Abstract
Los Angeles coastal waters are an ecologically important marine habitat and a famed recreational area for tourists. Constant surveillance is essential to ensure compliance with established health standards and to address the persistent water quality challenges in the region. Remotely sensed datasets are increasingly being applied toward improved detection of water quality by augmenting monitoring programs with spatially intensive and accessible data. This study evaluates the potential of satellite remote sensing to augment traditional monitoring by analyzing the relationship between in situ and satellite-derived turbidity data. Field measurements were performed from July 2021 to March 2024 to build synchronous matchup datasets consisting of satellite and field data. Correlation analysis indicated a positive relationship between satellite-derived and field-measured turbidity (R2 = 0.451). Machine learning models were assessed for predictive accuracy, with the random forest model achieving the highest performance (R2 = 0.632), indicating its robustness in modeling complex turbidity patterns. Seasonal trends revealed higher turbidity during wet months, likely due to stormwater runoff from the Ballona Creek watershed. Despite limitations from cloud cover and spatial resolution, the findings suggest that integrating satellite data with machine learning can enhance large-scale, efficient turbidity monitoring in coastal waters.
1. Introduction
Coastal areas are home to 40% of the world population, with an increasing trend [1]. Thus, large-scale and timely coastal water-quality monitoring is crucial for understanding global biogeochemical cycles and ensuring the ecological health of nearshore areas [2]. The coastal waters of Los Angeles hold significant ecological value and serve as a famous eco-tourism destination. However, this region is currently facing multiple environmental threats, including nearby wastewater treatment plants, urban runoff, and tourism [3], which raise concerns about coastal water quality [4,5]. Continuous monitoring of these waters to ensure they meet human health standards is therefore imperative. The Los Angeles coastal areas are heavily affected by waves and sand, making it harder to monitor compared with the offshore ocean side.
Traditional methods for coastal water-quality monitoring, such as fixed-site hydrological monitoring and oceanographic cruises, are time-consuming, expensive, and limited in capturing spatial and temporal variability [6,7]. Satellite remote sensing offers a promising enhancement to traditional water-quality monitoring, providing extensive coverage and the ability to assess large regions efficiently. Remote sensing techniques using aquatic color sensors have been applied to map ocean water quality by measuring the spectral responses of particles in water bodies to solar radiation since the 1970s [8,9,10]. These sensors offer comprehensive data on various water-quality parameters, including turbidity, total suspended matter, diffuse attenuation coefficient, temperature, chlorophyll, and colored dissolved organic matter [11,12,13,14,15].
Monitoring coastal turbidity is crucial due to its impact on marine ecosystems and human health. Traditional methods often miss rapid changes caused by natural and human activities, while satellite products are able to capture those due to frequent revisit times and wide coverage scale. Significant progress has been made in monitoring turbidity with remotely sensed data. Studies have shown a strong correlation between in situ turbidity and satellite-derived turbidity in locations such as the Alqueva reservoir in Portugal, Mokpo in Korea, Gironde in France, the Tyrrhenian Sea in Italy, lakes in northeast China, etc. [16,17,18,19,20]. Researchers have used Landsat and Sentinel imagery to study seasonal trends in Lake Panguipulli, finding strong agreement between satellite-derived and in situ data for surface water temperature, turbidity, and chlorophyll a [21]. Sentinel-2 data were utilized to monitor various water parameters, including turbidity and chlorophyll a, in the Sado estuary, confirming the satellite’s utility in highly dynamic systems [22]. These studies indicate that while satellite-derived algorithms can generally capture water-quality parameters, site-specific algorithms or regional calibrations may be essential for accurate readings due to variability in water characteristics. A UVA-based hyperspectral imager was employed to monitor turbidity plumes in the Singapore Strait, using machine learning models to capture the nonlinear relationship between water-leaving reflectance and turbidity levels [23]. These results suggest that Sentinel-2 is an effective tool for monitoring water quality in highly dynamic systems. Satellite remote sensing offers continuous, large-scale observations, enabling timely detection and analysis of turbidity patterns. This enhances the management and protection of coastal environments, ensuring sustainable marine resources and community health.
Although remote sensing is an effective tool for water-quality monitoring with temporal coherent data, it has inherent limitations. Specifically, it only captures the surface layers of the water columns and could be influenced by bottom reflectance in shallow waters. Furthermore, data accuracy might be affected during cloudy days. The accuracy of remote sensing data relies on validation and calibration using in situ measurements, which may not always be synchronized [1,24]. Semi-empirical algorithms are commonly applied to estimate turbidity by using band ratios of water reflectance data derived from satellites. Despite their generally strong performance, these models rely on specific reflectance ranges and turbidity levels, which often limits their validity and accuracy to the particular area and season in which they were developed. Coastal waters are typically harder to monitor because of their significant optical complexity compared to clear oceanic waters. Proper adjustments based on local water characteristics are usually needed when applying remote sensing techniques for coastal water-quality surveillance. Back in 2007, Ref. [25] had used MODIS as a tool to estimate the extent of polluted plumes in southern California, although achieving ideal accuracy in plume area estimation proved challenging. Ref. [5] focused on monitoring wastewater diversion plumes and stormwater plumes in the Southern California Bight using satellite products. However, these studies primarily concentrated on episodic events rather than continuous monitoring of Southern California coastal waters. Thus, continuous monitoring is indispensable for unraveling beach-specific dynamics and ensuring robust optical and bacteriological water-quality assessments [26].
While semi-empirical models are widely used to quantify the relationship between reflectance and optical water quality, nonparametric regression approaches, such as machine learning (ML), offer a promising alternative. ML techniques could help build a better algorithm and thus improve the performance of satellite products on monitoring coastal water quality. Integrating traditional water sampling methods with ML algorithms has demonstrated complementary strengths, resulting in more robust monitoring frameworks and more informed decision-making on coastal water quality. Several studies have combined machine learning with remote sensing tools to improve monitoring performance on water quality [27,28,29,30]. Ref. [19] applied ML models on turbidity estimation in the Tyrrhenian Sea, Italy, and their work shows that ML reached a good accuracy on the estimation from Sentinel-2 data.
This study explored the feasibility of using remote sensing techniques for coastal water-quality monitoring in Los Angeles. Our objectives were to assess the utility of Sentinel-2 MSI data as a complementary tool for elucidating trends of coastal water turbidity. We evaluated the predictive capabilities of various machine learning algorithms in the water-quality monitoring application. Moreover, we briefly discussed the spatial and temporal distribution characteristics of turbidity with turbidity maps from satellite images, showing the feasibility of using satellite products to catch changes and continuous monitoring. By addressing these objectives, this research aimed to contribute to the understanding and application of remote sensing techniques for coastal water-quality surveillance, with a focus on the Los Angeles region.
2. Materials and Methods
2.1. Study Area
Los Angeles (34°03′N, 118°15′W), the second most populous city in the United States, is situated in a Mediterranean climate zone, characterized by seasonal variations in rainfall, with dry summers, wet winters, and relatively mild temperature fluctuations, and it features an average annual precipitation of 380 mm [4,31]. The coordinates used in this study are based on the WGS 1984 coordinate system. The summer season experiences limited precipitation due to the northward migration of the prevailing high-pressure system over the Pacific Ocean, while most rainfall occurs during winter storms from November through March. The average temperature in the summer is 64 °F to 84 °F, and the average temperature in the winter is 48 °F to 68 °F.
Boasting an extensive 75-mile coastline, Los Angeles offers diverse beach environments encompassing sandy stretches, scenic coves, rugged cliffs, and rocky tide pools. The area is affected by the California Current System (CCS), a southward-flowing continuation of the Aleutian Current. The current transports cold, nutrient-rich waters from higher latitudes to the coastal regions of the state. This cold water helps moderate coastal water temperatures and carries oceanic moisture to the land, supporting the growth of forests and other vegetation, which makes it one of the most biologically productive marine environments in the world: The CCS accounts for over 20% of the world’s fishery catch despite only occupying about 1% of the global ocean area [32,33]. The current also keeps temperatures mild along the coast during the summer months.
Greater Los Angeles is the most populous metropolitan area in California, with a population of over 18.3 million, and beaches had around 70 million day visits in 2015. The marine ecosystem of the southern California coastal waters, notably Santa Monica Bay, faces significant impacts from the densely populated Los Angeles area, necessitating frequent and stringent monitoring of water-quality parameters (Figure 1).
