A Multimodal Ensemble Deep Learning Model for Wildfire Prediction in Greece Using Satellite Imagery and Multi-Source Remote Sensing Data
Abstract
Highlights
- A novel wildfire dataset for Greece was created using open data sources, integrating satellite imagery (NDVI), meteorological data, and topographic features from 2017 to 2021.
- A multimodal deep learning wildfire classification approach combining CNNs and MLPs outperformed ensemble models constructed from LSTMs and CNNs, achieving 96.15% accuracy on the validation set.
- The Greek wildfire dataset enhances regional wildfire research and provides a foundational basis for future studies across Mediterranean ecosystems.
- The proposed multimodal approach establishes a new benchmark for satellite-based wildfire classification, demonstrating that integrating spatial vegetation context significantly enhances classification performance.
Abstract
1. Introduction
2. Literature Review
3. Materials and Methods
3.1. Region of Interest
3.2. Factors Influencing Wildfire Outbreaks
3.2.1. Topographic Factors
3.2.2. Satellite Data
3.2.3. Meteorological Variables
3.2.4. Vegetation Variables
3.3. Data Acquisition
3.3.1. Satellite Data
3.3.2. Topographic Data
3.3.3. Meteorological Data
3.3.4. Vegetation Data
3.4. Wildfire Dataset Description
3.5. Enhanced Dataset Creation with NDVI Integration
NDVI Data Acquisition and Processing
- Vegetation Fire (Class 0): 13,362 samples (82.7%).
- Active Volcano (Class 1): 0 samples (0.0%) removed from training. Greece does not have any active volcanoes.
- Other Static Land (Class 2): 1373 samples (8.5%).
- Offshore (Class 3): 1423 samples (8.8%).
3.6. Non-NDVI Model Methodology
3.6.1. Data Preprocessing and Feature Engineering
3.6.2. Model Selection and Training
3.6.3. LSTM Model Architecture
3.6.4. CNN Model Architecture
3.6.5. Ensemble Models
3.6.6. Training Procedure
- Learning Rate:
- Batch Size: 32;
- Epochs: 30;
- Optimizer: Adam;
- Loss Function: Binary Cross-Entropy;
- Training Evaluation Metric: accuracy.
3.7. NDVI Model Methodology (Multimodal Architecture Design)
- Training set: 16,158 samples (70%);
- Validation set: 2309 samples (10%);
- Test set: 4617 samples (20%).
3.7.1. CNN Branch for NDVI Image Processing
3.7.2. MLP Branch for Numerical Feature Processing
3.7.3. Feature Fusion and Classification
3.8. Training Process and Optimization Strategies for the Multimodal Approach
3.8.1. Hyperparameter Optimization Framework
- Configuration 1: Stochastic Gradient Descent with Step Decay
- Configuration 2: AdamW with Cosine Annealing
- Configuration 3: Adam with Exponential Decay
- Configuration 4: SGD with Aggressive Step Decay
3.8.2. Regularization and Training Infrastructure
4. Results and Discussion
4.1. Non-NDVI Models (Ensemble Method)
4.1.1. Model Architectures
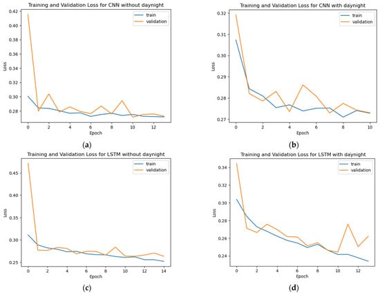
4.1.2. Model Training
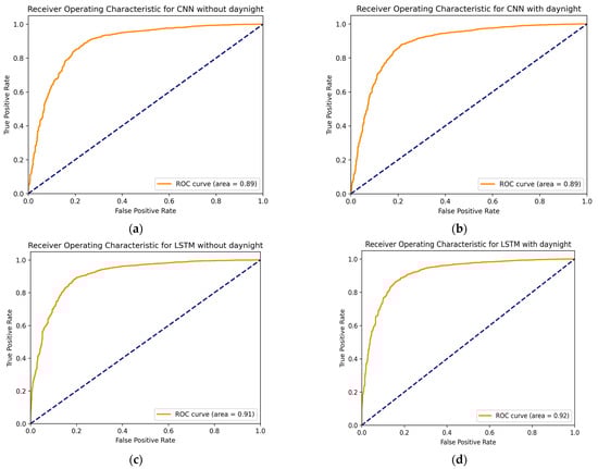
4.1.3. Individual Model Evaluation
4.1.4. Ensemble Model Evaluation
4.2. NDVI Models (Multimodal Architecture)
4.2.1. Performance Comparison of Multimodal Architecture Configurations
4.2.2. Best Multimodal Model Performance Analysis
- Phase 1 (LR = , epochs 1–25): Rapid initial feature discovery.
