Simulation of Parallel Polarization Radiance for Retrieving Chlorophyll a Concentrations in Open Oceans Based on Spaceborne Polarization Crossfire Strategy
Abstract
:1. Introduction
2. Data and Methods
2.1. Overview of PCF
2.2. Radiative Transfer Model and Data Inputs of the Model
2.2.1. Aerosol Model
2.2.2. Optical Model of Case 1 Water
2.3. The Concept of Parallel Polarization Radiance
2.4. Definition of the Radiation Field at the TOA
2.5. Back-Propagation Neural Network
3. Results and Discussion
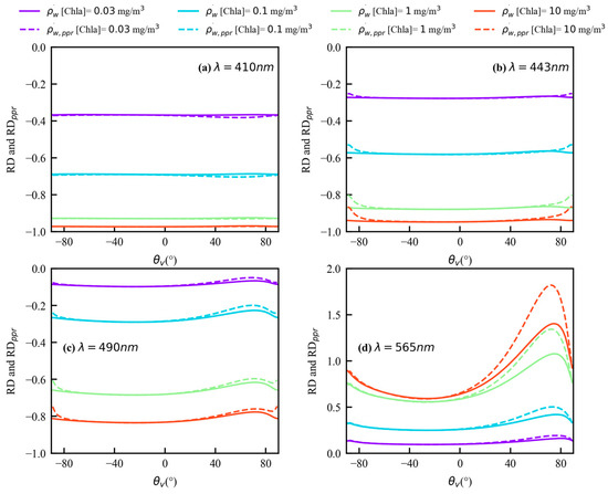
3.1. Angular Variation of TOA PPR Reflectance
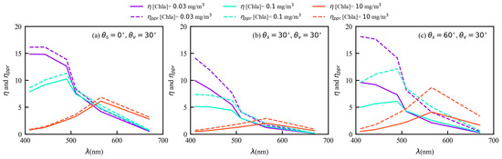
3.2. Spectral Variation of TOA PPR Reflectance
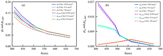
3.3. Enhancement of Contributions of the Water-Leaving Signals by PPR
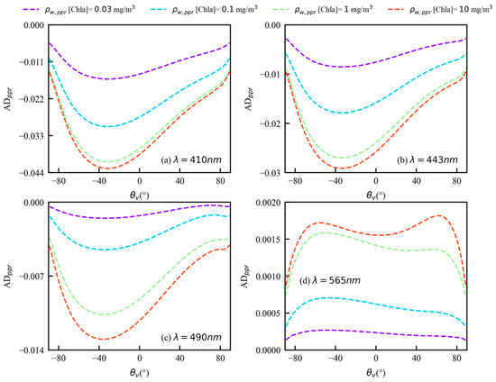
3.4. Sensitivity of PPR Reflectance to Chla in Open Oceans
3.5. Chla Inversion Algorithm Based on BPNN
3.5.1. Architecture of the BPNN Algorithm
3.5.2. Chla Inversion Results
4. Conclusions
Author Contributions
Funding
Data Availability Statement
Acknowledgments
Conflicts of Interest
References
- Boyce, D.G.; Lewis, M.R.; Worm, B. Global phytoplankton decline over the past century. Nature 2010, 466, 591–596. [Google Scholar] [CrossRef] [PubMed]
- Falkowski, P.G.; Katz, M.E.; Knoll, A.H.; Quigg, A.; Raven, J.A.; Schofield, O.; Taylor, F.J. The evolution of modern eukaryotic phytoplankton. Science 2004, 305, 354–360. [Google Scholar] [CrossRef]
- Marzano, F.S.; Iacobelli, M.; Orlandi, M.; Cimini, D. Coastal Water Remote Sensing from Sentinel-2 Satellite Data Using Physical, Statistical, and Neural Network Retrieval Approach. IEEE Trans. Geosci. Remote Sens. 2021, 59, 915–928. [Google Scholar] [CrossRef]
- IOCCG. Phytoplankton Functional Types from SPACE; Reports of the International Ocean Colour Coordinating Group; IOCCG: Dartmouth, NS, Canada, 2014; Volume 15, p. 153. [Google Scholar]
- Ibrahim, A.; Gilerson, A.; Chowdhary, J.; Ahmed, S. Retrieval of macro- and micro-physical properties of oceanic hydrosols from polarimetric observations. Remote Sens. Environ. 2016, 186, 548–566. [Google Scholar] [CrossRef]
- Xu, S.Q.; Li, S.J.; Tao, Z.; Song, K.S.; Wen, Z.D.; Li, Y.; Chen, F.F. Remote Sensing of Chlorophyll-a in Xinkai Lake Using Machine Learning and GF-6 WFV Images. Remote Sens. 2022, 14, 5136. [Google Scholar] [CrossRef]
- El-Habashi, A.; Bowles, J.; Foster, R.; Gray, D.; Chami, M. Polarized observations for advanced atmosphere-ocean algorithms using airborne multi-spectral hyper-angular polarimetric imager. J. Quant. Spectrosc. Radiat. Transf. 2021, 262, 107515. [Google Scholar] [CrossRef]
- Gao, M.; Zhai, P.W.; Franz, B.A.; Hu, Y.X.; Knobelspiesse, K.; Werdell, P.J.; Ibrahim, A.; Cairns, B.; Chase, A. Inversion of multiangular polarimetric measurements over open and coastal ocean waters: A joint retrieval algorithm for aerosol and water-leaving radiance properties. Atmos. Meas. Tech. 2019, 12, 3921–3941. [Google Scholar] [CrossRef]
- Chami, M.; Larnicol, M.; Minghelli, A.; Migeon, S. Influence of the Suspended Particulate Matter on the Satellite Radiance in the Sunglint Observation Geometry in Coastal Waters. Remote Sens. 2020, 12, 1445. [Google Scholar] [CrossRef]
