Abstract
Comprehensive vegetation surveys are crucial for species selection and layout during the restoration of degraded island ecosystems. However, due to the poor accessibility of uninhabited islands, traditional quadrat surveys are time-consuming and labor-intensive, and it is challenging to fully identify the specific species and their spatial distributions. With miniaturized sensors and strong accessibility, high spatial and temporal resolution, Unmanned Aerial Vehicles (UAVs) have been extensively implemented for vegetation surveys. By collecting UAVs multispectral images and conducting field quadrat surveys on Anyu Island, we employ four machine learning models, namely Gradient Boosting Decision Tree (GBDT), Support Vector Machine (SVM), Random Forest (RF) and Multiple Classifier Systems (MCS). We aim to identify the dominant species and analyze their spatial distributions according to spectral characteristics, vegetation index, topographic factors, texture features, and canopy heights. The results indicate that SVM model achieves the highest (88.55%) overall accuracy (OA) (kappa coefficient = 0.87), while MCS model does not significantly improve it as expected. Acacia confusa has the highest OA among 7 dominant species, reaching 97.67%. Besides the spectral characteristics, the inclusion of topographic factors and texture features in the SVM model can significantly improve the OA of dominant species. By contrast, the vegetation index, particularly the canopy height even reduces it. The dominant species exhibit significant zonal distributions with distance from the coastline on the Anyu Island (p < 0.001). Our study provides an effective and universal path to identify and map the dominant species and is helpful to manage and restore the degraded vegetation on uninhabited islands.
1. Introduction
Islands are critical ecosystems that safeguard maritime rights, assure national defense security, and protect the island biodiversity [1]. However, with the natural isolation and harsh physical environment, island ecosystems tend to be extremely vulnerable. Islands can be easily destroyed by natural disasters or intensive human interventions in a short time, and their restoration can last for a long period, or even show retrogressive succession [2]. Moreover, the intensity and frequency of extreme climate events are increasing under global warming, posing severe challenges to the ecological security of islands, especially for the islands of small area and low elevation [3]. Therefore, it is imperious to accelerate the restoration of degraded island ecosystems, to maintain the sustainable supply of their ecological services.
Previous studies suggested that native species should be preferentially selected for restoration of degraded island ecosystems, particularly the dominant species [4,5,6,7,8]. Therefore, it is critical to identify the dominant species and make clear their spatial distributions on the island. With a clear boundary and small area, islands are usually conducive to comprehensive species surveys. Using field investigation and remote sensing images, Chi et al. [5] studied the spatial pattern of plant diversity on 15 uninhabited islands in Miaodao Archipelago, North China. They found that the dominant species showed unique features on the island, and the species composition and distribution were controlled by various environmental gradients. However, the number of mixed pixels increased with the decrease in spatial resolution. It is difficult to identify the specific species with images from Landsat 8 and SPOT 6, particularly on an uninhabited island with a small area and high species heterogeneity [9,10,11]. van der Merwe et al. [12] set up 476 sample plots on Marion Island to investigate the species composition and distribution. Nonetheless, these surveys are time-consuming and labor-intensive, while the identification accuracy of species depends strongly on the knowledge of researchers [13]. Therefore, it is challenging to map the spatial distribution of dominant species only with plot surveys. Consequently, there are still large uncertainties on species identification and their spatial distribution on the island in existing studies. Given that Unmanned Aerial Vehicle (UAV) images have high spatial and temporal resolution, they are non-intrusive and insensitive to weather conditions, thereby gradually becoming an emerging and promising supplement to traditional quadrat surveys [9,10,14].
Based on the UAVs images and field surveys, more and more studies adopted machine learning methods to identify species in typical ecosystems [8]. The Random Forest (RF) model is considered as a better classifier for natural community classification compared to Support Vector Machine (SVM), by using high-resolution multispectral images in the Upper Great Lakes Laurentian Mixed Forest [15]. When the species compositions are more abundant, SVM is frequently used as the best method for dealing with issues such as tree species discrimination [16]. If the correlated variables are too complex, Gradient Boosting Decision Tree (GBDT) also exhibits greater robustness and generalization ability [17]. However, despite their advantages, there are still some shortages in machine learning models. The identification accuracy of species is very limited in complex ecosystems, which finally leads to great uncertainty on performance in different models.
The performance of machine learning models is largely dependent on the specific classes to be categorized, the quality and quantity of training data, and the predictor variables employed [18]. Piaser and Villa [19] studied the performance of eight machine learning models (Naive Bayes, K-nearest Neighbour, Decision Tree, Artificial Neural Network, SVM, RF, Boosted Decision Tree and eXtreme Gradient Boosting) for aquatic vegetation mapping, and found that SVM scored best and was superior to other classifiers especially for challenging transitional classes. Bhatt and Maclean [15] evaluated three machine learning models (RF, SVM and Averaged Neural Network) to classify the complex natural habitat communities, and concluded that RF was a robust choice for classifying complex forest vegetation including surrounding wetland communities. Zhong et al. [20] used four machine learning models to evaluate the fractional vegetation coverage in grassland, and the accuracies were as follows: GBDT > RF > SVM > Probabilistic Discriminative (PD). Recently, Multiple Classifier Systems (MCS) have been widely recognized [21], and successfully used for species identification. Liu et al. [17] concluded that classification using MCS was superior to a single classifier for island green cover mapping, with the overall accuracy (OA) increasing by 0.5% (RF), 0.8% (SVM), and 8.2% (KNN), respectively. But compared to a single sub-model, it is still controversial whether it can significantly improve the identification accuracy of species [22].
Nan’ao Island is the only national 4A-level tourist attraction among the 12 island counties in China, and Anyu Island is the closest uninhabited island located in the north of Houjiang Bay on Nan’ao Island. Between the 1960s and 1970s, all vegetation was destroyed on Anyu Island due to intense human interventions. Subsequently, aerial seeding has been implemented, and human activities are also strictly restricted on Anyu Island by the local government. However, heavy rainfall, extreme drought, salt spray, typhoon disturbance and other natural disasters all contribute to the severe damage on island ecosystems. As the distance from the coastline increases, the damage levels of environmental disturbances/stresses, including typhoons [23], sand burial [24] and salt spray [25], show a decreasing trend. Moreover, the undulating terrains also lead to the redistribution of environmental gradients, such as water and nutrients, and the disturbances/stresses are usually harsher on the windward slope than the leeward slope. Meanwhile, some species have obvious halophytic/xerophytic structures and nitrogen fixing capacity, and thereby can adapt to the high salt stress, intensive sand burial, extreme drought and poor nutrients. Alternatively, other species are light- and water-demanding species, with a fast-growing rate, and prefer to grow in habitats with adequate light, abundant soil water and nutrients. Consequently, the species usually show a zonal distribution on the island due to high spatial heterogeneities of environmental gradients [5,7,9]. Currently, the vegetation on Anyu Island is still in the retrogressive succession stage, and its natural regeneration has not been yet completed, particularly on the windward slope [26]. This poses a huge challenge to ensure the sustainable supply of tourism services on Nan’ao Island.