- Phase 2 (LR = , epochs 26–50): Fine-tuning and stability improvement.
- Phase 3 (LR = , epochs 51–71): Final convergence optimization.
4.3. Comparative Analysis Between Non-NDVI Models (Ensemble Method) and NDVI Models (Multimodal Method)
Performance Comparison with Non-NDVI Models
4.4. Individual Model Interpretability
SHAP Value Analysis on Individual Models
5. Conclusions
5.1. Conclusions
5.2. Limitations of the Study
5.3. Future Work
Author Contributions
Funding
Data Availability Statement
Conflicts of Interest
References
- Statista. Economic Impacts Caused by Wildfires Worldwide 1991–2023. 16 November 2023. Available online: https://www.statista.com/statistics/1423714/economic-impact-due-to-wildfires-worldwide/ (accessed on 25 June 2024).
- Kourtali, E. Soaring Cost of Forest Fires. kathimerini.gr. 6 October 2023. Available online: https://www.ekathimerini.com/economy/1221759/soaring-cost-of-forest-fires/ (accessed on 25 June 2024).
- Climate Change Indicators: Wildfires|US EPA. US EPA. 23 July 2024. Available online: https://www.epa.gov/climate-indicators/climate-change-indicators-wildfires (accessed on 25 June 2024).
- GRID 2024. 2024 Global Report on Internal Displacemen. IDMC, NRC. 2024. Available online: https://www.internal-displacement.org/global-report/grid2024/ (accessed on 10 June 2025).
- Linardos, V.; Drakaki, M.; Tzionas, P.; Karnavas, Y. Machine Learning in Disaster Management: Recent Developments in Methods and Applications. Mach. Learn. Knowl. Extr. 2022, 4, 446–473. [Google Scholar] [CrossRef]
- Pelletier, N.; Millard, K.; Darling, S. Wildfire likelihood in Canadian treed peatlands based on remote-sensing time-series of surface conditions. Remote Sens. Environ. 2023, 296, 113747. [Google Scholar] [CrossRef]
- Janiec, P.; Gadal, S. A Comparison of Two Machine Learning Classification Methods for Remote Sensing Predictive Modeling of the Forest Fire in the North-Eastern Siberia. Remote Sens. 2020, 12, 4157. [Google Scholar] [CrossRef]
- Bjånes, A.; De La Fuente, R.; Mena, P. A deep learning ensemble model for wildfire susceptibility mapping. Ecol. Inform. 2021, 65, 101397. [Google Scholar] [CrossRef]
- Bhowmik, R.T.; Jung, Y.S.; Aguilera, J.A.; Prunicki, M.; Nadeau, K. A multi-modal wildfire prediction and early-warning system based on a novel machine learning framework. J. Environ. Manag. 2023, 341, 117908. [Google Scholar] [CrossRef] [PubMed]
- Kantarcioglu, O.; Kocaman, S.; Schindler, K. Artificial neural networks for assessing forest fire susceptibility in Türkiye. Ecol. Inform. 2023, 75, 102034. [Google Scholar] [CrossRef]
- Pham, K.; Ward, D.; Rubio, S.; Shin, D.; Zlotikman, L.; Ramirez, S.; Poplawski, T.; Jiang, X. California Wildfire Prediction using Machine Learning. In Proceedings of the 2022 21st IEEE International Conference on Machine Learning and Applications (ICMLA), Nassau, Bahamas, 12–14 December 2022; pp. 525–530. [Google Scholar] [CrossRef]
