Retrieval of Crop Canopy Chlorophyll: Machine Learning vs. Radiative Transfer Model
Abstract
1. Introduction
2. Data and Methods
2.1. Study Area
2.2. Field and Satellite Data
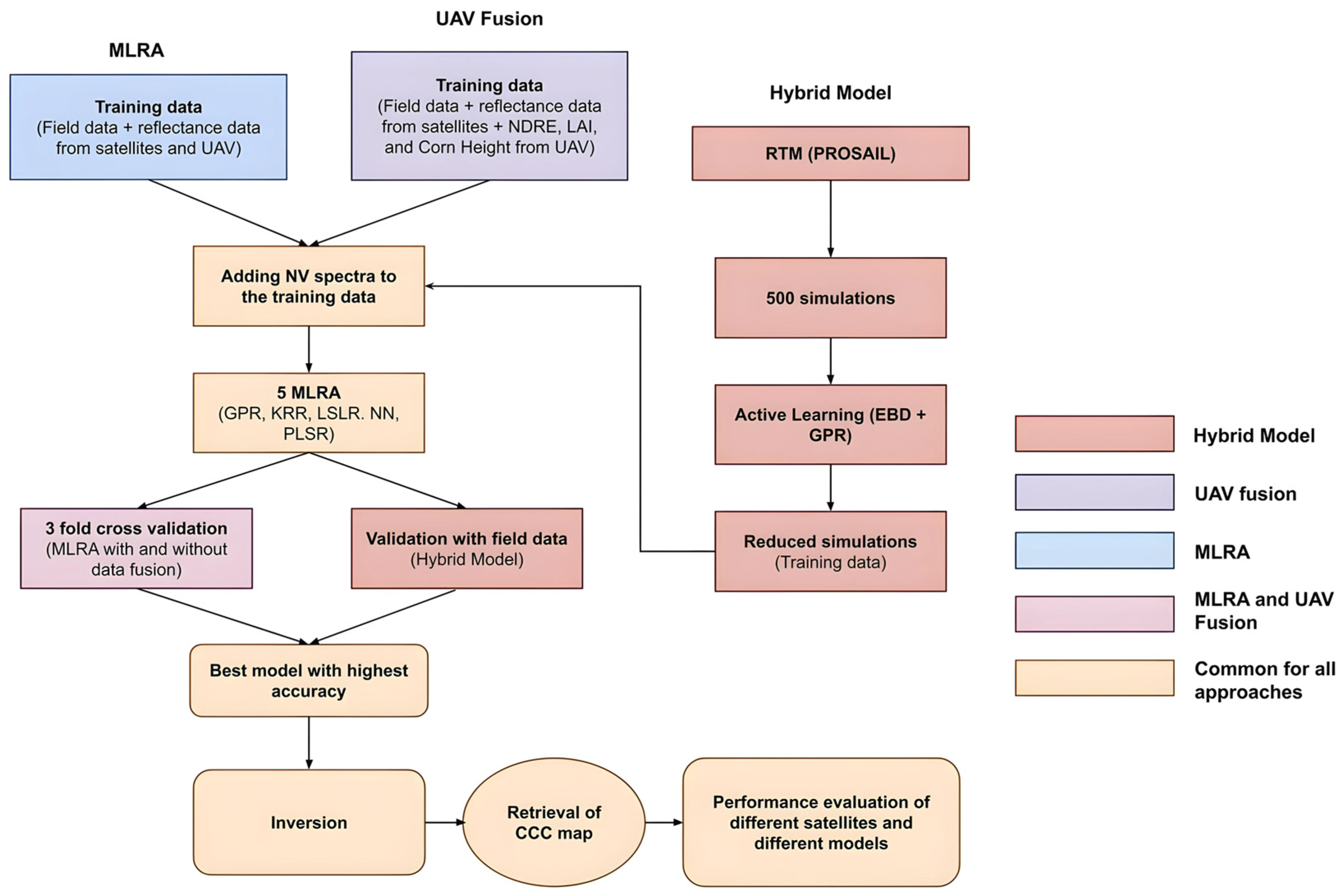
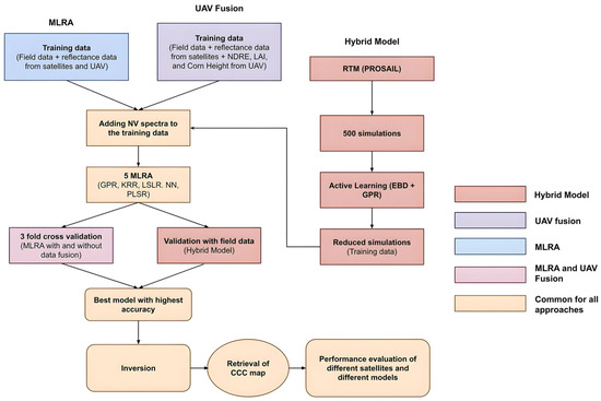
2.3. Methods and Models
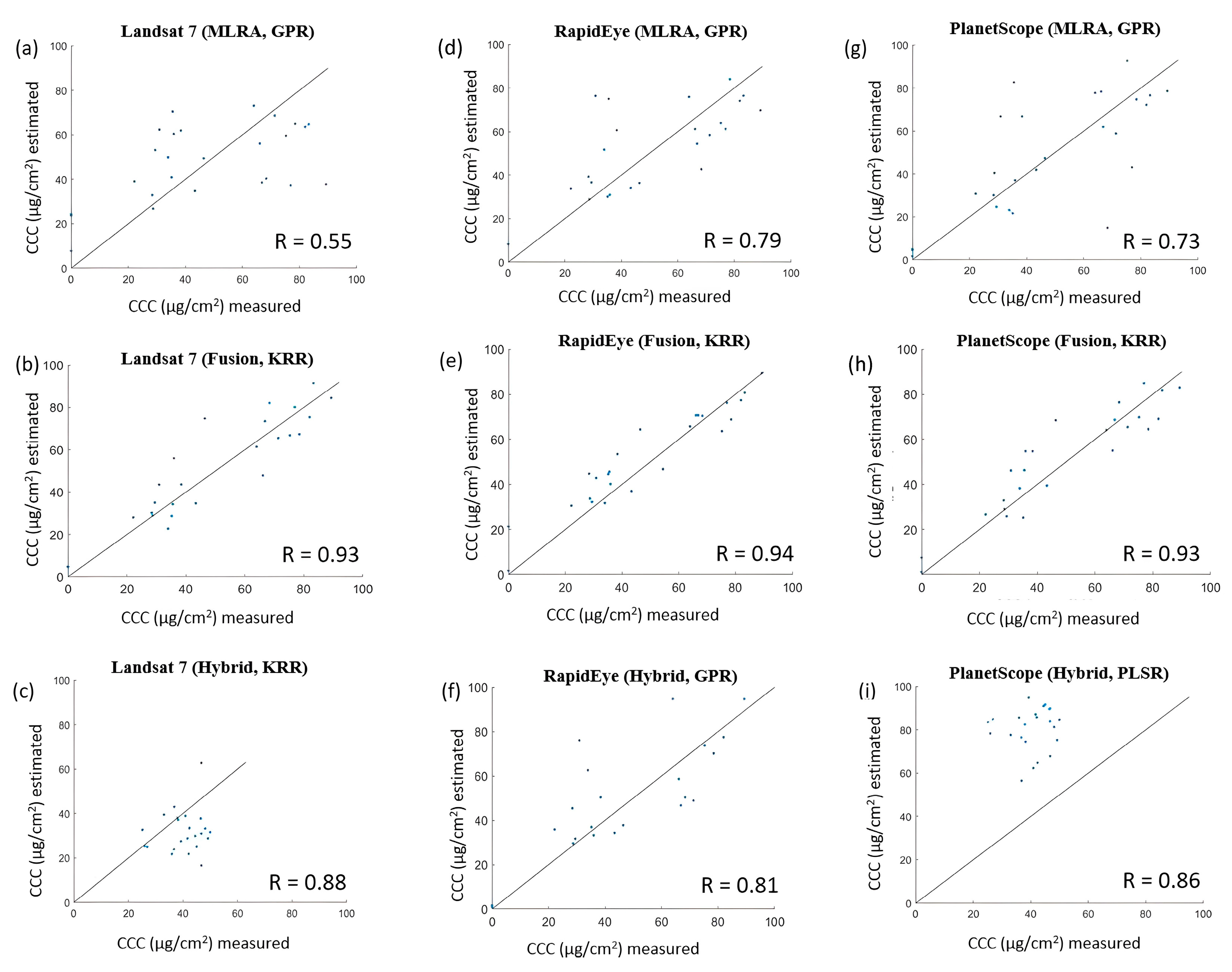
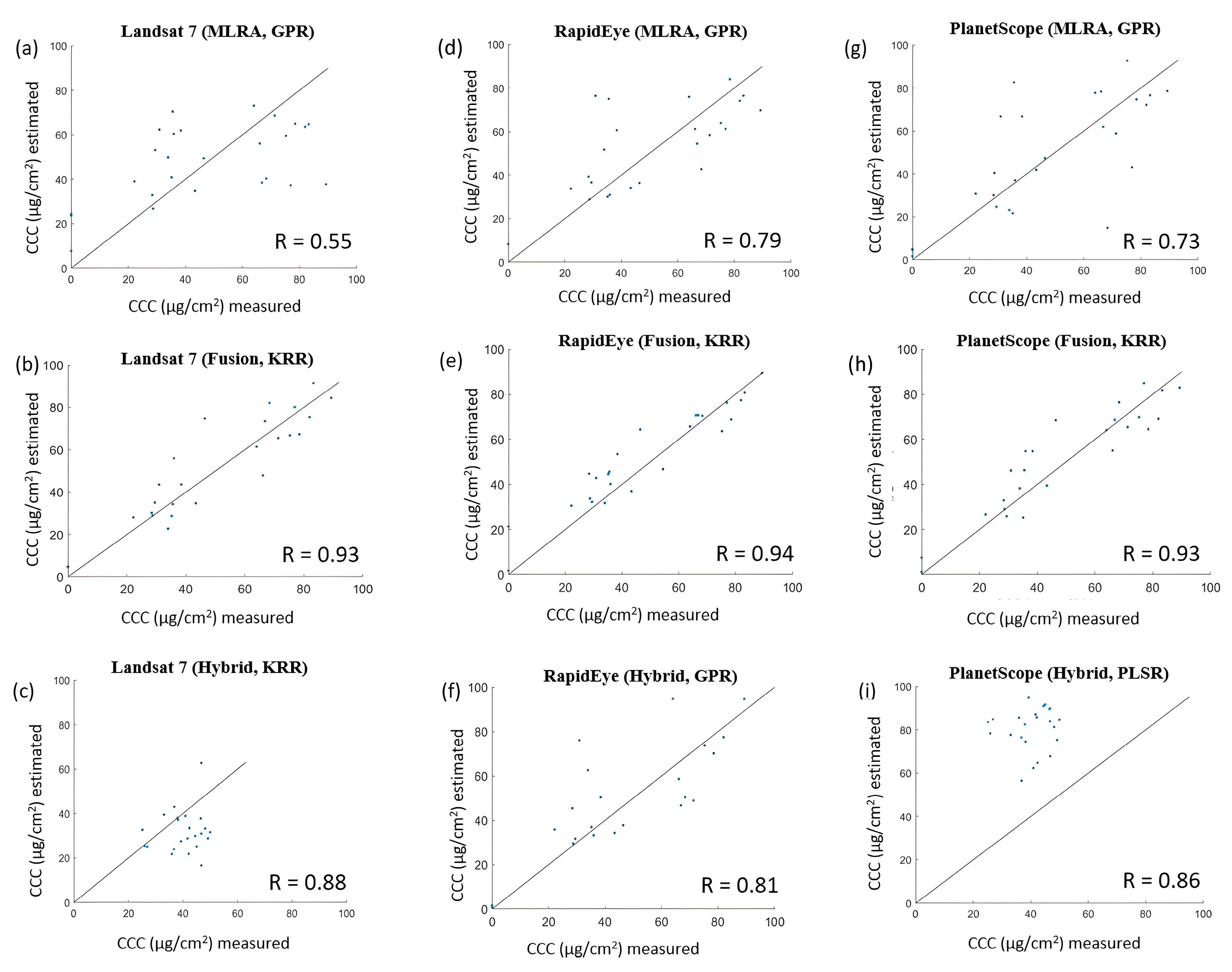
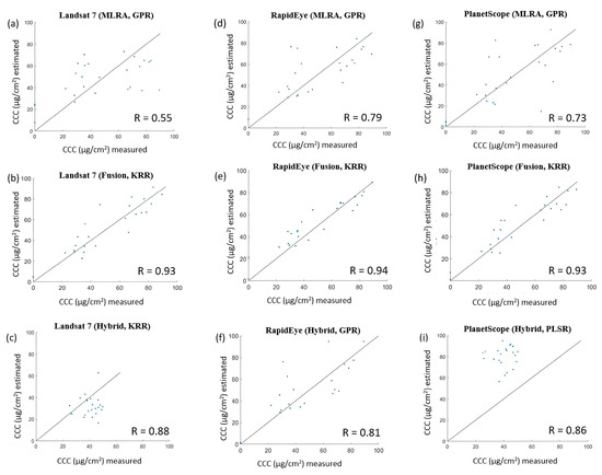
3. Results
4. Discussion
4.1. Empirical Modeling Using MRLAs
4.2. Hybrid Models (PROSAIL + MRLAs)
4.3. Uncertainties
5. Conclusions
- The five MLRAs applied to UAV–satellite data fusion outperformed their application to satellite bands or integration within hybrid models (PROSAIL + MLRAs) in small agricultural areas such as the KBS.
- UAV–satellite data fusion neutralized and mitigated the impact of the spatial and spectral resolution of the satellite imagery on the MLRAs’ performance.
- The red-edge-related information of RapidEye proved advantageous for all models across all three study scenarios, contributing to the stability of the models with minimal performance variability.
- The leaf area index (LAI) emerged as a critical parameter, necessitating incorporation with UAV-derived products in estimating biochemical parameters.
- The choice of MLRAs significantly influenced the performance of the hybrid models (PROSAIL + MLRAs).
- GPR and KRR emerged as standout models, demonstrating strong performance across various scenarios.
