Unsupervised Clustering of InSAR Time-Series Deformation in Mandalay Region from 2022 to 2025 Using Dynamic Time Warping and Longest Common Subsequence
Highlights
- One of the first comprehensive InSAR-based subsidence maps of Mandalay, Myanmar, revealing the fastest rates up to −217 mm/yr in urban expansion zones.
- DTLCS-AHC clustering identifies four distinct deformation patterns, linking severe subsidence to irreversible, non-seasonal ground compaction.
- The results highlight the combined impact of anthropogenic activity, precipitation, geology and ground water on urban land stability.
- The framework enables unsupervised, shape-aware pattern recognition in time-series InSAR data for scalable urban geological hazard monitoring.
Abstract
1. Introduction
- Applying SBAS-InSAR technology to derive high-resolution surface deformation distributions for the urban area of Mandalay, Myanmar, using Sentinel-1 data from 2022 to 2025.
- Introducing DTLCS as a similarity measure for InSAR time series clustering for the first time: DTLCS can simultaneously capture the similarity in morphology and temporal phase of displacement time series, enabling more robust pattern recognition compared to traditional distance metrics (such as Euclidean distance or Pearson correlation coefficient). The distance matrix constructed based on DTLCS is subsequently used for AHC.
- Conducting a comprehensive analysis of the spatial distribution and temporal evolution characteristics of clustering results by integrating human activity factors and conceptual models based on geological and groundwater conditions to reveal the potential driving mechanisms of land subsidence.
2. Materials and Methods
2.1. Study Area
2.2. Data
2.2.1. Built-Up Area Data
2.2.2. InSAR Data
2.2.3. DEM Data
2.2.4. Global Precipitation Measurement Mission (GPM)
2.2.5. Road Data
2.3. Methods
2.3.1. Small Baseline Subset (SBAS) InSAR
2.3.2. Similarity Measurement Based on DTLCS
- 1.
- Dynamic Time Warping Algorithm (DTW)
- Endpoint constraint: The starting point of the path and the endpoint .
- Continuity constraint: For all , it must satisfy and .
- 2.
- Longest Common Subsequence (LCS)
- 3.
- The trend-based LCS (TLCS)
- Given a sequence of length , the slope between consecutive points is calculated using Equation (6).
- The computed slopes are then discretized into a ternary symbol sequence , as defined by Equation (7). Each symbol represents the trend direction: increasing, decreasing, or stable.
- Finally, the LCS algorithm is applied to the transformed symbol sequences to compute their similarity.
- 4.
- Combined DTW and Trend-Based LCS (DTLCS)
- When , the method reduces to pure trend-based LCS (TLCS).
- When , it becomes standard DTW.
- For , both amplitude and trend information are considered (mixed mode).
2.3.3. Agglomerative Hierarchical Clustering (AHC)
3. Results
3.1. InSAR Land-Subsidence Deformation Results
3.2. Accuracy Assessment of InSAR Monitoring Results
- Reference point stability: If the selected reference pixel has undetected motion, it introduces a constant bias across the entire displacement field. Differences in reference point selection between PS-InSAR and SBAS-InSAR can thus lead to an overall offset in the estimated velocities.
- Atmospheric phase screen (APS) estimation: PS-InSAR typically removes atmospheric artifacts using spatial high-pass filtering, while SBAS employs temporal-spatial decomposition (e.g., via singular value decomposition). Incomplete removal of stratified tropospheric delays may result in residual biases, particularly in regions with strong vertical atmospheric gradients.
- Scatterer type and density: PS-InSAR focuses on high-amplitude stable points (e.g., building corners, metallic fixtures), which in our study area—dominated by 2–3 story residential buildings—are often located on structurally vulnerable elements such as roof edges or weak foundations. These points are prone to localized, non-uniform subsidence and thus tend to exhibit higher deformation rates. In contrast, SBAS-InSAR incorporates both persistent and distributed scatterers and applies spatial averaging, which provides a more spatially continuous representation but may smooth out extreme deformation signals. This averaging effect is particularly evident in heterogeneous urban fabrics, where SBAS may underestimate peak subsidence rates due to the inclusion of more stable surrounding areas.
3.3. DTLCS Agglomerative Hierarchical Clustering Results
3.3.1. TS-InSAR Post-Processing
3.3.2. Clustering Result
- Cluster 1: Stable Upward
- Cluster 2: Stable Downward
- Cluster 3: Subsiding Primary
- Cluster 4: Subsiding Secondary
3.3.3. Comparison of Clustering Result with Yangon


3.3.4. Analysis of Temporal Deformation Patterns Using EMD and DFT
- Cluster 1: Shows a semi-annual cycle (IMF2, FFT Period = 198 days), indicating significant semi-annual movement.
- Cluster 2: Exhibits a roughly four-month cycle (IMF2, FFT Period = 132 days), potentially related to seasonal factors.