According to the Technical Guidelines for Island Ecological Restoration-Vegetation Restoration (Draft for Comments) released by the Ministry of Natural Resources of the People’s Republic of China on 9 November 2022, selecting suitable dominant species is the key to island ecological restoration. Based on the UAVs multispectral images and field quadrat surveys, we firstly identified the dominant species on Anyu Island, with four machine learning models, namely GBDT, SVM, RF and MCS based on spectral characteristics, vegetation index, topographic factors, texture features and canopy height. Then, we compared the identification accuracy of dominant species in four models with different feature combinations and selected the optimal model to analyze the spatial distribution of dominant species. We aim to (1) assess which machine learning model perform best on identifying the dominant species; (2) determine what feature combinations can mostly improve the OA of dominant species in the optimal model; (3) explore how these dominant species distribute with the distance from the coastline due to environmental gradient variations.
2. Materials and Methods
2.1. Study Area
Anyu Island covers an area of 0.184 km2 (23°27′49″~23°28′5″N, 117°0′22″~117°0′42″E) (Figure 1), with the highest elevation of 87.4 m above sea level. Anyu Island has a subtropical maritime monsoon climate, with an annual average temperature of 21.8 °C, and average annual rainfall of 1357.5 mm, 80.0% of which occurs from April to September. The annual average evaporation reaches 2045.6 mm, with the autumn and winter experiencing more severe drought stress. The annual average wind speed is 3.6 m/s, with typhoons usually landing from April to December. The zonal soil on Anyu Island is formed from the weathering of granite and has been severely eroded with crisscrossing gullies. It is classified as mountainous red soil, and is generally characterized by acidity, low organic matter content, and poor water retention. The zonal vegetation on Anyu Island is subtropical evergreen broad-leaved forest, which is dominated by Acacia confusa after aerial seeding in the 1980s. Moreover, some dwarf shrubs and herbs resistant to drought or salt stress can also be observed, particularly on the windward slope.
Figure 1.
Map of study area.
2.2. Datasets
2.2.1. UAVs Image Acquisition and Processing
DJI Mavic 3 multispectral version of the quad-rotor consumer UAV equipment is used to collect data. The UAV is equipped with a CMOS sensor, a multispectral camera with 5 million effective pixels, and an 8.8 mm lens focal length. The UAVs platform integrates an RGB sensor with 4 bands: red, green, blue, and near-infrared, with a total weight of 951 g.
The UAVs images are collected on 4 June 2023. We analyze the monthly average precipitation and temperature on Nan’ao Island, and find that the highest precipitation is recorded in June (247.7 mm), and the monthly average temperature is 26.6 °C in this month, which contributes to the rapid vegetation growth in this period, and favors the identification of dominant species in our study area. The flight period is set from 10:00 to 14:00, with wind speeds of approximately 1~4 m/s, to ensure that the meteorological conditions will not interfere with data collection from the UAVs. We use Atizure software to generate a UAVs oblique photography route with a heading overlap of 80%, a side overlap of 75%, a flight altitude of 50 m, a flight speed of approximately 9 m/s, and a pitch angle of 45°. Based on the oblique photography modeling software Context Capture, the UAVs orthophoto map (Figure 1) and Digital Surface Model (DSM) of the study area are generated, both with a resolution of 0.04 m. Digital Elevation Model (DEM) data are acquired from manually collected elevation control points in the field, with a resolution of 1.9 m.
2.2.2. Quadrat Survey and UAVs Sample Point Selection
From March to June 2023, three field surveys were carried out on Anyu Island, focusing on the flora and species composition using the quadrat sampling method. Because the terrain is very steep and inaccessible, habitats with high accessibility are selected for setting the quadrats [5]. Two 100 m2 tree quadrats are set up on the leeward slope, while two 48 m2 shrub quadrats and one 100 m2 tree quadrat are set up on the windward slope (Figure 1). The canopy height, canopy width, diameter at breast height, and coverage of each individual are measured, and relevant species are identified based on the help of personal experience and reference to flora. According to the field surveys and importance value calculations in species recorded in above five quadrants in our study area, there are 80 species on the windward slope, with shrubs such as Salix myrtillacea, Heptapleurum heptaphyllum and Rhodomyrtus tomentosa, herbs such as Dicranopteris pedata being the dominant species. Trees are relatively scarce, mainly Acacia confusa on the top, A. mangium on the foot, and Casuarina equisetifolia near the coastline. On the leeward side, we find only 29 species, with A. confusa and H. heptaphyllum identified as the dominant species.
Regarding the critical role of dominant species in ecological restoration on Anyu Island, we mainly focus on the identification of aforementioned seven species based on UAVs multispectral images. Moreover, geographic coordinates of typical species are recorded in the field using high-precision GPS (10 m), and three red plastic bags are placed on the canopy of each species, to facilitate the visual interpretation of this species. The remaining species exhibit relatively low importance values and are collectively classified as “non-dominant species”. The non-vegetative category, such as rocks, bare land and sea, are not within the scope of this study.
Considering the spatial resolution of UAVs images and field surveys, 1751 sampling points for training and evaluating the machine learning models are manually selected through visual interpretation in ArcGIS 10.2 (Figure 1). Training samples and validation samples are selected at a ratio of 8:2 based on the principle of uniformity and randomness [18], including 1407 vegetation samples and 344 non-vegetation category samples. The basis for selecting the samples for visual interpretation is shown (Table 1).
Table 1.
Basis for selecting sample points.
2.3. Methods
2.3.1. Selection of Feature Dimensions
Spectral characteristics are the statistical attributes of remote sensing image pixels within each band and serve as a crucial criterion for species identification [9]. The lifeforms of dominant species can be classified into trees, shrubs and herbs in our study area, and their spectral characteristics vary greatly according to the previous study [27]. In this study, the average reflectivity, standard deviation, brightness, and maximum difference (Max. Diff.) of four bands in UAVs images are selected, which are commonly used for species classification in machine learning models (Table 2).
Table 2.
Selection list of species identification criteria.
Vegetation indices (VIs) are mathematical transformations of multi-band reflectance based on comprehensive consideration of relevant spectral signals [28]. We conduct two field surveys before the collection of UAVs images and find that bare land and rock are widely exposed on Anyu Island, particularly on the windward slope due to vegetation degradation (Figure 1). Moreover, the sea is inevitably included in the UAV images in our study. Therefore, we use the VIs to enhance vegetation information and minimize non-vegetation signals. However, it does not mean that using more VIs can equal higher accuracy to identify specific species, Zhang et al. [29] reported that the highest accuracy (96.41%) was achieved using three to four VIs in SVM model. Thus, we choose three mostly used VIs in existing studies, namely Normalized Difference Vegetation Index (NDVI), Ratio Vegetation Index (RVI) and Soil-Adjusted Vegetation Index (SAVI) (Table 2).
The island topography is very complex, with undulating terrains leading to the redistribution of solar radiation, salt spray, rainfall, etc., thereby causing high spatial heterogeneities of environmental gradients [3,25,30], consequently influencing the spatial distributions of dominant species. We investigate the species composition with five quadrants on Anyu Island and find that species diversity is higher on the windward slope than leeward slope, and the species distributions vary in different elevations and slopes. Thus, the slope and aspect extracted from the DEM data are used as topographic factors (Table 2). We use the multiresolution segmentation algorithm to segment the UAV multispectral images by eCognition Developer 9.4 software, and EPS2 tool to determine the segmentation scale for remote sensing images. Then, we extract and export DEM with each sub-object as the base unit.