Author Contributions
Funding
Data Availability Statement
Acknowledgments
Conflicts of Interest
References
- Chakhvashvili, E.; Siegmann, B.; Muller, O.; Verrelst, J.; Bendig, J.; Kraska, T.; Rascher, U. Retrieval of Crop Variables from Proximal Multispectral UAV Image Data Using PROSAIL in Maize Canopy. Remote Sens. 2022, 14, 1247. [Google Scholar] [CrossRef] [PubMed]
- Guo, A.; Ye, H.; Li, G.; Zhang, B.; Huang, W.; Jiao, Q.; Qian, B.; Luo, P. Evaluation of Hybrid Models for Maize Chlorophyll Retrieval Using Medium-and High-Spatial-Resolution Satellite Images. Remote Sens. 2023, 15, 1784. [Google Scholar] [CrossRef]
- Tagliabue, G.; Boschetti, M.; Bramati, G.; Candiani, G.; Colombo, R.; Nutini, F.; Pompilio, L.; Rivera-Caicedo, J.P.; Rossi, M.; Rossini, M.; et al. Hybrid Retrieval of Crop Traits from Multi-Temporal PRISMA Hyperspectral Imagery. ISPRS J. Photogramm. Remote Sens. 2022, 187, 362–377. [Google Scholar] [CrossRef] [PubMed]
- Jacquemoud, S.; Baret, F.; Andrieu, B.; Danson, F.M.; Jaggard, K. Extraction of Vegetation Biophysical Parameters by Inversion of the PROSPECT+ SAIL Models on Sugar Beet Canopy Reflectance Data. Appl. TM AVIRIS Sensors. Remote Sens. Environ. 1995, 52, 163–172. [Google Scholar] [CrossRef]
- Kuusk, A. A Fast, Invertible Canopy Reflectance Model. Remote Sens. Environ. 1995, 51, 342–350. [Google Scholar] [CrossRef]
- Bicheron, P.; Leroy, M. A Method of Biophysical Parameter Retrieval at Global Scale by Inversion of a Vegetation Reflectance Model. Remote Sens. Environ. 1999, 67, 251–266. [Google Scholar] [CrossRef]
- Simic, A.; Chen, J.M.; Noland, T.L. Retrieval of Forest Chlorophyll Content Using Canopy Structure Parameters Derived from Multi-Angle Data: The Measurement Concept of Combining Nadir Hyperspectral and off-Nadir Multispectral Data. Int. J. Remote Sens. 2011, 32, 5621–5644. [Google Scholar] [CrossRef]
- Croft, H.; Chen, J.M.; Zhang, Y.; Simic, A. Modelling Leaf Chlorophyll Content in Broadleaf and Needle Leaf Canopies from Ground, CASI, Landsat TM 5 and MERIS Reflectance Data. Remote Sens. Environ. 2013, 133, 128–140. [Google Scholar] [CrossRef]
- Sun, J.; Shi, S.; Wang, L.; Li, H.; Wang, S.; Gong, W.; Tagesson, T. Optimizing LUT-Based Inversion of Leaf Chlorophyll from Hyperspectral Lidar Data: Role of Cost Functions and Regulation Strategies. Int. J. Appl. Earth Obs. Geoinf. 2021, 105, 102602. [Google Scholar] [CrossRef]
- Miraglio, T.; Adeline, K.; Huesca, M.; Ustin, S.; Briottet, X. Monitoring LAI, Chlorophylls, and Carotenoids Content of a Woodland Savanna Using Hyperspectral Imagery and 3D Radiative Transfer Modeling. Remote Sens. 2019, 12, 28. [Google Scholar] [CrossRef]
- Koetz, B.; Sun, G.; Morsdorf, F.; Ranson, K.J.; Kneubühler, M.; Itten, K.; Allgöwer, B. Fusion of Imaging Spectrometer and LIDAR Data over Combined Radiative Transfer Models for Forest Canopy Characterization. Remote Sens. Environ. 2007, 106, 449–459. [Google Scholar] [CrossRef]
- Schiefer, F.; Schmidtlein, S.; Kattenborn, T. The Retrieval of Plant Functional Traits from Canopy Spectra through RTM-Inversions and Statistical Models Are Both Critically Affected by Plant Phenology. Ecol. Indic. 2021, 121, 107062. [Google Scholar] [CrossRef]
- Jacquemoud, S.; Baret, F. PROSPECT: A Model of Leaf Optical Properties Spectra. Remote Sens. Environ. 1990, 34, 75–91. [Google Scholar] [CrossRef]
- Romero, A.; Aguado, I.; Yebra, M. Estimation of Dry Matter Content in Leaves Using Normalized Indexes and PROSPECT Model Inversion. Int. J. Remote Sens. 2012, 33, 396–414. [Google Scholar] [CrossRef]
- Shiklomanov, A.N.; Dietze, M.C.; Viskari, T.; Townsend, P.A.; Serbin, S.P. Quantifying the Influences of Spectral Resolution on Uncertainty in Leaf Trait Estimates through a Bayesian Approach to RTM Inversion. Remote Sens. Environ. 2016, 183, 226–238. [Google Scholar] [CrossRef]
- Verhoef, W. Light Scattering by Leaf Layers with Application to Canopy Reflectance Modeling: The SAIL Model. Remote Sens. Environ. 1984, 16, 125–141. [Google Scholar] [CrossRef]
- Han, D.; Liu, J.; Zhang, R.; Liu, Z.; Guo, T.; Jiang, H.; Wang, J.; Zhao, H.; Ren, S.; Yang, P. Evaluation of the SAIL Radiative Transfer Model for Simulating Canopy Reflectance of Row Crop Canopies. Remote Sens. 2023, 15, 5433. [Google Scholar] [CrossRef]
- Andrieu, B.; Baret, F.; Jacquemoud, S.; Malthus, T.; Steven, M. Evaluation of an Improved Version of SAIL Model for Simulating Bidirectional Reflectance of Sugar Beet Canopies. Remote Sens. Environ. 1997, 60, 247–257. [Google Scholar] [CrossRef]
- Verhoef, W.; Jia, L.; Su, Z. Optical-Thermal Canopy Radiance Directionality Modelling by Unified 4SAIL Model; National Aerospace Laboratory NLR: Amsterdam, The Netherlands, 2007. [Google Scholar]
- Jacquemoud, S.; Verhoef, W.; Baret, F.; Bacour, C.; Zarco-Tejada, P.J.; Asner, G.P.; François, C.; Ustin, S.L. PROSPECT+ SAIL Models: A Review of Use for Vegetation Characterization. Remote Sens. Environ. 2009, 113, S56–S66. [Google Scholar] [CrossRef]
- Verhoef, W.; Bach, H. Coupled Soil–Leaf-Canopy and Atmosphere Radiative Transfer Modeling to Simulate Hyperspectral Multi-Angular Surface Reflectance and TOA Radiance Data. Remote Sens. Environ. 2007, 109, 166–182. [Google Scholar] [CrossRef]
- Schaepman, M.E.; Wamelink, G.W.W.; van Dobben, H.F.; Gloor, M.; Schaepman-Strub, G.; Kooistra, L.; Clevers, J.G.P.W.; Schmidt, A.; Berendse, F. River Floodplain Vegetation Scenario Development Using Imaging Spectroscopy Derived Products as Input Variables in a Dynamic Vegetation Model. Photogramm. Eng. Remote Sens. 2007, 73, 1179–1188. [Google Scholar] [CrossRef]