- Clusters 3 and 4: Have less pronounced seasonal components, with deformation primarily influenced by residual terms.
4. Discussion
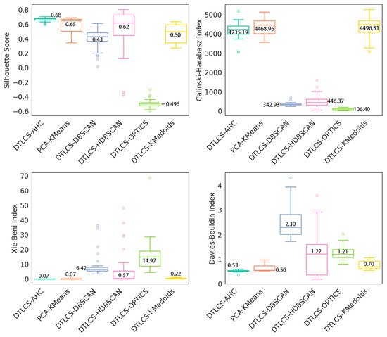
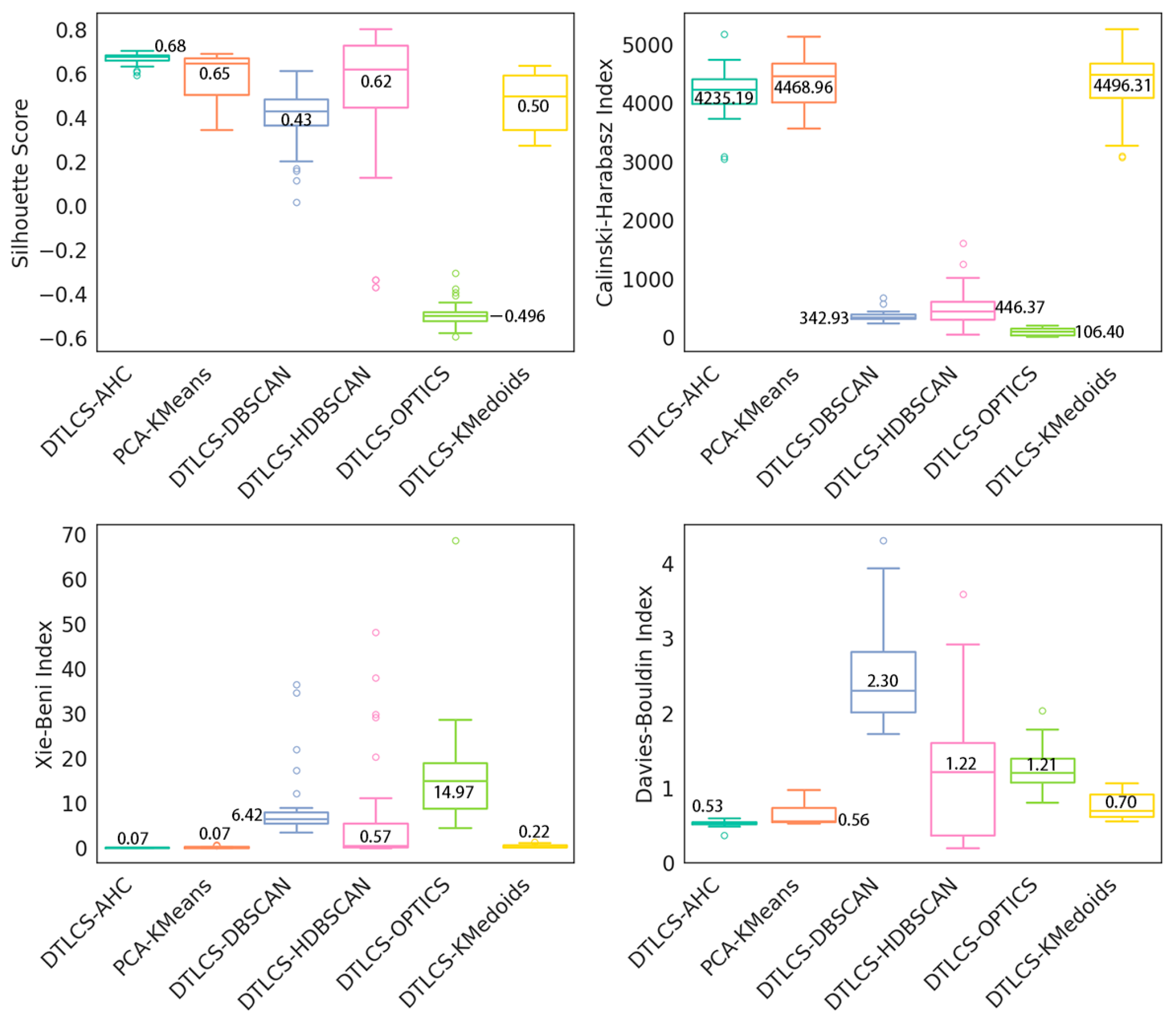
4.1. The Advantages and Disadvantages of DTLCS-AHC Methods
4.2. Spatiotemporal Variability of Pre-Earthquake Surface Deformation
- Points A–D (located in pre-seismic subsidence areas): points A and B showed brief uplift before the recent phase, followed by continuous subsidence; Point C transitioned from stability to subsidence; Point D experienced slow uplift during the long-term phase, followed by a strong uplift event, and then transitioned to subsidence.
