Integrating GIS, Remote Sensing, and Citizen Science to Map Oak Decline Risk across the Daniel Boone National Forest
Abstract
1. Introduction
2. Materials and Methods
2.1. Overall Framework
2.2. Study Area
2.3. Model Development
2.4. Predisposing Environmental Factors
2.5. Risk Assessment at the Study Site Scale
2.6. Field Verification at Study Site
2.7. Optimized Risk Assessment Model Based on Field Observations
2.8. Risk Mapping at the Landscape Scale
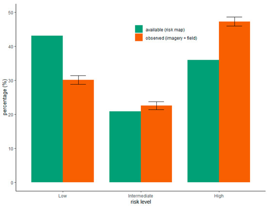
3. Results
4. Discussion
- Reporting by the public: public providing alerts about forest health problems (e.g., citizen science, working forest professionals).
- Stand-level assessment: foresters and scientists working together to predict area impacted using GIS (based on known predisposing site factors), stand inventories, and remote sensing.
- Landscape-level assessment: expanding models beyond study areas across a broader scale.
- Verification and improvements: validating model results and changing models to better fit in-field observations.
- Public dissemination: sharing results with partners and the public and encouraging continued public reporting of issues that can provide insight into future models.
5. Conclusions
Author Contributions
Funding
Data Availability Statement
Acknowledgments
Conflicts of Interest
References
- Oswalt, S.N.; Smith, W.B.; Miles, P.D.; Pugh, S.A. Forest Resources of the United States, 2017: A Technical Document Supporting the Forest Service 2020 RPA Assessment; General Technical Report (GTR) WO-97; U.S. Department of Agriculture, Forest Service, Washington Office: Washington, DC, USA, 2019.
- Ellison, A.M.; Bank, M.S.; Clinton, B.D.; Colburn, E.A.; Elliott, K.; Ford, C.R.; Foster, D.R.; Kloeppel, B.D.; Knoepp, J.D.; Lovett, G.M.; et al. Loss of foundation species: Consequences for the structure and dynamics of forested ecosystems. Front. Ecol. Environ. 2005, 3, 479–486. [Google Scholar] [CrossRef]
- Fralish, J.S. The Keystone Role of Oak and Hickory in the Central Hardwood Forest; General Technical Report (GTR) SRS-73; U.S. Department of Agriculture, Forest Service, Southern Research Station: Asheville, NC, USA, 2004; pp. 78–87.
- McShea, W.J.; Healy, W.M.; Devers, P.; Fearer, T.; Koch, F.H.; Stauffer, D.; Waldon, J. Forestry Matters: Decline of Oaks Will Impact Wildlife in Hardwood Forests. J. Wildl. Manag. 2007, 71, 1717–1728. [Google Scholar] [CrossRef]
- Stringer, J.W.; Thomas, W.T.; Ammerman, B.; Niman, C.; Agyeman, D.; Nevels, S.; Ochuodho, T. Kentucky Forest Sector Economic Contribution Report 2019–2020; FORFS-20-02; University of Kentucky: Lexington, KY, USA, 2020. [Google Scholar]
- Fei, S.; Kong, N.; Steiner, K.C.; Moser, W.K.; Steiner, E.B. Change in oak abundance in the eastern United States from 1980 to 2008. For. Ecol. Manag. 2011, 262, 1270–1377. [Google Scholar] [CrossRef]
- Conrad, A.O.; Crocker, E.V.; Li, X.; Thomas, W.R.; Ochuodho, T.O.; Holmes, T.P.; Nelson, C.D. Threats to Oaks in the Eastern United States: Perceptions and Expectations of Experts. J. For. 2020, 118, 14–27. [Google Scholar] [CrossRef]
- Haavik, L.J.; Billings, S.A.; Guldin, J.M.; Stephen, F.M. Emergent insects, pathogens and drought shape changing patterns in oak decline in North America and Europe. For. Ecol. Manag. 2015, 354, 190–205. [Google Scholar] [CrossRef]
- Davidson, C.B.; Gottschalk, K.W.; Johnson, J.E. Tree mortality following defoliation by the European gypsy moth (Lymantria dispar L.) in the United States: A review. For. Sci. 1999, 45, 74–78. [Google Scholar]
- Starkey, D.A.; Oak, S.W. Site factors and stand conditions associated with oak decline in southern upland hardwood forests. In Proceedings of the Seventh Central Hardwoods Forest Conference, Carbondale, IL, USA, 5–8 March 1989; pp. 95–102. [Google Scholar]
- Oak, S.W.; Steinman, J.R.; Starkey, D.A.; Yockey, E.K. Assessing Oak Decline Incidence and Distribution in the Southern U.S. Using Forest Inventory and Analysis Data; General Technical Report (GTR) SRS–73; U.S. Department of Agriculture, Forest Service, Southern Research Station: Asheville, NC, USA, 2004; pp. 236–242.