- Malenovský, Z.; Albrechtová, J.; Lhotáková, Z.; Zurita-Milla, R.; Clevers, J.; Schaepman, M.E.; Cudlín, P. Applicability of the PROSPECT Model for Norway Spruce Needles. Int. J. Remote Sens. 2006, 27, 5315–5340. [Google Scholar] [CrossRef]
- Féret, J.-B.; Berger, K.; de Boissieu, F.; Malenovský, Z. PROSPECT-PRO for Estimating Content of Nitrogen-Containing Leaf Proteins and Other Carbon-Based Constituents. Remote Sens. Environ. 2021, 252, 112173. [Google Scholar] [CrossRef]
- Parry, C.K.; Nieto, H.; Guillevic, P.; Agam, N.; Kustas, W.P.; Alfieri, J.; McKee, L.; McElrone, A.J. An Intercomparison of Radiation Partitioning Models in Vineyard Canopies. Irrig. Sci. 2019, 37, 239–252. [Google Scholar] [CrossRef]
- Cao, B.; Guo, M.; Fan, W.; Xu, X.; Peng, J.; Ren, H.; Du, Y.; Li, H.; Bian, Z.; Hu, T. A New Directional Canopy Emissivity Model Based on Spectral Invariants. IEEE Trans. Geosci. Remote Sens. 2018, 56, 6911–6926. [Google Scholar] [CrossRef]
- Chaabouni, S.; Kallel, A.; Houborg, R. Improving Retrieval of Crop Biophysical Properties in Dryland Areas Using a Multi-Scale Variational RTM Inversion Approach. Int. J. Appl. Earth Obs. Geoinf. 2021, 94, 102220. [Google Scholar] [CrossRef]
- Verrelst, J.; Rivera, J.P.; Leonenko, G.; Alonso, L.; Moreno, J. Optimizing LUT-Based RTM Inversion for Semiautomatic Mapping of Crop Biophysical Parameters from Sentinel-2 and-3 Data: Role of Cost Functions. IEEE Trans. Geosci. Remote Sens. 2013, 52, 257–269. [Google Scholar] [CrossRef]
- Vicent, J.; Verrelst, J.; Sabater, N.; Alonso, L.; Rivera-Caicedo, J.P.; Martino, L.; Muñoz-Marí, J.; Moreno, J. Comparative Analysis of Atmospheric Radiative Transfer Models Using the Atmospheric Look-up Table Generator (ALG) Toolbox (Version 2.0). Geosci. Model Dev. 2020, 13, 1945–1957. [Google Scholar] [CrossRef]
- Vicent, J.; Sabater, N.; Alonso, L.; Verrelst, J.; Moreno, J. Alg: A Toolbox for the Generation of Look-Up Tables Based on Atmospheric Radiative Transfer Models. In Proceedings of the 2018 9th Workshop on Hyperspectral Image and Signal Processing: Evolution in Remote Sensing (WHISPERS), Amsterdam, The Netherlands, 23–26 September 2018; pp. 1–5. [Google Scholar]
- Darvishzadeh, R.; Skidmore, A.; Schlerf, M.; Atzberger, C. Inversion of a Radiative Transfer Model for Estimating Vegetation LAI and Chlorophyll in a Heterogeneous Grassland. Remote Sens. Environ. 2008, 112, 2592–2604. [Google Scholar] [CrossRef]
- Weiss, M.; Baret, F.; Myneni, R.; Pragnère, A.; Knyazikhin, Y. Investigation of a Model Inversion Technique to Estimate Canopy Biophysical Variables from Spectral and Directional Reflectance Data. Agronomie 2000, 20, 3–22. [Google Scholar] [CrossRef]
- He, Y.; Gong, Z.; Zheng, Y.; Zhang, Y. Inland Reservoir Water Quality Inversion and Eutrophication Evaluation Using BP Neural Network and Remote Sensing Imagery: A Case Study of Dashahe Reservoir. Water 2021, 13, 2844. [Google Scholar] [CrossRef]
- Ai, B.; Wen, Z.; Jiang, Y.; Gao, S.; Lv, G. Sea Surface Temperature Inversion Model for Infrared Remote Sensing Images Based on Deep Neural Network. Infrared Phys. Technol. 2019, 99, 231–239. [Google Scholar] [CrossRef]
- Houborg, R.; Boegh, E. Mapping Leaf Chlorophyll and Leaf Area Index Using Inverse and Forward Canopy Reflectance Modeling and SPOT Reflectance Data. Remote Sens. Environ. 2008, 112, 186–202. [Google Scholar] [CrossRef]
- Jacquemoud, S.; Bacour, C.; Poilvé, H.; Frangi, J.-P. Comparison of Four Radiative Transfer Models to Simulate Plant Canopies Reflectance: Direct and Inverse Mode. Remote Sens. Environ. 2000, 74, 471–481. [Google Scholar] [CrossRef]
- Kimes, D.S.; Knyazikhin, Y.; Privette, J.L.; Abuelgasim, A.A.; Gao, F. Inversion Methods for Physically-based Models. Remote Sens. Rev. 2000, 18, 381–439. [Google Scholar] [CrossRef]
- Verrelst, J.; Malenovský, Z.; Van der Tol, C.; Camps-Valls, G.; Gastellu-Etchegorry, J.-P.; Lewis, P.; North, P.; Moreno, J. Quantifying Vegetation Biophysical Variables from Imaging Spectroscopy Data: A Review on Retrieval Methods. Surv. Geophys. 2019, 40, 589–629. [Google Scholar] [CrossRef] [PubMed]
- Boiarskii, B.; Hasegawa, H. Comparison of NDVI and NDRE Indices to Detect Differences in Vegetation and Chlorophyll Content. J. Mech. Contin. Math. Sci. 2019, spl1, 20–29. [Google Scholar] [CrossRef]
- Chen, C.; Chen, Q.; Li, G.; He, M.; Dong, J.; Yan, H.; Wang, Z.; Duan, Z. A Novel Multi-Source Data Fusion Method Based on Bayesian Inference for Accurate Estimation of Chlorophyll-a Concentration over Eutrophic Lakes. Environ. Model. Softw. 2021, 141, 105057. [Google Scholar] [CrossRef]
- Maimaitijiang, M.; Sagan, V.; Sidike, P.; Daloye, A.M.; Erkbol, H.; Fritschi, F.B. Crop Monitoring Using Satellite/UAV Data Fusion and Machine Learning. Remote Sens. 2020, 12, 1357. [Google Scholar] [CrossRef]
- Chusnah, W.N.; Chu, H.-J.; Tatas; Jaelani, L.M. Machine-Learning-Estimation of High-Spatiotemporal-Resolution Chlorophyll-a Concentration Using Multi-Satellite Imagery. Sustain. Environ. Res. 2023, 33, 11. [Google Scholar] [CrossRef]
- Alvarez-Vanhard, E.; Corpetti, T.; Houet, T. UAV & Satellite Synergies for Optical Remote Sensing Applications: A Literature Review. Sci. Remote Sens. 2021, 3, 100019. [Google Scholar] [CrossRef]
