Surface and Subsurface Soil Moisture Estimation Using Fusion of SMAP, NLDAS-2, and SOLUS100 Data with Deep Learning
Abstract
1. Introduction
2. Materials and Methods
2.1. SMAP Data and SOLUS100 Maps
2.2. Producing Benchmark Soil Moisture Data
2.3. Model Input Scenarios
2.4. ConvLSTM Model Architecture and Development
2.5. In Situ SM and Model Validation
3. Results and Discussion
3.1. Surface and Subsurface SM Estimations with ConvLSTM
3.2. Effects of Soil Texture on Soil Moisture Estimation
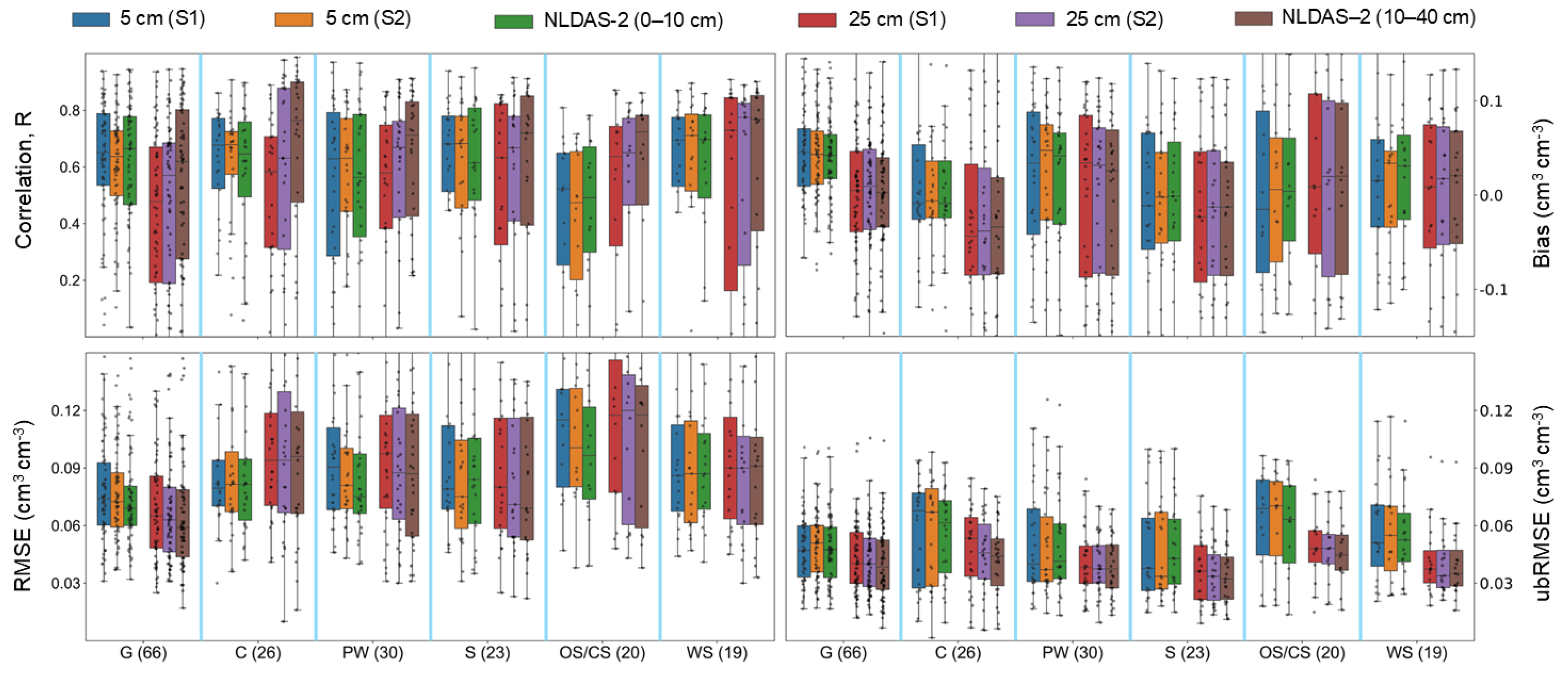
3.3. Effects of Land Cover Types on Soil Moisture Estimation
3.4. Spatiotemporal Validation of Soil Moisture Estimates
4. Summary and Conclusions
Author Contributions
Funding
Data Availability Statement
Acknowledgments
Conflicts of Interest
References
- Vereecken, H.; Schnepf, A.; Hopmans, J.W.; Javaux, M.; Or, D.; Roose, T.; Vanderborght, J.; Young, M.H.; Amelung, W.; Aitkenhead, M. Modeling Soil Processes: Review, Key Challenges, and New Perspectives. Vadose Zone J. 2016, 15, vzj2015-09. [Google Scholar] [CrossRef]
- Babaeian, E.; Sadeghi, M.; Jones, S.B.; Montzka, C.; Vereecken, H.; Tuller, M. Ground, Proximal, and Satellite Remote Sensing of Soil Moisture. Rev. Geophys. 2019, 57, 530–616. [Google Scholar] [CrossRef]
- Narasimhan, B.; Srinivasan, R. Development and Evaluation of Soil Moisture Deficit Index (SMDI) and Evapotranspiration Deficit Index (ETDI) for Agricultural Drought Monitoring. Agric. Meteorol. 2005, 133, 69–88. [Google Scholar] [CrossRef]
- Norbiato, D.; Borga, M.; Degli Esposti, S.; Gaume, E.; Anquetin, S. Flash Flood Warning Based on Rainfall Thresholds and Soil Moisture Conditions: An Assessment for Gauged and Ungauged Basins. J. Hydrol. 2008, 362, 274–290. [Google Scholar] [CrossRef]
- Koster, R.D.; Dirmeyer, P.A.; Guo, Z.; Bonan, G.; Chan, E.; Cox, P.; Gordon, C.T.; Kanae, S.; Kowalczyk, E.; Lawrence, D. Regions of Strong Coupling between Soil Moisture and Precipitation. Science 2004, 305, 1138–1140. [Google Scholar] [CrossRef]