- Points E–H: exhibited minor fluctuations during the long-term phase but clear uplift in the recent phase.

4.3. Likely Explanations of Deformation
4.3.1. Road Density
4.3.2. Rainfall
4.3.3. Geology and Ground Water
5. Conclusions
- Subsidence intensifies at urban transition zones with moderate road density;
- Rainfall events (>12 mm/month) trigger accelerated sinking in vulnerable areas;
- Pre-seismic anomalies—including trend reversals up to 7 months before the Mw 7.7 earthquake—suggest potential crustal precursors.
Author Contributions
Funding
Data Availability Statement
Acknowledgments
Conflicts of Interest
References
- Yang, M.; Li, M.; Huang, C.; Zhang, R.; Liu, R. Exploring the InSAR Deformation Series Using Unsupervised Learning in a Built Environment. Remote Sens. 2024, 16, 1375. [Google Scholar] [CrossRef]
- Ao, Z.R.; Hu, X.M.; Tao, S.L.; Hu, X.; Wang, G.Q.; Li, M.J.; Wang, F.; Hu, L.T.; Liang, X.Y.; Xiao, J.F.; et al. A national-scale assessment of land subsidence in China’s major cities. Science 2024, 384, 301–306. [Google Scholar] [CrossRef] [PubMed]
- Ng, A.H.M.; Liu, Z.Y.; Du, Z.Y.; Huang, H.W.; Wang, H.; Ge, L.L. A novel framework for combining polarimetric Sentinel-1 InSAR time series in subsidence monitoring—A case study of Sydney. Remote Sens. Environ. 2023, 295, 113694. [Google Scholar] [CrossRef]
- Li, H.J.; Zhu, L.; Dai, Z.X.; Gong, H.L.; Guo, T.; Guo, G.X.; Wang, J.B.; Teatini, P. Spatiotemporal modeling of land subsidence using a geographically weighted deep learning method based on PS-InSAR. Sci. Total Environ. 2021, 799, 149244. [Google Scholar] [CrossRef]
- Stramondo, S.; Bozzano, F.; Marra, F.; Wegmuller, U.; Cinti, F.R.; Moro, M.; Saroli, M. Subsidence induced by urbanisation in the city of Rome detected by advanced InSAR technique and geotechnical investigations. Remote Sens. Environ. 2008, 112, 3160–3172. [Google Scholar] [CrossRef]
- Cigna, F.; Osmanoglu, B.; Cabral-Cano, E.; Dixon, T.H.; Alejandro Avila-Olivera, J.; Hugo Garduno-Monroy, V.; DeMets, C.; Wdowinski, S. Monitoring land subsidence and its induced geological hazard with Synthetic Aperture Radar Interferometry: A case study in Morelia, Mexico. Remote Sens. Environ. 2012, 117, 146–161. [Google Scholar] [CrossRef]
- Liu, G.; Luo, X.; Chen, Q.; Huang, D.; Ding, X. Detecting land subsidence in Shanghai by PS-networking SAR interferometry. Sensors 2008, 8, 4725–4741. [Google Scholar] [CrossRef]
- Aobpaet, A.; Cuenca, M.C.; Hooper, A.; Trisirisatayawong, I. InSAR time-series analysis of land subsidence in Bangkok, Thailand. Int. J. Remote Sens. 2013, 34, 2969–2982. [Google Scholar] [CrossRef]
- Dinh Ho Tong, M.; Le Van, T.; Thuy Le, T. Mapping Ground Subsidence Phenomena in Ho Chi Minh City through the Radar Interferometry Technique Using ALOS PALSAR Data. Remote Sens. 2015, 7, 8543–8562. [Google Scholar] [CrossRef]
- Shastri, A.; Sreejith, K.M.; Rose, M.S.; Agrawal, R.; Sunil, P.S.; Sunda, S.; Chaudhary, B.S. Two decades of land subsidence in Kolkata, India revealed by InSAR and GPS measurements: Implications for groundwater management and seismic hazard assessment. Nat. Hazards 2023, 118, 2593–2607. [Google Scholar] [CrossRef]