- Shu, M.; Shen, M.; Zuo, J.; Yin, P.; Wang, M.; Xie, Z.; Tang, J.; Wang, R.; Li, B.; Yang, X.; et al. The Application of UAV-Based Hyperspectral Imaging to Estimate Crop Traits in Maize Inbred Lines. Plant Phenomics 2021, 2021, 9890745. [Google Scholar] [CrossRef] [PubMed]
- Lelong, C.C.; Burger, P.; Jubelin, G.; Roux, B.; Labbé, S.; Baret, F. Assessment of Unmanned Aerial Vehicles Imagery for Quantitative Monitoring of Wheat Crop in Small Plots. Sensors 2008, 8, 3557–3585. [Google Scholar] [CrossRef] [PubMed]
- Gunia, M.; Laine, M.; Malve, O.; Kallio, K.; Kervinen, M.; Anttila, S.; Kotamäki, N.; Siivola, E.; Kettunen, J.; Kauranne, T. Data Fusion System for Monitoring Water Quality: Application to Chlorophyll-a in Baltic Sea Coast. Environ. Model. Softw. 2022, 155, 105465. [Google Scholar] [CrossRef]
- Maimaitijiang, M.; Ghulam, A.; Sidike, P.; Hartling, S.; Maimaitiyiming, M.; Peterson, K.; Shavers, E.; Fishman, J.; Peterson, J.; Kadam, S. Unmanned Aerial System (UAS)-Based Phenotyping of Soybean Using Multi-Sensor Data Fusion and Extreme Learning Machine. ISPRS J. Photogramm. Remote Sens. 2017, 134, 43–58. [Google Scholar] [CrossRef]
- Houborg, R.; Soegaard, H.; Boegh, E. Combining Vegetation Index and Model Inversion Methods for the Extraction of Key Vegetation Biophysical Parameters Using Terra and Aqua MODIS Reflectance Data. Remote Sens. Environ. 2007, 106, 39–58. [Google Scholar] [CrossRef]
- Sefer, A.; Yapar, A.; Yelkenci, T. Imaging of Rough Surfaces by RTM Method. IEEE Trans. Geosci. Remote Sens. 2024, 62, 1–12. [Google Scholar] [CrossRef]
- Verrelst, J.; Muñoz, J.; Alonso, L.; Delegido, J.; Rivera, J.P.; Camps-Valls, G.; Moreno, J. Machine Learning Regression Algorithms for Biophysical Parameter Retrieval: Opportunities for Sentinel-2 and -3. Remote Sens. Environ. 2012, 118, 127–139. [Google Scholar] [CrossRef]
- Robertson, G.P.; Collins, S.L.; Foster, D.R.; Brokaw, N.; Ducklow, H.W.; Gragson, T.L.; Gries, C.; Hamilton, S.K.; McGuire, A.D.; Moore, J.C.; et al. Long-Term Ecological Research in a Human-Dominated World. BioScience 2012, 62, 342–353. [Google Scholar] [CrossRef]
- Robertson, G.P. The Ecology of Agricultural Landscapes: Long-Term Research on the Path to Sustainability; Oxford University Press: Oxford, UK, 2015. [Google Scholar]
- Simic Milas, A.; Vincent, R.K. Monitoring Landsat Vegetation Indices for Different Crop Treatments and Soil Chemistry. Int. J. Remote Sens. 2017, 38, 141–160. [Google Scholar] [CrossRef]
- Uddling, J.; Gelang-Alfredsson, J.; Piikki, K.; Pleijel, H. Evaluating the Relationship between Leaf Chlorophyll Concentration and SPAD-502 Chlorophyll Meter Readings. Photosynth. Res. 2007, 91, 37–46. [Google Scholar] [CrossRef]
- CAN_EYE_User_Manual.Pdf. Available online: https://jecam.org/wp-content/uploads/2018/07/CAN_EYE_User_Manual.pdf (accessed on 9 May 2024).
- Simic Milas, A.; Romanko, M.; Reil, P.; Abeysinghe, T.; Marambe, A. The Importance of Leaf Area Index in Mapping Chlorophyll Content of Corn under Different Agricultural Treatments Using UAV Images. Int. J. Remote Sens. 2018, 39, 5415–5431. [Google Scholar] [CrossRef]
- Wolberg, J.; Wolberg, E.J. The Method of Least Squares. In Designing Quantitative Experiments: Prediction Analysis; Springer: Berlin/Heidelberg, Germany, 2010; pp. 47–89. [Google Scholar]
- Atzberger, C.; Guérif, M.; Baret, F.; Werner, W. Comparative Analysis of Three Chemometric Techniques for the Spectroradiometric Assessment of Canopy Chlorophyll Content in Winter Wheat. Comput. Electron. Agric. 2010, 73, 165–173. [Google Scholar] [CrossRef]
- Yi, Q.; Jiapaer, G.; Chen, J.; Bao, A.; Wang, F. Different Units of Measurement of Carotenoids Estimation in Cotton Using Hyperspectral Indices and Partial Least Square Regression. ISPRS J. Photogramm. Remote Sens. 2014, 91, 72–84. [Google Scholar] [CrossRef]
- Kalacska, M.; Lalonde, M.; Moore, T.R. Estimation of Foliar Chlorophyll and Nitrogen Content in an Ombrotrophic Bog from Hyperspectral Data: Scaling from Leaf to Image. Remote Sens. Environ. 2015, 169, 270–279. [Google Scholar] [CrossRef]
- Malenovský, Z.; Homolová, L.; Zurita-Milla, R.; Lukeš, P.; Kaplan, V.; Hanuš, J.; Gastellu-Etchegorry, J.-P.; Schaepman, M.E. Retrieval of Spruce Leaf Chlorophyll Content from Airborne Image Data Using Continuum Removal and Radiative Transfer. Remote Sens. Environ. 2013, 131, 85–102. [Google Scholar] [CrossRef]
- Uno, Y.; Prasher, S.O.; Lacroix, R.; Goel, P.K.; Karimi, Y.; Viau, A.; Patel, R.M. Artificial Neural Networks to Predict Corn Yield from Compact Airborne Spectrographic Imager Data. Comput. Electron. Agric. 2005, 47, 149–161. [Google Scholar] [CrossRef]
- Wang, F.; Huang, J.; Wang, Y.; Liu, Z.; Peng, D.; Cao, F. Monitoring Nitrogen Concentration of Oilseed Rape from Hyperspectral Data Using Radial Basis Function. Int. J. Digit. Earth 2013, 6, 550–562. [Google Scholar] [CrossRef]
- Caicedo, J.P.R.; Verrelst, J.; Muñoz-Marí, J.; Moreno, J.; Camps-Valls, G. Toward a Semiautomatic Machine Learning Retrieval of Biophysical Parameters. IEEE J. Sel. Top. Appl. Earth Obs. Remote Sens. 2014, 7, 1249–1259. [Google Scholar] [CrossRef]
- Rivera-Caicedo, J.P.; Verrelst, J.; Muñoz-Marí, J.; Camps-Valls, G.; Moreno, J. Hyperspectral Dimensionality Reduction for Biophysical Variable Statistical Retrieval. ISPRS J. Photogramm. Remote Sens. 2017, 132, 88–101. [Google Scholar] [CrossRef]
- Wang, F.; Huang, J.; Lou, Z. A Comparison of Three Methods for Estimating Leaf Area Index of Paddy Rice from Optimal Hyperspectral Bands. Precis. Agric. 2011, 12, 439–447. [Google Scholar] [CrossRef]