Figure 1.
Map of study area and sampling sites (a) and an example of a true color image of the study area (b) obtained from Sentinel-2 MSI products (9 November 2020).
2.2. Field Water-Quality Data Collection
Coastal water from thirteen beaches around the Santa Monica Bay area was sampled in situ at knee depth (around 55 cm) from 2021 summer to 2024 winter synchronous with satellite overpassing time to build matchup datasets. The turbidity, pH, and surface water temperature were measured onsite to obtain the physical properties of the water. The samples were then transported back to the lab on ice within 2 h. Water conductivities were measured immediately after arrival with a multiparameter probe (HydroLab HL4, OTT HydroMeter, Loveland, CO 80539, USA). TSS was determined gravimetrically according to the standard guidelines [34] by weighing the dried residues after membrane filtration (glass microfiber, particle retention 1.5 μm, 47 mm diameter).
Notably, the matchup dataset was collected between 10:15 a.m. and 1:15 p.m., coinciding with the overpasses of the targeted satellites in the Los Angeles area. Field measurements of TSS and turbidity were collected, with in situ turbidity data used to construct a synchronous dataset corresponding to satellite-derived turbidity.
2.3. Satellite Image Acquisition
Sentinel-2A/B and Landsat 8-9 (L8-9) were used for monitoring water quality due to their high spatial resolution and open data access policy. Sentinel-2 (S2) is a high-resolution multi-spectral imaging mission comprising two polar-orbiting satellites, each equipped with a Multispectral Instrument (MSI). S2 has thirteen spectral bands with varying spatial resolutions that enable monitoring of vegetation, soil, land, forest, water quality, and coastal areas, with a revisit frequency of every 5 days. In comparison, L8-9 offer eleven spectral bands and an overall revisit cycle of 8 days.
To ensure relatively clear sky conditions during our sampling period, we screened all images from the L8-9 OLI and S2 MSI for clear skies when in situ data were available for the study area. Data were downloaded from the Copernicus Open Access Hub (https://scihub.copernicus.eu/ accessed on 20 October 2024) and the United States Geological Survey (USGS) Earth Explorer after filtering for satellite products with cloud coverage ≤ 60%.
For this study, we used the Level-1C top-of-atmosphere reflectance from Sentinel-2A/B and Landsat 8-9 OLI Collection Level-1 data, both of which underwent radiometric and geometric corrections, ensuring consistency in atmospheric correction procedures. For the Sentinel-2 and Landsat 8-9 datasets, a total of 30 and 7 scenes were initially considered for analysis, respectively. However, due to cloud cover and sun glint interference, only a subset of these scenes was used for turbidity extraction. A total number of 30 Sentinel-2 satellite images from 2018 to 2023 were processed for seasonal trend mapping.
2.3.1. Atmospheric Correction Methodologies
The dark spectrum fitting (DSF) algorithm for atmospheric correction, provided by ACOLITE (v20221114.0) from the Royal Belgian Institute of Natural Sciences, was used in this study. In this study, default masking for land and clouds in ACOLITE was applied, with the threshold for 1600 nm modified from 0.0215 to 0.05. This adjustment was made to avoid the removal of water pixels, as the default threshold can erroneously exclude pixels representing water due to the increased reflectance of water bodies in the infrared band [35,36]. The software outputs various parameters derived from water reflectance and is able to generate RGB composites and PNG maps [37,38,39]. Compared to other commonly used atmospheric correction algorithms, such as C2RCC, ACOLITE offers the advantage of not requiring external inputs, such as aerosol optical thickness, and demonstrates better performance for turbid water bodies, aligning well with the scope of our study.
2.3.2. Data Processing
The S2 and L8-9 imageries were processed using ACOLITE (https://github.com/acolite) to derive turbidity in Formazine Nephelometric Units (FNUs), applying the algorithm developed by [40] as follows:
where represents water reflectance at wavelength λ, and and are wavelength-dependent calibration coefficients. The red band (645 nm) is used when < 0.05, and the near-infrared band (859 nm) is used when > 0.07. A linear weighting function, with the algorithm weight varying linearly from 0 at = 0.05 to 1 at = 0.07, is used when 0.05 < 0.07 to ensure a smooth transition, as shown below:
For this study, the red band and NIR band wavelengths were adjusted to 663 and 842 nm, respectively, to apply the algorithm to S2 and L8-9.
To account for the dynamic nature of water, the mean turbidity for each grid was extracted from a 5 × 5 pixel window using Python 3.9 [41,42]. Final water-quality products were at 10 m pixel size for S2 and 30 m pixel size for L8-9. A scheme of the study is shown below (Figure 2).
Figure 2.
Proposed scheme of study.
2.4. Statistical Analysis
Statistical analyses were performed to help elucidate relationships between satellite-retrieved water-quality data and in situ sample data to inform the use of remotely sensed data in supplement water-quality monitoring programs. However, it is crucial to notice that these relationships may vary depending on factors such as geographic location, urbanization levels, and season in which sampling is conducted. Therefore, calibration of these relationships is necessary for the specific region under study. Given the inherent variability and uncertainties associated with water-quality indicators, the development of robust supplementary remote sensing tools may not be feasible for all ecoregions.
Simple linear regression was performed on the synchronous match-up dataset (in situ turbidity measurements with atmospheric-corrected turbidity products derived from ACOLITE), with the regression coefficients determined using the least-squares method. A variety of machine learning algorithms were trained with the Sentinel-2 turbidity matchup datasets to identify the best performing ML algorithm. Considering the characteristics of the dataset, the selected ML approaches included random forest regression (RF), gradient boosting (GB), support vector regression (SVR), ridge regression (RR), and, as a baseline for comparison, simple linear regression (SLR). However, the small size of the Sentinel-2 matchup dataset could lead to an over-fitting problem or could incompletely reveal the whole features of a dataset due to the insufficient information [43,44]. To enhance the generalization capability and predictive accuracy of these ML models, a Gaussian noise-based data augmentation technique was applied [45,46]. This augmentation generated synthetic datasets, which were subsequently combined with the original synchronous matchup data and randomly divided into training and test sets at a 9:1 ratio. A grid search approach combined with 5-fold cross-validation was employed for hyperparameter tuning to ensure robust optimization across machine learning models. Parameters optimized included the number of estimators, learning rate, maximum depth, regularization strength, kernel type, and kernel coefficient, varying by algorithm. All available input features were initially incorporated into the training process under the assumption that they contributed to predicting the target variable. These features were assumed to be relevant to the target variable. Statistical measures were used to assess the differences among the models in Python including mean absolute error (MAE), mean squared error (MSE), root mean square error (RMSE), and the coefficient of determination (R2).
Metrics are defined as follows:
where represents the number of samples, denotes the mean measured values, and and are the measured values and the estimated values, respectively.