- Khan, N.S.; Xie, S.R. Accelerated Land Subsidence and Complex Temporal Variations in Newly Developed Areas in Dhaka, Bangladesh, Observed by InSAR. IEEE Geosci. Remote Sens. Lett. 2025, 22, 3001305. [Google Scholar] [CrossRef]
- Moradi, A.; Emadodin, S.; Beitollahi, A.; Abdolazimi, H.; Ghods, B. Assessments of land subsidence in Tehran metropolitan, Iran, using Sentinel-1A InSAR. Environ. Earth Sci. 2023, 82, 569. [Google Scholar] [CrossRef]
- Lu, Z.; Mann, D.; Freymueller, J.T.; Meyer, D.J. Synthetic aperture radar interferometry of Okmok volcano, Alaska: Radar observations. J. Geophys. Res.-Solid Earth 2000, 105, 10791–10806. [Google Scholar] [CrossRef]
- En, J.; Mingfei, W.; Xiang, Z. Deformation monitoring approach of Shanghai Yangtze River Bridge based on PSInSAR. Jiangsu Sci. Technol. Inf. 2022, 39, 46–49. [Google Scholar]
- Yue, J.; Fang, L. Research Advances of Monitoring and Controlling Technology for Urban Land Subsidence. Bull. Surv. Mapp. 2008, 3, 1–4. [Google Scholar]
- Chaussard, E.; Wdowinski, S.; Cabral-Cano, E.; Amelung, F. Land subsidence in central Mexico detected by ALOS InSAR time-series. Remote Sens. Environ. 2014, 140, 94–106. [Google Scholar] [CrossRef]
- Dang, V.K.; Doubre, C.; Weber, C.; Gourmelen, N.; Masson, F. Recent land subsidence caused by the rapid urban development in the Hanoi region (Vietnam) using ALOS InSAR data. Nat. Hazards Earth Syst. Sci. 2014, 14, 657–674. [Google Scholar] [CrossRef]
- Dong, S.C.; Samsonov, S.; Yin, H.W.; Ye, S.J.; Cao, Y.R. Time-series analysis of subsidence associated with rapid urbanization in Shanghai, China measured with SBAS InSAR method. Environ. Earth Sci. 2014, 72, 677–691. [Google Scholar] [CrossRef]
- Wang, B.H.; Zhao, C.Y.; Zhang, Q.; Lu, Z.; Pepe, A. Long-Term Continuously Updated Deformation Time Series From Multisensor InSAR in Xi’an, China From 2007 to 2021. IEEE J. Sel. Top. Appl. Earth Obs. Remote Sens. 2021, 14, 7297–7309. [Google Scholar] [CrossRef]
- Hu, L.Y.; Dai, K.; Xing, C.Q.; Li, Z.H.; Tomás, R.; Clark, B.; Shi, X.L.; Chen, M.; Zhang, R.; Qiu, Q.; et al. Land subsidence in Beijing and its relationship with geological faults revealed by Sentinel-1 InSAR observations. Int. J. Appl. Earth Obs. Geoinf. 2019, 82, 101886. [Google Scholar] [CrossRef]
- Zhang, S.; Zhang, X.C.; Pei, X.J.; Wang, S.Y.; Huang, R.Q.; Xu, Q.; Wang, Z.L. Model test study on the hydrological mechanisms and early warning thresholds for loess fill slope failure induced by rainfall. Eng. Geol. 2019, 258, 105135. [Google Scholar] [CrossRef]
- Xiong, S.; Wang, C.; Qin, X.; Zhang, B.; Li, Q. Time-Series Analysis on Persistent Scatter-Interferometric Synthetic Aperture Radar (PS-InSAR) Derived Displacements of the Hong Kong–Zhuhai–Macao Bridge (HZMB) from Sentinel-1A Observations. Remote Sens. 2021, 13, 546. [Google Scholar] [CrossRef]
- Mandalay City Development Committee for the Asian Development Bank. Mandalay Urban Services Improvement Project: Initial Environmental Examination. 2015. Available online: https://www.adb.org/projects/47127-002/main (accessed on 16 October 2025).
- Asian Development Bank. Urban Development and Water Sector Assessment, Strategy, and Roadmap: Myanmar. 2018. Available online: https://www.adb.org/publications/myanmar-urban-development-water-strategy-roadmap (accessed on 16 October 2025).