- Peng, Y.; Huang, H.; Wang, W.; Wu, J.; Wang, X. Rapid Detection of Chlorophyll Content in Corn Leaves by Using Least Squares-Support Vector Machines and Hyperspectral Images. J. Jiangsu Univ. -Nat. Sci. Ed. 2011, 32, 125–174. [Google Scholar]
- Camps-Valls, G.; Verrelst, J.; Munoz-Mari, J.; Laparra, V.; Mateo-Jimenez, F.; Gomez-Dans, J. A Survey on Gaussian Processes for Earth-Observation Data Analysis: A Comprehensive Investigation. IEEE Geosci. Remote Sens. Mag. 2016, 4, 58–78. [Google Scholar] [CrossRef]
- Williams, C.K.; Rasmussen, C.E. Gaussian Processes for Machine Learning; MIT Press: Cambridge, MA, USA, 2006; Volume 2. [Google Scholar]
- Verrelst, J.; Alonso, L.; Caicedo, J.P.R.; Moreno, J.; Camps-Valls, G. Gaussian Process Retrieval of Chlorophyll Content from Imaging Spectroscopy Data. IEEE J. Sel. Top. Appl. Earth Obs. Remote Sens. 2012, 6, 867–874. [Google Scholar] [CrossRef]
- Ashourloo, D.; Aghighi, H.; Matkan, A.A.; Mobasheri, M.R.; Rad, A.M. An Investigation into Machine Learning Regression Techniques for the Leaf Rust Disease Detection Using Hyperspectral Measurement. IEEE J. Sel. Top. Appl. Earth Obs. Remote Sens. 2016, 9, 4344–4351. [Google Scholar] [CrossRef]
- Suykens, J.a.K.; Vandewalle, J. Chaos Control Using Least-Squares Support Vector Machines. Int. J. Circuit Theory Appl. 1999, 27, 605–615. [Google Scholar] [CrossRef]
- Geladi, P.; Kowalski, B.R. Partial Least-Squares Regression: A Tutorial. Anal. Chim. Acta 1986, 185, 1–17. [Google Scholar] [CrossRef]
- Verrelst, J.; Rivera-Caicedo, J.P.; Reyes-Muñoz, P.; Morata, M.; Amin, E.; Tagliabue, G.; Panigada, C.; Hank, T.; Berger, K. Mapping Landscape Canopy Nitrogen Content from Space Using PRISMA Data. ISPRS J. Photogramm. Remote Sens. 2021, 178, 382–395. [Google Scholar] [CrossRef]
- Hagan, M.T.; Menhaj, M.B. Training Feedforward Networks with the Marquardt Algorithm. IEEE Trans. Neural Netw. 1994, 5, 989–993. [Google Scholar] [CrossRef]
- NV5 Geospatial Solutions & Services Expertise. Available online: https://www.nv5.com/geospatial/ (accessed on 9 May 2024).
- Verrelst, J.; Rivera, J.; Alonso, L.; Moreno, J. ARTMO: An Automated Radiative Transfer Models Operator Toolbox for Automated Retrieval of Biophysical Parameters through Model Inversion. In Proceedings of the EARSeL 7th SIG-Imaging Spectroscopy Workshop, Edinburgh, UK, 11–13 April 2011; pp. 11–13. [Google Scholar]
- ARTMO Toolbox. Available online: https://artmotoolbox.com/ (accessed on 9 May 2024).
- Berger, K.; Atzberger, C.; Danner, M.; D’Urso, G.; Mauser, W.; Vuolo, F.; Hank, T. Evaluation of the PROSAIL Model Capabilities for Future Hyperspectral Model Environments: A Review Study. Remote Sens. 2018, 10, 85. [Google Scholar] [CrossRef]
- Haboudane, D.; Miller, J.R.; Pattey, E.; Zarco-Tejada, P.J.; Strachan, I.B. Hyperspectral Vegetation Indices and Novel Algorithms for Predicting Green LAI of Crop Canopies: Modeling and Validation in the Context of Precision Agriculture. Remote Sens. Environ. 2004, 90, 337–352. [Google Scholar] [CrossRef]
- Tuia, D.; Volpi, M.; Copa, L.; Kanevski, M.; Munoz-Mari, J. A Survey of Active Learning Algorithms for Supervised Remote Sensing Image Classification. IEEE J. Sel. Top. Signal Process. 2011, 5, 606–617. [Google Scholar] [CrossRef]
- Candiani, G.; Tagliabue, G.; Panigada, C.; Verrelst, J.; Picchi, V.; Rivera Caicedo, J.P.; Boschetti, M. Evaluation of Hybrid Models to Estimate Chlorophyll and Nitrogen Content of Maize Crops in the Framework of the Future CHIME Mission. Remote Sens. 2022, 14, 1792. [Google Scholar] [CrossRef] [PubMed]
- Berger, K.; Verrelst, J.; Féret, J.-B.; Hank, T.; Wocher, M.; Mauser, W.; Camps-Valls, G. Retrieval of Aboveground Crop Nitrogen Content with a Hybrid Machine Learning Method. Int. J. Appl. Earth Obs. Geoinf. 2020, 92, 102174. [Google Scholar] [CrossRef] [PubMed]
- Brown, L.A.; Ogutu, B.O.; Dash, J. Estimating Forest Leaf Area Index and Canopy Chlorophyll Content with Sentinel-2: An Evaluation of Two Hybrid Retrieval Algorithms. Remote Sens. 2019, 11, 1752. [Google Scholar] [CrossRef]
- Singhal, G.; Bansod, B.; Mathew, L.; Goswami, J.; Choudhury, B.U.; Raju, P.L.N. Chlorophyll Estimation Using Multi-Spectral Unmanned Aerial System Based on Machine Learning Techniques. Remote Sens. Appl. Soc. Environ. 2019, 15, 100235. [Google Scholar] [CrossRef]
- Priyanka; Srivastava, P.K.; Rawat, R. Retrieval of Leaf Chlorophyll Content Using Drone Imagery and Fusion with Sentinel-2 Data. Smart Agric. Technol. 2023, 6, 100353. [Google Scholar] [CrossRef]
- Zhou, X.; Zhang, J.; Chen, D.; Huang, Y.; Kong, W.; Yuan, L.; Ye, H.; Huang, W. Assessment of Leaf Chlorophyll Content Models for Winter Wheat Using Landsat-8 Multispectral Remote Sensing Data. Remote Sens. 2020, 12, 2574. [Google Scholar] [CrossRef]
- Wang, Q.; Chen, X.; Meng, H.; Miao, H.; Jiang, S.; Chang, Q. UAV Hyperspectral Data Combined with Machine Learning for Winter Wheat Canopy SPAD Values Estimation. Remote Sens. 2023, 15, 4658. [Google Scholar] [CrossRef]
- Chang-Hua, J.U.; Yong-Chao, T.; Xia, Y.A.O.; Wei-Xing, C.A.O.; Yan, Z.H.U.; Hannaway, D. Estimating Leaf Chlorophyll Content Using Red Edge Parameters. Pedosphere 2010, 20, 633–644. [Google Scholar]
- Horler, D.N.H.; Dockray, M.; Barber, J.; Barringer, A.R. Red Edge Measurements for Remotely Sensing Plant Chlorophyll Content. Adv. Space Res. 1983, 3, 273–277. [Google Scholar] [CrossRef]