3. Results
3.1. Result of In Situ Measurements
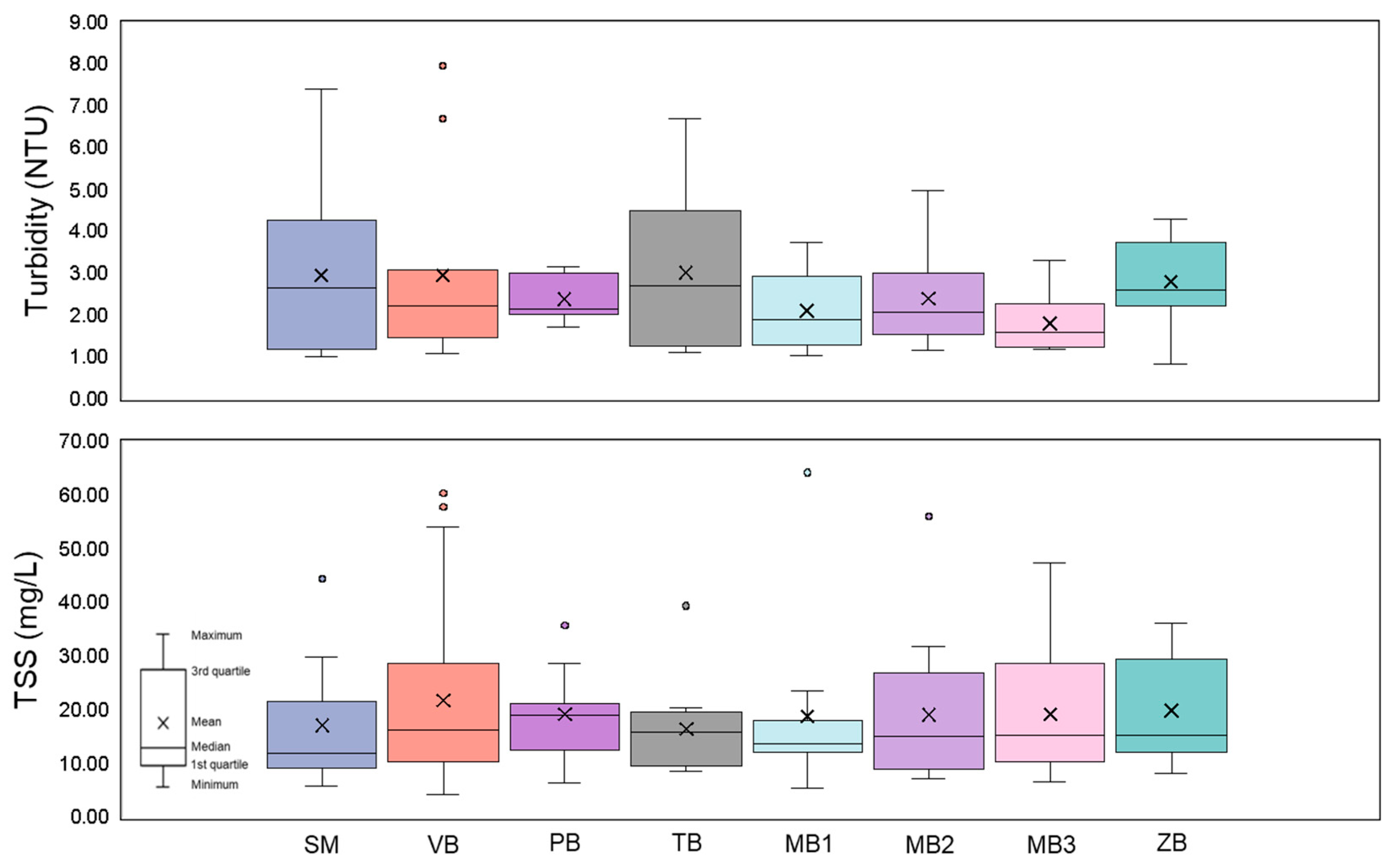
Coastal water samples from thirteen beaches in the Los Angeles area were collected and analyzed in this study. The results revealed that there was no strong, statistically significant correlation between the in situ measurements of turbidity and TSS values across the study sites. However, certain beaches exhibited notable patterns. For instance, Venice Beach showed high variability in both turbidity and TSS concentrations (Figure 3), suggesting that this site might be influenced by fluctuating environmental factors, such as wave action, human activity, or runoff, which could have contributed to the inconsistency in these parameters. When looking at the average turbidity values, most of the sampling locations had relatively consistent levels, except for Malibu 3, which stood out with the lowest average turbidity recorded among all the sites. The three Malibu beaches (Malibu 1, Malibu 2, and Malibu 3) exhibited moderate TSS levels overall. Although both Malibu 1 and Malibu 2 had higher turbidity values than Malibu 3, their TSS concentrations remained fairly similar, averaging around 19 mg/L. This suggests that the higher turbidity observed at Malibu 1 and 2 may not necessarily translate to increased suspended solids, hinting at the presence of finer particles or organic matter that contribute to turbidity without significantly affecting TSS concentrations [47,48].
Figure 3.
Comparison of in situ turbidity and TSS for different study sites.
While the long-term averages showed minimal differences of TSS across the sampling sites, individual day measurements revealed greater variability. For example, on 14 March 2022, a distinct pattern emerged, with SM and ZB exhibiting the highest TSS concentrations, at 28.33 mg/L and 32.89 mg/L, respectively (Figure S1). In contrast, Venice Beach (VB) and the two Malibu sites (MB2 and MB3) showed relatively lower TSS levels on that same day. This suggests that daily fluctuations in environmental conditions, such as tidal cycles, weather, or localized disturbances, can significantly influence TSS concentrations at individual beaches, even when long-term averages do not reveal major differences [49]. This variability underscores the dynamic nature of TSS distribution and highlights how a temporal average may obscure important site-specific fluctuations.
3.2. Analysis and Validation of Satellite Data
3.2.1. Simple Linear Regression
In situ measurements were conducted concurrently with satellite overpass days. To efficiently compare satellite-derived turbidity with in situ turbidity, it is essential to use satellite optical data with sufficient spatial resolution. L8-9 and S2 were chosen, and ACOLITE was used to derive the corresponding data from satellite images. Sentinel-2, with its shorter revisit time and higher spatial resolution, offers greater opportunities for high-quality data acquisition and more frequent match-up days, making it the primary focus of our modeling efforts. The inclusion of Landsat 8-9 serves as a useful basis for comparison and complements the analysis. Due to cloud coverage, part of the synchronous satellite imagery could not be used. By applying the ACOLITE algorithms on the satellite products, we were able to compare the results with field turbidity data at specific coordinates. The spectral signatures at various wavelengths from double overpasses of Sentinel-2 and Landsat 8-9 were analyzed to evaluate the consistency between the two datasets and to assess the effectiveness of the atmospheric correction process (Figure S3). The semi-analytical single-band turbidity algorithm developed by [40] was used to determine quantitative turbidity values, as shown in Equation (2).
From our results, simple linear regression (SLR) of in situ turbidity showed a strong correlation with Landsat 8-9-derived turbidity data (n = 7, r = 0.94, p > 0.05). However, due to the long revisit time and clouds, there were no ample match-up data, and the correlation was statistically insignificant. For Sentinel-2 match-up datasets, SLR also presented a positive correlation with Pearson’s coefficient of 0.67 (n = 56, p < 0.001), as shown in Figure 4, where the Sentinel-2 turbidity values (x-axis), calculated using Equation (2), are plotted against the corresponding in situ turbidity measurements (y-axis). The results showed evidence of directly applying remote sensing tools to complex coastal water-quality monitoring. Based on the performance of the model, the empirical algorithm to estimate the turbidity level was developed as follows:
where and represent the actual turbidity for targeted coastal area and turbidity values retrieved from Sentinel 2 imageries, respectively. This equation was derived using a simple linear regression model applied to the match-up data, with the regression coefficients calculated via the least-squares method, resulting in a slope of 1.25 and an intercept of −1.91. However, the relatively low R2 for Sentinel-2 vs. in situ turbidity illustrates that the SLR modeling is not accurate enough. Machine learning was applied to further validate the possibility of utilizing remote sensing tools as a supplement tool for coastal water-quality monitoring.
Figure 4.
Comparison of field turbidity concentrations and retrieved concentrations of Sentinel-2 A/B (n = 56).
3.2.2. Machine Learning Algorithm Development and Validation
A variety of machine learning algorithms were trained with the Sentinel-2 matchup datasets to identify the best performing ML algorithm. The machine learning approaches evaluated in this study include random forest, gradient boosting, support vector regression, ridge regression, and, for comparison, linear regression. Given the relatively small size of the Sentinel-2 matchup dataset, there is a risk of overfitting, which may hinder the generalization of the models. To mitigate this issue and improve both generalization and prediction accuracy, we applied a Gaussian noise-based data augmentation method to our current dataset and generated 168 virtual datasets [46]. This augmentation technique helps diversify the dataset, enhancing the model’s ability to generalize across a broader range of conditions. To ensure comparability among the algorithms applied, the training and test data of each algorithm involved were consistent. SLR was included for a more direct comparison of machine learning’s effectiveness in turbidity prediction.