- Gordon, H.R.; Wang, M. Retrieval of water-leaving radiance and aerosol optical thickness over the oceans with SeaWiFS: A preliminary algorithm. Appl. Opt. 1994, 33, 443–452. [Google Scholar] [CrossRef]
- Zhou, G.; Xu, W.; Niu, C.; Zhao, H. The polarization patterns of skylight reflected off wave water surface. Opt. Express 2013, 21, 32549–32565. [Google Scholar] [CrossRef]
- Fougnie, B.; Frouin, R.; Lecomte, P.; Deschamps, P.Y. Reduction of skylight reflection effects in the above-water measurement of diffuse marine reflectance. Appl. Opt. 1999, 38, 3844–3856. [Google Scholar] [CrossRef] [PubMed]
- Frouin, R.; Pouliquen, E.; Bréon, F.-M. Ocean color remote sensing using polarization properties of reflected sunlight. In Proceedings of the CNES, 6th International Symposium on Physical Measurements and Signatures in Remote Sensing, Val d’Isère, France, 17–22 January 1994; pp. 665–674. [Google Scholar]
- He, X.; Pan, D.; Bai, Y.; Wang, D.; Hao, Z. A new simple concept for ocean colour remote sensing using parallel polarisation radiance. Sci. Rep. 2014, 4, 3748. [Google Scholar] [CrossRef]
- Liu, J.; He, X.; Liu, J.; Bai, Y.; Wang, D.; Chen, T.; Wang, Y.; Zhu, F. Polarization-based enhancement of ocean color signal for estimating suspended particulate matter: Radiative transfer simulations and laboratory measurements. Opt. Express 2017, 25, A323–A337. [Google Scholar] [CrossRef] [PubMed]
- Harmel, T.; Chami, M. Influence of polarimetric satellite data measured in the visible region on aerosol detection and on the performance of atmospheric correction procedure over open ocean waters. Opt. Express 2011, 19, 20960–20983. [Google Scholar] [CrossRef] [PubMed]
- Chowdhary, J.; Cairns, B.; Waquet, F.; Knobelspiesse, K.; Ottaviani, M.; Redemann, J.; Travis, L.; Mishchenko, M. Sensitivity of multiangle, multispectral polarimetric remote sensing over open oceans to water-leaving radiance: Analyses of RSP data acquired during the MILAGRO campaign. Remote Sens. Environ. 2012, 118, 284–308. [Google Scholar] [CrossRef]
- Gao, M.; Zhai, P.W.; Franz, B.; Hu, Y.; Knobelspiesse, K.; Werdell, P.J.; Ibrahim, A.; Xu, F.; Cairns, B. Retrieval of aerosol properties and water-leaving reflectance from multi-angular polarimetric measurements over coastal waters. Opt. Express 2018, 26, 8968–8989. [Google Scholar] [CrossRef]
- Hansen, J.E.; Travis, L.D. Light-Scattering in Planetary Atmospheres. Space Sci. Rev. 1974, 16, 527–610. [Google Scholar] [CrossRef]
- Espinosa, W.R.; Martins, J.V.; Remer, L.A.; Dubovik, O.; Lapyonok, T.; Fuertes, D.; Puthukkudy, A.; Orozco, D.; Ziemba, L.; Thornhill, K.L.; et al. Retrievals of Aerosol Size Distribution, Spherical Fraction, and Complex Refractive Index from Airborne In Situ Angular Light Scattering and Absorption Measurements. J. Geophys. Res. Atmos. 2019, 124, 7997–8024. [Google Scholar] [CrossRef]
- Liu, J.; Hu, B.L.; He, X.Q.; Bai, Y.; Tian, L.Q.; Chen, T.Q.; Wang, Y.H.; Pan, D.L. Importance of the parallel polarization radiance for estimating inorganic particle concentrations in turbid waters based on radiative transfer simulations. Int. J. Remote Sens. 2020, 41, 4923–4946. [Google Scholar] [CrossRef]
