Relating Geotechnical Sediment Properties and Low Frequency CHIRP Sonar Measurements
Abstract
1. Introduction
2. Methodology
2.1. CHIRP Sonar and Seismic Inversion
2.2. Physical Samples
Portable Free Fall Penetrometer (PFFP)
3. Results
3.1. Laboratory Testing
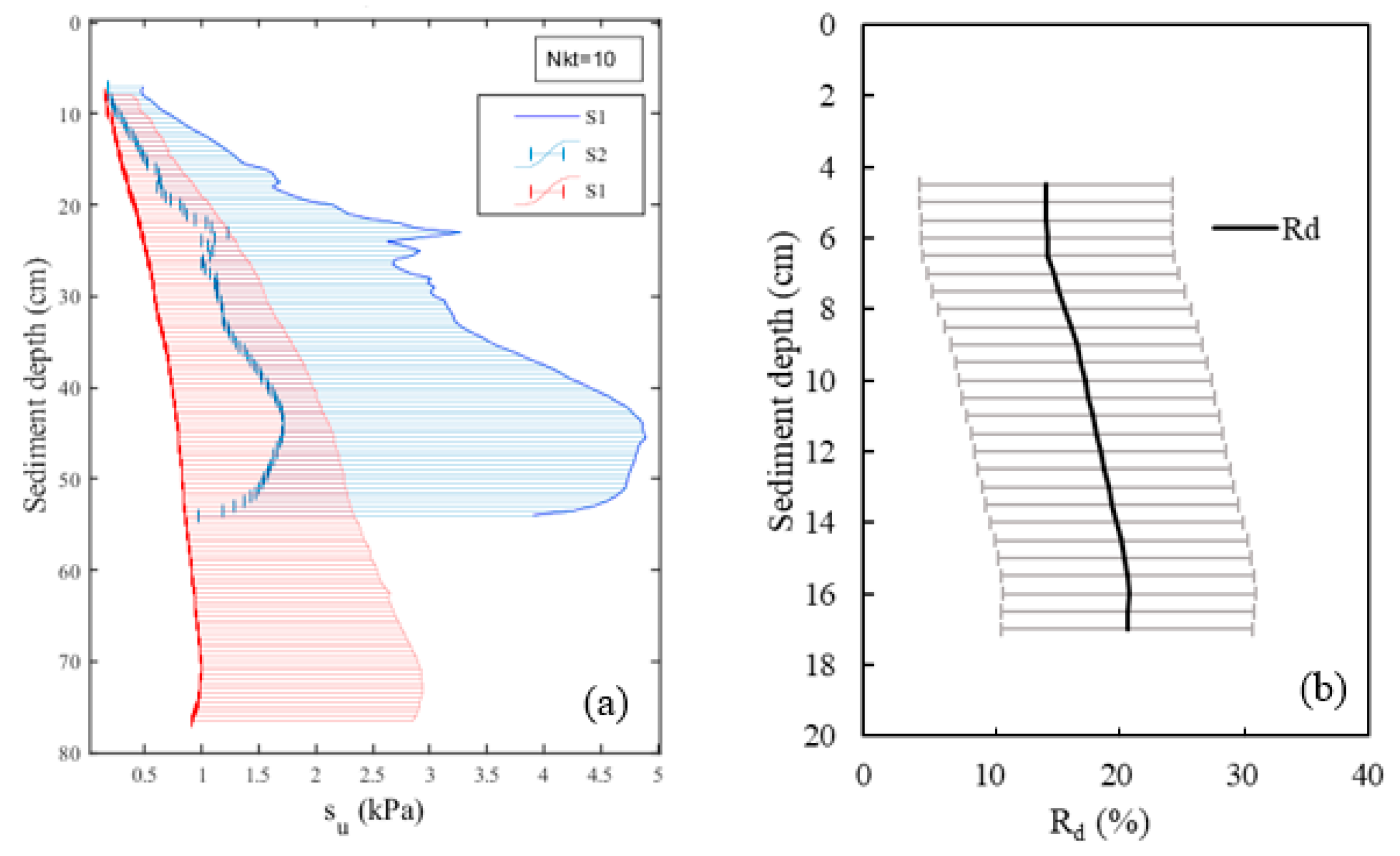
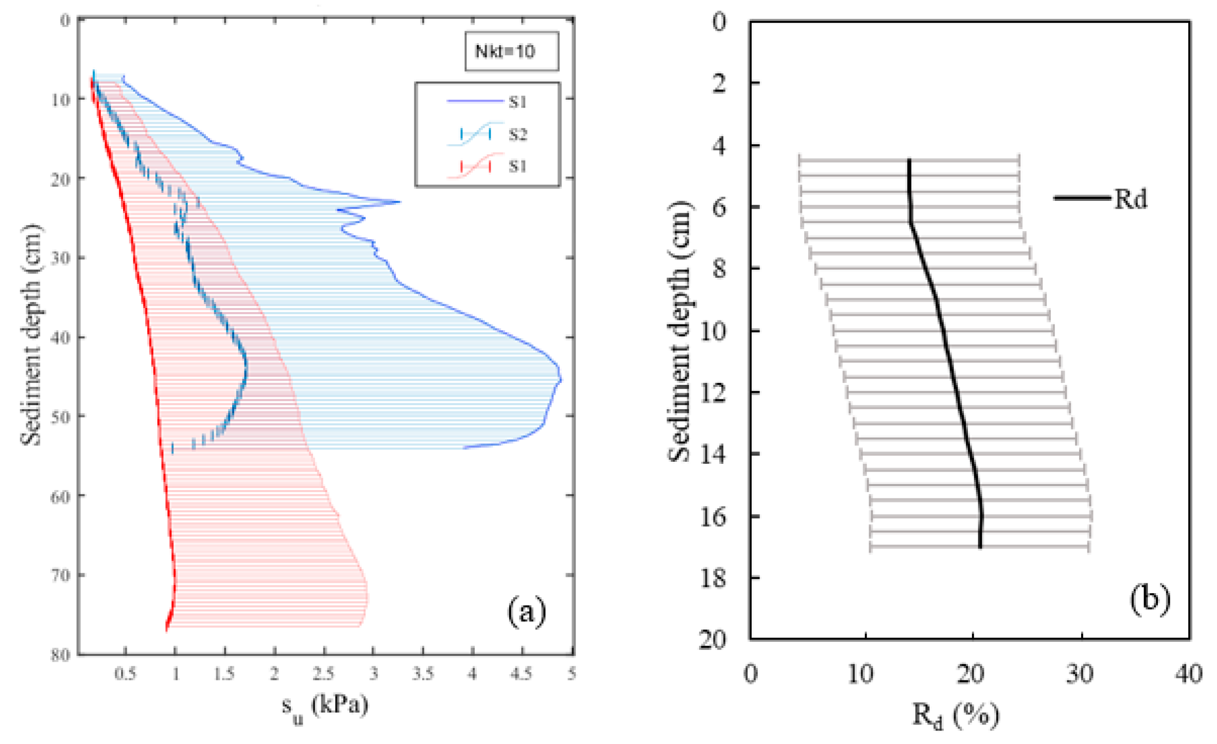
3.2. Portable Free Fall Penetrometer
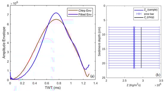
3.3. CHIRP Sonar & Seismic Inversion
4. Discussion
5. Conclusions
Author Contributions
Funding
Data Availability Statement
Acknowledgments
Conflicts of Interest
References
- Ballard, M.S.; Lee, K.M. The acoustics of marine sediments. Acoust. Today 2017, 13, 11–18. [Google Scholar]
- Vardy, M.E. Remote characterisation of shallow marine sediments-Current status and future questions. In Proceedings of the Near Surface Geoscience 2016-Second Applied Shallow Marine Geophysics Conference, Barcelona, Spain, 4–8 September 2016; European Association of Geoscientists & Engineers: Bunnik, The Netherlands, 2016; Volume 1, pp. 1–5. [Google Scholar]
- Vardy, M.E.; Vanneste, M.; Henstock, T.J.; Clare, M.A.; Forsberg, C.F.; Provenzano, G. State-of-the-art remote characterization of shallow marine sediments: The road to a fully integrated solution. Near Surf. Geophys. 2017, 15, 387–402. [Google Scholar] [CrossRef]
- Anderson, J.T.; Van Holliday, D.; Kloser, R.; Reid, D.G.; Simard, Y. Acoustic seabed classification: Current practice and future directions. ICES J. Mar. Sci. 2008, 65, 1004–1011. [Google Scholar] [CrossRef]