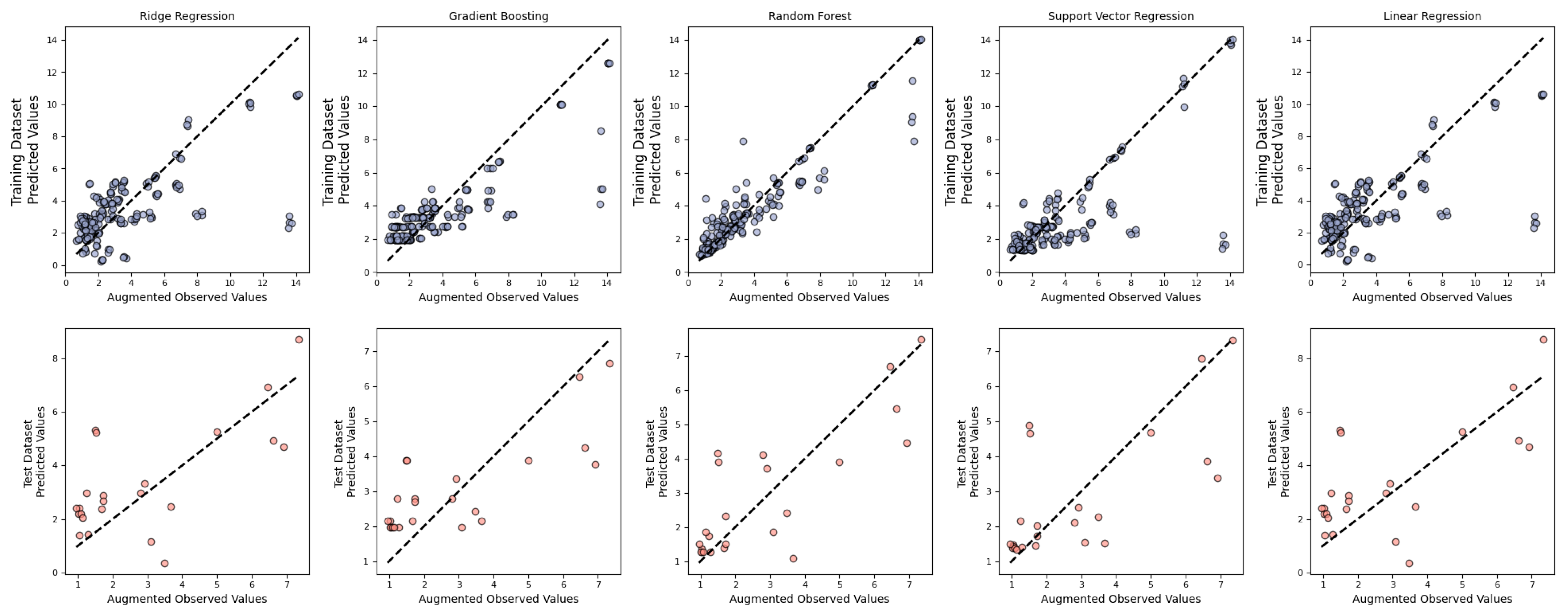
The performance of each model is shown in Figure 5, with detailed statistics provided in Table 1. These statistics provide an overview of the performance of each ML algorithm on the training and test datasets. Among the models, RF showed the strongest performance on both datasets, with an MSE of 1.632 NTU, an MAE of 0.944 NTU, and an R2 of 0.632 on the test dataset. This indicates the robustness and adaptability of random forest model for in situ turbidity estimation, outperforming other algorithms across all evaluation metrics. The random forest algorithm likely performed best due to its ensemble approach, which involves creating multiple decision trees and averaging their results. This process inherently reduces the variance often associated with individual decision trees, making RF less prone to overfitting even with a relatively small dataset. Additionally, RF can capture complex, nonlinear relationships between in situ and satellite-derived turbidity values, which may be critical given the variability in water-quality indicators. Unlike models like linear regression that assume a linear relationship, RF does not make strict assumptions about the form of the relationship, allowing it to model the complex interactions more effectively. Furthermore, RF is inherently robust to noise, which is beneficial given that remote sensing datasets often contain some level of measurement noise. Its capacity to handle such noise, combined with our data augmentation approach, likely contributed to its superior performance across all metrics. GBR, with an MSE of 1.9 NTU, an MAE of 1.134 NTU, and an R2 of 0.571, also demonstrated strong performance but tended to underestimate high turbidity values, likely due to fewer data points at these higher turbidity levels. SVR performed moderately, with an MSE of 2.294 NTU, an MAE of 1.009 NTU, and an R2 of 0.482 on the test dataset. SVR’s performance was hindered by slightly higher errors and lower R2, suggesting that its kernel-based approach might not fully capture the variability in turbidity levels without further tuning or data preprocessing [50]. RR and SLR yielded similar results, with RR showing only marginal improvement over SLR, suggesting limited benefit from regularization for this dataset.
Figure 5.
Performance evaluation of turbidity retrievals using five machine learning algorithms.
Table 1.
Training and validation statistics for machine learning algorithms.
Overall, the ML models have a stronger ability to describe the relationship between in situ coastal water turbidity and satellite-derived turbidity compared with linear regression models. The random forest model performed well in terms of all metrics, indicating its robustness and suitability for a wide range of applications for coastal water turbidity monitoring. These results align with the findings of prior research [51]. Ref. [18] applied a few different ML models to build correlation between field data and Sentinel-2-observed turbidity values, focusing on inland lakes and reservoirs in Northeast China, and identified RF as one of the reliable models for water turbidity variation. The outcomes underscore the importance of choosing an appropriate ML algorithm based on specific application requirements, such as accuracy or minimizing error percentage. Future research could focus on exploring alternative ML techniques or incorporating additional environmental variables to further enhance turbidity estimation accuracy.
3.3. Spatiotemporal Variation in Water Turbidity and the Impact of Precipitation
Sentinel-2 satellite images were employed to investigate the spatiotemporal variability in water turbidity in coastal areas, specifically focusing on the Ballona Creek outlet and surrounding areas. The Ballona Creek watershed, one of the most heavily urbanized regions in Southern California, is characterized by approximately 85% of its area being developed, with 61% covered by impervious surfaces. Hydrological alterations initiated in 1935 and completed by 1950, including the channelization of Ballona Creek and its tributaries, resulted in the construction of concrete-lined waterways. These infrastructural modifications have significantly influenced stormwater transport dynamics, directing urban runoff from the upper watershed through storm drains and into the creek, which ultimately discharges into Santa Monica Bay [52].
To examine seasonal differences, satellite images were analyzed for March (n = 14) and September (n = 12) over a six-year period from 2018 to 2023. These months were selected to represent the wet and dry seasons in Los Angeles, driven by the region’s specific precipitation patterns. To ensure consistency with previous studies on comparing the spatiotemporal patterns of monthly water turbidity, the mean was used, as it is a common metric in analogous seasonal analyses of water-quality parameters [22,53,54,55]. The analysis of the satellite data enabled the calculation of average turbidity levels for each period, which are illustrated in Figure 6.
Figure 6.
Seasonal variation in turbidity levels near Ballona Creek outflow in Santa Monica Bay (March vs. September, 2018–2023). Please note that bottom noise was not considered in this study.
As shown in Figure 6, the turbidity near the Ballona Creek estuary presented notable seasonal variation, with significantly elevated turbidity levels during the wet season (March) compared to the dry season (September). This suggests that turbidity fluctuations are more pronounced during the wet season, likely due to increased stormwater runoff triggered by higher precipitation. Rainfall events introduce substantial volumes of runoff containing suspended particulates, which are transported from the watershed to coastal waters, thereby raising turbidity levels. Annual rainfall in the Ballona Creek watershed ranges from 340 mm to 530 mm, with the majority of precipitation occurring between January and March. The hydrological contrast between these months is evident, as March experiences an average flow of 90 cfs (cubic feet per second) in the creek, compared to just 25 cfs in September. This seasonal disparity in flow is a key factor driving the observed differences in turbidity levels, as the increased discharge during the wet season delivers greater loading of suspended solids to coastal environments, and thus causes higher turbidity values. Other studies also suggest that stormwater inputs, particularly during major storm events, play a crucial role in the observed elevation of coastal turbidity levels [56,57].
To further understand the storm event impact, we examined the impact of specific storm events on turbidity levels along the coast (Figure 7). A significant rainfall event occurred between 4 February and 6 February 2024, with a total precipitation of 5.42 inches. Sentinel-2 satellite images captured six days after the event revealed persistently elevated turbidity levels along the coast, despite the temporal delay. This suggests that stormwater runoff had a lasting effect on coastal water quality. Research has shown that water quality, particularly turbidity, could be significantly impacted within days following precipitation, as runoff from urban areas increases sediment load in water bodies [58]. Peak flow in Ballona Creek during the first storm reached nearly 19,000 cfs on 4 February. The significant water discharge during the first storm likely contributed to the diffusion of turbidity from nearshore areas to further offshore regions. A subsequent storm event from 19 February to 20 February 2024, which produced 1.61 inches of rainfall, also caused substantial turbidity increases. The second storm recorded a lower peak flow of 6656 cfs. Satellite images taken two days after this event showed that the elevated turbidity extended further offshore, indicating that rainfall events can have significant impacts on water clarity, extending into deeper oceanic regions. In both after-rainfall satellite images, nearshore turbidity exhibits more rapid changes, likely due to the combined effects of stormwater runoff from the estuary and other coastal dynamics. In Figure 7a, areas of high turbidity (represented in red) appear diffusely along the coastline without a distinct origin point. In contrast, Figure 7b shows high turbidity areas originating from the outlet of Ballona Creek, with elevated turbidity values spreading along the coastline and extending farther offshore into deeper waters. These patterns are further influenced by factors such as shallow water depth, waves, tides, and the proximity to sediment sources, all of which contribute to the rapid variability in nearshore turbidity [59,60].