- Malik, A.; Jalin, N.; Rani, S.; Singhal, P.; Jain, S.; Gao, J. Wildfire Risk Prediction and Detection using Machine Learning in San Diego, California. In Proceedings of the 2021 IEEE SmartWorld, Ubiquitous Intelligence & Computing, Advanced & Trusted Computing, Scalable Computing & Communications, Internet of People and Smart City Innovation (SmartWorld/SCALCOM/UIC/ATC/IOP/SCI), Atlanta, GA, USA, 18–21 October 2021; pp. 622–629. [Google Scholar] [CrossRef]
- Ding, C.; Zhang, X.; Chen, J.; Ma, S.; Lu, Y.; Han, W. Wildfire detection through deep learning based on Himawari-8 satellites platform. Int. J. Remote Sens. 2022, 43, 5040–5058. [Google Scholar] [CrossRef]
- Bergado, J.R.; Persello, C.; Reinke, K.; Stein, A. Predicting wildfire burns from big geodata using deep learning. Saf. Sci. 2021, 140, 105276. [Google Scholar] [CrossRef]
- Zhang, H.; Zheng, Z.; Wen, G. Wildfire Monitoring Based on LSTM and Deep Learning. In Proceedings of the IGARSS 2022–2022 IEEE International Geoscience and Remote Sensing Symposium, Kuala Lumpur, Malaysia, 17–22 July 2022; pp. 2682–2685. [Google Scholar] [CrossRef]
- Linardos, V.; Drakaki, M. Assessing the Impact of the 2021 Evia Wildfires through Social Media Analysis. In Proceedings of the International Conference on Humanitarian Crisis Managment (KRISIS 2023), Thessaloniki, Greece, 14–15 October 2023. [Google Scholar]
- Christidou, A.N.; Drakaki, M.; Linardos, V. A Machine Learning Based Method for Automatic Identification of Disaster Related Information Using Twitter Data. In Intelligent and Fuzzy Systems; Kahraman, I.C., Tolga, A.C., Cevik Onar, S., Cebi, S., Oztaysi, B., Sari, I.U., Eds.; Springer International Publishing: Cham, Switzerland, 2022; Volume 505, pp. 70–76. [Google Scholar] [CrossRef]
- Linardos, V.; Drakaki, M.; Tzionas, P. Utilizing LLMs and ML Algorithms in Disaster-Related Social Media Content. GeoHazards 2025, 6, 33. [Google Scholar] [CrossRef]
- Lee, W.; Kim, S.; Lee, Y.-T.; Lee, H.-W.; Choi, M. Deep neural networks for wild fire detection with unmanned aerial vehicle. In Proceedings of the 2017 IEEE International Conference on Consumer Electronics (ICCE), Las Vegas, NV, USA, 8–10 January 2017. [Google Scholar]
- Ali, A.W.; Kurnaz, S. Optimizing Deep Learning Models for Fire Detection, Classification, and Segmentation Using Satellite Images. Fire 2025, 8, 36. [Google Scholar] [CrossRef]
- Wen, Z.; Gu, F. Wildfire Detection Based on Satellite Images Using Deep Learning. In Proceedings of the 2025 8th International Conference on Artificial Intelligence and Big Data (ICAIBD), Chengdu, China, 23–26 May 2025; pp. 689–694. [Google Scholar] [CrossRef]
- Muhammad, K.; Ahmad, J.; Baik, S.W. Early fire detection using convolutional neural networks during surveillance for effective disaster management. Neurocomputing 2018, 288, 30–42. [Google Scholar] [CrossRef]
- Schroeder, W.; Oliva, P.; Giglio, L.; Csiszar, I.A. The New VIIRS 375 m active fire detection data product: Algorithm description and initial assessment. Remote Sens. Environ. 2014, 143, 85–96. [Google Scholar] [CrossRef]
- World Bank Climate Change Knowledge Portal. Available online: https://climateknowledgeportal.worldbank.org/country/greece/climate-data-historical (accessed on 1 July 2024).