- Dorigo, W.A.; Wagner, W.; Hohensinn, R.; Hahn, S.; Paulik, C.; Xaver, A.; Gruber, A.; Drusch, M.; Mecklenburg, S.; Van Oevelen, P. The International Soil Moisture Network: A Data Hosting Facility for Global in Situ Soil Moisture Measurements. Hydrol. Earth Syst. Sci. 2011, 15, 1675–1698. [Google Scholar] [CrossRef]
- Carlson, T. An Overview of the “Triangle Method” for Estimating Surface Evapotranspiration and Soil Moisture from Satellite Imagery. Sensors 2007, 7, 1612–1629. [Google Scholar] [CrossRef]
- Wang, W.; Huang, D.; Wang, X.-G.; Liu, Y.-R.; Zhou, F. Estimation of Soil Moisture Using Trapezoidal Relationship between Remotely Sensed Land Surface Temperature and Vegetation Index. Hydrol. Earth Syst. Sci. 2011, 15, 1699–1712. [Google Scholar] [CrossRef]
- Shafian, S.; Maas, S.J. Index of Soil Moisture Using Raw Landsat Image Digital Count Data in Texas High Plains. Remote Sens. 2015, 7, 2352–2372. [Google Scholar] [CrossRef]
- Rabiei, S.; Jalilvand, E.; Tajrishy, M. A Method to Estimate Surface Soil Moisture and Map the Irrigated Cropland Area Using Sentinel-1 and Sentinel-2 Data. Sustainability 2021, 13, 11355. [Google Scholar] [CrossRef]
- Moran, M.S.; Clarke, T.R.; Inoue, Y.; Vidal, A. Estimating Crop Water Deficit Using the Relation between Surface-Air Temperature and Spectral Vegetation Index. Remote Sens. Environ. 1994, 49, 246–263. [Google Scholar] [CrossRef]
- Sadeghi, M.; Babaeian, E.; Tuller, M.; Jones, S.B. The Optical Trapezoid Model: A Novel Approach to Remote Sensing of Soil Moisture Applied to Sentinel-2 and Landsat-8 Observations. Remote Sens. Environ. 2017, 198, 52–68. [Google Scholar] [CrossRef]
- Babaeian, E.; Tuller, M. The Feasibility of Remotely Sensed Near-Infrared Reflectance for Soil Moisture Estimation for Agricultural Water Management. Remote Sens. 2023, 15, 2736. [Google Scholar] [CrossRef]
- Zhao, W.; Li, Z.-L. Sensitivity Study of Soil Moisture on the Temporal Evolution of Surface Temperature over Bare Surfaces. Int. J. Remote Sens. 2013, 34, 3314–3331. [Google Scholar] [CrossRef]
- Ulaby, F.T. Microwave Remote Sensing, Active and Passive. Microw. Remote Sens. Fundam. Radiom. 1981, 1, 191–208. [Google Scholar]