DSM contains elevation information of ground objects such as buildings and vegetation, while DEM only contains terrain relief information. Therefore, the height changes caused by terrain fluctuations can be eliminated from the DSM, enabling the height extraction for buildings, vegetation and other ground objects, ultimately providing a reliable basis for ground object classification [14]. The dominant species of different life forms co-exist on Anyu Island. The trees are relatively tall, particularly on the leeward slope, while the height of shrubs and herbs is very low, so they are expected to be effectively extracted and classified based on the canopy height. We utilize ArcGIS 10.2 to perform the difference calculations between DSM and DEM to obtain the Canopy Height Model (CHM) (Table 2).
The rich texture information in high resolution images is a combination of complex visual entities or sub-patterns, and plays an important role in enhancing the identification accuracy of species [17]. The resolution of multispectral images is 0.04 m in our study, and the texture features vary greatly in different dominant species, such as stellate texture in H. heptaphyllum, while umbrella-like texture in A. confusa, etc. Therefore, we select the widely used gray level co-occurrence matrix to extract image texture (Table 2). Firstly, ENVI 5.3 is used to perform principal component transformation on the UAVs images to reduce data redundancy. Then, the first principal component is extracted, with a gray level set at 64, a window size of 7 × 7, a step size of 1, and an extraction direction of 45°. Finally, a total of six texture features, namely Mean, Homogeneity, Contrast, Dissimilarity, Entropy and Correlation are extracted.
However, redundant information may exist in the above five feature dimensions, such as the different height of A. confuse between the windward and leeward slope on Anyu Island, due to harsher environmental stress/disturbance in the former, which may decrease the identification accuracy of this species. In order to improve the OA of machine learning models, we select a feature subset with the distinguishing ability from original feature sets, to reduce the feature dimensions while having higher identification accuracy. Among them, the Chi-square test is the commonly used correlation filtering method for identification, and performs well on multi-category feature extraction [31]. We calculate the Chi-square between each non-negative feature and the label, ranking them in descending order. The higher the ranking, the stronger the correlation between the feature and the identification attribute becomes. The optimized feature subset contains a total of 10 feature values, namely Aspect, , , , DEM, Contrast, Brightness, Mean, and Slope.
We combine six feature groups to select the optimal combinations for species identification (Table 3). Specifically, G1~G5 sequentially superimpose the feature dimensions of spectral characteristics, vegetation index, topographic factors, texture features, and canopy height to evaluate the identification performance of different feature combinations. G6 represents a feature subset extracted by Chi-square test.
Table 3.
Combination of different feature dimensions.
2.3.2. Machine Learning Models
Machine learning models have shown good performance in species identification with high resolution images, offering advantages such as simple implementation and parameterization, high computational efficiency, and competitive results. Maxwell et al. [18] suggested that when it was impossible to test the applicability of all classification methods one by one, SVM, RF and GBDT were the first choices. Meanwhile, MCS can integrate several sub-models to form the final classification prediction, thereby addressing problems such as data imbalance and noise, and can also effectively reduce the risk of over-fitting [21]. Therefore, we use SVM, RF, GBDT and MCS models composed of these three sub-models to identify the dominant species on Anyu Island. The parameter settings of each model are detailed below:
Using the five-fold cross-validation method, we determine the kernel function to be linear in SVM model, with the penalty parameter C set at 0.1. The number and maximum depth of decision trees are set to 191 and 29, respectively, in the RF model. The number and maximum depth of decision trees are set to 4 and 491 in GBDT model. We adopt a voting method with a “soft” voting strategy in the MCS model, where the output of each sub-model is treated as probability distribution. We use 10-fold cross-validation to test the classification accuracy of three sub-models, in order to achieve the best OA after integration. Finally, SVM, GBDT, and RF are assigned 50%, 30%, and 20% voting weights to compose the MCS model, respectively.
2.3.3. Accuracy Evaluation
We use the validation samples from the sample data to establish a confusion matrix, to quantitatively evaluate the identification accuracy in four machine learning models. According to the confusion matrix, four evaluation indicators are calculated: user accuracy (UA), producer accuracy (PA), OA, and kappa coefficient. Considering that non-dominant species will significantly lower the OA of four models, and the species selection of them for the restoration of Anyu Island is of little significance. The OA and kappa coefficient that reflect the overall performance of classification models with the original series, and the modified series that exclude “non-dominant species” are used.
3. Results
3.1. Identification Accuracy of Species based on Four Machine Learning Models
The identification accuracy of seven dominant species indicates that A. confusa has the highest average identification accuracy ( = 95.49%, = 66.82%). As for the optimal model to specific species, the MCS model has the highest identification accuracy for C. equisetifolia (= 87.40%, = 78.36%), GBDT model has the highest identification accuracy for D. pedata ( = 79.74%, = 75.44%). In comparison, the SVM model is more excellent in other five species, including A. confusa (= 95.35%, = 78.40%), H. heptaphyllum ( = 85.19%, = 77.42%), S. myrtillacea ( = 57.89%, = 49.79%), A. mangium (= 55.13%, = 58.22%) and R. tomentosa (= 53.85%, = 72.37%) (Figure 2).
Figure 2.
Identification accuracies of a single surface object with different models ((a), producer accuracy; (b), user accuracy).
Due to the different spatial heterogeneity of dominant species and non-dominant species, the OA (Figure 3a) and kappa coefficient (Figure 3b) of species identification based on SVM, MCS, GBDT and RF models are significantly different pre and post the removal of non-dominant species. After excluding the “non-dominant species”, the OA and kappa coefficients in four models are improved significantly (p < 0.001). The average OA in SVM, MCS, GBDT and RF model increases by 11.18%, 11.24%, 11.26% and 11.17%, respectively, while the average kappa coefficient increased by 0.12 in all models. Except the OA (87.68%) in the MCS model under G5 feature combinations (kappa coefficient = 0.86), the other feature combinations are more excellent in the SVM model, with the highest OA under G4 combinations (OA = 88.55%, kappa coefficient = 0.87).
Figure 3.
Species identification on Anyu Island with four different models ((a), overall accuracy; (b), kappa coefficient).
3.2. Identification Accuracy of Dominant Species with SVM Model Based on Different Feature Combinations
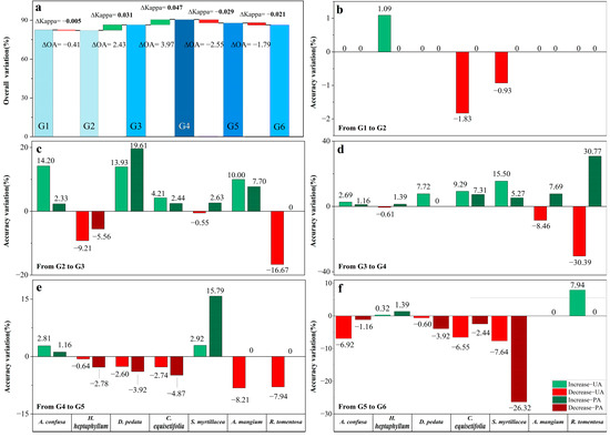
When the spectral characteristics are considered separately (G1), the OA of the SVM model is 82.56%, and its kappa coefficient is 0.79 (Figure 4a). After adding the vegetation index (G2), however, the OA of SVM model even slightly decreases by 0.41% (Δkappa = −0.005), and this can be attributed to the UA variations in different species. The UA of H. heptaphyllum increases by 1.09%, but a reduction in that of C. equisetifolia (−1.83%) and S. myrtillacea (−0.93%) are observed (Figure 4b). In comparison, no contributions can be observed in either the UA or the PA of other species. According to the confusion matrix, we find that adding the vegetation index (from G1 to G2) increases the misclassification of certain species. Some of R. tomentosa are classified as C. equisetifolia, while some of the non-dominant species are recognized as S. myrtillacea, resulting in a decrease in the UA for both species (Figure 5).