- Mirmazloumi, S.M.; Wassie, Y.; Navarro, J.A.; Palama, R.; Krishnakumar, V.; Barra, A.; Cuevas-Gonzalez, M.; Crosetto, M.; Monserrat, O. Classification of ground deformation using sentinel-1 persistent scatterer interferometry time series. Giscience Remote Sens. 2022, 59, 374–392. [Google Scholar] [CrossRef]
- Fawaz, H.I.; Forestier, G.; Weber, J.; Idoumghar, L.; Muller, P.-A. Deep learning for time series classification: A review. Data Min. Knowl. Discov. 2019, 33, 917–963. [Google Scholar] [CrossRef]
- Cigna, F.; Del Ventisette, C.; Liguori, V.; Casagli, N. Advanced radar-interpretation of InSAR time series for mapping and characterization of geological processes. Nat. Hazards Earth Syst. Sci. 2011, 11, 865–881. [Google Scholar] [CrossRef]
- Berti, M.; Corsini, A.; Franceschini, S.; Iannacone, J.P. Automated classification of Persistent Scatterers Interferometry time series. Nat. Hazards Earth Syst. Sci. 2013, 13, 1945–1958. [Google Scholar] [CrossRef]
- Farias, C.A.; Sanchez, M.L.; Boni, R.; Cigna, F. Statistical and Independent Component Analysis of Sentinel-1 InSAR Time Series to Assess Land Subsidence Trends. Remote Sens. 2024, 16, 4066. [Google Scholar] [CrossRef]
- Mohammad Mirmazloumi, S.; Gambin, A.F.; Palama, R.; Crosetto, M.; Wassie, Y.; Navarro, J.A.; Barra, A.; Monserrat, O. Supervised Machine Learning Algorithms for Ground Motion Time Series Classification from InSAR Data. Remote Sens. 2022, 14, 3821. [Google Scholar] [CrossRef]
- Arya Fakhri, S.; Satari, M. Trend Change Point Detection in InSAR Derived Displacement Time Series Using MALkCNN: A Deep Learning Approach. Pfg-J. Photogramm. Remote Sens. Geoinf. Sci. 2025, 93, 335–350. [Google Scholar] [CrossRef]
- Yang, M.; Li, S.; Yu, H. A Transfer Learning Approach for Deformation Pattern Recognition in InSAR Time Series. IEEE Trans. Geosci. Remote Sens. 2025, 63, 5205616. [Google Scholar] [CrossRef]
- Festa, D.; Novellino, A.; Hussain, E.; Bateson, L.; Casagli, N.; Confuorto, P.; Del Soldato, M.; Raspini, F. Unsupervised detection of InSAR time series patterns based on PCA and K-means clustering. Int. J. Appl. Earth Obs. Geoinf. 2023, 118, 103276. [Google Scholar] [CrossRef]
- Rygus, M.; Novellino, A.; Hussain, E.; Syafiudin, F.; Andreas, H.; Meisina, C. A Clustering Approach for the Analysis of InSAR Time Series: Application to the Bandung Basin (Indonesia). Remote Sens. 2023, 15, 3776. [Google Scholar] [CrossRef]
- Guo, C.; Su, M. Spectral clustering method based on independent component analysis for time series. Syst. Eng.-Theory Pract. 2011, 31, 1921–1931. [Google Scholar]
- Weng, X.; Shen, J. Classification of multivariate time series using two-dimensional singular value decomposition. Knowl.-Based Syst. 2008, 21, 535–539. [Google Scholar] [CrossRef]
- Keogh, E.J.; Pazzani, M.J. An enhanced representation of time series which allows fast and accurate classification, clustering and relevance feedback. In Proceedings of the Fourth International Conference on Knowledge Discovery and Data Mining, New York, NY, USA, 27–31 August 1998. [Google Scholar]
- Hautamaki, V.; Nykanen, P.; Franti, P. Time-series Clustering by Approximate Prototypes. In Proceedings of the 19th International Conference on Pattern Recognition (ICPR 2008), Tampa, FL, USA, 8–11 December 2008; pp. 644–647. [Google Scholar]
- Li, H.; Wei, M. Fuzzy clustering based on feature weights for multivariate time series. Knowl.-Based Syst. 2020, 197, 105907. [Google Scholar] [CrossRef]
- Li, H.; Zhang, L. Summary of Clustering Research in Time Series Data Mining. J. Univ. Electron. Sci. Technol. China 2022, 51, 416–424. [Google Scholar]
- Farias, C.A.; Lenardon, M.; Boni, R.; Cigna, F. Characterization of land subsidence in Ravenna using Sentinel-1 InSAR and geostatistics. In Proceedings of the 2024 Congress of Argentina, San Nicolas de los Arroyos, Argentina, 18–20 September 2024. [Google Scholar]
- Li, H. Time works well: Dynamic time warping based on time weighting for time series data mining. Inf. Sci. 2021, 547, 592–608. [Google Scholar] [CrossRef]
- Li, H.; Liang, Y.; Wang, S. Review on dynamic time warping in time series data mining. Control Decis. 2018, 33, 1345–1353. [Google Scholar]
- Petitjean, F.; Forestier, G.; Webb, G.I.; Nicholson, A.E.; Chen, Y.; Keogh, E. Dynamic Time Warping Averaging of Time Series allows Faster and more Accurate Classification. In Proceedings of the 14th IEEE International Conference on Data Mining (IEEE ICDM), Shenzhen, China, 14–17 December 2014. [Google Scholar]
- Lin, Q.; Wang, Z.; Yuan, J.; Zhang, W. Trend information for time series classification. J. Univ. Sci. Technol. China 2019, 49, 138–148. [Google Scholar]
- Kim, Y. Mandalay, Myanmar: The remaking of a South-east Asian hub in a country at the crossroads. Cities 2018, 72, 274–286. [Google Scholar] [CrossRef]
- Hussain, S.; Pan, B.; Hussain, W.; Ali, M.; Sajjad, M.M.; Afzal, Z.; Tariq, A. Analyzing coseismic displacement of the M7.7 Myanmar earthquake on march 28, 2025, using Sentinel-1 InSAR data. Structures 2025, 80, 109718. [Google Scholar] [CrossRef]
- Win, K.Z.; Yabar, H.; Mizunoya, T. Analysis of Household Waste Generation and Composition in Mandalay: Urban–Rural Comparison and Implications for Optimizing Waste Management Facilities. Waste 2024, 2, 490–509. [Google Scholar] [CrossRef]
- The 2014 Myanmar Population and Housing Census. 2014. Available online: https://www.dop.gov.mm/en/publication/myanmar-census-atlas (accessed on 20 October 2025).