- Liu, J.; Liu, J.; He, X.; Tian, L.; Bai, Y.; Chen, T.; Wang, Y.; Zhu, F.; Pan, D. Retrieval of marine inorganic particle concentrations in turbid waters using polarization signals. Int. J. Remote Sens. 2019, 41, 4901–4922. [Google Scholar] [CrossRef]
- Gilerson, A.; Zhou, J.; Oo, M.; Chowdhary, J.; Gross, B.M.; Moshary, F.; Ahmed, S. Retrieval of chlorophyll fluorescence from reflectance spectra through polarization discrimination: Modeling and experiments. Appl. Opt. 2006, 45, 5568–5581. [Google Scholar] [CrossRef]
- Ibrahim, A.; Gilerson, A.; Harmel, T.; Tonizzo, A.; Chowdhary, J.; Ahmed, S. The relationship between upwelling underwater polarization and attenuation/absorption ratio. Opt. Express 2012, 20, 25662–25680. [Google Scholar] [CrossRef] [PubMed]
- Freda, W.; Haule, K.; Sagan, S. On the role of the seawater absorption-to-attenuation ratio in the radiance polarization above the southern Baltic surface. Ocean Sci. 2019, 15, 745–759. [Google Scholar] [CrossRef]
- Chami, M.; Platel, M.D. Sensitivity of the retrieval of the inherent optical properties of marine particles in coastal waters to the directional variations and the polarization of the reflectance. J. Geophys. Res. Atmos. 2007, 112, C05037. [Google Scholar] [CrossRef]
- Liu, J.; Jia, X.Y.; He, X.Q.; Wang, Y.H.; Zhu, Q.K.; Li, H.W.; Zou, C.B.; Chen, T.Q.; Feng, X.P.; Zhang, G.; et al. A New Method for Direct Measurement of Polarization Characteristics of Water-Leaving Radiation. IEEE Trans. Geosci. Remote Sens. 2022, 60, 1–14. [Google Scholar] [CrossRef]
- Deschamps, P.Y.; Breon, F.M.; Leroy, M.; Podaire, A.; Bricaud, A.; Buriez, J.C.; Seze, G. The POLDER mission: Instrument characteristics and scientific objectives. IEEE Trans. Geosci. Remote Sens. 1994, 32, 598–615. [Google Scholar] [CrossRef]
- Stamnes, S.; Hostetler, C.; Ferrare, R.; Burton, S.; Liu, X.; Hair, J.; Hu, Y.; Wasilewski, A.; Martin, W.; van Diedenhoven, B.; et al. Simultaneous polarimeter retrievals of microphysical aerosol and ocean color parameters from the “MAPP” algorithm with comparison to high-spectral-resolution lidar aerosol and ocean products. Appl. Opt. 2018, 57, 2394–2413. [Google Scholar] [CrossRef] [PubMed]
- Fougnie, B.; Marbach, T.; Lacan, A.; Lang, R.; Schlüssel, P.; Poli, G.; Munro, R.; Couto, A.B. The multi-viewing multi-channel multi-polarisation imager—Overview of the 3MI polarimetric mission for aerosol and cloud characterization. J. Quant. Spectrosc. Radiat. Transf. 2018, 219, 23–32. [Google Scholar] [CrossRef]
- Hasekamp, O.P.; Fu, G.L.; Rusli, S.P.; Wu, L.H.; Di Noia, A.; de Brugh, J.A.; Landgraf, J.; Smit, J.M.; Rietjens, J.; van Amerongen, A. Aerosol measurements by SPEXone on the NASA PACE mission: Expected retrieval capabilities. J. Quant. Spectrosc. Radiat. Transf. 2019, 227, 170–184. [Google Scholar] [CrossRef]
- Martins, J.V.; Nielsen, T.; Fish, C.; Sparr, L.; Fernandez-Borda, R.; Schoeberl, M.; Remer, L. HARP CubeSat–An innovative hyperangular imaging polarimeter for earth science applications. In Proceedings of the Small Sat Pre-Conference Workshop, Logan Utah, UT, USA, 3 August 2014. [Google Scholar]
- Lei, X.; Liu, Z.; Tao, F.; Dong, H.; Hou, W.; Xiang, G.; Qie, L.; Meng, B.; Li, C.; Chen, F.; et al. Data Comparison and Cross-Calibration between Level 1 Products of DPC and POSP Onboard the Chinese GaoFen-5(02) Satellite. Remote Sens. 2023, 15, 1933. [Google Scholar] [CrossRef]