- Zhang, H.; Li, J.; Liu, Q.; Lin, S.; Huete, A.; Liu, L.; Croft, H.; Clevers, J.G.; Zeng, Y.; Wang, X. A Novel Red-edge Spectral Index for Retrieving the Leaf Chlorophyll Content. Methods Ecol. Evol. 2022, 13, 2771–2787. [Google Scholar] [CrossRef]
- Alam, M.M.T.; Milas, A. Machine Learning-Based Estimation of Canopy Chlorophyll Content in Crops from Multiple Satellite Images with Various Spatial Resolutions; The Geological Society of America (GSA): Pittsburgh, PA, USA, 2023; Volume 55, No. 6. [Google Scholar] [CrossRef]
- Fitzgerald, G.; Rodriguez, D.; O’Leary, G. Measuring and Predicting Canopy Nitrogen Nutrition in Wheat Using a Spectral Index—The Canopy Chlorophyll Content Index (CCCI). Field Crops Res. 2010, 116, 318–324. [Google Scholar] [CrossRef]
- El-Shikha, D.M.; Barnes, E.M.; Clarke, T.R.; Hunsaker, D.J.; Haberland, J.A.; Pinter Jr, P.J.; Waller, P.M.; Thompson, T.L. Remote Sensing of Cotton Nitrogen Status Using the Canopy Chlorophyll Content Index (CCCI). Trans. ASABE 2008, 51, 73–82. [Google Scholar] [CrossRef]
- Macedo, L.S.; Kawakubo, F.S. Temporal Analysis of Vegetation Indices Related to Biophysical Parameters Using Sentinel 2A Images to Estimate Maize Production. In Remote Sensing for Agriculture, Ecosystems, and Hydrology XIX; SPIE: Bellingham, WA, USA, 2017; Volume 10421, pp. 213–220. [Google Scholar]
- Barnes, E.; Clarke, T.R.; Richards, S.E.; Colaizzi, P.; Haberland, J.; Kostrzewski, M.; Waller, P.; Choi, C.; Riley, E.; Thompson, T.L. Coincident Detection of Crop Water Stress, Nitrogen Status, and Canopy Density Using Ground Based Multispectral Data. In Proceedings of the Fifth International Conference on Precision Agriculture and Other Resource Management, Bloomington, MN, USA, 16–19 July 2000. [Google Scholar]
- Zhang, H.; Li, J.; Liu, Q.; Zhao, J.; Dong, Y. A Highly Chlorophyll-Sensitive and LAI-Insensitive Index Based on the Red-Edge Band: CSI. In Proceedings of the IGARSS 2020-2020 IEEE International Geoscience and Remote Sensing Symposium, Waikoloa, HI, USA, 26 September–2 October 2020; pp. 5014–5017. [Google Scholar]
- Bi, K.; Gao, S.; Niu, Z.; Zhang, C.; Huang, N. Estimating Leaf Chlorophyll and Nitrogen Contents Using Active Hyperspectral LiDAR and Partial Least Square Regression Method. J. Appl. Remote Sens. 2019, 13, 034513. [Google Scholar] [CrossRef]
- Peng, Z.; Guan, L.; Liao, Y.; Lian, S. Estimating Total Leaf Chlorophyll Content of Gannan Navel Orange Leaves Using Hyperspectral Data Based on Partial Least Squares Regression. IEEE Access 2019, 7, 155540–155551. [Google Scholar] [CrossRef]
- Yu, K.; Li, F.; Gnyp, M.L.; Miao, Y.; Bareth, G.; Chen, X. Remotely Detecting Canopy Nitrogen Concentration and Uptake of Paddy Rice in the Northeast China Plain. ISPRS J. Photogramm. Remote Sens. 2013, 78, 102–115. [Google Scholar] [CrossRef]
- Farifteh, J.; Van der Meer, F.; Atzberger, C.; Carranza, E.J.M. Quantitative Analysis of Salt-Affected Soil Reflectance Spectra: A Comparison of Two Adaptive Methods (PLSR and ANN). Remote Sens. Environ. 2007, 110, 59–78. [Google Scholar] [CrossRef]
- Song, S.; Gong, W.; Zhu, B.; Huang, X. Wavelength Selection and Spectral Discrimination for Paddy Rice, with Laboratory Measurements of Hyperspectral Leaf Reflectance. ISPRS J. Photogramm. Remote Sens. 2011, 66, 672–682. [Google Scholar] [CrossRef]
- Malinin, A.; Gales, M. Predictive Uncertainty Estimation via Prior Networks. In Advances in Neural Information Processing Systems; MIT Press: Cambridge, MA, USA, 2018; Volume 31. [Google Scholar]
- Datt, B. Remote Sensing of Chlorophyll a, Chlorophyll b, Chlorophyll A+ b, and Total Carotenoid Content in Eucalyptus Leaves. Remote Sens. Environ. 1998, 66, 111–121. [Google Scholar] [CrossRef]
- Curran, P.J.; Dungan, J.L.; Gholz, H.L. Exploring the Relationship between Reflectance Red Edge and Chlorophyll Content in Slash Pine. Tree Physiol. 1990, 7, 33–48. [Google Scholar] [CrossRef]
- Sun, Q.; Jiao, Q.; Qian, X.; Liu, L.; Liu, X.; Dai, H. Improving the Retrieval of Crop Canopy Chlorophyll Content Using Vegetation Index Combinations. Remote Sens. 2021, 13, 470. [Google Scholar] [CrossRef]
- Peng, Y.; Nguy-Robertson, A.; Arkebauer, T.; Gitelson, A.A. Assessment of Canopy Chlorophyll Content Retrieval in Maize and Soybean: Implications of Hysteresis on the Development of Generic Algorithms. Remote Sens. 2017, 9, 226. [Google Scholar] [CrossRef]






| Landsat 7 | RapidEye | PlanetScope | UAV | |||||
|---|---|---|---|---|---|---|---|---|
| Band Center (nm) | GSD (m) | Band Center (nm) | GSD (m) | Band Center (nm) | GSD (m) | Band Center (nm) | GSD (m) | |
| Blue | 485 | 30 | 440 | 5 | 455 | 3.125 | - | - |
| Green | 560 | 30 | 520 | 5 | 545 | 3.125 | 550 | 0.13 |
| Red | 665 | 30 | 670 | 5 | 660 | 3.125 | 650 | 0.13 |
| Red Edge | - | - | 690 | 5 | - | - | 720 | 0.13 |
| NIR | 835 | 30 | 760 | 5 | 865 | 3.125 | 800 | 0.13 |
| SWIR1 | 1650 | 30 | - | - | - | - | - | - |
| SWIR2 | 2200 | 30 | - | - | - | - | - | - |
| Algorithm Name | Advantages | Disadvantages | Source |
|---|---|---|---|
| Kernel ridge regression (KRR) | Handles non-linear relationships with kernel functions | The memory requirement for the storage of the kernel matrix can be quite high for large datasets, which can be a limitation for systems with limited memory resources | [72] |
| Least squares linear regression (LSLR) | Simple, interpretable, computationally efficient | Prone to overfitting with high-dimensional data | [57] |