- Guigné, J.Y.; Blondel, P. Acoustic Investigation of Complex Seabeds; Springer International Publishing: Berlin/Heidelberg, Germany, 2017. [Google Scholar]
- Dybedal, J.; Boe, R. Ultra-high resolution sub-bottom profiling for detection of thin layers and objects. In Proceedings of the OCEANS’94, Brest, France, 13–16 September 1994; IEEE: Piscataway, NJ, USA, 2002; Volume 1, pp. I/634–I/638. [Google Scholar]
- Saleh, M.; Rabah, M. Seabed sub-bottom sediment classification using parametric sub-bottom profiler. NRIAG J. Astron. Geophys. 2016, 5, 87–95. [Google Scholar] [CrossRef]
- Schock, S.G. A method for estimating the physical and acoustic properties of the seabed using chirp sonar data. IEEE J. Ocean. Eng. 2004, 29, 1200–1217. [Google Scholar] [CrossRef]
- LeBlanc, L.R.; Mayer, L.; Rufino, M.; Schock, S.G.; King, J. Marine sediment classification using the CHIRP sonar. J. Acoust. Soc. Am. 1992, 91, 107–115. [Google Scholar] [CrossRef]
- Wang, J.; Stewart, R. Inferring marine sediment type using CHIRP sonar data: Atlantis field, Gulf of Mexico. In Proceedings of the SEG Technical Program Expanded Abstracts, 2015; Society of Exploration Geophysicists: Houston, TX, USA, 2015; pp. 2385–2390. [Google Scholar]
- Chen, J.; Vissinga, M.; Shen, Y.; Hu, S.; Beal, E.; Newlin, J. Machine Learning–Based Digital Integration of Geotechnical and Ultrahigh–Frequency Geophysical Data for Offshore Site Characterizations. J. Geotech. Geoenvironmental Eng. 2021, 147, 04021160. [Google Scholar] [CrossRef]
- Maurya, S.P.; Sarkar, P. Comparison of post stack seismic inversion methods: A case study from Blackfoot Field, Canada. Int. J. Sci. Eng. Res. 2016, 7, 1091–1101. [Google Scholar]
