Impact of Plasma Bubbles on OTHR Shortwave Propagation in Different Backgrounds
Abstract
1. Introduction
2. Modeling and Methods
2.1. Modeling and Simulation of Plasma Bubbles
2.2. Three-Dimensional Ray-Tracing Algorithm
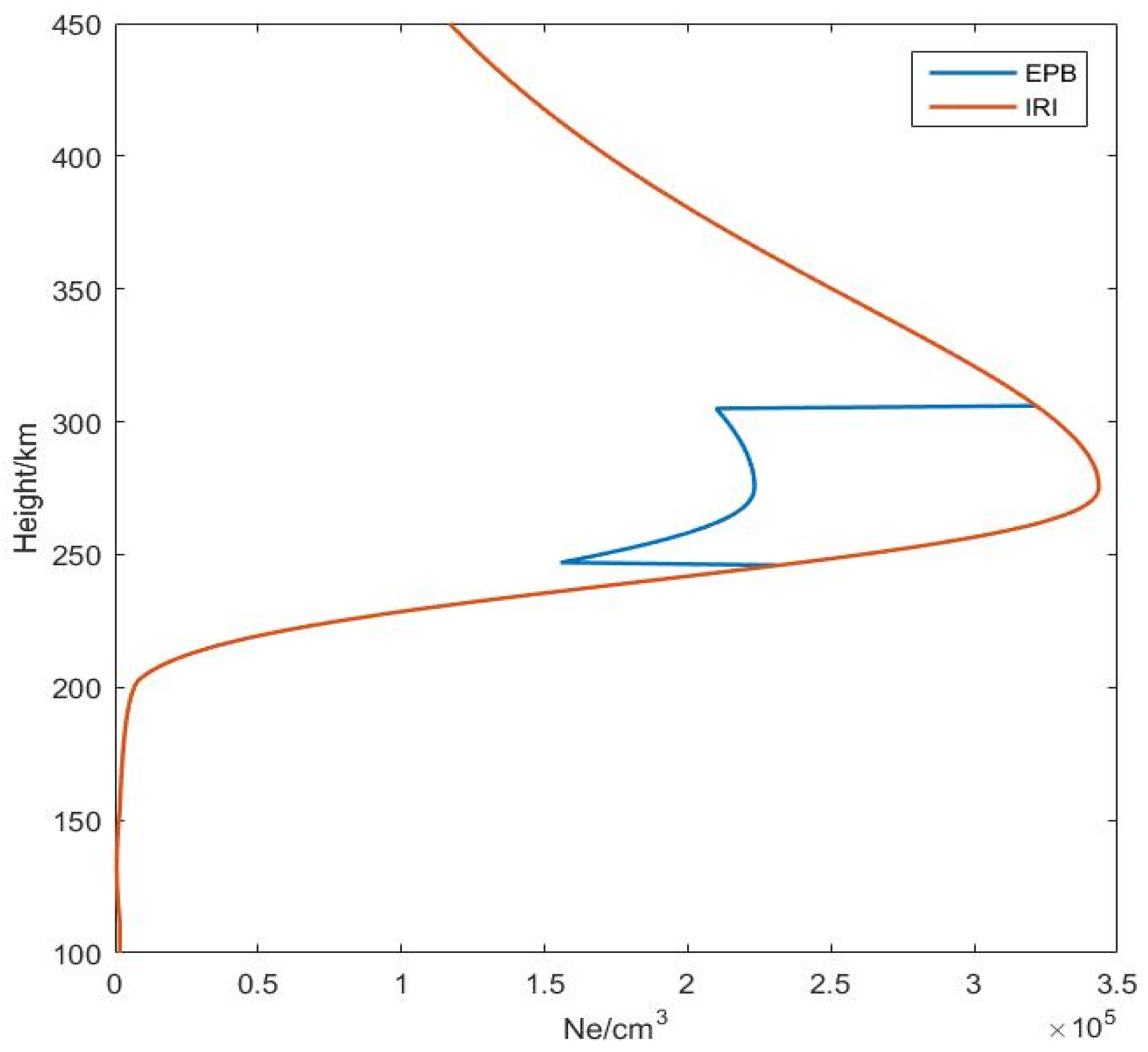
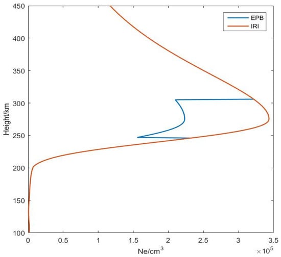
3. Three-Dimensional Simulation Results of EPB
4. Simulation Results of OTHR Radio Waves Propagating through EPBs
4.1. Simulation Results of OTHR Radio Waves for Different EPBs
4.2. Simulation Results of OTHR Radio Waves for Different Seasons
4.3. Simulation Results of OTHR Shortwaves for Different Solar Activities
5. Conclusions
- (1)
- Based on the three-dimensional model of EPBs, the impact of EPBs with different RMS ΔN/N on OTHR waves was studied. The simulation results show that when 6 MHz shortwaves propagate through an EPB, the radio waves show partial penetration and partial reflection. Radio waves with lower elevation undergo reflection at the upper boundary of the plasma bubble, subsequently returning to the ground. Radio waves at 8 and 10 MHz exhibit the phenomenon of total penetration. As the frequency increases, the focusing effect of radio waves gradually diminishes, and the focusing point gradually increases. When OTHR waves propagate through EPBs with different RMS ΔN/N, their echo paths exhibit significant differences. When the RMS ΔN/N = 75%, radio waves demonstrate a more pronounced focusing effect than at lower RMS, with a lower altitude of the focusing point;
- (2)