- Oak, S.W.; Spetich, M.; Morin, R.S. Oak decline in central hardwood forests: Frequency, spatial extent, and scale. In Natural Disturbances and Historic Range of Variation: Type, Frequency, Severity, and Post-Disturbance Structure in Central Hardwood Forests USA. Managing Forest Ecosystems; Greenberg, C.H., Collins, B.S., Eds.; Springer International Publishing: Geneva, Switzerland, 2015. [Google Scholar]
- Gottschalk, K.W.; Wargo, P.M. Oak decline around the world. In Proceedings of the U.S. Department of Agriculture Interagency Gypsy Moth Research Forum, 1996 General Technical Report (GTR) NE-230, Annapolis, MD, USA, 16–19 April 1996; U.S. Department of Agriculture, Forest Service, Northeastern Forest Experiment Station: Upper Darby, PA, USA, 1996; pp. 3–13. [Google Scholar]
- Oak, S.; Tainter, F.; Williams, J.; Starkey, D. Oak decline risk rating for the southeastern United States. Ann. For. Sci. 1996, 53, 721–730. [Google Scholar] [CrossRef]
- Manion, P. Tree Disease Concepts, 2nd ed.; Prentice-Hall: Englewood Cliffs, NJ, USA, 1991. [Google Scholar]
- Clatterbuck, W.; Kauffman, B. Managing oak decline. In University of Kentucky’s Cooperative Extension Publication FOR-099; University of Kentucky: Lexington, KY, USA, 2006. [Google Scholar]
- Bendixsen, D.P.; Hallgren, S.W.; Frazier, A.E. Stress factors associated with forest decline in xeric oak forests of south-central United States. For. Ecol. Manag. 2015, 347, 40–48. [Google Scholar] [CrossRef]
- Greenberg, C.; Keyser, T.L.; Speer, J. Temporal Patterns of Oak Mortality in a Southern Appalachian Forest (1991–2006). Nat. Areas J. 2011, 31, 131–137. [Google Scholar] [CrossRef]
- Spetich, M.A.; Fan, Z.; Fan, X.; He, H.; Shifley, S.R.; Moser, W.K. Risk Factors of Oak Decline and Regional Mortality Patterns in the Ozark Highlands of Arkansas and Missouri. In Forest Health Monitoring: 2009 National Technical Report; General Technical Report (GTR) SRS-GTR-167; Potter, K.M., Conkling, B.L., Eds.; Southern Research Station: Asheville, NC, USA, 2011; pp. 199–202. [Google Scholar]
- Stringer, J.W.; Kimmerer, T.W.; Overstreet, J.C.; Dunn, J.P. Oak Mortality in Eastern Kentucky. South. J. Appl. For. 1989, 13, 86–91. [Google Scholar] [CrossRef]
- Fan, Z.; Fan, X.; Crosby, M.K.; Moser, W.K.; He, H.; Spetich, M.A.; Shifley, S.R. Spatio-Temporal Trends of Oak Decline and Mortality under Periodic Regional Drought in the Ozark Highlands of Arkansas and Missouri. Forests 2012, 3, 614–631. [Google Scholar] [CrossRef]
- Orusa, T.; Orusa, R.; Viani, A.; Carella, E.; Mondino, E.B. Data to Support Wildlife Diseases Assessment at Landscape Level: A Pilot Experience to Map Infectious Keratoconjunctivitis in Chamois and Phenological Trends in Aosta Valley (NW Italy). Remote Sens. 2020, 12, 3542. [Google Scholar] [CrossRef]