Figure 7.
Turbidity patterns following before (a), after 1 (b), and after 2 (c) storm events in February 2024, illustrating the lasting impact of stormwater runoff on coastal waters.
Additionally, wind conditions played a crucial role in turbidity transport. During the first storm, wind speeds reached 35 mph on 4 February and 25 mph on 5 February, with predominantly eastward winds facilitating the offshore spread of turbidity. The second storm event featured less intense winds, with average speeds of 28 mph on 19 February and 18 mph on 20 February, accompanied by eastward and southeastward wind directions. However, the satellite image for this event was captured closer to the precipitation date, showing more pronounced turbidity diffusion compared to the first storm. This suggests that both storm intensity and the timing of observation relative to the rainfall event influence the spatial extent of turbidity transport.
Beyond storm and wind effects, turbidity diffusion in the region may also be influenced by the California Current System (CCS). The CCS includes geostrophic flow, Ekman transport, and eddy activity, which drive offshore transport of surface waters. Coastal jets and upwelling processes, characterized by the replacement of surface waters with nutrient-rich undercurrent waters, occur year-round [61,62,63]. These oceanographic dynamics further contribute to the observed turbidity patterns along the California coast.
These findings highlight the significant role that stormwater runoff plays in modulating turbidity levels, often exerting a larger influence than estuarine discharge alone. The high concentration of suspended particles introduced during storm events acts as a transport vector, spreading turbidity across coastal zones. Previous studies have similarly demonstrated that total annual rainfall is a key factor in determining regional turbidity patterns, further underscoring the importance of precipitation in coastal water-quality dynamics [64,65,66].
4. Discussion
Previous studies have primarily focused on developing empirical algorithms that link satellite remote sensing signals to turbidity levels [40,67,68,69,70]. While such models offer valuable insights, they often lack generalizability across different regions, as they are typically calibrated based on specific environmental conditions. Applying these empirical models to highly turbid estuarine regions may reduce their accuracy, as they may fail to capture the complex processes that dominate these environments. Therefore, caution is needed when applying remote sensing algorithms in regions with significantly different turbidity conditions, as the performance of these models may diminish in environments that deviate from the conditions under which they were originally calibrated.
This study presents the potential of remote sensing, especially Sentinel-2, in effective turbidity management for dynamic urban coastal environments such as Los Angeles. Remote sensing allows for improved spatial–temporal monitoring that could capture seasonal and storm-related variations in turbidity, which might be difficult for traditional monitoring methods to catch. Incorporating machine learning models, such as random forests, with variables like precipitation, tides, and human activity may further enhance turbidity prediction and support proactive management strategies to protect coastal ecosystems and public health. Satellite data can also help stormwater management by identifying turbidity hotspots from a broader spatial aspect to guide interventions like sediment control and public health advisories.
However, there are some uncertainties that may affect the accuracy of the satellite-derived water turbidity estimations. The precision of these estimates depends significantly on atmospheric correction algorithms [29]. Any inaccuracies in these algorithms can lead to significant deviations in the final turbidity values. Temporal misalignments between satellite overpasses and field measurement times further complicate the calibration and validation processes [71]. Additionally, the 10 m spatial resolution used in this study also limits the detection of fine-scale turbidity variations, potentially overlooking localized dynamics in coastal and estuarine waters. The turbidity model developed in this research is specifically calibrated for the environmental conditions prevalent in the Los Angeles region. This region-specific calibration restricts the model’s applicability to other geographic areas with distinct hydrological and atmospheric characteristics. As a result, the generalizability of the model to other coastal or estuarine systems with varying environmental conditions is limited. The machine learning algorithms employed in this study to estimate turbidity rely on predefined assumptions and parameterizations. The performance of these algorithms may be constrained by the limited size of the dataset. Although the matchup dataset was augmented using the Gaussian augmentation method, the generated virtual dataset may still deviate from real-world observations [72]. Additionally, this approach does not guarantee consistent improvement in the performance of machine learning models, particularly if the models rely on non-causal input variables, which can lead to spurious relationships and reduce their generalizability. Future research could incorporate additional water reflectance bands and derived indices to enhance model performance. The lack of sufficient environmental variables in this study poses an additional limitation, as turbidity is influenced by a range of factors, including tides, waves, wind, and precipitation. Therefore, these models may struggle to fully capture the relationships between environmental variables and water quality. This limitation becomes particularly pronounced in dynamic and highly variable coastal water systems, where interactions among hydrological, atmospheric, and anthropogenic factors are intricate. Additionally, this study did not assess the effects of bottom noise and adjacency correction, which may influence water reflectance and turbidity values [73]. Recognizing these limitations, further research is necessary to establish reliable thresholds for excluding pixels affected by the bottom effects and to incorporate advanced correction methods. Coupled with additional in situ validation, such efforts could significantly enhance the accuracy and reliability of turbidity retrievals. It is also worth noting that the revisit times of current satellites, such as L8-9 and S2, are insufficient for daily routine monitoring. Future studies could explore satellite products with higher revisit frequencies to enhance temporal resolution.
5. Conclusions
Despite the challenges discussed above, our findings indicated that satellite-based turbidity measurements offer a viable and cost-effective solution for water-quality monitoring, especially when integrated with field data. Satellite data were able to estimate in situ turbidity, especially when enhanced with machine learning algorithms. Future research could improve model robustness by integrating additional environmental variables, such as wind speed, ocean current velocities, and spectral data from other satellite bands. This would likely enhance the ability of the models to account for external drivers of turbidity and increase its predictive accuracy under varying environmental conditions [74,75]. Among the studied machine learning models, random forest provided the best performance, highlighting its robustness in capturing the relationship between satellite-derived and in situ turbidity. Seasonal analysis revealed elevated turbidity during the wet season, likely due to stormwater runoff, particularly from urbanized watersheds like Ballona Creek. By integrating satellite and in situ data, future studies can develop more comprehensive monitoring frameworks that capture both the spatial and temporal variability in water quality, while mitigating the limitations inherent to each method. Further exploration of advanced machine learning techniques, alongside the incorporation of additional environmental variables, would also enhance the accuracy of remote sensing-based coastal water-quality monitoring.
Supplementary Materials
The following supporting information can be downloaded at: https://www.mdpi.com/article/10.3390/rs17020201/s1, Table S1: Site information; Figure S1: Comparison of in situ TSS concentrations for different study sites; Figure S2: Comparison of field turbidity concentrations and retrieved turbidity concentrations of Landsat 8-9; Figure S3: Spectral signatures of Sentinel-2 and Landsat 8-9 at double overpass day across different wavelengths; Table S2: Sampling dates conducted in this study.
Author Contributions
Conceptualization, J.A.J. and Y.K.; methodology, Y.K. and K.J.; software, Y.K.; validation, Y.K.; formal analysis, Y.K. and A.C.; investigation, S.W., J.S.-E., C.M., M.M., A.C., K.B., R.H. and S.M.; resources, J.A.J. and C.M.L.; data curation, Y.K.; writing—original draft preparation, Y.K.; writing—review and editing, Y.K., J.A.J., C.M.L. and K.J.; visualization, Y.K.; supervision, J.A.J. and C.M.L.; project administration, J.A.J.; funding acquisition, J.A.J. All authors have read and agreed to the published version of the manuscript.
Funding
This research was funded by USC Sea Grant, grant number 442591-JJ-81135.
