JPSS-1 VIIRS Prelaunch Reflective Solar Band Testing and Performance
Abstract
1. Introduction
2. RSB Calibration Testing Approach
2.1. Spherical Integration Source and Linear Attenuation Assembly Calibrators
2.2. JPSS-1 VIIRS Configuration and Test Plan
2.3. Test Data and Analysis Methodology
3. Results
3.1. Dynamic Range
3.2. Dual Gain Switch
3.3. SNR Results
3.4. Detector Response Characterization
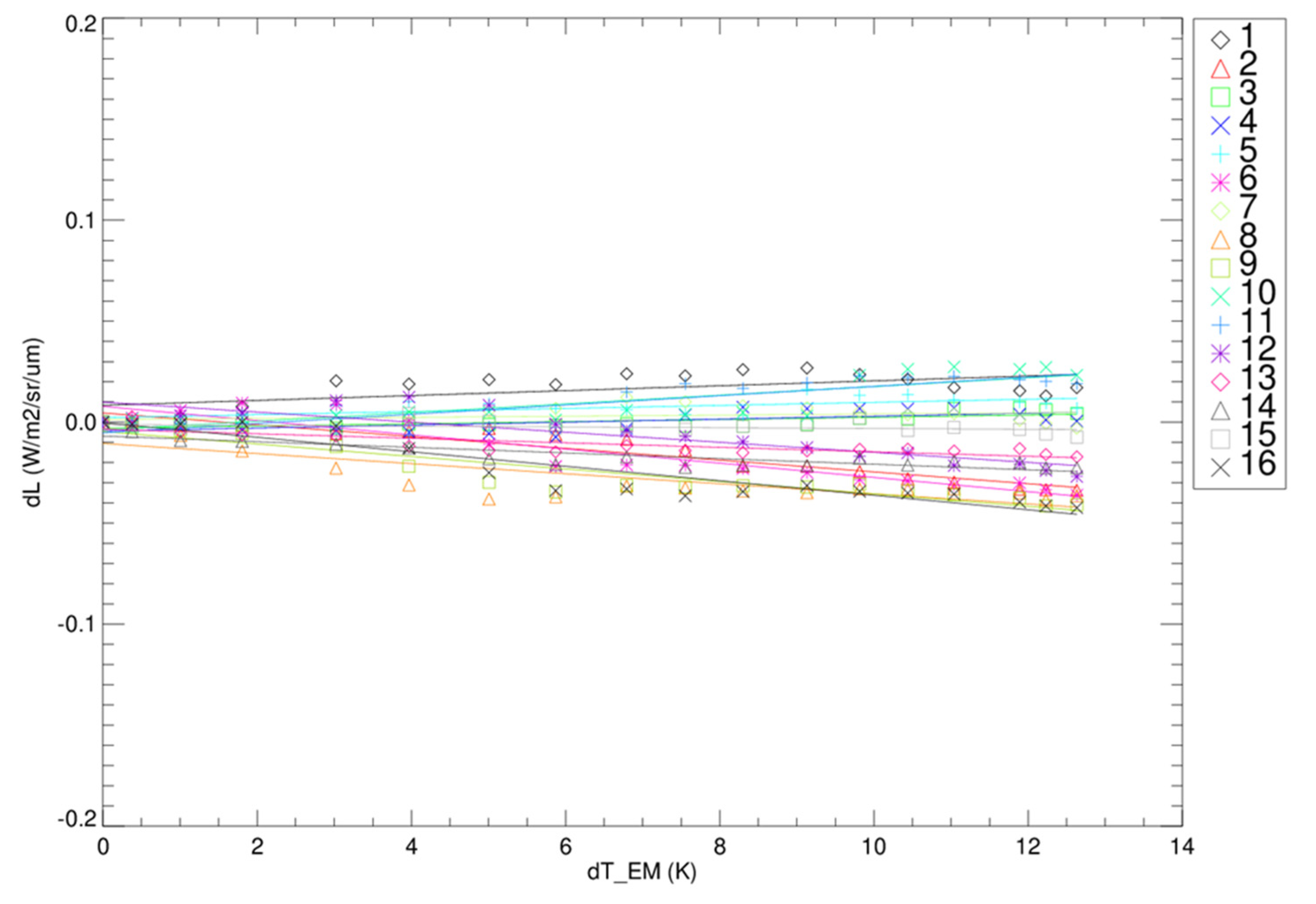
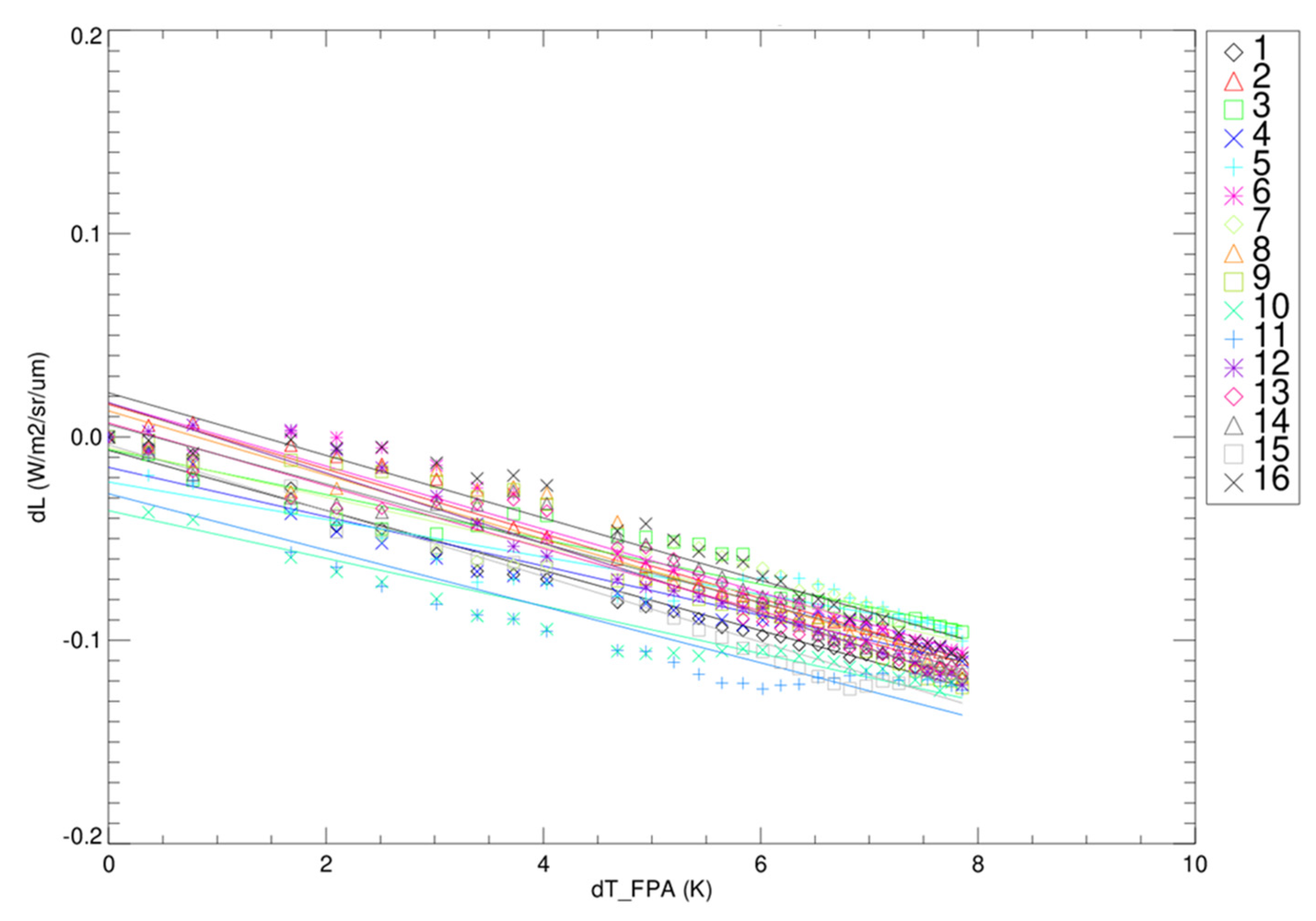
3.5. Response Sensitivity to Instrument Temperature
3.6. Uncertainty
4. Conclusions
Author Contributions
Funding
Acknowledgments
Conflicts of Interest
References
- Wolfe, R.E.; Lin, G.; Nishihama, M.; Tewari, K.P.; Tilton, J.C.; Isaacman, A.R. Suomi NPP VIIRS prelaunch and on-orbit geometric calibration and characterization. J. Geophys. Res. Atmos. 2013, 118, 11508–11521. [Google Scholar] [CrossRef]
- Holben, B.N.; Kaufman, Y.J.; Kendall, J.D. NOAA-11 AVHRR visible and near-IR inflight calibration. Int. J. Remote Sens. 1990, 11, 1511–1519. [Google Scholar] [CrossRef]
- Salomonson, V.V.; Barnes, W.; Xiong, J.; Kempler, S.; Masuoka, E. An overview of the Earth Observing System MODIS instrument and associated data systems performance. In Proceedings of the IEEE International Symposium on Geoscience and Remote Sensing, Kuala Lumpur, Malaysia, 17–22 July 2022; pp. 1174–1176. [Google Scholar]
- Kramer, H.J. Observation of the Earth and Its Environment: Survey of Missions and Sensors, 4th ed.; Springer: Berlin, Germany, 2002; ISBN 3540423885. [Google Scholar]
- Xiong, X.; Aldoretta, E.; Angal, A.; Chang, T.; Geng, X.; Link, D.; Salomonson, V.; Twedt, K.; Wu, A. Terra MODIS: 20 years of on-orbit calibration and performance. J. Appl. Rem. Sens. 2020, 14, 037501. [Google Scholar] [CrossRef]
- Xiong, X.; Wenny, B.N.; Barnes, W.L. Overview of NASA Earth Observing Systems Terra and Aqua Moderate Resolution Imaging Spectroradiometer Instrument Calibration Algorithms and On-orbit Performance. J. Appl. Remote Sens. 2009, 3, 032501. [Google Scholar]