- Gong, P.; Li, X.C.; Wang, J.; Bai, Y.Q.; Cheng, B.; Hu, T.Y.; Liu, X.P.; Xu, B.; Yang, J.; Zhang, W.; et al. Annual maps of global artificial impervious area (GAIA) between 1985 and 2018. Remote Sens. Environ. 2020, 236, 111510. [Google Scholar] [CrossRef]
- Li, X.C.; Gong, P.; Zhou, Y.Y.; Wang, J.; Bai, Y.Q.; Chen, B.; Hu, T.Y.; Xiao, Y.X.; Xu, B.; Yang, J.; et al. Mapping global urban boundaries from the global artificial impervious area (GAIA) data. Environ. Res. Lett. 2020, 15, 11. [Google Scholar] [CrossRef]
- Yu, C.; Penna, N.T.; Li, Z.H. Generation of real-time mode high-resolution water vapor fields from GPS observations. J. Geophys. Res.-Atmos. 2017, 122, 2008–2025. [Google Scholar] [CrossRef]
- Yu, C.; Li, Z.H.; Penna, N.T. Interferometric synthetic aperture radar atmospheric correction using a GPS-based iterative tropospheric decomposition model. Remote Sens. Environ. 2018, 204, 109–121. [Google Scholar] [CrossRef]
- Yu, C.; Li, Z.H.; Penna, N.T.; Crippa, P. Generic Atmospheric Correction Model for Interferometric Synthetic Aperture Radar Observations. J. Geophys. Res.-Solid Earth 2018, 123, 9202–9222. [Google Scholar] [CrossRef]
- Mugabushaka, A.; Li, Z.; Zhang, X.; Song, C.; Han, B.; Chen, B.; Liu, Z.; Chen, Y. Mapping Surface Deformation in Rwanda and Neighboring Areas Using SBAS-InSAR. Remote Sens. 2024, 16, 4456. [Google Scholar] [CrossRef]
- Yu, Z.; Zhang, G.; Huang, G.; Cheng, C.; Zhang, Z.; Zhang, C. SSBAS-InSAR: A Spatially Constrained Small Baseline Subset InSAR Technique for Refined Time-Series Deformation Monitoring. Remote Sens. 2024, 16, 3515. [Google Scholar] [CrossRef]
- Liu, H.; Yuan, M.; Li, M.; Li, B.; Zhang, H.; Wang, J. An Efficient and Fully Refined Deformation Extraction Method for Deriving Mining-Induced Subsidence by the Joint of Probability Integral Method and SBAS-InSAR. IEEE Trans. Geosci. Remote Sens. 2023, 61, 5208717. [Google Scholar] [CrossRef]
- Berardino, P.; Fornaro, G.; Lanari, R.; Sansosti, E. A new algorithm for surface deformation monitoring based on small baseline differential SAR interferograms. IEEE Trans. Geosci. Remote Sens. 2002, 40, 2375–2383. [Google Scholar] [CrossRef]
- Lanari, R.; Mora, O.; Manunta, M.; Mallorquí, J.J.; Berardino, P.; Sansosti, E. A small-baseline approach for investigating deformations on full-resolution differential SAR interferograms. IEEE Trans. Geosci. Remote Sens. 2004, 42, 1377–1386. [Google Scholar] [CrossRef]
- Li, S.; Xu, W.; Li, Z.w. Review of the SBAS InSAR Time-series algorithms, applications, and challenges. Geod. Geodyn. 2021, 13, 114–126. [Google Scholar] [CrossRef]
- Bagnall, A.; Lines, J.; Bostrom, A.; Large, J.; Keogh, E. The great time series classification bake off: A review and experimental evaluation of recent algorithmic advances. Data Min. Knowl. Discov. 2017, 31, 606–660. [Google Scholar] [CrossRef]
- Ratanamahatana, C.A.; Lin, J.; Gunopulos, D.; Keogh, E.; Vlachos, M.; Das, G. Mining Time Series Data. In Data Mining and Knowledge Discovery Handbook; Maimon, O., Rokach, L., Eds.; Springer: Boston, MA, USA, 2010; pp. 1049–1077. [Google Scholar]
- Gorecki, T. Using derivatives in a longest common subsequence dissimilarity measure for time series classification. Pattern Recognit. Lett. 2014, 45, 99–105. [Google Scholar] [CrossRef]
- Mcquitty, L.L. Elementary Linkage Analysis for Isolating Orthogonal and Oblique Types and Typal Relevancies. Educ. Psychol. Meas. 1957, 17, 207–229. [Google Scholar] [CrossRef]