- Potapov, P.; Yaroshenko, A.; Turubanova, S.; Dubinin, M.; Laestadius, L.; Thies, C.; Aksenov, D.; Egorov, A.; Yesipova, Y.; Glushkov, I.; et al. Mapping the World’s Intact Forest Landscapes by Remote Sensing. Ecol. Soc. 2008, 13, 51. Available online: http://www.ecologyandsociety.org/vol13/iss2/art51/ (accessed on 5 February 2023). [CrossRef]
- Orusa, T.; Cammareri, D.; Mondino, E.B. A Possible Land Cover EAGLE Approach to Overcome Remote Sensing Limitations in the Alps Based on Sentinel-1 and Sentinel-2: The Case of Aosta Valley (NW Italy). Remote Sens. 2022, 15, 178. [Google Scholar] [CrossRef]
- Loman, Z.G.; Deluca, W.V.; Harrison, D.J.; Loftin, C.S.; Rolek, B.W.; Wood, P.B. Landscape capability models as a tool to predict fine-scale forest bird occupancy and abundance. Landsc. Ecol. 2018, 33, 77–91. [Google Scholar] [CrossRef]
- Jaiswal, R.K.; Mukherjee, S.; Raju, K.D.; Saxena, R. Forest fire risk zone mapping from satellite imagery and GIS. Int. J. Appl. Earth Obs. Geoinf. 2002, 4, 1–10. [Google Scholar] [CrossRef]
- Meentemeyer, R.; Rizzo, D.; Mark, W.; Lotz, E. Mapping the risk of establishment and spread of sudden oak death in California. For. Ecol. Manag. 2004, 200, 195–214. [Google Scholar] [CrossRef]
- Serniak, L.T.; Chan, S.S.; Lajtha, K. Predicting habitat suitability for Amynthas spp. in the United States: A retrospective analysis using citizen science data from iNaturalist. Biol. Invasions 2023, 25, 817–825. [Google Scholar] [CrossRef]
- Pawson, S.M.; Sullivan, J.J.; Grant, A. Expanding general surveillance of invasive species by integrating citizens as both observers and identifiers. J. Pest Sci. 2020, 93, 1155–1166. [Google Scholar] [CrossRef]
- United States, Forest Service, Southern Region. Land and Resource Management Plan for the Daniel Boone National Forest; USDA Forest Service: Winchester, KY, USA, 2004.
- Crocker, E.; Condon, B.; Almsaeed, A.; Jarret, B.; Nelson, C.D.; Abbott, A.G.; Main, D.; Staton, M. TreeSnap: A citizen science app connecting tree enthusiasts and forest scientists. Plants People Planet 2019, 2, 47–52. [Google Scholar] [CrossRef]
- Staley, J.M. Decline and Mortality of Red and Scarlet Oaks. For. Sci. 1965, 11, 2–17. [Google Scholar]
- Demchik, M.C.; Sharpe, W.E. The effect of soil nutrition, soil acidity and drought on northern red oak (Quercus rubra L.) growth and nutrition on Pennsylvania sites with high and low red oak mortality. For. Ecol. Manag. 2000, 136, 199–207. [Google Scholar] [CrossRef]
- Kabrick, J.M.; Dey, D.C.; Jensen, R.G.; Wallendorf, M. The role of environmental factors in oak decline and mortality in the Ozark Highlands. For. Ecol. Manag. 2008, 255, 1409–1417. [Google Scholar] [CrossRef]
- Law, J.R.; Melick, R.; Studyvin, C.; Steinman, J.R. Oak Decline in Missouri: History Revisited; General Technical Report (GTR) SRS-73; Department of Agriculture, Forest Service, Southern Research Station: Asheville, NC, USA, 2004; pp. 257–258.