- Cao, C.; De Luccia, F.; Xiong, X.; Wolfe, R.; Weng, F. Early On-Orbit Performance of the Visible Infrared Imaging Radiometer Suite Onboard the Suomi National Polar-Orbiting Partnership (S-NPP) Satellite. IEEE Trans. Geosci. Remote Sens. 2013, 52, 1142–1156. [Google Scholar] [CrossRef]
- Choi, T.; Cao, C.; Blonski, S.; Wang, W.; Uprety, S.; Shao, X. NOAA-20 VIIRS Reflective Solar Band Postlaunch Calibration Updates Two Years In-Orbit. IEEE Trans. Geosci. Remote Sen. 2020, 58, 7633–7642. [Google Scholar] [CrossRef]
- Murgai, V.; Johnson, L.; Moskun, E. BRDF Characterization of Solar Diffuser for JPSS J1 using PASCAL. In Proceedings of the Earth Observing Systems XIX, San Diego, CA, USA, 18–20 August 2014; SPIE: Bellingham, WA, USA, 2014; Volume 9218, pp. 346–355. [Google Scholar] [CrossRef]
- Fulbright, J.; Lei, N.; Efremova, B.; Xiong, X. Suomi-NPP VIIRS Solar Diffuser Stability Monitor Performance. IEEE Trans. Geosci. Remote Sens. 2016, 54, 631–639. [Google Scholar] [CrossRef]
- Lei, N.; Chiang, K.; Xiong, X. Examination of the angular dependence of the SNPP VIIRS solar diffuser BRDF degradation factor. In Proceedings of the Earth Observing Systems XIX, San Diego, CA, USA, 18–20 August 2014; SPIE: Bellingham, WA, USA, 2014; Volume 9218, pp. 550–562. [Google Scholar]
- Moyer, D.; McIntire, J.; Oudrari, H.; McCarthy, J.; Xiong, X.; De Luccia, F. JPSS-1 VIIRS Pre-Launch Response Versus Scan Angle Testing and Performance. Remote Sens. 2016, 8, 141. [Google Scholar] [CrossRef]
- Thuillier, G.; Hersé, M.; Foujols, T.; Peetermans, W.; Gillotay, D.; Simon, P.C.; Mandel, H. The Solar Spectral Irradiance from 200 to 2400 nm as Measured by the SOLSPEC Spectrometer from the Atlas and Eureca Missions. Sol. Phys. 2003, 214, 1–22. [Google Scholar] [CrossRef]
- Cao, C.; Zhang, B.; Shao, X.; Wang, W.; Uprety, S.; Choi, T.; Blonski, S.; Gu, Y.; Bai, Y.; Lin, L.; et al. Mission-Long Recalibrated Science Quality Suomi NPP VIIRS Radiometric Dataset Using Advanced Algorithms for Time Series Studies. Remote Sens. 2021, 13, 1075. [Google Scholar] [CrossRef]