- Berkley, K. The Cost of European Wildfires 2023 Report. KnowHow. 4 January 2024. Available online: https://knowhow.distrelec.com/internet-of-things/the-cost-of-european-wildfires-2023-report/ (accessed on 25 June 2024).
- Koundouri, P. Urgent call for comprehensive governmental climate action against wildfires in Greece. npj Clim. Action 2023, 2, 42. [Google Scholar] [CrossRef]
- Kolanek, A.; Szymanowski, M.; Raczyk, A. Human Activity Affects Forest Fires: The Impact of Anthropogenic Factors on the Density of Forest Fires in Poland. Forests 2021, 12, 728. [Google Scholar] [CrossRef]
- Aspect Definition|GIS Dictionary. Available online: https://support.esri.com/en-us/gis-dictionary/aspect (accessed on 26 July 2025).
- Elevation. Available online: https://education.nationalgeographic.org/resource/elevation/ (accessed on 20 June 2024).
- Ropelato, J. Elevation Maps. WhiteClouds. 15 June 2023. Available online: https://www.whiteclouds.com/articles/elevation-maps/ (accessed on 20 June 2024).
- Slope and Landscape Features—AGSite. Available online: https://agsite.missouri.edu/slope-and-landscape-features/ (accessed on 20 June 2024).
- Makhaya, Z.; Odindi, J.; Mutanga, O. The influence of bioclimatic and topographic variables on grassland fire occurrence within an urbanized landscape. Sci. Afr. 2022, 15, e01127. [Google Scholar] [CrossRef]
- Chen, Y.; Morton, D.C.; Randerson, J.T. Remote sensing for wildfire monitoring: Insights into burned area, emissions, and fire dynamics. One Earth 2024, 7, 1022–1028. [Google Scholar] [CrossRef]
- Devlin, M. The Unpredictable Force: Exploring the Impact of Wind on Wildfire Spread. Kestrel. 30 July 2024. Available online: https://kestrelinstruments.com/blog/the-unpredictable-force-exploring-the-impact-of-wind-on-wildfire-spread (accessed on 10 July 2024).
- Chalepinis, K.; Walters, A.; Fang, B.; Lakshmi, V.; Gemitzi, A. A soil moisture and vegetation-based susceptibility mapping approach to wildfire events in Greece. Remote Sens. 2024, 16, 1816. [Google Scholar] [CrossRef]
- Ba, R.; Song, W.; Lovallo, M.; Zhang, H.; Telesca, L. Informational analysis of MODIS NDVI and EVI time series of sites affected and unaffected by wildfires. Phys. A Stat. Mech. Its Appl. 2022, 607, 127911. [Google Scholar] [CrossRef]
- Wikipedia Contributors. Open Data Portal. Wikipedia. 17 April 2024. Available online: https://en.wikipedia.org/wiki/Open_data_portal (accessed on 17 April 2024).
- NRT VIIRS 375 m Active Fire Product VNP14IMGT Distributed from NASA FIRMS. Available online: https://earthdata.nasa.gov/firms (accessed on 10 June 2025).
- European Space Agency. Sentinel-2 Level-1C Imagery. Copernicus Data Space Ecosystem. 2024. Available online: https://dataspace.copernicus.eu/browser/ (accessed on 16 July 2025).