- Mironov, V.L.; Kosolapova, L.G.; Fomin, S. V Physically and Mineralogically Based Spectroscopic Dielectric Model for Moist Soils. IEEE Trans. Geosci. Remote Sens. 2009, 47, 2059–2070. [Google Scholar] [CrossRef]
- Entekhabi, D.; Njoku, E.G.; O’neill, P.E.; Kellogg, K.H.; Crow, W.T.; Edelstein, W.N.; Entin, J.K.; Goodman, S.D.; Jackson, T.J.; Johnson, J. The Soil Moisture Active Passive (SMAP) Mission. Proc. IEEE 2010, 98, 704–716. [Google Scholar] [CrossRef]
- Park, C.-H.; Jagdhuber, T.; Colliander, A.; Lee, J.; Berg, A.; Cosh, M.; Kim, S.-B.; Kim, Y.; Wulfmeyer, V. Parameterization of Vegetation Scattering Albedo in the Tau-Omega Model for Soil Moisture Retrieval on Croplands. Remote Sens. 2020, 12, 2939. [Google Scholar] [CrossRef]
- Li, X.; Wigneron, J.-P.; Fan, L.; Frappart, F.; Yueh, S.H.; Colliander, A.; Ebtehaj, A.; Gao, L.; Fernandez-Moran, R.; Liu, X. A New SMAP Soil Moisture and Vegetation Optical Depth Product (SMAP-IB): Algorithm, Assessment and Inter-Comparison. Remote Sens. Environ. 2022, 271, 112921. [Google Scholar] [CrossRef]
- Njoku, E.G.; Jackson, T.J.; Lakshmi, V.; Chan, T.K.; Nghiem, S. V Soil Moisture Retrieval from AMSR-E. IEEE Trans. Geosci. Remote Sens. 2003, 41, 215–229. [Google Scholar] [CrossRef]
- Gao, L.; Ebtehaj, A.; Chaubell, M.J.; Sadeghi, M.; Li, X.; Wigneron, J.-P. Reappraisal of SMAP Inversion Algorithms for Soil Moisture and Vegetation Optical Depth. Remote Sens. Environ. 2021, 264, 112627. [Google Scholar] [CrossRef]
- Chan, S.K.; Bindlish, R.; O’Neill, P.E.; Njoku, E.; Jackson, T.; Colliander, A.; Chen, F.; Burgin, M.; Dunbar, S.; Piepmeier, J. Assessment of the SMAP Passive Soil Moisture Product. IEEE Trans. Geosci. Remote Sens. 2016, 54, 4994–5007. [Google Scholar] [CrossRef]
- O’Neill, P.; Bindlish, R.; Chan, S.; Njoku, E.; Jackson, T. Algorithm Theoretical Basis Document. Level 2 & 3 Soil Moisture (Passive) Data Products. 2018. Available online: https://smap.jpl.nasa.gov/system/internal_resources/details/original/484_L2_SM_P_ATBD_rev_F_final_Aug2020.pdf (accessed on 10 February 2025).