- Oudrari, H.; McIntire, J.; Xiong, X.; Butler, J.; Lee, S.; Lei, N.; Schwarting, T.; Sun, J. Prelaunch Radiometric Characterization and Calibration of the S-NPP VIIRS Sensor. IEEE Trans. Geosci. Remote Sens. 2015, 53, 2195–2210. [Google Scholar] [CrossRef]
- Zhang, B.; Cao, C.; Uprety, S.; Shao, X. NOAA-20 VIIRS radiometric band saturation evaluation and comparison with Suomi NPP VIIRS using global probability distribution function method. In Proceedings of the Earth Observing Systems XXIII, San Diego, CA, USA, 19–23 August 2018; SPIE: Bellingham, WA, USA, 2018; Volume 10764, pp. 505–512. [Google Scholar] [CrossRef]
- Wang, W.; Cao, C.; Blonski, S.; Gu, Y.; Zhang, B.; Uprety, S. An Improved Method for VIIRS Radiance Limit Verification and Saturation Rollover Flagging. IEEE Trans. Geosci. Remote Sens. 2022, 60, 5403011. [Google Scholar] [CrossRef]
- Murgai, V.; Klein, S. Spectralon Solar Diffuser BRDF extrapolation to 2.25 microns for JPSS J1, J2, and J3. In Proceedings of the Earth Observing Systems XXIV, San Diego, CA, USA, 11–15 August 2019; SPIE: Bellingham, WA, USA, 2019; Volume 11127, pp. 75–85. [Google Scholar] [CrossRef]
- Moyer, D.; Uprety, S.; Wang, W.; Cao, C.; Guch, I. S-NPP/NOAA-20 VIIRS reflective solar bands on-orbit calibration bias investigation. In Proceedings of the Earth Observing Systems XXVI, Virtual Conference, 3 August 2021; SPIE: Bellingham, WA, USA, 2021; Volume 11829, pp. 319–321. [Google Scholar] [CrossRef]






















| Band | Spectral Range (µm) | Band Gain | Ltyp | Lmax | SNR |
|---|---|---|---|---|---|
| VNIR | |||||
| DNB | 0.500–0.900 | VG | 0.00003 | 200 | 6 |
| M1 | 0.402–0.422 | High | 44.9 | 135 | 352 |
| Low | 155 | 615 | 316 | ||
| M2 | 0.436–0.454 | High | 40 | 127 | 380 |
| Low | 146 | 687 | 409 | ||
| M3 | 0.478–0.498 | High | 32 | 107 | 416 |
| Low | 123 | 702 | 414 | ||
| M4 | 0.545–0.565 | High | 21 | 78 | 362 |
| Low | 90 | 667 | 315 | ||
| I1 | 0.600–0.680 | Single | 22 | 718 | 119 |
| M5 | 0.662–0.682 | High | 10 | 59 | 242 |
| Low | 68 | 651 | 360 | ||
| M6 | 0.739–0.754 | Single | 9.6 | 41 | 199 |
| I2 | 0.846–0.885 | Single | 25 | 349 | 150 |
| M7 | 0.846–0.885 | High | 6.4 | 29 | 215 |