- Shifley, S.R.; Fan, Z.; Kabrick, J.M.; Jensen, R.G. Oak mortality risk factors and mortality estimation. For. Ecol. Manag. 2006, 299, 16–26. [Google Scholar] [CrossRef]
- Fan, Z.; Kabrick, J.M.; Spetich, M.A.; Shifley, S.R.; Jensen, R.G. Oak mortality associated with crown dieback and oak borer attack in the Ozark Highlands. For. Ecol. Manag. 2008, 255, 2297–2305. [Google Scholar] [CrossRef]
- Heitzman, E.; Grell, A.; Spetich, M.; Starkey, D. Changes in forest structure associated with oak decline in severely impacted areas of northern Arkansas. South. J. Appl. For. 2007, 31, 17–22. [Google Scholar] [CrossRef]
- Boyce, M.S.; Vernier, P.R.; E Nielsen, S.; Schmiegelow, F.K. Evaluating resource selection functions. Ecol. Model. 2002, 157, 281–300. [Google Scholar] [CrossRef]
- Hirzel, A.H.; Le Lay, G.; Helfer, V.; Randin, C.; Guisan, A. Evaluating the ability of habitat suitability models to predict species presences. Ecol. Model. 2006, 199, 142–152. [Google Scholar] [CrossRef]
- Kromroy, K.W.; Juzwik, J.; Castillo, P.; Hansen, M.H. Using Forest Service Forest Inventory and Analysis Data to Estimate Regional Oak Decline and Oak Mortality. North. J. Appl. For. 2008, 25, 17–24. [Google Scholar] [CrossRef]
- Cleland, D.; Reynolds, K.; Vaughan, R.; Schrader, B.; Li, H.; Laing, L. Terrestrial Condition Assessment for National Forests of the USDA Forest Service in the Continental US. Sustainability 2017, 9, 2144. [Google Scholar] [CrossRef]
- De Groot, M.; Pocock, M.J.O.; Bonte, J.; Fernandez-Conradi, P.; Valdés-Correcher, E. Citizen Science and Monitoring Forest Pests: A Beneficial Alliance? Curr. For. Rep. 2022, 9, 15–32. [Google Scholar] [CrossRef]
- Larson, E.R.; Graham, B.M.; Achury, R.; Coon, J.J.; Daniels, M.K.; Gambrell, D.K.; Jonasen, K.L.; King, G.D.; Laracuente, N.; Perrin-Stowe, T.; et al. From eDNA to citizen science: Emerging tools for the early detection of invasive species. Front. Ecol. Environ. 2020, 18, 194–202. [Google Scholar] [CrossRef]
- Falk, B.G.; Snow, R.W.; Reed, R.N. Prospects and Limitations of Citizen Science in Invasive Species Management: A Case Study with Burmese Pythons in Everglades National Park. Southeast. Nat. 2016, 15, 89–102. [Google Scholar] [CrossRef]
- Jäckel, D.; Mortega, K.G.; Sturm, U.; Brockmeyer, U.; Khorramshahi, O.; Voigt-Heucke, S.L. Opportunities and limitations: A comparative analysis of citizen science and expert recordings for bioacoustic research. PLoS ONE 2021, 16, e0253763. [Google Scholar] [CrossRef]
- Cox, T.E.; Philippoff, J.; Baumgartner, E.; Smith, C.M. Expert variability provides perspective on the strengths and weaknesses of citizen-driven intertidal monitoring program. Ecol. Appl. 2012, 22, 1201–1212. [Google Scholar] [CrossRef]
- Bauder, J.M.; Cervantes, A.M.; Avrin, A.C.; Whipple, L.S.; Farmer, M.J.; Miller, C.A.; Benson, T.J.; Stodola, K.W.; Allen, M.L. Mismatched spatial scales can limit the utility of citizen science data for estimating wildlife-habitat relationships. Ecol. Res. 2020, 36, 87–96. [Google Scholar] [CrossRef]