- Gorelick, N.; Hancher, M.; Dixon, M.; Ilyushchenko, S.; Thau, D.; Moore, R. Google Earth Engine: Planetary-scale geospatial analysis for everyone. Remote Sens. Environ. 2017, 202, 18–27. [Google Scholar] [CrossRef]
- What Is a Digital Elevation Model (DEM)?|U.S. Geological Survey. 7 November 2018. Available online: https://www.usgs.gov/faqs/what-a-digital-elevation-model-dem (accessed on 10 July 2024).
- Zippenfenig, P. Weather API [Computer software]. Zenodo 2023. [Google Scholar] [CrossRef]
- Welle, D. Greece Battles New Wildfire on Evia Island. dw.com. 23 August 2021. Available online: https://www.dw.com/en/greece-wildfires-new-blaze-hits-evia-island/a-58954794 (accessed on 25 June 2024).
- de Amorim, L.B.V.; Cavalcanti, G.D.C.; Cruz, R.M.O. The choice of scaling technique matters for classification performance. Appl. Soft Comput. 2023, 133, 109924. [Google Scholar] [CrossRef]
- O’Malley, T.; Bursztein, E.; Long, J.; Chollet, F.; Jin, H.; Invernizzi, L. Other. KerasTuner. GitHub. 2019. Available online: https://github.com/keras-team/keras-tuner (accessed on 30 May 2025).
- Mohammed, A.; Kora, R. A comprehensive review on ensemble deep learning: Opportunities and challenges. J. King Saud Univ.—Comput. Inf. Sci. 2023, 35, 757–774. [Google Scholar] [CrossRef]

















| Feature | Source | Short Description |
|---|---|---|
| Latitude | LANCE-FIRMS | Center of nominal 375 m fire pixel. |
| Longitude | LANCE-FIRMS | Center of nominal 375 m fire pixel. |
| Bright ti4 | LANCE-FIRMS | VIIRS I-4 channel brightness temperature of fire pixel measured in Kelvin. |
| Bright ti5 | LANCE-FIRMS | I-5 Channel brightness temperature of fire pixel measured in Kelvin. |
| FRP | LANCE-FIRMS | Pixel-integrated fire radiative power in megawatts (MW). |
| Daynight | LANCE-FIRMS | Indication of day or night. |
| Scan | LANCE-FIRMS | The algorithm produces approximately 375 m pixels at nadir. |
| Track | LANCE-FIRMS | The algorithm produces approximately 375 m pixels at nadir. |
| Acq_date | LANCE-FIRMS | Date of VIIRS acquisition. |
| Acq_time | LANCE-FIRMS | Time of acquisition/overpass of the satellite (in UTC). |
| Satellite | LANCE-FIRMS | Satellite. |
| Instrument | LANCE-FIRMS | Instrument on the satellite. |
| Confidence | LANCE-FIRMS | Measurement of quality of individual hotspot/fire pixels. |
| Version | LANCE-FIRMS | Version identifies the collection and source of data processing. |
| Type | LANCE-FIRMS | Type of hotspot: Class 0: Presumed vegetation fire. Class 1: Active volcano. Class 2: Other static land source. Class 3: Offshore detection (includes all detections over water). |
| Temperature 2 m max | Open Meteo | Maximum daily air temperature at 2 m above ground. |
| Temperature 2 m min | Open Meteo | Minimum daily air temperature at 2 m above ground. |
| Temperature 2 m mean | Open Meteo | Average daily air temperature at 2 m above ground. |
| Precipitation sum | Open Meteo | Sum of daily precipitation (including rain, showers and snowfall). |