| Low | 33.4 | 349 | 340 | ||
| SWIR | |||||
| M8 | 1.230–1.250 | Single | 5.4 | 165 | 74 |
| M9 | 1.371–1.386 | Single | 6 | 77.1 | 83 |
| I3 | 1.580–1.640 | Single | 7.3 | 72.5 | 6 |
| M10 | 1.580–1.640 | Single | 7.3 | 71.2 | 342 |
| M11 | 2.225–2.275 | Single | 0.12 | 31.8 | 10 |
| Single Gain | High Gain | Low Gain | |||||||
|---|---|---|---|---|---|---|---|---|---|
| L_sat | L_max | L_sat/L_max | L_sat | L_max | L_sat/L_max | L_sat | L_max | L_sat/L_max | |
| I1 | 772 | 718 | 1.08 | -- | -- | -- | -- | -- | -- |
| I2 | 401 | 349 | 1.15 | -- | -- | -- | -- | -- | -- |
| I3 | 65.2 | 72.5 | 0.90 | -- | -- | -- | -- | -- | -- |
| M1 | -- | -- | -- | 164 | 135 | 1.21 | 710 | 615 | 1.15 |
| M2 | -- | -- | -- | 173 | 127 | 1.36 | 797 | 687 | 1.16 |
| M3 | -- | -- | -- | 144 | 107 | 1.35 | 851 | 702 | 1.21 |
| M4 | -- | -- | -- | 113 | 78.0 | 1.44 | 863 | 667 | 1.29 |
| M5 | -- | -- | -- | 76.5 | 59.0 | 1.30 | 733 | 651 | 1.13 |
| M6 | 46.8 | 41.0 | 1.14 | -- | -- | -- | -- | -- | -- |
| M7 | -- | -- | -- | 38.1 | 29.0 | 1.31 | 414 | 349 | 1.19 |
| M8 | 115 | 165 | 0.69 | -- | -- | -- | -- | -- | -- |
| M9 | 72.1 | 77.1 | 0.93 | -- | -- | -- | -- | -- | -- |
| M10 | 77.0 | 71.2 | 1.08 | -- | -- | -- | -- | -- | -- |
| M11 | 33.5 | 31.8 | 1.05 | -- | -- | -- | -- | -- | -- |
| Band | E Side | HAM | Lmin Switch Point | Lmax Switch Point | L at Transition | Ratio of Switch with Requirement | ||||
|---|---|---|---|---|---|---|---|---|---|---|
| Temperature Plateau | Temperature Plateau | |||||||||
| Cold | Nominal | Hot | Cold | Nominal | Hot | |||||
| M1 | A | A | 135 | 202.5 | 167.2 | 155.5 | 158.9 | 1.24 | 1.15 | 1.18 |
| M1 | A | B | 135 | 202.5 | 169.3 | 158.0 | 161.3 | 1.25 | 1.17 | 1.19 |
| M2 | A | A | 127 | 190.5 | 161.5 | 153.0 | 156.3 | 1.27 | 1.21 | 1.23 |
| M2 | A | B | 127 | 190.5 | 162.6 | 154.0 | 157.4 | 1.28 | 1.21 | 1.24 |
| M3 | A | A | 107 | 160.5 | 122.2 | 115.3 | 118.4 | 1.14 | 1.08 | 1.11 |
| M3 | A | B | 107 | 160.5 | 122.5 | 115.5 | 118.6 | 1.14 | 1.08 | 1.11 |
| M4 | A | A | 78 | 117 | 98.3 | 92.5 | 95.4 | 1.26 | 1.19 | 1.22 |