| Partial least squares regression (PLSR) | Reduces dimensionality and handles correlated features | Interpretation of coefficients can be challenging | [73] |
| Gaussian process regression (GPR) | Provides uncertainty estimates for predictions, simple to train, and works well with comparatively smaller datasets | Computationally expensive for large datasets | [69,74] |
| Neural networks (NN) | Highly flexible, learns complex patterns in data | Can be prone to overfitting and requires careful configuration | [75] |
| Model | Parameter | Description | Unit | Distribution | Range | Source |
|---|---|---|---|---|---|---|
| PROSPECT-PRO | N | Leaf structure | unitless | Uniform | 1–2 | [83] |
| Cab | Leaf chlorophyll content | µg/cm2 | Uniform | 0–80 | - | |
| Ccx | Leaf carotenoid content | µg/cm2 | Uniform | 2–20 | [3] | |
| Canth | Leaf anthocyanin content | µg/cm2 | Uniform | 0–2 | [83] | |
| EWT | Leaf water content | cm | Uniform | 0.001–0.02 | [83] | |
| Cp | Leaf protein content | g/cm2 | Uniform | 0.001–0.0015 | [3] | |
| Cbrown | Brown pigment content | µg/cm2 | - | 0 | [83] | |
| CBC | Carbon-based constituents | g/cm2 | Uniform | 0.001–0.01 | [83] | |
| 4SAIL | ALA | Average leaf inclination angle | deg | Uniform | 20–70 | [1] |
| LAI | Leaf area index | m2/m2 | Uniform | 0–6 | - | |
| HOT | Hot spot parameter | m/m | Uniform | 0.01–0.5 | [1] | |
| SZA | Solar zenith angle | deg | Uniform | 20–35 | [82] | |
| OZA | Observer azimuth angle | deg | - | 0 | [82] | |
| RAA | Relative azimuth angle | deg | - | 0 | [82] | |
| BG | Soil brightness | unitless | - | 0.8 | [9] | |
| DR | Diffuse/direct radiation | unitless | - | 80 | - |
| Performance of Five MLRAs Applied to Satellite Images | |||||||||
|---|---|---|---|---|---|---|---|---|---|
| Landsat 7 | RapidEye | PlanetScope | |||||||
| RMSE (µg/cm2) | NRMSE (%) | R2 | RMSE (µg/cm2) | NRMSE (%) | R2 | RMSE (µg/cm2) | NRMSE (%) | R2 | |
| GPR | 22.28 | 24.96 | 0.30 | 16.51 | 18.49 | 0.62 | 19.61 | 21.96 | 0.53 |
| KRR | 24.65 | 27.61 | 0.23 | 20.91 | 23.42 | 0.45 | 22.34 | 25.03 | 0.37 |
| LSLR | 158.53 | 177.56 | 0.07 | 22.62 | 25.34 | 0.34 | 22.27 | 24.95 | 0.40 |
| NN | 29.74 | 33.31 | 0.25 | 23.96 | 26.83 | 0.37 | 24.24 | 27.15 | 0.33 |
| PLSR | 153.76 | 172.22 | 0.07 | 22.62 | 25.34 | 0.34 | 21.11 | 23.65 | 0.43 |
| Performance of five MLRAs applied to fused satellite and UAV images | |||||||||
| GPR | 10.61 | 11.88 | 0.85 | 9.65 | 10.81 | 0.89 | 11.69 | 13.09 | 0.83 |
| KRR | 10.22 | 11.45 | 0.86 | 8.99 | 10.07 | 0.89 | 9.64 | 10.79 | 0.87 |
| LSLR | 19.06 | 21.34 | 0.67 | 48.50 | 54.30 | 0.36 | 13.37 | 14.97 | 0.76 |
| NN | 12.83 | 14.37 | 0.78 | 14.41 | 16.15 | 0.75 | 14.66 | 16.42 | 0.75 |
| PLSR | 24.73 | 27.70 | 0.49 | 79.50 | 89.90 | 0.26 | 24.30 | 27.21 | 0.36 |
| Performance of hybrid PROSAIL + MLRA models applied to satellite images | |||||||||
| GPR | 42.91 | 85.96 | 0.51 | 19.16 | 21.46 | 0.66 | 76.33 | 152.76 | 0.47 |
| KRR | 33.10 | 66.24 | 0.77 | 26.13 | 29.27 | 0.69 | 148.12 | 296.45 | 0.57 |
| LSLR | 71.83 | 143.76 | 0.02 | 28.54 | 31.97 | 0.71 | 40.66 | 81.37 | 0.75 |
| NN | 148.72 | 297.63 | 0.34 | 25.60 | 28.68 | 0.71 | 67.73 | 135.55 | 0.48 |
| PLSR | 73.64 | 147.37 | 0.02 | 27.53 | 32.99 | 0.71 | 39.78 | 79.60 | 0.75 |
| MLRAs Applied to UAV Image | MLRAs Applied to UAV Image Including UAV-Derived NDRE, LAI, and Canopy Height Model | Hybrid (PROSAIL + MLRA) Applied to UAV Image | |||||||
|---|---|---|---|---|---|---|---|---|---|
| RMSE µg/cm2 | NRMSE % | R2 | RMSE µg/cm2 | NRMSE % | R2 | RMSE µg/cm2 | NRMSE % | R2 | |
| GPR | 17.60 | 19.72 | 0.67 | 9.27 | 10.38 | 0.91 | 38.89 | 43.56 | 0.06 |
| KRR | 16.11 | 18.05 | 0.72 | 8.31 | 9.31 | 0.92 | 83.21 | 93.20 | 0.25 |
| LSLR | 15.57 | 17.44 | 0.74 | 9.77 | 10.94 | 0.90 | 92.46 | 103.57 | 0.02 |
| NN | 18.49 | 20.70 | 0.66 | 13.34 | 14.94 | 0.81 | 35.80 | 40.10 | 0.02 |
| PLSR | 16.59 | 18.58 | 0.73 | 9.26 | 10.37 | 0.91 | 92.46 | 103.57 | 0.02 |
Disclaimer/Publisher’s Note: The statements, opinions and data contained in all publications are solely those of the individual author(s) and contributor(s) and not of MDPI and/or the editor(s). MDPI and/or the editor(s) disclaim responsibility for any injury to people or property resulting from any ideas, methods, instructions or products referred to in the content. |
© 2024 by the authors. Licensee MDPI, Basel, Switzerland. This article is an open access article distributed under the terms and conditions of the Creative Commons Attribution (CC BY) license (https://creativecommons.org/licenses/by/4.0/).
Share and Cite
Alam, M.M.T.; Simic Milas, A.; Gašparović, M.; Osei, H.P. Retrieval of Crop Canopy Chlorophyll: Machine Learning vs. Radiative Transfer Model. Remote Sens. 2024, 16, 2058. https://doi.org/10.3390/rs16122058
Alam MMT, Simic Milas A, Gašparović M, Osei HP. Retrieval of Crop Canopy Chlorophyll: Machine Learning vs. Radiative Transfer Model. Remote Sensing. 2024; 16(12):2058. https://doi.org/10.3390/rs16122058
Chicago/Turabian StyleAlam, Mir Md Tasnim, Anita Simic Milas, Mateo Gašparović, and Henry Poku Osei. 2024. "Retrieval of Crop Canopy Chlorophyll: Machine Learning vs. Radiative Transfer Model" Remote Sensing 16, no. 12: 2058. https://doi.org/10.3390/rs16122058
APA StyleAlam, M. M. T., Simic Milas, A., Gašparović, M., & Osei, H. P. (2024). Retrieval of Crop Canopy Chlorophyll: Machine Learning vs. Radiative Transfer Model. Remote Sensing, 16(12), 2058. https://doi.org/10.3390/rs16122058