- When radio waves propagate through EPBs in different seasons, the influence of the EPB on OTHR shortwaves was analyzed and studied. The simulation results indicate that the propagation path of 6 MHz waves through EPB is completely different in the four seasons. In spring, radio waves propagating through EPB produce significant refraction, and the propagation type is partial penetration and partial reflection. In the seasons of summer, autumn, and winter, all radio waves pass through the EPB area and propagate upward, showing the characteristics of total penetration. In addition, radio waves show an inward-focusing effect and have different degrees of refraction in the four seasons. The focusing effect is the most significant in spring, followed by autumn, then summer, and the weakest in winter. It can be concluded that the EPB has a greater impact on OTHR waves in spring;
- (3)
- For different solar activities, the echo path of OTHR waves propagating through EPBs was simulated in the years 2019 and 2014. In the low-solar-activity year, all radio waves at 8, 12, and 15 MHz penetrate the ionosphere, showing the type of total penetration. In the year of high solar activity, the 8 MHz radio waves do not reach the EPB height area and are all reflected to the ground. When the radio frequency is 12 MHz, all radio waves propagating through the EPB are reflected at the upper boundary of the EPB and finally reflected to the ground. The 15 MHz waves exhibit partial penetration and partial reflection. For the same radio frequency, the impact of the EPB on the echo path of OTHR waves is greater in the high-solar-activity year, and the radio waves exhibit a clear refraction effect.