| M4 | A | B | 78 | 117 | 98.2 | 92.4 | 95.3 | 1.26 | 1.18 | 1.22 |
| M5 | A | A | 59 | 88.5 | 66.9 | 62.3 | 65.1 | 1.13 | 1.06 | 1.10 |
| M5 | A | B | 59 | 88.5 | 66.6 | 62.0 | 64.8 | 1.13 | 1.05 | 1.10 |
| M7 | A | A | 29 | 43.5 | 33.4 | 30.7 | 32.5 | 1.15 | 1.06 | 1.12 |
| M7 | A | B | 29 | 43.5 | 33.5 | 30.8 | 32.6 | 1.16 | 1.06 | 1.12 |
| M1 | B | A | 135 | 202.5 | 169.3 | 157.8 | 165.8 | 1.25 | 1.17 | 1.23 |
| M1 | B | B | 135 | 202.5 | 170.0 | 160.2 | 168.6 | 1.26 | 1.19 | 1.25 |
| M2 | B | A | 127 | 190.5 | 163.7 | 155.0 | 160.7 | 1.29 | 1.22 | 1.27 |
| M2 | B | B | 127 | 190.5 | 164.6 | 156.1 | 161.7 | 1.30 | 1.23 | 1.27 |
| M3 | B | A | 107 | 160.5 | 123.9 | 117.0 | 121.1 | 1.16 | 1.09 | 1.13 |
| M3 | B | B | 107 | 160.5 | 124.1 | 117.1 | 121.3 | 1.16 | 1.09 | 1.13 |
| M4 | B | A | 78 | 117 | 99.5 | 93.8 | 97.1 | 1.28 | 1.20 | 1.25 |
| M4 | B | B | 78 | 117 | 99.2 | 93.6 | 97.1 | 1.27 | 1.20 | 1.25 |
| M5 | B | A | 59 | 88.5 | 67.9 | 63.9 | 66.3 | 1.15 | 1.08 | 1.12 |
| M5 | B | B | 59 | 88.5 | 67.5 | 63.7 | 66.0 | 1.14 | 1.08 | 1.12 |
| M7 | B | A | 29 | 43.5 | 33.7 | 32.0 | 33.1 | 1.16 | 1.10 | 1.14 |
| M7 | B | B | 29 | 43.5 | 33.6 | 32.0 | 33.1 | 1.16 | 1.10 | 1.14 |
| Single Gain | High Gain | Low Gain | |||||||
|---|---|---|---|---|---|---|---|---|---|
| SNR | Spec | SNR/Spec | SNR | Spec | SNR/Spec | SNR | Spec | SNR/Spec | |
| I1 | 307.1 | 119.0 | 2.6 | -- | -- | -- | -- | -- | -- |
| I2 | 278.4 | 150.0 | 1.9 | -- | -- | -- | -- | -- | -- |
| I3 | 186.8 | 6.0 | 31.1 | -- | -- | -- | -- | -- | -- |
| M1 | -- | -- | -- | 628.9 | 352.0 | 1.8 | 878.1 | 155.0 | 5.7 |
| M2 | -- | -- | -- | 567.6 | 380.0 | 1.5 | 1009.3 | 146.0 | 6.9 |
| M3 | -- | -- | -- | 692.1 | 416.0 | 1.7 | 1155.7 | 123.0 | 9.4 |
| M4 | -- | -- | -- | 542.4 | 362.0 | 1.5 | 961.9 | 90.0 | 10.7 |
| M5 | -- | -- | -- | 376.5 | 242.0 | 1.6 | 928.3 | 68.0 | 13.7 |
| M6 | 424.4 | 41.0 | 10.4 | -- | -- | -- | -- | -- | -- |
| M7 | -- | -- | -- | 542.7 | 215.0 | 2.5 | 1148.2 | 33.4 | 34.4 |
| M8 | 390.4 | 164.9 | 2.4 | -- | -- | -- | -- | -- | -- |
| M9 | 302.8 | 77.1 | 3.9 | -- | -- | -- | -- | -- | -- |