Figure 4.
Overall accuracy and kappa coefficient variations in six feature groups in SVM model; the darker the blue color, the higher the OA. The red color indicates the accuracy decrease, while the green color indicates the accuracy increase after adding new feature combinations between two neighboring groups (a); production accuracy (dotted histograms) and user accuracy (histograms without dots) variations in seven dominant species after adding new feature combinations ((b), vegetation index; (c), topographic factors; (d), texture features; (e), canopy height; (f), feature subset) between two neighboring groups in SVM model.
Figure 5.
Confusion matrix for each feature group in SVM model (G1~G6 represent six feature groups respectively. The numbers on the diagonal represent the quantity of correctly classified validation samples, while the other numbers represent the quantity of incorrectly classified validation samples. The blue color matches the corresponding number of validation samples, with the darker blue equals higher validation sample numbers).
After adding the topographic factors (G3), the identification accuracy of the SVM model increases, with the OA increasing by 2.43% (Δkappa = 0.031) (Figure 4a). The accuracy improvement of D. pedata is the highest, its PA increases by 19.61%, while the accuracy of R. tomentosa and H. heptaphyllum decrease, with UA reduction of 16.67% and 9.21%, respectively (Figure 4c). Based on the confusion matrix, the topographic factors reduce the misclassification of D. pedata, but lead to some of S. myrtillacea, non-dominant species, misclassified as R. tomentosa and H. heptaphyllum, respectively (Figure 5).
With the texture features (G4) added, the OA of SVM model increases by 3.97% (Δkappa = 0.047) (Figure 4a). The PA of D. pedata remains unchanged, while that of other dominant species all increase to various levels, with the largest increase in R. tomentosa, reaching 30.77% (Figure 4d). Based on the confusion matrix, the addition of texture features significantly reduces the misclassification of R. tomentosa, with only a few of them misclassified as non-dominant species (Figure 5).
However, with the canopy height (G5) added, the OA of the SVM model decreases by 2.55% (Δkappa = −0.029) (Figure 4a). The PA of H. heptaphyllum, D. pedata, and C. equisetifolia decreases by 2.78%, 3.92%, and 4.87%, respectively, while that of S. myrtillacea increases by 15.79% (Figure 4e). According to the confusion matrix, some of H. heptaphyllum are misclassified as D. pedata, D. pedata misidentified as A. mangium, and C. equisetifolia misjudged as non-dominant species (Figure 5).
Unexpectedly, the OA of SVM model with G6 feature combinations continues to reduce by 1.79% relative to the G5 group (Δkappa = −0.021) (Figure 4a). Except the UA of R. tomentosa as well as the PA and UA of H. heptaphyllum, the PA and UA of other dominant species all decrease to various levels. The PA of S. myrtillacea decreases by 26.32%, while the UA of A. mangium reduces by 8.89% (Figure 4f). With the confusion matrix analysis, we find that some S. myrtillacea are incorrectly identified as A. confusa and non-dominant species, while C. equisetifolia and non-dominant species are misclassified as A. mangium (Figure 5).
3.3. Distribution Characteristics of Dominant Species based on SVM Model with G4 Feature Combinations
The SVM model with spectral characteristics, vegetation index, topographic factors and texture features (G4) can better identify the dominant species on Anyu Island (Figure 4a). We find that the dominant species on Anyu Island show a significantly zonal distribution with distance from the coastline, and the number of dominant species on the windward slope is relatively higher than that on the leeward slope (Figure 6).
Figure 6.
Identification of dominant species on Anyu Island based on SVM model (G1~G6 represent six feature groups respectively).
On the windward slope, C. equisetifolia is primarily distributed close to the coastline. As the altitude increases, the dominant species change to A. mangium, D. pedata and H. heptaphyllum. With the bedrock largely exposed on the middle of windward slope, there is a mixed growth of S. myrtillacea and R. tomentosa becoming the dominant species in this habitat. The top of the windward slope is becoming gentle, and the dominant species changes to A. confusa. In comparison, on the leeward slope, A. confusa is dominated on the top, while H. heptaphyllum is mainly distributed on the severely exposed bedrock close to the coastline, or mixed growth with A. confusa on the middle of leeward slope.
4. Discussions
4.1. Differences in Identification Accuracy of Dominant Species by Four Machine Learning Models
The identification accuracy of machine learning models can be influenced by specific classifiers, combination strategies, feature selections and parameters adjustment [21]. Previous studies have shown that the MCS model integrates multiple sub-models, thus achieving higher accuracy in identifying species than a single sub-model [21,22,32,33], which is inconsistent with our study. It is unexpected that the G1~G4 and G6 feature combinations all show higher OA and kappa coefficients in the SVM model. This is consistent with the study from Zhang et al. [29], and can be mainly attributed to the principle differences in sub-models. A sub-model may excel in identifying one specific species yet struggle to accurately identify other species. For example, the PA of MCS model for C. equisetifolia, and GBDT model for D. pedata is higher than the other three models, but the accuracy for the remaining five dominant species is relatively low. By contrast, the SVM model has the highest accuracy for the remaining five dominant species. Therefore, in comparison with the more superior sub-models, the OA improvement in MCS model is limited. In our study, with G5 feature combinations, the OA of the MCS model is merely 1.69% higher than that of the SVM model, which is close to the results of Du et al. [21] (0.8%) and Maxwell et al. [18] (1.25%).
All machine learning models have advantages and disadvantages, so one model performing better in the previous studies does not mean that it will also be suitable for other studies. The integration principle of MCS model necessitates the simultaneous consideration of strengths and weaknesses of sub-models. Consequently, any performance deficiencies exhibited by a specific sub-model can potentially undermine the OA of the MCS model [32]. Therefore, we need to test a large number of sub-models to find the best sub-model groups before building the MCS model [22]. In our study, the OA of the RF and GBDT model are relatively low, leading to the limited accuracy improvement in the MCS model for dominant species identification on Anyu Island.
4.2. Identification Differences of Dominant Species by SVM Model under Different Feature Combinations
With the continuous addition of feature dimensions, the OA of the SVM model for dominant species on Anyu Island first increased, then decreased. This is in agreement with the previous study [11], and can be mainly attributed to the different contributions in five feature dimensions. We notice that besides spectral characteristics, the addition of topographic factors and texture features can enhance the OA of the SVM model in identifying dominant species. Conversely, the inclusion of the vegetation index, particularly the canopy height can even weaken it. It is also confirmed by the extracted subsets from 23 features based on the Chi-square test. We find that 10 features extracted are all concentrated on spectral characteristics (5), topographic factors (3) and texture features (2), while the relevant subsets of vegetation index and canopy height are not included. This indicates that the increase in feature combinations does not equal the improvement of identification accuracy in models, while some features may negatively contribute to it.