| Wind speed 10 m max | Open Meteo | Maximum wind speed and gusts on a day. |
| Elevation | NASADEM | Vertical distance of a location above sea level. |
| Slope | NASADEM | Rate of change in elevation, indicating the steepness of the terrain. |
| Aspect | NASADEM | Compass direction that a slope faces, measured in degrees from north. |
| Component | Units | L2 Regularization | Step Size |
|---|---|---|---|
| Input Layer | 32–512 | - | 32 |
| Hidden Layers * | 32–512 | – | 32 |
| Final Layer | 32–512 | – | 32 |
| Dropout Rate | 0.0–0.5 | - | 0.1 |
| Component | Filters | L2 Regularization | Step Size | Activation |
|---|---|---|---|---|
| Input Layer | 32–512 | - | 32 | ReLU |
| Hidden Layers * | 32–512 | – | 32 | ReLU |
| Final Layer | 32–512 | – | 32 | ReLU |
| Dropout Rate | 0.0–0.5 | - | 0.1 |
| Layer | Filters | Kernel Size | Pooling | Activation |
|---|---|---|---|---|
| Conv1 | 32 | 3 × 3 | MaxPool (2 × 2) | ReLU |
| Conv2 | 64 | 3 × 3 | MaxPool (2 × 2) | ReLU |
| Conv3 | 64 | 3 × 3 | MaxPool (2 × 2) | ReLU |
| Conv4 | 128 | 3 × 3 | MaxPool (2 × 2) | ReLU |
| Layer | Input | Output | Dropout | Activation |
|---|---|---|---|---|
| FC1 | 12 | 256 | 0.3 | ReLU |
| FC2 | 256 | 128 | 0.3 | ReLU |
| FC3 | 128 | 64 | 0.21 | ReLU |
| FC4 | 64 | 128 | - | ReLU |
| Models | Number of Parameters |
|---|---|
| CNN without Daynight | 100,705 |
| CNN with Daynight | 72,193 |
| LSTM without Daynight | 2,263,905 |
| LSTM with Daynight | 635,457 |
| Model | Precision (Train/Test) | Recall (Train/Test) | F1-Score (Train/Test) | Accuracy (Train/Test) |
|---|---|---|---|---|
| CNN without Daynight | 92.4/92.4 | 96/95.7 | 94.2/94 | 90.1/89.9 |
| CNN with Daynight | 91.6/91.5 | 96.8/96.5 | 94.1/93.9 | 90/89.7 |
| LSTM without Daynight | 93.4/93.1 | 96.8/95.9 | 95.1/94.5 | 91.7/90.8 |
| LSTM with Daynight | 94.7/94.2 | 96.1/95.1 | 95.4/94.7 | 92.2/91.1 |
| Class | Precision | Recall | F1-Score | Support | Accuracy |
|---|---|---|---|---|---|
| No Fire | 72 | 59 | 65 | 753 | |
| Fire | 92 | 95 | 93 | 3659 | |
| 89 |
| Class | Precision | Recall | F1-Score | Support | Accuracy |
|---|---|---|---|---|---|
| No Fire | 71 | 53 | 60 | 753 | |
| Fire | 91 | 96 | 93 | 3659 | |
| 88 |
| Class | Precision | Recall | F1-Score | Support | Accuracy |
|---|---|---|---|---|---|
| No Fire | 74 | 63 | 68 | 753 | |
| Fire | 93 | 96 | 94 | 3659 | |
| 90 |
| Class | Precision | Recall | F1-Score | Support | Accuracy |
|---|---|---|---|---|---|
| No Fire | 74 | 67 | 70 | 753 | |
| Fire | 93 | 95 | 94 | 3659 | |
| 90 |
| Ensemble Method | Models in Ensemble |
|---|---|
| Majority Voting | CNN without Daynight, LSTM without Daynight, LSTM with Daynight |
| Average Voting | CNN without Daynight, CNN with Daynight, LSTM without Daynight, LSTM with Daynight |
| Class | Precision | Recall | F1-Score | Support | Accuracy |
|---|---|---|---|---|---|
| No Fire | 68 | 73 | 70 | 753 | |
| Fire | 94 | 93 | 94 | 3659 | |
| 90 |