- Maurya, S.P.; Singh, N.P.; Singh, K.H. Use of genetic algorithm in reservoir characterisation from seismic data: A case study. J. Earth Syst. Sci. 2019, 128, 126. [Google Scholar] [CrossRef]
- Vardy, M.E. Deriving shallow-water sediment properties using post-stack acoustic impedance inversion. Near Surf. Geophys. 2015, 13, 143–154. [Google Scholar] [CrossRef]
- Jaber, R.; Stark, N. Initial correlation of portable free fall penetrometer and chirp sonar measurements. In Proceedings of the 5th International Symposium on CPT’22, Bologna, Italy, 8–10 June 2022. [Google Scholar]
- Jaber, R.; Stark, N. Investigation of the Relationships between Geotechnical Sediment Properties and Sediment Dynamics Using Geotechnical and Geophysical Field Measurements; University Libraries, Virginia Tech Dataset: Blacksburg, VA, USA, 2022. [Google Scholar] [CrossRef]
- ASTM D6913/D6913M; Standard Test Methods for Particle-Size Distribution (Gradation) of Soils Using Sieve Analysis. ASTM International: West Conshohocken, PA, USA, 2017.
- ASTM D1140; Standard Test Methods for Determining the Amount of Material Finer than 75-μm (No. 200) Sieve in Soils by Washing. ASTM International: West Conshohocken, PA, USA, 2017.
- ASTM D2216; Standard Test Methods for Laboratory Determination of Water (Moisture) Content of Soil and Rock by Mass. ASTM International: West Conshohocken, PA, USA, 2019.
- ASTM D7263; Standard Test Methods for Laboratory Determination of Density and Unit Weight of Soil Specimens. ASTM International: West Conshohocken, PA, USA, 2021.