Compared with visible sensor data, the model based on multispectral data can significantly improve the OA of species identification in the SVM model [14]. However, the highest accuracy is generally applicable to species with low spatial heterogeneity and obvious spectral differences. By contrast, it is expected that the models only using spectral characteristics (G1) will perform poorly in identifying those species with high spatial heterogeneity, such as dominant species on Anyu Island. The (95.35%) of A. confusa is significantly higher than . We check the confusion matrix for each feature group in the SVM model (Figure 5), and find that 38 validation samples are misclassified as A. confusa in G1, which significantly reduce the UA of this species, and the addition of vegetation index in G2 does not reduce the probability of other species being misclassified as A. confusa. For specific species, we find that 16 of the misclassified samples (42.1%) are contributed from D. pedata. Independent sample t tests are conducted between these two species, and we find that 2 of the 10 parameters in spectral characteristics, namely (p = 0.77) and Max. Diff. (p = 0.77), are not significantly different between these two species (Figure 7), which may cause the misclassification of D. pedata as A. confusa. Therefore, it is particularly necessary to add other auxiliary factors.
Figure 7.
Independent sample t tests of 10 spectral parameters between A. confusa and D. pedata. No asterisk (*) indicates non-significance (p > 0.05).
The addition of VIs (G2) even slightly decreases the OA of dominant species on Anyu Island. The VIs are calculated from spectral parameters, which indicates a significant correlation between them. Moreover, not all VIs can improve the OA in the SVM model, including a redundant or irrelevant index that will reduce the OA of specific models [29]. This is further confirmed by our study; we find that if we only consider spectral characteristics and VIs, the RVI will be a negative index. The addition of RVI, or RVI + NDVI, or RVI + SAVI, or RVI + NDVI + SAVI all lead to the OA in the SVM model decreasing from 82.555% to 82.152%, while the addition of NDVI, or SAVI, or NDVI + SAVI have no impacts (Figure 8a). RVI is sensitive to atmospheric effects, so that its biomass representation is weak when the vegetation cover is sparse [34], which is consistent with the low vegetation coverage on Anyu Island, particularly on the windward slope (Figure 1). Lastly, Liu et al. [11] also reported that the importance of vegetation index decreased with an increasing spatial resolution, particularly with a 0.04 m resolution in our study.
Figure 8.
Eight combinations among three vegetation indices in G2 (a) and G4 (b).
However, we include all three vegetation indices in G4 feature combinations, due to the complex interactions between different features. We calculate the OA with all eight combinations among three vegetation indices (Figure 8b) and find that compared with the OA (88.52%) under G4 feature combinations without vegetation indices, the inclusion of NDVI or SAVI slightly increases the OA (0.00041%) in the SVM model. But with the inclusion of RVI, or NDVI + SAVI, or NDVI + RVI, or SAVI + RVI, the OA in SVM models increases to 88.54962%. When all three VIs are considered, the OA in the SVM model is the highest (88.55%).
Topography can differentiate environmental gradients, and results in significant zonal distributions of species at different altitudes, aspects, or slopes [3,30], ultimately improving the OA of the dominant species in the SVM model. We find that with the addition of topographic factors (G3), the OA of dominant species in the SVM model increased by 2.43%, which is relatively similar to that reported by Zhang et al. [35] (4.21%), and Fu et al. [28] (5.40%). Our results show that the OA of dominant species on the windward slope (Figure 9b) decreases by 14.61% compared with that of the whole island (Figure 9a), while an increase by 1.52% is observed on the leeward slope (Figure 9c), using the SVM model with G4 feature combinations to identify the dominant species on two different slopes. There are 80 species on the windward slope, while only 29 species are distributed on the leeward slope. The higher species diversity can increase the proportion of mixed pixels, causing an uncertainty in the SVM model to identify the dominant species distributed on the windward slope [36].
Figure 9.
The impact of topographic differentiation on the species identification accuracy of Anyu Island. (a) Whole island (OA = 88.55%, kappa coefficient = 0.87); (b) windward slope (OA = 73.94%, kappa coefficient = 0.69); and (c) leeward slope (OA = 90.07%, kappa coefficient = 0.94).
Furthermore, our study indicates that all dominant species show a significant zonal distribution with increasing altitude and slope (p < 0.001). This is consistent with the vegetation zones in La Palma island, southern Morocco, which exhibit a clearly altitudinal gradient [7]. However, the distribution of R. tomentosa and D. pedata is not significantly correlated with increasing altitude (p > 0.05) (Figure 10a), which leads to the misclassification of the dominant species on Anyu Island. When topographic factors are added, the UA of R. tomentosa mostly decreases by 16.67%, and no contributions are observed to its PA (Figure 4c). By contrast, with the altitude and slope increasing, there is a significant variation in the dominant species on the leeward slope (p < 0.001) (Figure 10d,e), thereby improving the OA of the dominant species on Anyu Island. This result aligns with the findings from Chi et al. [5], who reported that terrain complexity plays a pivotal role in determining the spatial pattern of plant diversity.
Figure 10.
Spatial distribution of seven dominant species with DEM (a,d), slope (b,e) and the distance from the coastline (c,f) on windward (a–c) and leeward slope of Anyu Island (d–f). Different capital letters indicate significant difference from nonparametric tests (p < 0.05).
Contrary to the vegetation index, the importance of texture features (G4) increased with higher spatial resolution [11]. The combination of spectral and texture features can weaken the phenomenon of “same objects with different spectrums” and “different objects with same spectrums” [37]. This enhances the feature distinctiveness within the same species and sharpens the boundaries between different species, thereby increasing the OA of the SVM model [38]. Sicard et al. [39] confirmed that the NDVI similarity makes the grassland-tree canopy distinction difficult using only spectral information, but adding texture features boosted classification accuracy by 21.6%, which is agreed with our study. We show that R. tomentosa and D. pedata are mixed growth in the same habitats (Figure 10a). Fortunately, the former has a speckled texture, while the latter has a flaky texture, and the addition of texture features can improve the OA in the SVM model, with the PA of R. tomentosa mostly increasing by 30.77% (Figure 4d).
Due to the canopy height variations in different life forms, the addition of canopy height (G5) can increase the species identification accuracy. Komárek et al. [14] conducted the vegetation classification with spectral characteristics and canopy height in an arboretum in Czech University, and found that the addition of canopy height could contribute to 2.4~11.73% accuracy improvement, which is inconsistent with our study. Our results show that with the canopy height added, the OA of the SVM model in identifying dominant species on Anyu Island decreased by 2.55%. This can be due to the different canopy height of A. confusa on two slopes, and the covering pixels which account for the largest proportions on Anyu Island (Figure 9a). On the leeward slope, the addition of canopy height can significantly differentiate A. confusa and H. heptaphyllum due to the discrepancies of their life forms (Figure 9c). Our field surveys further reveal that the height of A. confusa can reach 10–15 m, while the height of H. heptaphyllum is only 2~5 m. However, on the windward slope, due to the harsh environmental disturbances/stresses, the height of A. confusa is only 2~5 m, and other species are also very dwarf, thereby narrowing the difference in canopy height of different species, finally increasing the misclassifications of dominant species based on the SVM model. However, this is not the case in arboretum in Czech University; the vegetation of different life forms are well managed, with significant differences in canopy height between trees and grasses [14].
4.3. Spatial Distribution of Dominant Species Based on the Identification by SVM Model
The coastal sand around Anyu Island is very scarce with only a small amount of sand observed in the bay on windward side, while the majority of the island is covered by bedrock. Due to the low soil moisture, poor nutrients, and high salt content in the sandy land near the coastline, it is challenging for most species to grow. We find that C. equisetifolia is absolutely dominant in this habitat, serving for windbreak and sand stabilization owing to its tolerance to drought, salt stress and nitrogen fixing capacity [40,41]. Notably, the foot of the windward slope is relatively flat, accumulating large amounts of slope wash. The runoff from the upslope effectively enhances the soil moisture while reducing the salt content, thereby favoring the artificial planting of high-water demanding species. Field surveys indicate that A. mangium is a fast growing and light demanding species, which is replanted by local government, and gradually becoming the dominant species in this habitat. Lu [42] also reported that the higher biomass production of A. mangium was observed at downhill slopes due to relatively higher moisture content and adequate soil nutrients, while it was worst at uphill slopes.