- Li, Z.Q.; Hou, W.Z.; Hong, J.; Fan, C.; Wei, Y.Y.; Liu, Z.H.; Lei, X.F.; Qiao, Y.L.; Hasekamp, O.P.; Fu, G.L.; et al. The polarization crossfire (PCF) sensor suite focusing on satellite remote sensing of fine particulate matter PM from space. J. Quant. Spectrosc. Radiat. Transf. 2022, 286, 108217. [Google Scholar] [CrossRef]
- Li, Z.Q.; Hou, W.Z.; Hong, J.; Zheng, F.X.; Luo, D.G.; Wang, J.; Gu, X.F.; Qiao, Y.L. Directional Polarimetric Camera (DPC): Monitoring aerosol spectral optical properties over land from satellite observation. J. Quant. Spectrosc. Radiat. Transf. 2018, 218, 21–37. [Google Scholar] [CrossRef]
- Chami, M.; Lafrance, B.; Fougnie, B.; Chowdhary, J.; Harmel, T.; Waquet, F. OSOAA: A vector radiative transfer model of coupled atmosphere-ocean system for a rough sea surface application to the estimates of the directional variations of the water leaving reflectance to better process multi-angular satellite sensors data over the ocean. Opt. Express 2015, 23, 27829–27852. [Google Scholar] [CrossRef] [PubMed]
- Cox, C.; Munk, W. Measurement of the Roughness of the Sea Surface from Photographs of the Sun’s Glitter. J. Opt. Soc. Am. 1954, 44, 838–850. [Google Scholar] [CrossRef]
- Shettle, E.P.; Fenn, R.W. Models for the aerosols of the lower atmosphere and the effects of humidity variations on their optical properties. Environ. Res. 1979, 94, 504. [Google Scholar]
- Morel, A. Optical properties of pure water and pure seawater. Opt. Asp. Oceanogr. 1974, 14, 1–24. [Google Scholar]
- Pope, R.M.; Fry, E.S. Absorption spectrum (380-700 nm) of pure water. II. Integrating cavity measurements. Appl. Opt. 1997, 36, 8710–8723. [Google Scholar] [CrossRef]
- Bricaud, A.; Morel, A.; Babin, M.; Allali, K.; Claustre, H. Variations of light absorption by suspended particles with chlorophyll a concentration in oceanic (case 1) waters: Analysis and implications for bio-optical models. J. Geophys. Res. Ocean. 1998, 103, 31033–31044. [Google Scholar] [CrossRef]
- Morel, A. Optical Modeling of the Upper Ocean in Relation to Its Biogenous Matter Content (Case-I Waters). J. Geophys. Res. Ocean. 1988, 93, 10749–10768. [Google Scholar] [CrossRef]
- Lee, S. Models, Parameters, and Approaches That Used to Generate Wide Range of Absorption and Backscattering Spectra; Ocean Color Algorithm Working Group; IOCCG: Dartmouth, NS, Canada, 2003. [Google Scholar]
- Zhai, P.W.; Hu, Y.; Winker, D.M.; Franz, B.A.; Werdell, J.; Boss, E. Vector radiative transfer model for coupled atmosphere and ocean systems including inelastic sources in ocean waters. Opt. Express 2017, 25, A223–A239. [Google Scholar] [CrossRef]
- Morel, A.; Gentili, B. A simple band ratio technique to quantify the colored dissolved and detrital organic material from ocean color remotely sensed data. Remote Sens. Environ. 2009, 113, 998–1011. [Google Scholar] [CrossRef]
- Huot, Y.; Morel, A.; Twardowski, M.S.; Stramski, D.; Reynolds, R.A. Particle optical backscattering along a chlorophyll gradient in the upper layer of the eastern South Pacific Ocean. Biogeosciences 2008, 5, 495–507. [Google Scholar] [CrossRef]