| M10 | 826.7 | 71.2 | 11.6 | -- | -- | -- | -- | -- | -- |
| M11 | 69.7 | 31.8 | 2.2 | -- | -- | -- | -- | -- | -- |
| SNR | Spec | SNR/Spec | |||||||
| I3 D4 | 8.9 | 6.0 | 1.5 | ||||||
| Cold-to-Nominal | Nominal-to-Hot | |||
|---|---|---|---|---|
| dL/dT EM | dL/dT OMM | dL/dT EM | dL/dT OMM | |
| I1 | 0.0161 | 0.0762 | 0.0065 | 0.0291 |
| I2 | −0.0014 | −0.0207 | −0.0057 | −0.0531 |
| I3 | 0.0018 | −0.0052 | −0.0005 | −0.0155 |
| M1 | −0.0007 | −0.0120 | −0.0002 | −0.0145 |
| M2 | 0.0000 | −0.0074 | 0.0010 | −0.0111 |
| M3 | −0.0006 | −0.0114 | 0.0007 | −0.0158 |
| M4 | 0.0012 | −0.0159 | −0.0002 | −0.0197 |
| M5 | −0.0008 | −0.0128 | −0.0010 | −0.0138 |
| M6 | 0.0006 | −0.0041 | 0.0002 | −0.0075 |
| M7 | −0.0011 | −0.0177 | −0.0012 | −0.0186 |
| M8 | 0.0014 | −0.0221 | 0.0002 | −0.0263 |
| M9 | 0.0046 | 0.0071 | −0.0181 | 0.0031 |
| M10 | 0.0013 | −0.0063 | −0.0018 | −0.0182 |
| M11 | 0.0015 | 0.0010 | 0.0000 | −0.0024 |
| Description | Error Type | M1 | M2 | M3 | M4 | M5 | M6 | M7 | M8 | M9 | M10 | M11 | I1 | I2 | I3 | ||||||
|---|---|---|---|---|---|---|---|---|---|---|---|---|---|---|---|---|---|---|---|---|---|
| Low | High | Low | High | Low | High | Low | High | Low | High | Low | High | ||||||||||
| Reflectance Accuracy (RSS of Bias & Random Totals) | 1.90 | 1.88 | 1.78 | 1.74 | 1.88 | 1.68 | 1.41 | 1.37 | 1.38 | 1.41 | 1.50 | 1.43 | 1.42 | 1.76 | 1.48 | 1.37 | 2.25 | 1.36 | 1.35 | 1.37 | |
| Characterization Uncertainty at Ltyp | Random | 0.24 | 0.05 | 0.46 | 0.31 | 0.85 | 0.19 | 0.45 | 0.31 | 0.32 | 0.43 | 0.67 | 0.49 | 0.49 | 1.14 | 0.36 | 0.21 | 0.59 | 0.23 | 0.18 | 0.13 |
| Response Stability | Random | 0.140 | 0.140 | 0.120 | 0.120 | 0.110 | 0.110 | 0.120 | 0.120 | 0.130 | 0.130 | 0.120 | 0.120 | 0.130 | 0.130 | 0.220 | 0.200 | 0.120 | 0.130 | 0.120 | 0.190 |
| Offset Knowledge & Stability | Random | 0.040 | 0.010 | 0.040 | 0.010 | 0.030 | 0.012 | 0.040 | 0.014 | 0.040 | 0.040 | 0.090 | 0.040 | 0.010 | 0.040 | 0.030 | 0.020 | 0.070 | 0.070 | 0.045 | 0.060 |
| Spec Unc Alloc | Random | 0.00 | 0.00 | 0.00 | 0.00 | 0.00 | 0.00 | 0.00 | 0.00 | 0.00 | 0.00 | 0.00 | 0.00 | 0.00 | 0.00 | 0.00 | 0.00 | 0.00 | 0.00 | 0.00 | |
