the 2011 8th European Radar Conference, Manchester, UK, 12–14 October 2011; pp. 305–308. [Google Scholar]
- Le, C.; Madsen, S. Analysis and Implementation of the Presumm; Interoffice Memorandum; Jet Propulsion Laboratory, California Institute of Technology: Pasadena, CA, USA, 2001. [Google Scholar]
- Zeng, T.; Wang, R.; Li, F. SAR image autofocus utilizing minimum-entropy criterion. IEEE Geosci. Remote Sens. Lett. 2013, 10, 1552–1556. [Google Scholar] [CrossRef]
- Sattar, F.; Floreby, L.; Salomonsson, G.; Lovstrom, B. Image enhancement based on a nonlinear multiscale method. IEEE Trans. Image Process. 1997, 6, 888–895. [Google Scholar] [CrossRef] [PubMed]
- Calabrese, D.; Episcopo, R. Derivation of the SAR noise equivalent sigma nought. In Proceedings of the EUSAR 2014; 10th European Conference on Synthetic Aperture Radar, Berlin, Germany, 3–5 June 2014; pp. 1–4. [Google Scholar]
- Leanza, A.; Guarnieri, A.M.; Giudici, D.; Recchia, A.; Mancon, S. A Novel Method for Noise Equivalent Sigma Nought Estimation. In Proceedings of the EUSAR 2018; 12th European Conference on Synthetic Aperture Radar, Aachen, Germany, 4–7 June 2018; pp. 1–5. [Google Scholar]
Disclaimer/Publisher’s Note: The statements, opinions and data contained in all publications are solely those of the individual author(s) and contributor(s) and not of MDPI and/or the editor(s). MDPI and/or the editor(s) disclaim responsibility for any injury to people or property resulting from any ideas, methods, instructions or products referred to in the content. |
© 2026 by the authors. Licensee MDPI, Basel, Switzerland. This article is an open access article distributed under the terms and conditions of the Creative Commons Attribution (CC BY) license.