- Bradter, U.; Ozgul, A.; Griesser, M.; Layton-Matthews, K.; Eggers, J.; Singer, A.; Sandercock, B.K.; Haverkamp, P.J.; Snäll, T. Habitat suitability models based on opportunistic citizen science data: Evaluating forecasts from alternative methods versus an individual-based model. Divers. Distrib. 2021, 27, 2397–2411. [Google Scholar] [CrossRef]
- Weiser, E.L.; Diffendorfer, J.E.; Lopez-Hoffman, L.; Semmens, D.; Thogmartin, W.E. Challenges for leveraging citizen science to support statistically robust monitoring programs. Biol. Conserv. 2020, 242, 108411. [Google Scholar] [CrossRef]










| Category | Qualitative Factors | References |
|---|---|---|
| Site-scale environmental characteristics | Poor soils (gravely, shallow, clay content, xeric, low nutrients) | [10,13,14,17,20,32,33,34] |
| High elevation | [10,17,20,34] | |
| Low pH | [17,33,34] | |
| Steep slopes | [14,17,34] | |
| Exposed aspect | [10,17] | |
| Low site index | [10,14] | |
| Soil moisture | [28] | |
| Proximity to water | [17] | |
| Stand-scale biological characteristics | Species composition (e.g., red oak more decline) | [10,11,14,19,20,32,35,36,37] |
| Stand age (e.g., older more decline) | [10,14,34,38] |
Disclaimer/Publisher’s Note: The statements, opinions and data contained in all publications are solely those of the individual author(s) and contributor(s) and not of MDPI and/or the editor(s). MDPI and/or the editor(s) disclaim responsibility for any injury to people or property resulting from any ideas, methods, instructions or products referred to in the content. |
© 2023 by the authors. Licensee MDPI, Basel, Switzerland. This article is an open access article distributed under the terms and conditions of the Creative Commons Attribution (CC BY) license (https://creativecommons.org/licenses/by/4.0/).
Share and Cite
Crocker, E.; Gurung, K.; Calvert, J.; Nelson, C.D.; Yang, J. Integrating GIS, Remote Sensing, and Citizen Science to Map Oak Decline Risk across the Daniel Boone National Forest. Remote Sens. 2023, 15, 2250. https://doi.org/10.3390/rs15092250
Crocker E, Gurung K, Calvert J, Nelson CD, Yang J. Integrating GIS, Remote Sensing, and Citizen Science to Map Oak Decline Risk across the Daniel Boone National Forest. Remote Sensing. 2023; 15(9):2250. https://doi.org/10.3390/rs15092250
Chicago/Turabian StyleCrocker, Ellen, Kumari Gurung, Jared Calvert, C. Dana Nelson, and Jian Yang. 2023. "Integrating GIS, Remote Sensing, and Citizen Science to Map Oak Decline Risk across the Daniel Boone National Forest" Remote Sensing 15, no. 9: 2250. https://doi.org/10.3390/rs15092250
APA StyleCrocker, E., Gurung, K., Calvert, J., Nelson, C. D., & Yang, J. (2023). Integrating GIS, Remote Sensing, and Citizen Science to Map Oak Decline Risk across the Daniel Boone National Forest. Remote Sensing, 15(9), 2250. https://doi.org/10.3390/rs15092250