| Class | Precision | Recall | F1-Score | Support | Accuracy |
|---|---|---|---|---|---|
| No Fire | 75 | 65 | 69 | 753 | |
| Fire | 93 | 95 | 94 | 3659 | |
| 90 |
| Model Configuration | Validation Accuracy (%) | Validation F1-Score | Test Accuracy (%) | Test F1-Score | Epochs |
|---|---|---|---|---|---|
| SGD Step Decay | 96.15 | 0.9608 | 96.01 | 0.9609 | 71 |
| AdamW Cosine | 96.10 | 0.9608 | 96.04 | 0.9598 | 63 |
| SGD Aggressive | 96.03 | 0.9608 | 96.04 | 0.9608 | 75 |
| Exponential Decay | 95.63 | 0.9549 | 95.78 | 0.9570 | 92 |
| Class | Precision | Recall | F1-Score | Support |
|---|---|---|---|---|
| Vegetation Fire | 0.986 | 0.981 | 0.983 | 3818 |
| Other Static Land | 0.957 | 0.838 | 0.893 | 395 |
| Offshore | 0.755 | 0.886 | 0.815 | 404 |
| Model Type | Accuracy (%) | Recall No Fire (%) | F1-Score | Architecture |
|---|---|---|---|---|
| CNN without DayNight | 89.9 | 59 | 0.940 | 1D CNN |
| CNN with DayNight | 89.7 | 53 | 0.939 | 1D CNN |
| LSTM without DayNight | 90.8 | 63 | 0.945 | LSTM |
| LSTM with DayNight | 91.1 | 67 | 0.947 | LSTM |
| Ensemble Average Voting | 90.0 | 73 | 0.940 | Combined All Models |
| Model Configuration | Accuracy (%) | Overall F1-Score (%) | Performance Gain |
|---|---|---|---|
| Multi-Modal NDVI (Best) | 96.15 | 0.9609 | +6.15% accuracy |
Disclaimer/Publisher’s Note: The statements, opinions and data contained in all publications are solely those of the individual author(s) and contributor(s) and not of MDPI and/or the editor(s). MDPI and/or the editor(s) disclaim responsibility for any injury to people or property resulting from any ideas, methods, instructions or products referred to in the content. |
© 2025 by the authors. Licensee MDPI, Basel, Switzerland. This article is an open access article distributed under the terms and conditions of the Creative Commons Attribution (CC BY) license (https://creativecommons.org/licenses/by/4.0/).
Share and Cite
Papakis, I.; Linardos, V.; Drakaki, M. A Multimodal Ensemble Deep Learning Model for Wildfire Prediction in Greece Using Satellite Imagery and Multi-Source Remote Sensing Data. Remote Sens. 2025, 17, 3310. https://doi.org/10.3390/rs17193310
Papakis I, Linardos V, Drakaki M. A Multimodal Ensemble Deep Learning Model for Wildfire Prediction in Greece Using Satellite Imagery and Multi-Source Remote Sensing Data. Remote Sensing. 2025; 17(19):3310. https://doi.org/10.3390/rs17193310
Chicago/Turabian StylePapakis, Ioannis, Vasileios Linardos, and Maria Drakaki. 2025. "A Multimodal Ensemble Deep Learning Model for Wildfire Prediction in Greece Using Satellite Imagery and Multi-Source Remote Sensing Data" Remote Sensing 17, no. 19: 3310. https://doi.org/10.3390/rs17193310
APA StylePapakis, I., Linardos, V., & Drakaki, M. (2025). A Multimodal Ensemble Deep Learning Model for Wildfire Prediction in Greece Using Satellite Imagery and Multi-Source Remote Sensing Data. Remote Sensing, 17(19), 3310. https://doi.org/10.3390/rs17193310