- Albatal, A.; McNinch, J.E.; Wadman, H.; Stark, N. In-situ geotechnical investigation of nearshore sediments with regard to cross-shore morphodynamics. In Proceedings of the Geotechnical Frontiers, Orlando, FL, USA, 12–15 March 2017; ASCE: Reston, VA, USA, 2017; pp. 398–408. [Google Scholar]
- Stark, N.; Coco, G.; Bryan, K.R.; Kopf, A. In-situ geotechnical characterization of mixed-grain-size bedforms using a dynamic penetrometer. J. Sediment. Res. 2012, 82, 540–544. [Google Scholar] [CrossRef]
- Albatal, A.; Stark, N. Rapid sediment mapping and in situ geotechnical characterization in challenging aquatic areas. Limnol. Oceanogr. Methods 2017, 15, 690–705. [Google Scholar] [CrossRef]
- Garlan, T.; Kong, E.; Guyomard, P.; Mathias, X.; Zaragosi, S. The sedimentary and acoustic properties of deep sediments from different oceans. In Proceedings of the Institute of Acoustics, Bath, UK, 7–9 September 2015; Volume 37. [Google Scholar]
- Jaber, R.; Stark, N. Geotechnical Properties from Portable Free Fall Penetrometer in Coastal Environments. J. Geotech. Geoenvironmental Eng. 2023, 149, 04023120. [Google Scholar] [CrossRef]
- Mayne, P.W.; Peuchen, J. CPTu bearing factor Nkt for undrained strength evaluation in clays. In Proceedings of the Cone Penetration Testing 2018 (CPT’18), Delft, The Netherlands, 21–22 June 2018. [Google Scholar]
- Al-Neami, M. Investigation of sampling error on soil testing results. Int. J. Civ. Eng. Technol. 2018, 9, 579–589. [Google Scholar]
- Richardson, M.D.; Briggs, K.B. Empirical predictions of seafloor properties based on remotely measured sediment impedance. Proc. AIP Conf. 2004, 728, 12–21. [Google Scholar]
- Richardson, M.D.; Briggs, K.B. On the Use of Acoustic Impedance Values to Determine Sediment Properties; Naval Research Laboratory: Stennis Space Center, MS, USA, 1993. [Google Scholar]
- Jaber, R.; Stark, N.; Jafari, N.; Ravichandran, N. Combined Portable Free Fall Penetrometer and Chirp Sonar Measurements of three Texas River Sections Post Hurricane Harvey. Eng. Geol. 2021, 294, 106324. [Google Scholar] [CrossRef]
- Bull, J.M.; Quinn, R.; Dix, J.K. Reflection coefficient calculation from marine high resolution seismic reflection (CHIRP) data and application to an archaeological case study. Mar. Geophys. Res. 1998, 20, 1–11. [Google Scholar] [CrossRef]
- Jackson, D.R.; Richardson, M.D. High-Frequency Seafloor Acoustics: The Underwater Acoustics Series; Springer: New York, NY, USA, 1992. [Google Scholar]
- Neto, A.A.; Teixeira Mendes, J.D.N.; de Souza, J.M.G.; Redusino, M., Jr.; Leandro Bastos Pontes, R. Geotechnical influence on the acoustic properties of marine sediments of the Santos Basin, Brazil. Mar. Georesources Geotechnol. 2013, 31, 125–136. [Google Scholar] [CrossRef]









| Site | Soil Type | Depth Range (cm) | Fines (%) | Water Content w (%) | Bulk Density ρb (kg/m3) | Porosity n (Unitless) | Acoustic Impedance Zs (kg/m2s) | LL (%) | PI (%) |
|---|---|---|---|---|---|---|---|---|---|
| S1 | Fine-grained soil | 8–19 | 98 | 130 | 1710 | 0.73 | 2.33 × 106 | 61 | 47 |
| 19–29 | 98 | 119 | 1670 | 0.78 | 2.24 × 106 | 52 | 31 | ||
| S2 | Mixed soil | 7–20 | 56 | 96 | 1535 | 0.74 | 2.19 × 106 | 42 | 21 |
| S3 | Coarse-grained soil | 7–22 | 0.8 | 39 | 1814 | 0.51 * | 2.78 × 106 | - | - |
Disclaimer/Publisher’s Note: The statements, opinions and data contained in all publications are solely those of the individual author(s) and contributor(s) and not of MDPI and/or the editor(s). MDPI and/or the editor(s) disclaim responsibility for any injury to people or property resulting from any ideas, methods, instructions or products referred to in the content. |
© 2024 by the authors. Licensee MDPI, Basel, Switzerland. This article is an open access article distributed under the terms and conditions of the Creative Commons Attribution (CC BY) license (https://creativecommons.org/licenses/by/4.0/).
Share and Cite
Jaber, R.; Stark, N.; Sarlo, R.; McNinch, J.E.; Massey, G. Relating Geotechnical Sediment Properties and Low Frequency CHIRP Sonar Measurements. Remote Sens. 2024, 16, 241. https://doi.org/10.3390/rs16020241
Jaber R, Stark N, Sarlo R, McNinch JE, Massey G. Relating Geotechnical Sediment Properties and Low Frequency CHIRP Sonar Measurements. Remote Sensing. 2024; 16(2):241. https://doi.org/10.3390/rs16020241
Chicago/Turabian StyleJaber, Reem, Nina Stark, Rodrigo Sarlo, Jesse E. McNinch, and Grace Massey. 2024. "Relating Geotechnical Sediment Properties and Low Frequency CHIRP Sonar Measurements" Remote Sensing 16, no. 2: 241. https://doi.org/10.3390/rs16020241
APA StyleJaber, R., Stark, N., Sarlo, R., McNinch, J. E., & Massey, G. (2024). Relating Geotechnical Sediment Properties and Low Frequency CHIRP Sonar Measurements. Remote Sensing, 16(2), 241. https://doi.org/10.3390/rs16020241