- Chan, S.K.; Bindlish, R.; O’Neill, P.; Jackson, T.; Njoku, E.; Dunbar, S.; Chaubell, J.; Piepmeier, J.; Yueh, S.; Entekhabi, D.; et al. Development and Assessment of the SMAP Enhanced Passive Soil Moisture Product. Remote Sens. Environ. 2018, 204, 931–941. [Google Scholar] [CrossRef] [PubMed]
- Chen, Y.; Li, L.; Whiting, M.; Chen, F.; Sun, Z.; Song, K.; Wang, Q. Convolutional neural network model for soil moisture prediction and its transferability analysis based on laboratory Vis-NIR spectral data. Int. J. Appl. Earth Obs. Geoinf. 2021, 104, 102550. [Google Scholar] [CrossRef]
- Dorigo, W.; Wagner, W.; Albergel, C.; Albrecht, F.; Balsamo, G.; Brocca, L.; Chung, D.; Ertl, M.; Forkel, M.; Gruber, A. ESA CCI Soil Moisture for Improved Earth System Understanding: State-of-the Art and Future Directions. Remote Sens. Environ. 2017, 203, 185–215. [Google Scholar] [CrossRef]
- Reichle, R.H.; Liu, Q.; Koster, R.D.; Crow, W.T.; De Lannoy, G.J.M.; Kimball, J.S.; Ardizzone, J.V.; Bosch, D.; Colliander, A.; Cosh, M. Version 4 of the SMAP Level-4 Soil Moisture Algorithm and Data Product. J. Adv. Model. Earth Syst. 2019, 11, 3106–3130. [Google Scholar] [CrossRef]
- Xia, Y.; Mitchell, K.; Ek, M.; Sheffield, J.; Cosgrove, B.; Wood, E.; Luo, L.; Alonge, C.; Wei, H.; Meng, J. Continental-scale Water and Energy Flux Analysis and Validation for the North American Land Data Assimilation System Project Phase 2 (NLDAS-2): 1. Intercomparison and Application of Model Products. J. Geophys. Res. Atmos. 2012, 117. [Google Scholar] [CrossRef]
- Balsamo, G.; Beljaars, A.; Scipal, K.; Viterbo, P.; van den Hurk, B.; Hirschi, M.; Betts, A.K. A Revised Hydrology for the ECMWF Model: Verification from Field Site to Terrestrial Water Storage and Impact in the Integrated Forecast System. J. Hydrometeorol. 2009, 10, 623–643. [Google Scholar] [CrossRef]
- Xia, Y.; Ek, M.B.; Wu, Y.; Ford, T.; Quiring, S.M. Comparison of NLDAS-2 Simulated and NASMD Observed Daily Soil Moisture. Part I: Comparison and Analysis. J. Hydrometeorol. 2015, 16, 1962–1980. [Google Scholar] [CrossRef]
- Ayres, E.; Reichle, R.H.; Colliander, A.; Cosh, M.H.; Smith, L. Validation of Remotely Sensed and Modeled Soil Moisture at Forested and Unforested NEON Sites. IEEE J. Sel. Top. Appl. Earth Obs. Remote Sens. 2024. [Google Scholar] [CrossRef]
- LeCun, Y.; Bengio, Y.; Hinton, G. Deep Learning. Nature 2015, 521, 436–444. [Google Scholar] [CrossRef] [PubMed]
- Liou, Y.-A.; Liu, S.-F.; Wang, W.-J. Retrieving Soil Moisture from Simulated Brightness Temperatures by a Neural Network. IEEE Trans. Geosci. Remote Sens. 2001, 39, 1662–1672. [Google Scholar]
- Kolassa, J.; Reichle, R.H.; Liu, Q.; Alemohammad, S.H.; Gentine, P.; Aida, K.; Asanuma, J.; Bircher, S.; Caldwell, T.; Colliander, A. Estimating Surface Soil Moisture from SMAP Observations Using a Neural Network Technique. Remote Sens. Environ. 2018, 204, 43–59. [Google Scholar] [CrossRef]
- Abbaszadeh, P.; Moradkhani, H.; Gavahi, K.; Kumar, S.; Hain, C.; Zhan, X.; Duan, Q.; Peters-Lidard, C.; Karimiziarani, S. High-Resolution SMAP Satellite Soil Moisture Product: Exploring the Opportunities. Bull. Am. Meteorol. Soc. 2021, 102, 309–315. [Google Scholar] [CrossRef]
- Karthikeyan, L.; Mishra, A.K. Multi-Layer High-Resolution Soil Moisture Estimation Using Machine Learning over the United States. Remote Sens. Environ. 2021, 266, 112706. [Google Scholar] [CrossRef]