- Stramski, D.; Kiefer, D.A. Light scattering by microorganisms in the open ocean. Prog. Oceanogr. 1991, 28, 343–383. [Google Scholar] [CrossRef]
- Voss, K.J.; Fry, E.S. Measurement of the Mueller matrix for ocean water. Appl. Opt. 1984, 23, 4427–4439. [Google Scholar] [CrossRef]
- Kokhanovsky, A.A. Parameterization of the Mueller matrix of oceanic waters. J. Geophys. Res. Oceans 2003, 108, 3175. [Google Scholar] [CrossRef]
- Fournier, G.R.; Forand, J.L. Analytic phase function for ocean water. In Proceedings of the Ocean Optics XII, Bergen, Norway, 13–15 June 1994; pp. 194–201. [Google Scholar]
- Fournier, G.R.; Jonasz, M. Computer-based underwater imaging analysis. In Proceedings of the Airborne and In-Water Underwater Imaging, Denver, CO, USA, 28 October 1999; pp. 62–70. [Google Scholar]
- Mobley, C.D.; Sundman, L.K.; Boss, E. Phase function effects on oceanic light fields. Appl. Opt. 2002, 41, 1035–1050. [Google Scholar] [CrossRef] [PubMed]
- Shi, C.; Nakajima, T.; Hashimoto, M. Simultaneous retrieval of aerosol optical thickness and chlorophyll concentration from multiwavelength measurement over East China Sea. J. Geophys. Res. Atmos. 2016, 121, 14084–14101. [Google Scholar] [CrossRef]
- Egan, W.G. Optical stokes parameters for farm cropidentification. Remote Sens. Environ. 1970, 1, 165–180. [Google Scholar] [CrossRef]
- Coulson, K.L. Polarization and Intensity of Light in the Atmosphere; A Deepak Pub: Hampton, VA, USA, 1988. [Google Scholar]
- Shi, C.; Wang, P.C.; Nakajima, T.; Ota, Y.; Tan, S.C.; Shi, G.Y. Effects of Ocean Particles on the Upwelling Radiance and Polarized Radiance in the Atmosphere-Ocean System. Adv. Atmos Sci. 2015, 32, 1186–1196. [Google Scholar] [CrossRef]
- Zhai, P.W.; Knobelspiesse, K.; Ibrahim, A.; Franz, B.A.; Hu, Y.; Gao, M.; Frouin, R. Water-leaving contribution to polarized radiation field over ocean. Opt. Express 2017, 25, A689–A708. [Google Scholar] [CrossRef] [PubMed]
- Park, Y.J.; Ruddick, K. Model of remote-sensing reflectance including bidirectional effects for case 1 and case 2 waters. Appl. Opt. 2005, 44, 1236–1249. [Google Scholar] [CrossRef] [PubMed]
- Chowdhary, J.; Cairns, B.; Travis, L.D. Contribution of water-leaving radiances to multiangle, multispectral polarimetric observations over the open ocean: Bio-optical model results for case 1 waters. Appl. Opt. 2006, 45, 5542–5567. [Google Scholar] [CrossRef] [PubMed]
- Ottaviani, M.; Foster, R.; Gilerson, A.; Ibrahim, A.; Carrizo, C.; El-Habashi, A.; Cairns, B.; Chowdhary, J.; Hostetler, C.; Hair, J.; et al. Airborne and shipborne polarimetric measurements over open ocean and coastal waters: Intercomparisons and implications for spaceborne observations. Remote Sens. Environ. 2018, 206, 375–390. [Google Scholar] [CrossRef] [PubMed]
- Jamet, C.; Ibrahim, A.; Ahmad, Z.; Angelini, F.; Babin, M.; Behrenfeld, M.J.; Boss, E.; Cairns, B.; Churnside, J.; Chowdhary, J.; et al. Going Beyond Standard Ocean Color Observations: Lidar and Polarimetry. Front. Mar. Sci. 2019, 6, 251. [Google Scholar] [CrossRef]
- Harmel, T.; Chami, M. Invariance of polarized reflectance measured at the top of atmosphere by PARASOL satellite instrument in the visible range with marine constituents in open ocean waters. Opt. Express 2008, 16, 6064–6080. [Google Scholar] [CrossRef]