Data Availability Statement
The Sentinel-2 data utilized in this study are accessible from the Copernicus Open Access Hub (https://scihub.copernicus.eu/, accessed on 20 October 2024), and the Landsat data are available through the US Geological Survey’s Earth Explorer platform (https://earthexplorer.usgs.gov/, accessed on 22 November 2024). Specifically, we used the Sentinel-2A/B Level-1C Tile T11SLT product and the Landsat 8-9 OLI Collection Level-1 product (path: 041, row: 036). Data processing and visualization were conducted using Python 3.9 and R 4.2.2. The scripts and raw in situ dataset supporting this study are available on GitHub: https://github.com/zerotook/TURBIDITY, accessed on 18 December 2024.
Acknowledgments
We thank the USC Sea Grant program and the Joan Doren Family Foundation for supporting the project. This work was performed at the University of California, Los Angeles. The research was carried out at the Jet Propulsion Laboratory, California Institute of Technology, under a contract with the National Aeronautics and Space Administration (80NM0018D0004). The authors acknowledge the Sentinel mission scientists and associated Copernicus personnel for the production of data used in this research effort. The authors acknowledge the Landsat mission scientists and associated USGS personnel for the production of the data used in this research effort.
Conflicts of Interest
The authors declare no conflicts of interest.
References
- Gholizadeh, M.; Melesse, A.; Reddi, L. A Comprehensive Review on Water Quality Parameters Estimation Using Remote Sensing Techniques. Sensors 2016, 16, 1298. [Google Scholar] [CrossRef] [PubMed]
- Giannini, F.; Hunt, B.P.V.; Jacoby, D.; Costa, M. Performance of OLCI Sentinel-3A Satellite in the Northeast Pacific Coastal Waters. Remote Sens. Environ. 2021, 256, 112317. [Google Scholar] [CrossRef]
- Ahn, J.H.; Grant, S.B.; Surbeck, C.Q.; DiGiacomo, P.M.; Nezlin, N.P.; Jiang, S. Coastal Water Quality Impact of Stormwater Runoff from an Urban Watershed in Southern California. Environ. Sci. Technol. 2005, 39, 5940–5953. [Google Scholar] [CrossRef] [PubMed]
- CALIFORNIA: 2020 Census; U.S. Census Bureau: Suitland-Silver Hill, MD, USA, 2021.
- Gierach, M.M.; Holt, B.; Trinh, R.; Jack Pan, B.; Rains, C. Satellite Detection of Wastewater Diversion Plumes in Southern California. Estuar. Coast. Shelf Sci. 2017, 186, 171–182. [Google Scholar] [CrossRef]
- Akbar, T.A.; Hassan, Q.K.; Achari, G. A Remote Sensing based Framework for Predicting Water Quality of Different Source Waters. Int. Arch. Photogramm. Remote Sens. Spat. Inf. Sci. 2010, 34, 1–4. [Google Scholar]
- Xu, M.; Barnes, B.B.; Hu, C.; Carlson, P.R.; Yarbro, L.A. Water Clarity Monitoring in Complex Coastal Environments: Leveraging Seagrass Light Requirement toward More Functional Satellite Ocean Color Algorithms. Remote Sens. Environ. 2023, 286, 113418. [Google Scholar] [CrossRef]
- Garg, V.; Aggarwal, S.P.; Chauhan, P. Changes in Turbidity along Ganga River Using Sentinel-2 Satellite Data during Lockdown Associated with COVID-19. Geomat. Nat. Hazards Risk 2020, 11, 1175–1195. [Google Scholar] [CrossRef]
- Gordon, H.R.; Clark, D.K.; Mueller, J.L.; Hovis, W.A. Phytoplankton Pigments from the Nimbus-7 Coastal Zone Color Scanner: Comparisons with Surface Measurements. Science 1980, 210, 63–66. [Google Scholar] [CrossRef]
- Hovis, W.A.; Clark, D.K.; Anderson, F.; Austin, R.W.; Wilson, W.H.; Baker, E.T.; Ball, D.; Gordon, H.R.; Mueller, J.L.; El-Sayed, S.Z.; et al. Nimbus-7 Coastal Zone Color Scanner: System Description and Initial Imagery. Science 1980, 210, 60–63. [Google Scholar] [CrossRef]
- Goodin, D.G. Analysis of Suspended Solids in Water Using Remotely Sensed High Resolution Derivative Spectra. Photogramm. Eng. Remote Sens. 1993, 59, 505–510. [Google Scholar]
- Zheng, Z.; Ren, J.; Li, Y.; Huang, C.; Liu, G.; Du, C.; Lyu, H. Remote Sensing of Diffuse Attenuation Coefficient Patterns from Landsat 8 OLI Imagery of Turbid Inland Waters: A Case Study of Dongting Lake. Sci. Total Environ. 2016, 573, 39–54. [Google Scholar] [CrossRef] [PubMed]
- Cao, F.; Tzortziou, M.; Hu, C.; Mannino, A.; Fichot, C.G.; Del Vecchio, R.; Najjar, R.G.; Novak, M. Remote Sensing Retrievals of Colored Dissolved Organic Matter and Dissolved Organic Carbon Dynamics in North American Estuaries and Their Margins. Remote Sens. Environ. 2018, 205, 151–165. [Google Scholar] [CrossRef]
- Torgersen, C.E.; Faux, R.N.; McIntosh, B.A.; Poage, N.J.; Norton, D.J. Airborne Thermal Remote Sensing for Water Temperature Assessment in Rivers and Streams. Remote Sens. Environ. 2001, 76, 386–398. [Google Scholar] [CrossRef]
- Le, C.; Hu, C.; Cannizzaro, J.; English, D.; Muller-Karger, F.; Lee, Z. Evaluation of Chlorophyll-a Remote Sensing Algorithms for an Optically Complex Estuary. Remote Sens. Environ. 2013, 129, 75–89. [Google Scholar] [CrossRef]
- Choi, J.-K.; Park, Y.J.; Ahn, J.H.; Lim, H.-S.; Eom, J.; Ryu, J.-H. GOCI, the World’s First Geostationary Ocean Color Observation Satellite, for the Monitoring of Temporal Variability in Coastal Water Turbidity: Goci for Coastal Water Turbidity. J. Geophys. Res. 2012, 117, C09004. [Google Scholar] [CrossRef]
- Doxaran, D.; Froidefond, J.-M.; Castaing, P.; Babin, M. Dynamics of the Turbidity Maximum Zone in a Macrotidal Estuary (the Gironde, France): Observations from Field and MODIS Satellite Data. Estuar. Coast. Shelf Sci. 2009, 81, 321–332. [Google Scholar] [CrossRef]
- Ma, Y.; Song, K.; Wen, Z.; Liu, G.; Shang, Y.; Lyu, L.; Du, J.; Yang, Q.; Li, S.; Tao, H.; et al. Remote Sensing of Turbidity for Lakes in Northeast China Using Sentinel-2 Images With Machine Learning Algorithms. IEEE J. Sel. Top. Appl. Earth Obs. Remote Sens. 2021, 14, 9132–9146. [Google Scholar] [CrossRef]
- Magrì, S.; Ottaviani, E.; Prampolini, E.; Federici, B.; Besio, G.; Fabiano, B. Application of Machine Learning Techniques to Derive Sea Water Turbidity from Sentinel-2 Imagery. Remote Sens. Appl. Soc. Environ. 2023, 30, 100951. [Google Scholar] [CrossRef]
- Potes, M.; Costa, M.J.; Salgado, R. Satellite Remote Sensing of Water Turbidity in Alqueva Reservoir and Implications on Lake Modelling. Hydrol. Earth Syst. Sci. 2012, 16, 1623–1633. [Google Scholar] [CrossRef]
- Huovinen, P.; Ramírez, J.; Caputo, L.; Gómez, I. Mapping of Spatial and Temporal Variation of Water Characteristics through Satellite Remote Sensing in Lake Panguipulli, Chile. Sci. Total Environ. 2019, 679, 196–208. [Google Scholar] [CrossRef]
- Sent, G.; Biguino, B.; Favareto, L.; Cruz, J.; Sá, C.; Dogliotti, A.I.; Palma, C.; Brotas, V.; Brito, A.C. Deriving Water Quality Parameters Using Sentinel-2 Imagery: A Case Study in the Sado Estuary, Portugal. Remote Sens. 2021, 13, 1043. [Google Scholar] [CrossRef]