The middle of the windward slope is very steep, thereby inducing intensive soil erosions. Field investigations and measurements indicate that many crisscrossing gullies are densely distributed in this habitat, and the soil layers are extremely shallow, with poor soil nutrients and insufficient moisture. R. tomentosa and D. pedata colonize in this habitat and become the co-dominant species due to their strong adaptations to harsh habitats [43]. Previous study indicates that both species are pioneer species for the degraded land restoration [44]. Their extensive roots can envelop the soil, modify the aggregate stability, enhance the soil cohesion, and increase the availability of nutrient and water resources [45]. Moreover, D. pedata is well adapted to eroded slopes, as it can increase the root–shoot ratio to gain sufficient water. Meanwhile, it prefers to grow in strips, parallel to the gullies distributed in middle slope [46]. The leaf epidermis and veins of R. tomentosa have obvious xerophytic structures and high stomatal conductance. These physiological properties enable it to maintain a high photosynthetic rate even when the soil water potential begins to decrease, thereby becoming the dominant species after deforestation. In addition, it prefers to grow in clusters with bedrock fractures (Table 1) and is interspersed among the middle slope. H. heptaphyllum is a native species, more resistant to drought and salt [47]. We find that it is mainly distributed on the northwest of windward side (Figure 6), with the steepest slope (Figure 10b), and closer to the coastline (Figure 10c).
The upper slope has vertical walls and largely exposed bedrocks. S. myrtillacea is a drought-resistant species, with strong water retention capacity in its leaves, which can increase its resistance to drought. Meanwhile, numerous root conduits can favor its efficient water transportation, and developed periderms will reduce its heavy water loss. Moreover, the seeds of S. myrtillacea are high-temperature resistant, equipped with thin wings and can be carried by the wind. It is very common for them to form clustered communities even in areas with scarce soil and gravels [48]. The top slope is relatively gentle on the windward side, with thick soil and high nutrient content. The dominant species is A. confusa, which generally exhibits a dwarf canopy height due to mountain top effect. A. confusa is less resistant to salt stress compared with C. equisetifolia [40], and is mostly concentrated far away from the coastline (Figure 10c,f).
The middle-upper slope on the leeward side is relatively gentle, with some habitats being notably flat, and less exposed to environmental disturbances/stresses, which offers favorable habitats for species establishment. A. confusa is a fast growing, drought- and wind-resistant species; it has high photosynthetic rates, and nitrogen fixation capacity, thereby becoming the dominant species in this habitat [49]. As the altitude decreases, the slope steepens, and becomes closer to the coastline, which is less favorable for the growth of A. confusa. Similar to the windward slopes, the dominant species are changed to H. heptaphyllum.
Therefore, after intensive deforestation on Anyu Island, the water and soil resources have been redistributed by a combination of environmental gradients, which contribute to the significant zonal distribution of dominant species with the distance from the coastline on Anyu Island. Aerial seeding afforestation does not take the high spatial heterogeneity of environmental gradients into consideration in the 1980s, and the dominant species by aerial seeding can only occupy its optimal habitat [6]. Aerial seeding afforestation only helps to restore the island ecosystems with favorable habitats or in the early degradation stages, but has limited effect on the restoration of severely degraded island ecosystems [50]. In the future, it is still necessary to fully clarify the limiting factors for vegetation restoration at different distances from the coastline, and scientifically lay out the suitable species to the optimal habitat, to promote the successful restoration of degraded ecosystems on Anyu Island with artificial replanting.
5. Conclusions
Based on the UAV multispectral images, we successfully apply four machine learning models (SVM, GBDT, RF and MCS) to identify the seven dominant species on Anyu Island, Nan’ao county, China. Our results show that identification of dominant species on Anyu Island has been achieved by the SVM model with a combination of spectral characteristics, vegetation index, topographic factors, and texture features. The dominant species on Anyu Island exhibit significant zonal distributions with increasing distance from the coastline. Our study suggests that early aerial seeding afforestation has not successfully restored the severely degraded uninhabited island. The high spatial heterogeneity of environmental gradients should be fully considered by the local government, so as to scientifically lay out the suitable species to the optimal habitat, to accelerate the vegetation succession on Anyu Island.
According to the Bulletin of Statistical Survey on Islands, released for the first time by Ministry of Natural Resources of the People’s Republic of China in 2018, there are more than 11,000 islands in China, accounting for 0.8% of the land area, 96% of which are recognized as uninhabited islands. The average vegetation cover of these islands is about 52% in 2017, and China has built 194 protected areas of various types involving islands, and invested a cumulative of 9.1 billion yuan in ecological restoration of the island until 2017 (https://www.gov.cn/xinwen/2018-07/30/content_5310431.htm, accessed on 1 April 2024). However, it is very difficult to achieve good recovery due to harsh environmental gradients, so the identification of dominant species and mapping their distributions are very crucial to meet this challenge.
The degradation of uninhabited islands not only occurred in China, but has also been reported worldwide [1,2,3]. We think this study provides an effective and universal path to identify and map the dominant species, which will deepen our understanding of the correlations between dominant species distribution and environmental gradient variations and is helpful to manage and restore the degraded vegetation on uninhabited islands worldwide.
Author Contributions
Conceptualization, J.W. and J.D.; methodology, J.W. and J.D.; data curation, J.W.; writing—original draft preparation, J.W.; writing—review and editing, J.W., K.H., Y.L., X.L., C.Y., H.X. and J.D.; funding acquisition, J.D. All authors have read and agreed to the published version of the manuscript.
Funding
This research was funded by the National Science Foundation of China projects (NSFC) (No. 41101011; No. 42301020), and Enterprise Principal Project (37000-73000005).
Data Availability Statement
The raw data supporting the conclusions of this article will be made available by the authors on request.
Acknowledgments
We thank the Liang Hu for species identification in the field investigation, and Nanfeng Liu, Haicheng Zhang, Jingjing Cao for providing some useful comments to our manuscript. We finally thank the support from the National Science Foundation of China (41101011; 42301020), and Enterprise Principal Project (37000-73000005). We extend our gratitude to all editors and anonymous reviewers for their constructive comments on the study.
Conflicts of Interest
Author Xiong Hong is employed by CCCC Guangzhou Water Transportation Engineering Design & Research Institute Co., Ltd. The remaining authors declare that the research was conducted in the absence of any commercial or financial relationships that could be construed as a potential conflict of interest.