- Chami, M. Importance of the polarization in the retrieval of oceanic constituents from the remote sensing reflectance. J. Geophys. Res. Oceans 2007, 112, C05026. [Google Scholar] [CrossRef]
- Sun, Z.; Zhang, B.; Yao, Y. Improving the Estimation of Weighted Mean Temperature in China Using Machine Learning Methods. Remote Sens. 2021, 13, 1016. [Google Scholar] [CrossRef]

















| Band No. | POSP | DPC | ||||
|---|---|---|---|---|---|---|
| Central Wavelength (nm) | Spectral Bandwidth (nm) | Polarization | Central Wavelength (nm) | Spectral Bandwidth (nm) | Polarization | |
| 1 | 380 | 20 | Yes | - | - | - |
| 2 | 410 | 20 | Yes | - | - | - |
| 3 | 443 | 20 | Yes | 443 | 20 | No |
| 4 | 490 | 20 | Yes | 490 | 20 | Yes |
| 5 | - | - | - | 565 | 20 | No |
| 6 | 670 | 20 | Yes | 670 | 20 | Yes |
| 7 | - | - | - | 763 | 10 | No |
| 8 | - | - | - | 765 | 40 | No |
| 9 | 865 | 40 | Yes | 865 | 40 | Yes |
| 10 | - | - | - | 910 | 20 | No |
| 11 | 1380 | 40 | Yes | - | - | - |
| 12 | 1610 | 60 | Yes | - | - | - |
| 13 | 2250 | 80 | Yes | - | - | - |
| Case | RMSE (mg/m3) | RRMSE (%) | ΔRMES (mg/m3) |
|---|---|---|---|
| I | 0.035 | 9.21 | - |
| PPR | 0.033 | 9.16 | −0.002 |
| PCF | 0.014 | 6.57 | −0.021 |
Disclaimer/Publisher’s Note: The statements, opinions and data contained in all publications are solely those of the individual author(s) and contributor(s) and not of MDPI and/or the editor(s). MDPI and/or the editor(s) disclaim responsibility for any injury to people or property resulting from any ideas, methods, instructions or products referred to in the content. |
© 2023 by the authors. Licensee MDPI, Basel, Switzerland. This article is an open access article distributed under the terms and conditions of the Creative Commons Attribution (CC BY) license (https://creativecommons.org/licenses/by/4.0/).
Share and Cite
Wei, Y.; Sun, X.; Liu, X.; Huang, H.; Ti, R.; Hong, J.; Yu, H.; Wang, Y.; Li, Y.; Wang, Y. Simulation of Parallel Polarization Radiance for Retrieving Chlorophyll a Concentrations in Open Oceans Based on Spaceborne Polarization Crossfire Strategy. Remote Sens. 2023, 15, 5490. https://doi.org/10.3390/rs15235490
Wei Y, Sun X, Liu X, Huang H, Ti R, Hong J, Yu H, Wang Y, Li Y, Wang Y. Simulation of Parallel Polarization Radiance for Retrieving Chlorophyll a Concentrations in Open Oceans Based on Spaceborne Polarization Crossfire Strategy. Remote Sensing. 2023; 15(23):5490. https://doi.org/10.3390/rs15235490
Chicago/Turabian StyleWei, Yichen, Xiaobing Sun, Xiao Liu, Honglian Huang, Rufang Ti, Jin Hong, Haixiao Yu, Yuxuan Wang, Yiqi Li, and Yuyao Wang. 2023. "Simulation of Parallel Polarization Radiance for Retrieving Chlorophyll a Concentrations in Open Oceans Based on Spaceborne Polarization Crossfire Strategy" Remote Sensing 15, no. 23: 5490. https://doi.org/10.3390/rs15235490
APA StyleWei, Y., Sun, X., Liu, X., Huang, H., Ti, R., Hong, J., Yu, H., Wang, Y., Li, Y., & Wang, Y. (2023). Simulation of Parallel Polarization Radiance for Retrieving Chlorophyll a Concentrations in Open Oceans Based on Spaceborne Polarization Crossfire Strategy. Remote Sensing, 15(23), 5490. https://doi.org/10.3390/rs15235490