- Roberts, T.M.; Colwell, I.; Chew, C.; Lowe, S.; Shah, R. A Deep-Learning Approach to Soil Moisture Estimation with GNSS-R. Remote Sens. 2022, 14, 3299. [Google Scholar] [CrossRef]
- Ma, H.; Zeng, J.; Zhang, X.; Peng, J.; Li, X.; Fu, P.; Cosh, M.H.; Letu, H.; Wang, S.; Chen, N. Surface Soil Moisture from Combined Active and Passive Microwave Observations: Integrating ASCAT and SMAP Observations Based on Machine Learning Approaches. Remote Sens. Environ. 2024, 308, 114197. [Google Scholar] [CrossRef]
- Gao, L.; Gao, Q.; Zhang, H.; Li, X.; Chaubell, M.J.; Ebtehaj, A.; Shen, L.; Wigneron, J.-P. A Deep Neural Network Based SMAP Soil Moisture Product. Remote Sens. Environ. 2022, 277, 113059. [Google Scholar] [CrossRef]
- Koster, R.D.; Guo, Z.; Yang, R.; Dirmeyer, P.A.; Mitchell, K.; Puma, M.J. On the Nature of Soil Moisture in Land Surface Models. J. Clim. 2009, 22, 4322–4335. [Google Scholar] [CrossRef]
- Cai, Y.; Zheng, W.; Zhang, X.; Zhangzhong, L.; Xue, X. Research on Soil Moisture Prediction Model Based on Deep Learning. PLoS ONE 2019, 14, e0214508. [Google Scholar] [CrossRef]
- Prakash, S.; Sharma, A.; Sahu, S.S. Soil Moisture Prediction Using Machine Learning. In Proceedings of the 2018 Second International Conference on Inventive Communication and Computational Technologies (ICICCT), Coimbatore, India, 20–21 April 2018; IEEE: Piscataway, NJ, USA, 2018; pp. 1–6. [Google Scholar]
- Shi, X.; Chen, Z.; Wang, H.; Yeung, D.-Y.; Wong, W.-K.; Woo, W. Convolutional LSTM Network: A Machine Learning Approach for Precipitation Nowcasting. Adv. Neural Inf. Process Syst. 2015, 1, 802–810. [Google Scholar]
- Yamashita, R.; Nishio, M.; Do, R.K.G.; Togashi, K. Convolutional Neural Networks: An Overview and Application in Radiology. Insights Imaging 2018, 9, 611–629. [Google Scholar] [CrossRef] [PubMed]
- Hochreiter, S. Long Short-Term Memory. In Neural Computation; MIT-Press: Cambridge, MA, USA, 1997. [Google Scholar] [CrossRef]
- Liu, W.; Wang, Y.; Zhong, D.; Xie, S.; Xu, J. ConvLSTM Network-Based Rainfall Nowcasting Method with Combined Reflectance and Radar-Retrieved Wind Field as Inputs. Atmosphere 2022, 13, 411. [Google Scholar] [CrossRef]
- Miao, Q.; Pan, B.; Wang, H.; Hsu, K.; Sorooshian, S. Improving Monsoon Precipitation Prediction Using Combined Convolutional and Long Short Term Memory Neural Network. Water 2019, 11, 977. [Google Scholar] [CrossRef]
- Babaeian, E.; Paheding, S.; Siddique, N.; Devabhaktuni, V.K.; Tuller, M. Short-and Mid-Term Forecasts of Actual Evapotranspiration with Deep Learning. J. Hydrol. 2022, 612, 128078. [Google Scholar] [CrossRef]
- Dong, J.; Zhu, Y.; Cui, N.; Jia, X.; Guo, L.; Qiu, R.; Shao, M. Estimating Crop Evapotranspiration of Wheat-Maize Rotation System Using Hybrid Convolutional Bidirectional Long Short-Term Memory Network with Grey Wolf Algorithm in Chinese Loess Plateau Region. Agric. Water Manag. 2024, 301, 108924. [Google Scholar] [CrossRef]
- Moishin, M.; Deo, R.C.; Prasad, R.; Raj, N.; Abdulla, S. Designing Deep-Based Learning Flood Forecast Model with ConvLSTM Hybrid Algorithm. IEEE Access 2021, 9, 50982–50993. [Google Scholar] [CrossRef]