- Kieu, H.T.; Pak, H.Y.; Trinh, H.L.; Pang, D.S.C.; Khoo, E.; Law, A.W.-K. UAV-Based Remote Sensing of Turbidity in Coastal Environment for Regulatory Monitoring and Assessment. Mar. Pollut. Bull. 2023, 196, 115482. [Google Scholar] [CrossRef] [PubMed]
- Sòria-Perpinyà, X.; Vicente, E.; Urrego, P.; Pereira-Sandoval, M.; Tenjo, C.; Ruíz-Verdú, A.; Delegido, J.; Soria, J.M.; Peña, R.; Moreno, J. Validation of Water Quality Monitoring Algorithms for Sentinel-2 and Sentinel-3 in Mediterranean Inland Waters with In Situ Reflectance Data. Water 2021, 13, 686. [Google Scholar] [CrossRef]
- Nezlin, N.P.; DiGiacomo, P.M.; Jones, B.H.; Reifel, K.M.; Warrick, J.A.; Johnson, S.C.; Mengel, M.J. MODIS Imagery as a Tool for Synoptic Water Quality Assessments in the Southern California Coastal Ocean. In Optical Engineering + Applications; Frouin, R.J., Ed.; SPIE: San Diego, CA, USA, 2007; p. 66800T. [Google Scholar]
- Laureano-Rosario, A.E.; Duncan, A.P.; Symonds, E.M.; Savic, D.A.; Muller-Karger, F.E. Predicting Culturable Enterococci Exceedances at Escambron Beach, San Juan, Puerto Rico Using Satellite Remote Sensing and Artificial Neural Networks. J. Water Health 2019, 17, 137–148. [Google Scholar] [CrossRef]
- Bengoufa, S.; Niculescu, S.; Mihoubi, M.K.; Belkessa, R.; Rami, A.; Rabehi, W.; Abbad, K. Machine Learning and Shoreline Monitoring Using Optical Satellite Images: Case Study of the Mostaganem Shoreline, Algeria. J. Appl. Rem. Sens. 2021, 15, 026509. [Google Scholar] [CrossRef]
- Chang, N.-B.; Bai, K.; Chen, C.-F. Integrating Multisensor Satellite Data Merging and Image Reconstruction in Support of Machine Learning for Better Water Quality Management. J. Environ. Manag. 2017, 201, 227–240. [Google Scholar] [CrossRef]
- Hafeez, S.; Wong, M.; Ho, H.; Nazeer, M.; Nichol, J.; Abbas, S.; Tang, D.; Lee, K.; Pun, L. Comparison of Machine Learning Algorithms for Retrieval of Water Quality Indicators in Case-II Waters: A Case Study of Hong Kong. Remote Sens. 2019, 11, 617. [Google Scholar] [CrossRef]
- Krishnaraj, A.; Honnasiddaiah, R. Remote Sensing and Machine Learning Based Framework for the Assessment of Spatio-Temporal Water Quality in the Middle Ganga Basin. Environ. Sci. Pollut. Res. 2022, 29, 64939–64958. [Google Scholar] [CrossRef]
- Peel, M.C.; Finlayson, B.L.; McMahon, T.A. Updated World Map of the Köppen-Geiger Climate Classification. Hydrol. Earth Syst. Sci. 2007, 11, 1633–1644. [Google Scholar] [CrossRef]
- Mauzole, Y.L.; Torres, H.S.; Fu, L.-L. Patterns and Dynamics of SST Fronts in the California Current System. JGR Ocean. 2020, 125, e2019JC015499. [Google Scholar] [CrossRef]
- Pauly, D.; Christensen, V. Primary Production Required to Sustain Global Fisheries. Nature 1995, 374, 255–257. [Google Scholar] [CrossRef]
- Standard Methods for the Examination of Water and Wastewater. 2540 SOLIDS. Available online: https://www.standardmethods.org/doi/10.2105/SMWW.2882.030 (accessed on 17 December 2024).
- Zhang, S.; Wang, D.; Gong, F.; Xu, Y.; He, X.; Zhang, X.; Fu, D. Evaluating Atmospheric Correction Methods for Sentinel−2 in Low−to−High−Turbidity Chinese Coastal Waters. Remote Sens. 2023, 15, 2353. [Google Scholar] [CrossRef]
- Maciel, F.P.; Pedocchi, F. Evaluation of ACOLITE Atmospheric Correction Methods for Landsat-8 and Sentinel-2 in the Río de La Plata Turbid Coastal Waters. Int. J. Remote Sens. 2022, 43, 215–240. [Google Scholar] [CrossRef]
- Vanhellemont, Q. Sensitivity Analysis of the Dark Spectrum Fitting Atmospheric Correction for Metre- and Decametre-Scale Satellite Imagery Using Autonomous Hyperspectral Radiometry. Opt. Express 2020, 28, 29948. [Google Scholar] [CrossRef] [PubMed]
- Vanhellemont, Q.; Ruddick, K. Turbid Wakes Associated with Offshore Wind Turbines Observed with Landsat 8. Remote Sens. Environ. 2014, 145, 105–115. [Google Scholar] [CrossRef]
- Vanhellemont, Q.; Ruddick, K. Atmospheric Correction of Metre-Scale Optical Satellite Data for Inland and Coastal Water Applications. Remote Sens. Environ. 2018, 216, 586–597. [Google Scholar] [CrossRef]
- Dogliotti, A.I.; Ruddick, K.G.; Nechad, B.; Doxaran, D.; Knaeps, E. A Single Algorithm to Retrieve Turbidity from Remotely-Sensed Data in All Coastal and Estuarine Waters. Remote Sens. Environ. 2015, 156, 157–168. [Google Scholar] [CrossRef]
- Cira, M.; Bafna, A.; Lee, C.M.; Kong, Y.; Holt, B.; Ginger, L.; Cawse-Nicholson, K.; Rieves, L.; Jay, J.A. Turbidity and Fecal Indicator Bacteria in Recreational Marine Waters Increase Following the 2018 Woolsey Fire. Sci. Rep. 2022, 12, 2428. [Google Scholar] [CrossRef]
- Kong, Y.; Jay, J. Monitoring the Coastal Water Quality of Santa Monica Bay Area, Los Angeles, California Using Sentinel-2. Master’s Thesis, University of California, Los Angeles, CA, USA, 2021. [Google Scholar]
- Chen, Z.-S.; Zhu, B.; He, Y.-L.; Yu, L.-A. A PSO Based Virtual Sample Generation Method for Small Sample Sets: Applications to Regression Datasets. Eng. Appl. Artif. Intell. 2017, 59, 236–243. [Google Scholar] [CrossRef]
- Li, D.-C.; Fang, Y.-H. A Non-Linearly Virtual Sample Generation Technique Using Group Discovery and Parametric Equations of Hypersphere. Expert Syst. Appl. 2009, 36, 844–851. [Google Scholar] [CrossRef]
- Arslan, M.; Guzel, M.; Demirci, M.; Ozdemir, S. SMOTE and Gaussian Noise Based Sensor Data Augmentation. In Proceedings of the 2019 4th International Conference on Computer Science and Engineering (UBMK), Samsun, Turkey, 11–15 September 2019; pp. 1–5. [Google Scholar]
- EL Bilali, A.; Taleb, A.; Bahlaoui, M.A.; Brouziyne, Y. An Integrated Approach Based on Gaussian Noises-Based Data Augmentation Method and AdaBoost Model to Predict Faecal Coliforms in Rivers with Small Dataset. J. Hydrol. 2021, 599, 126510. [Google Scholar] [CrossRef]
- Downing, J. Twenty-Five Years with OBS Sensors: The Good, the Bad, and the Ugly. Cont. Shelf Res. 2006, 26, 2299–2318. [Google Scholar] [CrossRef]
- Wu, J.-L.; Ho, C.-R.; Huang, C.-C.; Srivastav, A.; Tzeng, J.-H.; Lin, Y.-T. Hyperspectral Sensing for Turbid Water Quality Monitoring in Freshwater Rivers: Empirical Relationship between Reflectance and Turbidity and Total Solids. Sensors 2014, 14, 22670–22688. [Google Scholar] [CrossRef] [PubMed]
- Park, G.S. The Role and Distribution of Total Suspended Solids in the Macrotidal Coastal Waters of Korea. Environ. Monit Assess 2007, 135, 153–162. [Google Scholar] [CrossRef]
- Rajaee, T.; Jafari, H. Two Decades on the Artificial Intelligence Models Advancement for Modeling River Sediment Concentration: State-of-the-Art. J. Hydrol. 2020, 588, 125011. [Google Scholar] [CrossRef]