References
- Graham, N.R.; Gruner, D.S.; Lim, J.Y.; Gillespie, R.G. Island Ecology and Evolution: Challenges in the Anthropocene. Environ. Conserv. 2017, 44, 323–335. [Google Scholar] [CrossRef]
- Balzan, M.V.; Potschin-Young, M.; Haines-Young, R. Island Ecosystem Services: Insights from a Literature Review on Case-Study Island Ecosystem Services and Future Prospects. Int. J. Biodivers. Sci. Ecosyst. Serv. Manag. 2018, 14, 71–90. [Google Scholar] [CrossRef]
- Harter, D.E.V.; Irl, S.D.H.; Seo, B.; Steinbauer, M.J.; Gillespie, R.; Triantis, K.A.; Fernández-Palacios, J.-M.; Beierkuhnlein, C. Impacts of Global Climate Change on the Floras of Oceanic Islands—Projections, Implications and Current Knowledge. Perspect. Plant Ecol. Evol. Syst. 2015, 17, 160–183. [Google Scholar] [CrossRef]
- Abella, S.R.; Chiquoine, L.P. The Good with the Bad: When Ecological Restoration Facilitates Native and Non-Native Species. Restor. Ecol. 2019, 27, 343–351. [Google Scholar] [CrossRef]
- Chi, Y.; Sun, J.; Fu, Z.; Xie, Z. Spatial Pattern of Plant Diversity in a Group of Uninhabited Islands from the Perspectives of Island and Site Scales. Sci. Total Environ. 2019, 664, 334–346. [Google Scholar] [CrossRef]
- Gong, X.; Qi, Z.; Wen, J.; Yan, Y.; Liu, Q.; Li, Y.; Zhang, Q. Promoting Effects of Soil C and N and Limiting Effect of Soil P Jointly Determine the Plant Diversity during the Aerial Seeding Restoration Process in Mu Us Sandy Land, China. Front. Plant Sci. 2023, 14, 1272607. [Google Scholar] [CrossRef] [PubMed]
- Irl, S.D.H.; Beierkuhnlein, C. Distribution of Endemic Plant Species on an Oceanic Island—A Geospatial Analysis of La Palma (Canary Islands). Procedia Environ. Sci. 2011, 7, 170–175. [Google Scholar] [CrossRef]
- Pouteau, R.; Meyer, J.-Y.; Taputuarai, R.; Stoll, B. Support Vector Machines to Map Rare and Endangered Native Plants in Pacific Islands Forests. Ecol. Inform. 2012, 9, 37–46. [Google Scholar] [CrossRef]
- Lu, B.; He, Y. Species Classification Using Unmanned Aerial Vehicle (UAV)-Acquired High Spatial Resolution Imagery in a Heterogeneous Grassland. ISPRS J. Photogramm. Remote Sens. 2017, 128, 73–85. [Google Scholar] [CrossRef]
- Bertacchi, A.; Giannini, V.; Di Franco, C.; Silvestri, N. Using Unmanned Aerial Vehicles for Vegetation Mapping and Identification of Botanical Species in Wetlands. Landsc. Ecol. Eng. 2019, 15, 231–240. [Google Scholar] [CrossRef]
- Liu, M.; Yu, T.; Gu, X.; Sun, Z.; Yang, J.; Zhang, Z.; Mi, X.; Cao, W.; Li, J. The Impact of Spatial Resolution on the Classification of Vegetation Types in Highly Fragmented Planting Areas Based on Unmanned Aerial Vehicle Hyperspectral Images. Remote Sens. 2020, 12, 146. [Google Scholar] [CrossRef]
- van der Merwe, S.; Greve, M.; Skowno, A.L.; Hoffman, M.T.; Cramer, M.D. Can Vegetation Be Discretely Classified in Species-Poor Environments? Testing Plant Community Concepts for Vegetation Monitoring on Sub-Antarctic Marion Island. Ecol. Evol. 2023, 13, e9681. [Google Scholar] [CrossRef]
- Parker, K.; Elmes, A.; Boucher, P.; Hallett, R.A.; Thompson, J.E.; Simek, Z.; Bowers, J.; Reinmann, A.B. Crossing the Great Divide: Bridging the Researcher–Practitioner Gap to Maximize the Utility of Remote Sensing for Invasive Species Monitoring and Management. Remote Sens. 2021, 13, 4142. [Google Scholar] [CrossRef]
- Komárek, J.; Klouček, T.; Prošek, J. The Potential of Unmanned Aerial Systems: A Tool towards Precision Classification of Hard-to-Distinguish Vegetation Types? Int. J. Appl. Earth Obs. Geoinf. 2018, 71, 9–19. [Google Scholar] [CrossRef]
- Bhatt, P.; Maclean, A.L. Comparison of High-Resolution NAIP and Unmanned Aerial Vehicle (UAV) Imagery for Natural Vegetation Communities Classification Using Machine Learning Approaches. GIScience Remote Sens. 2023, 60, 2177448. [Google Scholar] [CrossRef]
- Ghosh, A.; Fassnacht, F.E.; Joshi, P.K.; Koch, B. A Framework for Mapping Tree Species Combining Hyperspectral and LiDAR Data: Role of Selected Classifiers and Sensor across Three Spatial Scales. Int. J. Appl. Earth Obs. Geoinf. 2014, 26, 49–63. [Google Scholar] [CrossRef]
- Liu, H.; Xiao, P.; Zhang, X.; Zhou, X.; Li, J.; Guo, R. Object-Based Island Green Cover Mapping by Integrating UAV Multispectral Image and LiDAR Data. J. Appl. Remote Sens. 2021, 15, 034512. [Google Scholar] [CrossRef]
- Maxwell, A.E.; Warner, T.A.; Fang, F. Implementation of Machine-Learning Classification in Remote Sensing: An Applied Review. Int. J. Remote Sens. 2018, 39, 2784–2817. [Google Scholar] [CrossRef]
- Piaser, E.; Villa, P. Evaluating Capabilities of Machine Learning Algorithms for Aquatic Vegetation Classification in Temperate Wetlands Using Multi-Temporal Sentinel-2 Data. Int. J. Appl. Earth Obs. Geoinf. 2023, 117, 103202. [Google Scholar] [CrossRef]
- Zhong, G.; Chen, J.; Huang, R.; Yi, S.; Qin, Y.; You, H.; Han, X.; Zhou, G. High Spatial Resolution Fractional Vegetation Coverage Inversion Based on UAV and Sentinel-2 Data: A Case Study of Alpine Grassland. Remote Sens. 2023, 15, 4266. [Google Scholar] [CrossRef]
- Du, P.; Xia, J.; Zhang, W.; Tan, K.; Liu, Y.; Liu, S. Multiple Classifier System for Remote Sensing Image Classification: A Review. Sensors 2012, 12, 4764–4792. [Google Scholar] [CrossRef] [PubMed]
- Woźniak, M.; Graña, M.; Corchado, E. A Survey of Multiple Classifier Systems as Hybrid Systems. Inf. Fusion 2014, 16, 3–17. [Google Scholar] [CrossRef]
- Du, J.; Chen, J.; Li, S. Factors affecting the damage and recovery of coastal forest after typhoon disturbance: A review. Acta Ecol. Sin. 2024, 44, 1–17. [Google Scholar] [CrossRef]
- Maun, M.A.; Perumal, J. Zonation of Vegetation on Lacustrine Coastal Dunes: Effects of Burial by Sand. Ecol. Lett. 1999, 2, 14–18. [Google Scholar] [CrossRef]
- Du, J.; Hesp, P.A. Salt Spray Distribution and Its Impact on Vegetation Zonation on Coastal Dunes: A Review. Estuaries Coasts 2020, 43, 1885–1907. [Google Scholar] [CrossRef]
- Li, P.; Huang, Z. Vegetation restoration of degraded grassy slopes on Nan’ao Island. Trop. Geogr. 2007, 1, 21–24+65. [Google Scholar] [CrossRef]