- Ackermann, M.R.; Blömer, J.; Kuntze, D.; Sohler, C. Analysis of Agglomerative Clustering. Algorithmica 2014, 69, 184–215. [Google Scholar] [CrossRef]
- Ding, Q.; Shao, Z.F.; Huang, X.; Altan, O.; Zhuang, Q.W.; Hu, B. Monitoring, analyzing and predicting urban surface subsidence: A case study of Wuhan City, China. Int. J. Appl. Earth Obs. Geoinf. 2021, 102, 102422. [Google Scholar] [CrossRef]
- Ebmeier, S.K. Application of independent component analysis to multitemporal InSAR data with volcanic case studies. J. Geophys. Res.-Solid Earth 2016, 121, 8970–8986. [Google Scholar] [CrossRef]
- Li, J.; Wang, J.; Zhang, J.; Liu, C.; He, S.; Liu, L. Growing-season vegetation coverage patterns and driving factors in the China-Myanmar Economic Corridor based on Google Earth Engine and geographic detector. Ecol. Indic. 2022, 136, 108620. [Google Scholar] [CrossRef]
- van der Horst, T.; Rutten, M.M.; van de Giesen, N.C.; Hanssen, R.F. Monitoring land subsidence in Yangon, Myanmar using Sentinel-1 persistent scatterer interferometry and assessment of driving mechanisms. Remote Sens. Environ. 2018, 217, 101–110. [Google Scholar] [CrossRef]
- Nandar, Y. Ground Response Analysis and site characterization of Mandalay City. In Proceedings of the Myanmar Engineering Society Annual General Meeting and 13th Annual Seminar on Research and Engineering, Yangon, Myanmar, 19–20 January 2018. [Google Scholar]
- International Water Management Institute, AquaRock Konsultants. SOBA 2.1 Groundwater Resources Use Baseline Report. 2017. Available online: https://themimu.info/node/72752 (accessed on 16 October 2025).
- Mou, N.; Liu, Z.; Zheng, Y.; Makkonen, T.; Yang, T.; Zhang, L. Cycling in Tibet: An analysis of tourists’ spatiotemporal behavior and infrastructure. Tour. Manag. 2022, 88, 104418. [Google Scholar] [CrossRef]
- Antoine, S.L.; Shrestha, R.; Milliner, C.; Im, K.; Rollins, C.; Wang, K.; Chen, K.J.; Avouac, J.P. The 2025 Mw7.7 Mandalay, Myanmar, earthquake reveals a complex earthquake cycle with clustering and variable segmentation on the Sagaing Fault. Proc. Natl. Acad. Sci. USA 2025, 122, e2514378122. [Google Scholar] [CrossRef] [PubMed]
- Zheng, Y.; Zhao, Z.; Zeng, M.; Zhou, D.; Su, X.; Liu, D. Monitoring and Analysis of Surface Deformation in the Buzhaoba Open-Pit Mine Based on SBAS-InSAR Technology. Remote Sens. 2024, 16, 4177. [Google Scholar] [CrossRef]
- Nardò, S.; Ascione, A.; Mazzoli, S.; Terranova, C.; Vilardo, G. PS-InSAR data analysis: Pre-seismic ground deformation in the 2009 L’Aquila earthquake region. Boll. Geofis. Teor. Appl. 2020, 61, 41–56. [Google Scholar] [CrossRef]
- Sun, M.; Du, Y.; Liu, Q.; Feng, G.; Peng, X.; Liao, C. Understanding the Spatial-Temporal Characteristics of Land Subsidence in Shenzhen under Rapid Urbanization Based on MT-InSAR. IEEE J. Sel. Top. Appl. Earth Obs. Remote Sens. 2023, 16, 4153–4166. [Google Scholar] [CrossRef]
- Zhou, D.; Zuo, X.; Zhao, Z. Constructing a Large-Scale Urban Land Subsidence Prediction Method Based on Neural Network Algorithm from the Perspective of Multiple Factors. Remote Sens. 2022, 14, 1803. [Google Scholar] [CrossRef]















| Evaluation Index | Optimal Value Direction | Typical Range | Explanation |
|---|---|---|---|
| SSE | Smaller is better | Measures the total squared error between samples and their cluster centroids. | |
| MSE | Smaller | Represents the average squared distance from each sample to its cluster centroid. | |