| RVS Unc Alloc | 0.71 | 0.71 | 0.25 | 0.25 | 0.06 | 0.06 | 0.07 | 0.07 | 0.1 | 0.1 | 0.06 | 0.06 | 0.06 | 0.13 | 0.49 | 0.1 | 0.09 | 0.09 | 0.06 | 0.08 | |
| Pre-Launch Char Uncer | Random | 0.10 | 0.10 | 0.06 | 0.06 | 0.05 | 0.05 | 0.06 | 0.06 | 0.08 | 0.08 | 0.04 | 0.05 | 0.05 | 0.12 | 0.48 | 0.07 | 0.08 | 0.07 | 0.05 | 0.04 |
| Polarization Error | Random | 0.00 | 0.00 | 0.00 | 0.00 | 0.00 | 0.00 | 0.00 | 0.00 | 0.00 | 0.00 | 0.00 | 0.00 | 0.00 | 0.00 | 0.00 | 0.00 | 0.00 | 0.00 | 0.00 | 0.00 |
| RVS Change over Life | Random | 0.70 | 0.70 | 0.24 | 0.24 | 0.04 | 0.04 | 0.03 | 0.03 | 0.06 | 0.06 | 0.04 | 0.03 | 0.03 | 0.06 | 0.08 | 0.07 | 0.04 | 0.06 | 0.03 | 0.07 |
| SD Uncertainty | 1.74 | 1.74 | 1.69 | 1.69 | 1.67 | 1.66 | 1.33 | 1.33 | 1.33 | 1.33 | 1.33 | 1.33 | 1.33 | 1.33 | 1.33 | 1.33 | 2.16 | 1.33 | 1.33 | 1.34 | |
| Pre-Launch SD BRDF | Random | 0.76 | 0.76 | 0.76 | 0.76 | 0.76 | 0.76 | 0.76 | 0.76 | 0.76 | 0.76 | 0.76 | 0.76 | 0.76 | 0.76 | 0.76 | 0.76 | 0.76 | 0.76 | 0.76 | 0.76 |
| Straylight | Bias | 0.63 | 0.63 | 0.63 | 0.63 | 0.63 | 0.63 | 0.63 | 0.63 | 0.63 | 0.63 | 0.63 | 0.63 | 0.63 | 0.63 | 0.63 | 0.63 | 0.63 | 0.63 | 0.63 | 0.63 |
| M11 BRDF Extrapolation | Random | 0.00 | 0.00 | 0.00 | 0.00 | 0.00 | 0.00 | 0.00 | 0.00 | 0.00 | 0.00 | 0.00 | 0.00 | 0.00 | 0.00 | 0.00 | 0.00 | 1.70 | 0.00 | 0.00 | 0.00 |
| Other SD | 1.43 | 1.43 | 1.38 | 1.37 | 1.34 | 1.34 | 0.89 | 0.89 | 0.89 | 0.89 | 0.89 | 0.89 | 0.89 | 0.89 | 0.9 | 0.89 | 0.9 | 0.89 | 0.89 | 0.91 | |
| SD Degradation over Life | Random | 0.12 | 0.07 | 0.13 | 0.07 | 0.10 | 0.04 | 0.10 | 0.04 | 0.10 | 0.04 | 0.04 | 0.09 | 0.03 | 0.09 | 0.13 | 0.09 | 0.16 | 0.08 | 0.10 | 0.20 |
| SD - Sun Angle Uncertainty | Random | 0.33 | 0.33 | 0.33 | 0.33 | 0.33 | 0.33 | 0.33 | 0.33 | 0.33 | 0.33 | 0.33 | 0.33 | 0.33 | 0.33 | 0.33 | 0.33 | 0.33 | 0.33 | 0.33 | 0.33 |
| Post-Launch BRF Change | Random | 0.50 | 0.50 | 0.50 | 0.50 | 0.50 | 0.50 | 0.50 | 0.50 | 0.50 | 0.50 | 0.50 | 0.50 | 0.50 | 0.50 | 0.50 | 0.50 | 0.50 | 0.50 | 0.50 | 0.50 |