Author Contributions
Funding
Data Availability Statement
Acknowledgments
Conflicts of Interest
References
- Booker, H.G.; Wells, H.W. Scattering of radio waves by the F-region of the ionosphere. J. Geophys. Res. Atmos. 1938, 43, 249–256. [Google Scholar] [CrossRef]
- Kelley, M.C. The Earth’s Ionosphere: Plasma Physics and Electrodynamics; Academic Press: San Diego, CA, USA, 1989. [Google Scholar]
- Sultan, P.J. Linear theory and modeling of the Rayleigh-Taylor instability leading to the occurrence of equatorial spread F. J. Geophys. Res. Space Phys. 1996, 101, 26875–26891. [Google Scholar] [CrossRef]
- Wu, Q.; Yu, T.; Lin, Z.X.; Xia, C.-L.; Zuo, X.-M.; Wang, X. Night airglow observations to irregularities in the ionospheric F region over Hainan Chinese. J. Geophys. 2016, 59, 17–27. [Google Scholar]
- Ma, X.; Wu, M.; Guo, P.; Xu, J. Airglow Observation and Statistical Analysis of Plasma Bubbles over China. Atmosphere 2023, 14, 341. [Google Scholar] [CrossRef]
- Sun, L.; Xu, J.; Wang, W.; Yuan, W.; Li, Q.; Jiang, C. A statistical analysis of equatorial plasma bubble structures based on an all-sky airglow imager network in China. J. Geophys. Res. Space Phys. 2016, 121, 11495–11517. [Google Scholar] [CrossRef]
- Woodman, R.F.; Hoz, C.L. Radar observations of F region equatorial irregularities. J. Geophys. Res. 1976, 81, 5447–5466. [Google Scholar] [CrossRef]
- Weber, E.J.; Buchau, J.; Eather, R.H.; Mende, S.B. North-south aligned equatorial airglow depletions. J. Geophys. Res. 1978, 83, 712–716. [Google Scholar] [CrossRef]
- Makela, J.J. A review of imaging low-latitude ionospheric irregularity processes. J. Atmos. Sol.-Terr. Phys. 2006, 68, 1441–1458. [Google Scholar] [CrossRef]
- Ma, X.; Guo, P.; Wu, M. Simulation research on the influence of plasma bubbles on radio wave propagation. Radio Sci. 2023, 58, e2022RS007577. [Google Scholar] [CrossRef]
- Chen, G.; Zhao, Z.; Zhang, Y. Ionospheric Doppler and echo phase measured by the Wuhan Ionospheric Oblique Backscattering Sounding System. Radio Sci. 2007, 42, RS4007. [Google Scholar] [CrossRef]
- Chen, G.; Zhao, Z.; Li, S.; Shi, S. WIOBSS: The Chinese low-power digital ionosonde for ionospheric backscattering detection. Adv. Space Res. 2009, 43, 1343–1348. [Google Scholar] [CrossRef]
- Han, Y.M.; Xiong, J.Q.; Lou, P. A Study on the Impact of Ionospheric Es Layer on the Over-the-horizon Radar Performance. Chin. Mod. Radar 2017, 39, 14–17. [Google Scholar]
- Carrano, C.S.; Groves, K.M.; Caton, R.G.; Rino, C.L.; Straus, P.R. Multiple phase screen modeling of ionospheric scintillation along radio occultation raypaths. Radio Sci. 2011, 46, RS0D07. [Google Scholar] [CrossRef]
- Thayaparan, T.; Warrington, M.; Stocker, A.; Siddle, D. Effect of Frequency Monitoring System for Over-The-Horizon Radar due to the presence of patches and arcs within the polar cap ionosphere. In Proceedings of the 2020 21st International Radar Symposium (IRS), Warsaw, Poland, 5–8 October 2020. [Google Scholar]
- Zhao, H.S.; Xu, Z.W.; Wang, Y.W.; Xie, S.-Z.; Xue, K.; Wang, C.; Wu, J.; Gao, J.-F.; Xu, Z.-H.; Zheng, Y.-S. Over-the-Horizon Channel of Radio Communication at VHF Band via Artificial Plasma Clouds. IEEE Trans. Antennas Propag. 2022, 70, 5795–5803. [Google Scholar] [CrossRef]