- Dehghani, A.; Moazam, H.M.Z.H.; Mortazavizadeh, F.; Ranjbar, V.; Mirzaei, M.; Mortezavi, S.; Ng, J.L.; Dehghani, A. Comparative Evaluation of LSTM, CNN, and ConvLSTM for Hourly Short-Term Streamflow Forecasting Using Deep Learning Approaches. Ecol. Inf. 2023, 75, 102119. [Google Scholar] [CrossRef]
- Babaeian, E.; Paheding, S.; Siddique, N.; Devabhaktuni, V.K.; Tuller, M. Estimation of Root Zone Soil Moisture from Ground and Remotely Sensed Soil Information with Multisensor Data Fusion and Automated Machine Learning. Remote Sens. Environ. 2021, 260, 112434. [Google Scholar] [CrossRef]
- Hillel, D. Environmental Soil Physics: Fundamentals, Applications, and Environmental Considerations; Elsevier Science: Academic Press, 1998; ISBN 0-12-348525-8. [Google Scholar]
- Colliander, A.; Reichle, R.H.; Crow, W.T.; Cosh, M.H.; Chen, F.; Chan, S.; Das, N.N.; Bindlish, R.; Chaubell, J.; Kim, S.; et al. Validation of Soil Moisture Data Products from NASA SMAP Mission. IEEE J. Sel. Top. Appl. Earth Obs. Remote Sens. 2022, 15, 364–392. [Google Scholar] [CrossRef]
- Nauman, T.W.; Kienast-Brown, S.; Roecker, S.M.; Brungard, C.; White, D.; Philippe, J.; Thompson, J.A. Soil Landscapes of the United States (SOLUS): Developing Predictive Soil Property Maps of the Conterminous United States Using Hybrid Training Sets. Soil. Sci. Soc. Am. J. 2024, 88, 2046–2065. [Google Scholar] [CrossRef]
- Xia, Y.; Sheffield, J.; Ek, M.B.; Dong, J.; Chaney, N.; Wei, H.; Meng, J.; Wood, E.F. Evaluation of Multi-Model Simulated Soil Moisture in NLDAS-2. J. Hydrol. 2014, 512, 107–125. [Google Scholar] [CrossRef]
- Yi, C.; Li, X.; Zeng, J.; Fan, L.; Xie, Z.; Gao, L.; Xing, Z.; Ma, H.; Boudah, A.; Zhou, H. Assessment of Five SMAP Soil Moisture Products Using ISMN Ground-Based Measurements over Varied Environmental Conditions. J. Hydrol. 2023, 619, 129325. [Google Scholar] [CrossRef]
- Rees, W.G. The Accuracy of Digital Elevation Models Interpolated to Higher Resolutions. Int. J. Remote Sens. 2000, 21, 7–20. [Google Scholar] [CrossRef]
- Schirmer, M.; Eltayeb, M.; Lessmann, S.; Rudolph, M. Modeling Irregular Time Series with Continuous Recurrent Units. In Proceedings of the International Conference on Machine Learning PMLR, Baltimore, MD, USA, 17–23 July 2022; pp. 19388–19405. [Google Scholar]
- Datta, P.; Faroughi, S.A. A Multihead LSTM Technique for Prognostic Prediction of Soil Moisture. Geoderma 2023, 433, 116452. [Google Scholar] [CrossRef]
- Ioffe, S. Batch Normalization: Accelerating Deep Network Training by Reducing Internal Covariate Shift. arXiv 2015, arXiv:1502.03167. [Google Scholar]
- Cui, H.; Yuwen, C.; Jiang, L.; Xia, Y.; Zhang, Y. Multiscale Attention Guided U-Net Architecture for Cardiac Segmentation in Short-Axis MRI Images. Comput. Methods Programs Biomed. 2021, 206, 106142. [Google Scholar] [CrossRef]
- Ding, Y.; Zhu, Y.; Wu, Y.; Jun, F.; Cheng, Z. Spatio-Temporal Attention LSTM Model for Flood Forecasting. In Proceedings of the 2019 International Conference on Internet of Things (IThings) and IEEE Green Computing and Communications (GreenCom) and IEEE Cyber, Physical and Social Computing (CPSCom) and IEEE Smart Data (SmartData), Atlanta, GA, USA, 14–17 July 2019; IEEE: Piscataway, NJ, USA, 2019; pp. 458–465. [Google Scholar]
- Vaswani, A. Attention Is All You Need. Adv. Neural Inf. Process Syst. 2017. Available online: https://papers.neurips.cc/paper/7181-attention-is-all-you-need.pdf (accessed on 10 February 2025).