| SAS Error | Random | 0.24 | 0.24 | 0.24 | 0.24 | 0.24 | 0.24 | 0.24 | 0.24 | 0.24 | 0.24 | 0.24 | 0.24 | 0.24 | 0.24 | 0.24 | 0.24 | 0.24 | 0.24 | 0.24 | 0.24 |
| SDSM Error | 0.79 | 0.79 | 0.68 | 0.68 | 0.61 | 0.61 | 0.61 | 0.61 | 0.61 | 0.61 | 0.61 | 0.61 | 0.61 | 0.61 | 0.61 | 0.61 | 0.61 | 0.61 | 0.61 | 0.61 | |
| Baseline SDSM Test | Random | 0.61 | 0.61 | 0.61 | 0.61 | 0.61 | 0.61 | 0.61 | 0.61 | 0.61 | 0.61 | 0.61 | 0.61 | 0.61 | 0.61 | 0.61 | 0.61 | 0.61 | 0.61 | 0.61 | 0.61 |
| Spectral OOB | Bias | 0.50 | 0.50 | 0.30 | 0.30 | 0.07 | 0.07 | 0.03 | 0.03 | 0.00 | 0.00 | 0.00 | 0.00 | 0.00 | 0.00 | 0.00 | 0.00 | 0.00 | 0.00 | 0.00 | 0.00 |
| Lunar Cal Error | Random | 1.00 | 1.00 | 1.00 | 1.00 | 1.00 | 1.00 | 0.00 | 0.00 | 0.00 | 0.00 | 0.00 | 0.00 | 0.00 | 0.00 | 0.00 | 0.00 | 0.00 | 0.00 | 0.00 | 0.00 |
Publisher’s Note: MDPI stays neutral with regard to jurisdictional claims in published maps and institutional affiliations. |
© 2022 by the authors. Licensee MDPI, Basel, Switzerland. This article is an open access article distributed under the terms and conditions of the Creative Commons Attribution (CC BY) license (https://creativecommons.org/licenses/by/4.0/).
Share and Cite
Moyer, D.; Angal, A.; Oudrari, H.; Haas, E.; Ji, Q.; De Luccia, F.; Xiong, X. JPSS-1 VIIRS Prelaunch Reflective Solar Band Testing and Performance. Remote Sens. 2022, 14, 5113. https://doi.org/10.3390/rs14205113
Moyer D, Angal A, Oudrari H, Haas E, Ji Q, De Luccia F, Xiong X. JPSS-1 VIIRS Prelaunch Reflective Solar Band Testing and Performance. Remote Sensing. 2022; 14(20):5113. https://doi.org/10.3390/rs14205113
Chicago/Turabian StyleMoyer, David, Amit Angal, Hassan Oudrari, Evan Haas, Qiang Ji, Frank De Luccia, and Xiaoxiong Xiong. 2022. "JPSS-1 VIIRS Prelaunch Reflective Solar Band Testing and Performance" Remote Sensing 14, no. 20: 5113. https://doi.org/10.3390/rs14205113
APA StyleMoyer, D., Angal, A., Oudrari, H., Haas, E., Ji, Q., De Luccia, F., & Xiong, X. (2022). JPSS-1 VIIRS Prelaunch Reflective Solar Band Testing and Performance. Remote Sensing, 14(20), 5113. https://doi.org/10.3390/rs14205113