| Xie-Beni Index | Smaller | A ratio of intra-cluster compactness to inter-cluster separation. | |
| CH Index | Larger | A ratio of inter-cluster dispersion to intra-cluster dispersion, adjusted for degrees of freedom. | |
| DB Index | Smaller | Based on the ratio of intra-cluster scatter to inter-cluster separation. | |
| Silhouette | Larger | Combines both “cohesion” and “separation.” |
| Cluster | Component | FFT Period (Days) | Dominant Freq (1/Day) | Correlation | Var Contribution (%) |
|---|---|---|---|---|---|
| Cluster 1 | IMF 1 | 37.12 | 0.03 | 0.07 | 8.33 |
| IMF 2 | 198 | 0.01 | 0.12 | 12.38 | |
| IMF 3 | 297 | 0 | 0.32 | 3.95 | |
| Residual | - | - | 0.90 | 93.47 | |
| Cluster 2 | IMF 1 | 49.5 | 0.02 | 0.31 | 8.61 |
| IMF 2 | 132 | 0.01 | 0.25 | 3.6 | |
| IMF 3 | 396 | 0 | 0.33 | 7.34 | |
| IMF 4 | 594 | 0 | 0.21 | 10.12 | |
| Residual | - | - | 0.82 | 73.82 | |
| Cluster 3 | IMF 1 | 108 | 0.01 | 0.20 | 0.15 |
| Residual | - | - | 1 | 98.63 | |
| Cluster 4 | IMF 1 | 39.6 | 0.03 | 0.04 | 0.34 |
| Residual | - | - | 1 | 99.84 |
| Method | SSE ↓ | MSE ↓ | XB Index ↓ | Calinski Harabasz ↑ | Davies Bouldin ↓ | Silhouette ↑ |
|---|---|---|---|---|---|---|
| DTLCS-AHC | 17,333.99 | 7.31 | 0.08 | 6220.34 | 0.57 | 0.64 |
| PCA-KMeans | 27,529.13 | 11.62 | 0.29 | 5439.24 | 0.81 | 0.52 |
| DTLCS-DBSCAN | 47,031.48 | 19.84 | 6.36 | 671.55 | 1.33 | 0.46 |
| DTLCS-HDBSCAN | 95,504.71 | 40.30 | 0.47 | 725.50 | 1.94 | 0.66 |
| DTLCS-OPTICS | 149,571.90 | 63.11 | 0.07 | 70.90 | 0.21 | 0.70 |
| DTLCS-KMedoids | 17,701.41 | 7.47 | 0.31 | 6074.86 | 0.76 | 0.44 |
Disclaimer/Publisher’s Note: The statements, opinions and data contained in all publications are solely those of the individual author(s) and contributor(s) and not of MDPI and/or the editor(s). MDPI and/or the editor(s) disclaim responsibility for any injury to people or property resulting from any ideas, methods, instructions or products referred to in the content. |
© 2025 by the authors. Licensee MDPI, Basel, Switzerland. This article is an open access article distributed under the terms and conditions of the Creative Commons Attribution (CC BY) license (https://creativecommons.org/licenses/by/4.0/).
Share and Cite
Qin, J.; Zhao, Z.; Zhou, D.; Yuan, M.; Liu, C.; Wei, X.; Myint, T.A. Unsupervised Clustering of InSAR Time-Series Deformation in Mandalay Region from 2022 to 2025 Using Dynamic Time Warping and Longest Common Subsequence. Remote Sens. 2025, 17, 3920. https://doi.org/10.3390/rs17233920
Qin J, Zhao Z, Zhou D, Yuan M, Liu C, Wei X, Myint TA. Unsupervised Clustering of InSAR Time-Series Deformation in Mandalay Region from 2022 to 2025 Using Dynamic Time Warping and Longest Common Subsequence. Remote Sensing. 2025; 17(23):3920. https://doi.org/10.3390/rs17233920
Chicago/Turabian StyleQin, Jingyi, Zhifang Zhao, Dingyi Zhou, Mengfan Yuan, Chaohai Liu, Xiaoyan Wei, and Tin Aung Myint. 2025. "Unsupervised Clustering of InSAR Time-Series Deformation in Mandalay Region from 2022 to 2025 Using Dynamic Time Warping and Longest Common Subsequence" Remote Sensing 17, no. 23: 3920. https://doi.org/10.3390/rs17233920
APA StyleQin, J., Zhao, Z., Zhou, D., Yuan, M., Liu, C., Wei, X., & Myint, T. A. (2025). Unsupervised Clustering of InSAR Time-Series Deformation in Mandalay Region from 2022 to 2025 Using Dynamic Time Warping and Longest Common Subsequence. Remote Sensing, 17(23), 3920. https://doi.org/10.3390/rs17233920