- Zhao, H.S.; Xu, Z.W.; Tang, W.; Xu, Z.-H.; Xue, K.; Xie, S.-Z.; Zheng, Y.-S.; Wu, J.; Zhang, J.-D. Electromagnetic Scattering by Artificial Plasma Clouds in the Ionosphere. IEEE Trans. Antennas Propag. 2020, 68, 4810–4819. [Google Scholar] [CrossRef]
- Ma, X.; Fang, H.; Wang, S.; Chang, S. Impact of the Ionosphere Disturbed by Rocket Plume on OTHR Radio Wave Propagation. Radio Sci. 2021, 56, e2020RS007183. [Google Scholar] [CrossRef]
- Chen, S.-P.; Lin, C.H.; Rajesh, P.K.; Liu, J.-Y.; Eastes, R.; Chou, M.-Y.; Choi, J.-M. Near real-time global plasma irregularity monitoring by FORMOSAT-7/COSMIC-2. J. Geophys. Res. Space Phys. 2021, 126, e2020JA028339. [Google Scholar] [CrossRef]
- Zaalov, N.Y.; Moskaleva, E.V. Oblique and vertical incidence ionogram simulations with the presence of Es layer. Adv. Space Res. 2020, 66, 1713–1723. [Google Scholar] [CrossRef]
- Hu, Y.G.; Zhao, Z.Y.; Zhang, Y.N. Ionospheric disturbances produced by chemical releases and the resultant effects on short-wave ionospheric propagation. J. Geophys. Res. 2011, 116, A07307. [Google Scholar] [CrossRef]
- Ma, X.; Fang, H. Optical observation of plasma bubbles and comparative study of multiple methods of observing the ionosphere over China. Adv. Space Res. 2020, 65, 2761–2772. [Google Scholar] [CrossRef]
- Wernik, A.W.; Alfonsi, L.; Materassi, M. Scintillation modeling using in situ data. Radio Sci. 2007, 42, RS1002. [Google Scholar] [CrossRef]
- Wang, G.J.; Shi, J.K.; Cheng, Z.W.; Wang, X.; Wang, Z. Ionospheric plasma bubbles simultaneously observed by multi-instruments in Hainan region. Chin. J. Radio Sci. 2014, 29, 66–71. [Google Scholar]
- Hu, L.; Li, G.; Ning, B.; Sun, W.; Xie, H.; Zhao, X.; Li, Y.; Dai, G.; Xiao, Q.; Yan, Y. Development of low latitude long range ionospheric radar for observing plasma bubble irregularities and preliminary results. J. Geophys. Res. Space Phys. 2024, 129, e2023JA032099. [Google Scholar] [CrossRef]











Disclaimer/Publisher’s Note: The statements, opinions and data contained in all publications are solely those of the individual author(s) and contributor(s) and not of MDPI and/or the editor(s). MDPI and/or the editor(s) disclaim responsibility for any injury to people or property resulting from any ideas, methods, instructions or products referred to in the content. |
© 2024 by the authors. Licensee MDPI, Basel, Switzerland. This article is an open access article distributed under the terms and conditions of the Creative Commons Attribution (CC BY) license (https://creativecommons.org/licenses/by/4.0/).
Share and Cite
Ma, X.; Guo, P.; Yang, D.; Wu, M.; Yue, H. Impact of Plasma Bubbles on OTHR Shortwave Propagation in Different Backgrounds. Remote Sens. 2024, 16, 2494. https://doi.org/10.3390/rs16132494
Ma X, Guo P, Yang D, Wu M, Yue H. Impact of Plasma Bubbles on OTHR Shortwave Propagation in Different Backgrounds. Remote Sensing. 2024; 16(13):2494. https://doi.org/10.3390/rs16132494
Chicago/Turabian StyleMa, Xin, Peng Guo, Ding Yang, Mengjie Wu, and Hengyi Yue. 2024. "Impact of Plasma Bubbles on OTHR Shortwave Propagation in Different Backgrounds" Remote Sensing 16, no. 13: 2494. https://doi.org/10.3390/rs16132494
APA StyleMa, X., Guo, P., Yang, D., Wu, M., & Yue, H. (2024). Impact of Plasma Bubbles on OTHR Shortwave Propagation in Different Backgrounds. Remote Sensing, 16(13), 2494. https://doi.org/10.3390/rs16132494