- Schaefer, G.L.; Cosh, M.H.; Jackson, T.J. The USDA Natural Resources Conservation Service Soil Climate Analysis Network (SCAN). J. Atmos. Ocean. Technol. 2007, 24, 2073–2077. [Google Scholar] [CrossRef]
- Bell, J.E.; Palecki, M.A.; Baker, C.B.; Collins, W.G.; Lawrimore, J.H.; Leeper, R.D.; Hall, M.E.; Kochendorfer, J.; Meyers, T.P.; Wilson, T. US Climate Reference Network Soil Moisture and Temperature Observations. J. Hydrometeorol. 2013, 14, 977–988. [Google Scholar] [CrossRef]
- Sulla-Menashe, D.; Gray, J.M.; Abercrombie, S.P.; Friedl, M.A. Hierarchical Mapping of Annual Global Land Cover 2001 to Present: The MODIS Collection 6 Land Cover Product. Remote Sens Environ. 2019, 222, 183–194. [Google Scholar] [CrossRef]
- Saxton, K.E.; Rawls, W.J. Soil Water Characteristic Estimates by Texture and Organic Matter for Hydrologic Solutions. Soil. Sci. Soc. Am. J. 2006, 70, 1569–1578. [Google Scholar] [CrossRef]
- Joshi, C.; Mohanty, B.P. Physical Controls of Near-surface Soil Moisture across Varying Spatial Scales in an Agricultural Landscape during SMEX02. Water Resour. Res. 2010, 46. [Google Scholar] [CrossRef]
- García-Gaines, R.A.; Frankenstein, S. USCS and the USDA Soil Classification System: Development of a Mapping Scheme; U.S. Army Engineer Research and Development Center, Cold Regions Research and Engineering Laboratory: Hanover, NH, USA, 2015. [Google Scholar]
- Zhao, L.; Yang, K.; He, J.; Zheng, H.; Zheng, D. Potential of Mapping Global Soil Texture Type from SMAP Soil Moisture Product: A Pilot Study. IEEE Trans. Geosci. Remote Sens. 2021, 60, 1–10. [Google Scholar] [CrossRef]
- Babaeian, E.; Rabiei, S.; Ghaderi Bafti, A.; Grunwald, S.; Kienast-Brown, S. High-Resolution Profile Soil Moisture Predictions Using Data Fusion and Deep Learning. AGU Fall Meet. Abstr. 2023, 2023, H41Q-1992. [Google Scholar]
- Rabiei, S.; Babaeian, E.; Grunwald, S. Surface and Subsurface Soil Moisture Estimation Using Fusion of SMAP, NLDAS-2, and SOLUS100 Data with Deep Learning. 2024. Available online: https://www.preprints.org/manuscript/202412.1356/v1 (accessed on 10 February 2025).
- Rabiei, S.; Babaeian, E.; Grunwald, S.; Kienast-Brown, S. Soil Moisture Forecasting from Ground and Remote Sensing Observations with Deep Learning. In Proceedings of the ASA, CSSA, SSSA International Annual Meeting. In Proceedings of the ASA, St. Louis, MO, USA, 29 October–1 November 2023. [Google Scholar]







| Land-Cover Type | Model | SCAN | USCRN | ||||||
|---|---|---|---|---|---|---|---|---|---|
| R | RMSE | Bias | ubRMSE | R | RMSE | Bias | ubRMSE | ||
| (-) | cm3 cm−3 | (-) | cm3 cm−3 | ||||||
| Grasslands | DCA | 0.63 | 0.070 | 0.008 | 0.057 | 0.69 | 0.079 | −0.02 | 0.050 |
| NLDAS-2 | 0.65 | 0.073 | 0.031 | 0.053 | 0.60 | 0.070 | 0.014 | 0.049 | |
| Croplands | DCA | 0.55 | 0.094 | −0.01 | 0.069 | 0.68 | 0.093 | −0.06 | 0.056 |
| NLDAS-2 | 0.54 | 0.092 | −0.01 | 0.066 | 0.54 | 0.078 | −0.04 | 0.065 | |