- Nagayama, K.; Tonooka, H. Prediction of the Area of High-Turbidity Water in the Yatsushiro Sea, Japan, Using Machine Learning with Satellite, Meteorological, and Oceanographic Data. Remote Sens. 2023, 15, 1652. [Google Scholar] [CrossRef]
- Brown, J.S.; Stein, E.D.; Ackerman, D.; Dorsey, J.H.; Lyon, J.; Carter, P.M. Metals and Bacteria Partitioning to Various Size Particles in Ballona Creek Storm Water Runoff. Environ. Toxicol. Chem. 2013, 32, 320–328. [Google Scholar] [CrossRef]
- Zhao, J.; Zhang, F.; Chen, S.; Wang, C.; Chen, J.; Zhou, H.; Xue, Y. Remote Sensing Evaluation of Total Suspended Solids Dynamic with Markov Model: A Case Study of Inland Reservoir across Administrative Boundary in South China. Sensors 2020, 20, 6911. [Google Scholar] [CrossRef]
- Zhou, Y.; Yu, D.; Yang, Q.; Pan, S.; Gai, Y.; Cheng, W.; Liu, X.; Tang, S. Variations of Water Transparency and Impact Factors in the Bohai and Yellow Seas from Satellite Observations. Remote Sens. 2021, 13, 514. [Google Scholar] [CrossRef]
- Gayol, M.P.; Dogliotti, A.I.; Lagomarsino, L.; Zagarese, H.E. Temporal and Spatial Variability of Turbidity in a Highly Productive and Turbid Shallow Lake (Chascomús, Argentina) Using a Long Time-Series of Landsat and Sentinel-2 Data. Hydrobiologia 2024, 851, 4177–4199. [Google Scholar] [CrossRef]
- Lau, S.; Han, Y.; Kang, J.; Kayhanian, M.; Stenstrom, M.K. Characteristics of Highway Stormwater Runoff in Los Angeles: Metals and Polycyclic Aromatic Hydrocarbons. Water Environ. Res. 2009, 81, 308–318. [Google Scholar] [CrossRef] [PubMed]
- Surbeck, C.Q.; Jiang, S.C.; Ahn, J.H.; Grant, S.B. Flow Fingerprinting Fecal Pollution and Suspended Solids in Stormwater Runoff from an Urban Coastal Watershed. Environ. Sci. Technol. 2006, 40, 4435–4441. [Google Scholar] [CrossRef] [PubMed]
- Tilburg, C.E.; Jordan, L.M.; Carlson, A.E.; Zeeman, S.I.; Yund, P.O. The Effects of Precipitation, River Discharge, Land Use and Coastal Circulation on Water Quality in Coastal Maine. R. Soc. Open Sci. 2015, 2, 140429. [Google Scholar] [CrossRef] [PubMed]
- James, I.D. Modelling Pollution Dispersion, the Ecosystem and Water Quality in Coastal Waters: A Review. Environ. Model. Softw. 2002, 17, 363–385. [Google Scholar] [CrossRef]
- Chomicki, K.M.; Taylor, W.D.; Brown, C.J.M.; Dove, A.; Bowen, G.S.; Mohamed, M.N. Seasonal Variation in the Influence of Environmental Drivers on Nearshore Water Quality along an Urban Northern Lake Ontario Shoreline. J. Great Lakes Res. 2022, 48, 914–926. [Google Scholar] [CrossRef]
- Huyer, A. Coastal Upwelling in the California Current System. Prog. Oceanogr. 1983, 12, 259–284. [Google Scholar] [CrossRef]
- Chavez, F.P.; Messié, M. A Comparison of Eastern Boundary Upwelling Ecosystems. Prog. Oceanogr. 2009, 83, 80–96. [Google Scholar] [CrossRef]
- Van Kemenade, Z.R.; Erdem, Z.; Hopmans, E.C.; Sinninghe Damsté, J.S.; Rush, D. Loss of Nitrogen via Anaerobic Ammonium Oxidation (Anammox) in the California Current System during the Late Quaternary. Biogeosciences 2024, 21, 1517–1532. [Google Scholar] [CrossRef]
- Lin, X.; Wu, M.; Shao, X.; Li, G.; Hong, Y. Water Turbidity Dynamics Using Random Forest in the Yangtze River Delta Region, China. Sci. Total Environ. 2023, 903, 166511. [Google Scholar] [CrossRef]
- He, L.-M.; He, Z.-L. Water Quality Prediction of Marine Recreational Beaches Receiving Watershed Baseflow and Stormwater Runoff in Southern California, USA. Water Res. 2008, 42, 2563–2573. [Google Scholar] [CrossRef]
- Dwight, R.H.; Caplan, J.S.; Brinks, M.V.; Catlin, S.N.; Buescher, G.; Semenza, J.C. Influence of Variable Precipitation on Coastal Water Quality in Southern California. Water Environ. Res. 2011, 83, 2121–2130. [Google Scholar] [CrossRef] [PubMed]
- Matthews, M.W. A Current Review of Empirical Procedures of Remote Sensing in Inland and Near-Coastal Transitional Waters. Int. J. Remote Sens. 2011, 32, 6855–6899. [Google Scholar] [CrossRef]
- Yu, X.; Lee, Z.; Shen, F.; Wang, M.; Wei, J.; Jiang, L.; Shang, Z. An Empirical Algorithm to Seamlessly Retrieve the Concentration of Suspended Particulate Matter from Water Color across Ocean to Turbid River Mouths. Remote Sens. Environ. 2019, 235, 111491. [Google Scholar] [CrossRef]
- Ouma, Y.O.; Noor, K.; Herbert, K. Modelling Reservoir Chlorophyll-a, TSS, and Turbidity Using Sentinel-2A MSI and Landsat-8 OLI Satellite Sensors with Empirical Multivariate Regression. J. Sens. 2020, 2020, 1–21. [Google Scholar] [CrossRef]
- Viani, A.; Orusa, T.; Borgogno-Mondino, E.; Orusa, R. A One Health Google Earth Engine Web-GIS Application to Evaluate and Monitor Water Quality Worldwide. Euro-Mediterr. J. Environ. Integr. 2024, 9, 1873–1886. [Google Scholar] [CrossRef]
- Gohin, F.; Bryère, P.; Lefebvre, A.; Sauriau, P.-G.; Savoye, N.; Vantrepotte, V.; Bozec, Y.; Cariou, T.; Conan, P.; Coudray, S.; et al. Satellite and In Situ Monitoring of Chl-a, Turbidity, and Total Suspended Matter in Coastal Waters: Experience of the Year 2017 along the French Coasts. JMSE 2020, 8, 665. [Google Scholar] [CrossRef]
- Mumuni, A.; Mumuni, F. Data Augmentation: A Comprehensive Survey of Modern Approaches. Array 2022, 16, 100258. [Google Scholar] [CrossRef]
- Jay, S.; Guillaume, M.; Minghelli, A.; Deville, Y.; Chami, M.; Lafrance, B.; Serfaty, V. Hyperspectral Remote Sensing of Shallow Waters: Considering Environmental Noise and Bottom Intra-Class Variability for Modeling and Inversion of Water Reflectance. Remote Sens. Environ. 2017, 200, 352–367. [Google Scholar] [CrossRef]
- Yang, H.; Kong, J.; Hu, H.; Du, Y.; Gao, M.; Chen, F. A Review of Remote Sensing for Water Quality Retrieval: Progress and Challenges. Remote Sens. 2022, 14, 1770. [Google Scholar] [CrossRef]
- Zhang, X.; Shen, J.; Sun, F.; Wang, S. Spatial-Temporal Evolution and Influencing Factors Analysis of Ecosystem Services Value: A Case Study in Sunan Canal Basin of Jiangsu Province, Eastern China. Remote Sens. 2022, 15, 112. [Google Scholar] [CrossRef]
Disclaimer/Publisher’s Note: The statements, opinions and data contained in all publications are solely those of the individual author(s) and contributor(s) and not of MDPI and/or the editor(s). MDPI and/or the editor(s) disclaim responsibility for any injury to people or property resulting from any ideas, methods, instructions or products referred to in the content. |
© 2025 by the authors. Licensee MDPI, Basel, Switzerland. This article is an open access article distributed under the terms and conditions of the Creative Commons Attribution (CC BY) license (https://creativecommons.org/licenses/by/4.0/).