- Chopping, M.; Su, L.; Rango, A.; Martonchik, J.V.; Peters, D.P.C.; Laliberte, A. Remote Sensing of Woody Shrub Cover in Desert Grasslands Using MISR with a Geometric-Optical Canopy Reflectance Model. Remote Sens. Environ. 2008, 112, 19–34. [Google Scholar] [CrossRef]
- Fu, X.; Zhou, W.; Zhou, X.; Li, F.; Hu, Y. Classifying Mountain Vegetation Types Using Object-Oriented Machine Learning Methods Based on Different Feature Combinations. Forests 2023, 14, 1624. [Google Scholar] [CrossRef]
- Zhang, Y.; Yang, W.; Sun, Y.; Chang, C.; Yu, J.; Zhang, W. Fusion of Multispectral Aerial Imagery and Vegetation Indices for Machine Learning-Based Ground Classification. Remote Sens. 2021, 13, 1411. [Google Scholar] [CrossRef]
- Cantón, Y.; Del Barrio, G.; Solé-Benet, A.; Lázaro, R. Topographic Controls on the Spatial Distribution of Ground Cover in the Tabernas Badlands of SE Spain. CATENA 2004, 55, 341–365. [Google Scholar] [CrossRef]
- Sumaiya Thaseen, I.; Aswani Kumar, C. Intrusion Detection Model Using Fusion of Chi-Square Feature Selection and Multi Class SVM. J. King Saud Univ.—Comput. Inf. Sci. 2017, 29, 462–472. [Google Scholar] [CrossRef]
- Damodaran, B.B.; Nidamanuri, R.R. Assessment of the Impact of Dimensionality Reduction Methods on Information Classes and Classifiers for Hyperspectral Image Classification by Multiple Classifier System. Adv. Space Res. 2014, 53, 1720–1734. [Google Scholar] [CrossRef]
- Waske, B.; Benediktsson, J.A. Fusion of Support Vector Machines for Classification of Multisensor Data. IEEE Trans. Geosci. Remote Sens. 2007, 45, 3858–3866. [Google Scholar] [CrossRef]
- Xue, J.; Su, B. Significant Remote Sensing Vegetation Indices: A Review of Developments and Applications. J. Sens. 2017, 2017, e1353691. [Google Scholar] [CrossRef]
- Zhang, Z.; Van Coillie, F.; Ou, X.; De Wulf, R. Integration of Satellite Imagery, Topography and Human Disturbance Factors Based on Canonical Correspondence Analysis Ordination for Mountain Vegetation Mapping: A Case Study in Yunnan, China. Remote Sens. 2014, 6, 1026–1056. [Google Scholar] [CrossRef]
- Peña, M.A.; Brenning, A. Assessing Fruit-Tree Crop Classification from Landsat-8 Time Series for the Maipo Valley, Chile. Remote Sens. Environ. 2015, 171, 234–244. [Google Scholar] [CrossRef]
- AlSuwaidi, A.; Grieve, B.; Yin, H. Combining Spectral and Texture Features in Hyperspectral Image Analysis for Plant Monitoring. Meas. Sci. Technol. 2018, 29, 104001. [Google Scholar] [CrossRef]
- Yang, H.; Wang, Z.; Cao, J.; Wu, Q.; Zhang, B. Estimating Soil Salinity Using Gaofen-2 Imagery: A Novel Application of Combined Spectral and Textural Features. Environ. Res. 2023, 217, 114870. [Google Scholar] [CrossRef] [PubMed]
- Sicard, P.; Coulibaly, F.; Lameiro, M.; Araminiene, V.; De Marco, A.; Sorrentino, B.; Anav, A.; Manzini, J.; Hoshika, Y.; Moura, B.B.; et al. Object-Based Classification of Urban Plant Species from Very High-Resolution Satellite Imagery. Urban For. Urban Green. 2023, 81, 127866. [Google Scholar] [CrossRef]
- Chen, H.; Tang, K.; Song, H.; Chen, Y.; Sun, Y.; Cai, L. Study on 3 typical salt resistant plant for island vegetation restoration. J. Appl. Oceanogr. 2017, 36, 379–384. [Google Scholar] [CrossRef]
- Berry, N.; Shukla, A. Assessment of Growth Performance of Casuarina Equisetifolia Clones in Tropical Region of Jabalpur District of Madhya Pradesh, India. Int. J. Environ. Clim. Chang. 2023, 13, 266–271. [Google Scholar] [CrossRef]
- Lu, J. A comparative study on growth rate, biomass production and growth process of Acacia mangium at different hilly slopes. Subtrop. Agric. Res. 2016, 12, 79–85. [Google Scholar] [CrossRef]
- Xie, C.; Huang, B.; Jim, C.Y.; Han, W.; Liu, D. Predicting Differential Habitat Suitability of Rhodomyrtus Tomentosa under Current and Future Climate Scenarios in China. For. Ecol. Manag. 2021, 501, 119696. [Google Scholar] [CrossRef]
- Leung, A.K.; Ng, C.W.W. Analyses of Groundwater Flow and Plant Evapotranspiration in a Vegetated Soil Slope. Can. Geotech. J. 2013, 50, 1204–1218. [Google Scholar] [CrossRef]
- An, M.; Han, Y.; Zhao, C.; Qu, Z.; Xu, P.; Wang, X.; He, X. Effects of Different Wind Directions on Soil Erosion and Nitrogen Loss Processes under Simulated Wind-Driven Rain. CATENA 2022, 217, 106423. [Google Scholar] [CrossRef]
- Chau, N.L.; Chu, L.M. Fern Cover and the Importance of Plant Traits in Reducing Erosion on Steep Soil Slopes. CATENA 2017, 151, 98–106. [Google Scholar] [CrossRef]
- Zhao, X.; Zhang, W.; Feng, Y.; Mo, Q.; Su, Y.; Njoroge, B.; Qu, C.; Gan, X.; Liu, X. Soil Organic Carbon Primarily Control the Soil Moisture Characteristic during Forest Restoration in Subtropical China. Front. Ecol. Evol. 2022, 10, 1003532. [Google Scholar] [CrossRef]
- He, Y.; Dai, Y.; Li, H.; Li, M.; Zhang, S. Growth and Defense Trade-Offs in Dioecious Salix Myrtillacea Exposed to Drought and Low Temperature Stress. Environ. Exp. Bot. 2023, 215, 105504. [Google Scholar] [CrossRef]
- Chen, H.; Tang, K.; Sun, Y.; Cai, L.; Song, H.; Tu, W. Research on drought-tolerant plant screening and drought resistance technology in island vegetation restoration. J. Appl. Oceanogr. 2016, 35, 223–228. [Google Scholar] [CrossRef]
- Mukhopadhyay, S.; Maiti, S.K.; Masto, R.E. Use of Reclaimed Mine Soil Index (RMSI) for Screening of Tree Species for Reclamation of Coal Mine Degraded Land. Ecol. Eng. 2013, 57, 133–142. [Google Scholar] [CrossRef]
Disclaimer/Publisher’s Note: The statements, opinions and data contained in all publications are solely those of the individual author(s) and contributor(s) and not of MDPI and/or the editor(s). MDPI and/or the editor(s) disclaim responsibility for any injury to people or property resulting from any ideas, methods, instructions or products referred to in the content. |
© 2024 by the authors. Licensee MDPI, Basel, Switzerland. This article is an open access article distributed under the terms and conditions of the Creative Commons Attribution (CC BY) license (https://creativecommons.org/licenses/by/4.0/).



