| Permanent Wetlands | DCA | 0.64 | 0.077 | 0.011 | 0.056 | 0.66 | 0.116 | 0.019 | 0.051 |
| NLDAS-2 | 0.60 | 0.081 | 0.022 | 0.050 | 0.59 | 0.091 | −0.01 | 0.055 | |
| Woody Savannas | DCA | 0.62 | 0.111 | 0.076 | 0.064 | 0.72 | 0.104 | 0.051 | 0.049 |
| NLDAS-2 | 0.58 | 0.089 | 0.021 | 0.062 | 0.53 | 0.078 | 0.004 | 0.050 | |
| Savannas | DCA | 0.66 | 0.085 | 0.020 | 0.054 | 0.78 | 0.098 | 0.069 | 0.045 |
| NLDAS-2 | 0.64 | 0.086 | 0.017 | 0.053 | 0.65 | 0.078 | 0.015 | 0.044 | |
| Open and Closed Shrubland | DCA | 0.61 | 0.126 | 0.090 | 0.056 | 0.69 | 0.095 | 0.034 | 0.042 |
| NLDAS-2 | 0.57 | 0.098 | 0.014 | 0.054 | 0.50 | 0.071 | −0.02 | 0.050 | |
| Soil Layer (cm) | Scenarios | Predictors | SMAP SM (DCA) | NLDAS-2 SM | ||
|---|---|---|---|---|---|---|
| RMSE | R | RMSE | R | |||
| Surface (5 cm) | 1 | SMAP ancillary data | ✓ | ✓ | ||
| 2 | SMAP ancillary data, SLOUS* | ✓ | ✓ | |||
| Subsurface (25 cm) | 1 | SMAP ancillary data, SOLUS** | ✓ | ✓ | ||
| 2 | SMAP ancillary data, SOLUS**, SM @ 5 cm | ✓ | ✓ | |||
| Soil Depth (cm) | Scenario * | R | RMSE (cm3 cm−3) | Bias (cm3 cm−3) | ubRMSE (cm3 cm−3) |
|---|---|---|---|---|---|
| 0–10 cm | 1 | 0.54 | 0.089 | 0.017 | 0.053 |
| 2 | 0.54 | 0.086 | 0.016 | 0.053 | |
| 10–40 cm | 1 | 0.45 | 0.090 | −0.01 | 0.043 |
| 2 | 0.51 | 0.086 | −0.008 | 0.041 |
Disclaimer/Publisher’s Note: The statements, opinions and data contained in all publications are solely those of the individual author(s) and contributor(s) and not of MDPI and/or the editor(s). MDPI and/or the editor(s) disclaim responsibility for any injury to people or property resulting from any ideas, methods, instructions or products referred to in the content. |
© 2025 by the authors. Licensee MDPI, Basel, Switzerland. This article is an open access article distributed under the terms and conditions of the Creative Commons Attribution (CC BY) license (https://creativecommons.org/licenses/by/4.0/).
Share and Cite
Rabiei, S.; Babaeian, E.; Grunwald, S. Surface and Subsurface Soil Moisture Estimation Using Fusion of SMAP, NLDAS-2, and SOLUS100 Data with Deep Learning. Remote Sens. 2025, 17, 659. https://doi.org/10.3390/rs17040659
Rabiei S, Babaeian E, Grunwald S. Surface and Subsurface Soil Moisture Estimation Using Fusion of SMAP, NLDAS-2, and SOLUS100 Data with Deep Learning. Remote Sensing. 2025; 17(4):659. https://doi.org/10.3390/rs17040659
Chicago/Turabian StyleRabiei, Saman, Ebrahim Babaeian, and Sabine Grunwald. 2025. "Surface and Subsurface Soil Moisture Estimation Using Fusion of SMAP, NLDAS-2, and SOLUS100 Data with Deep Learning" Remote Sensing 17, no. 4: 659. https://doi.org/10.3390/rs17040659
APA StyleRabiei, S., Babaeian, E., & Grunwald, S. (2025). Surface and Subsurface Soil Moisture Estimation Using Fusion of SMAP, NLDAS-2, and SOLUS100 Data with Deep Learning. Remote Sensing, 17(4), 659. https://doi.org/10.3390/rs17040659

