Improving Hourly Precipitation Estimates for Flash Flood Modeling in Data-Scarce Andean-Amazon Basins: An Integrative Framework Based on Machine Learning and Multiple Remotely Sensed Data
Abstract
:1. Introduction
2. Study Area
3. Datasets and Methods
3.1. Data
3.1.1. Ground-Observed Precipitation and Streamflow Data
3.1.2. Satellite-Based Data
3.2. Integration of Satellite-Based Products
3.2.1. Preprocessing
3.2.2. Random Forest Precipitation (RFP) Modeling
3.2.3. Postprocessing: The Bias-Corrected Random Forest Precipitation (BC-RFP)
3.3. Statistical Criteria for Performance Assessment
3.4. Hydrological Aplication
3.4.1. Model Parameters and Inputs
3.4.2. Hydrological Modeling Setup
3.4.3. Flash Flood Event Analysis
- Records of the National Service for Risk Management of Ecuador [44].
- Streamflow dynamic or hydrograph shape.
- Peak discharge.
- Volume discharge.
- Peak timing.
4. Results and Discussion
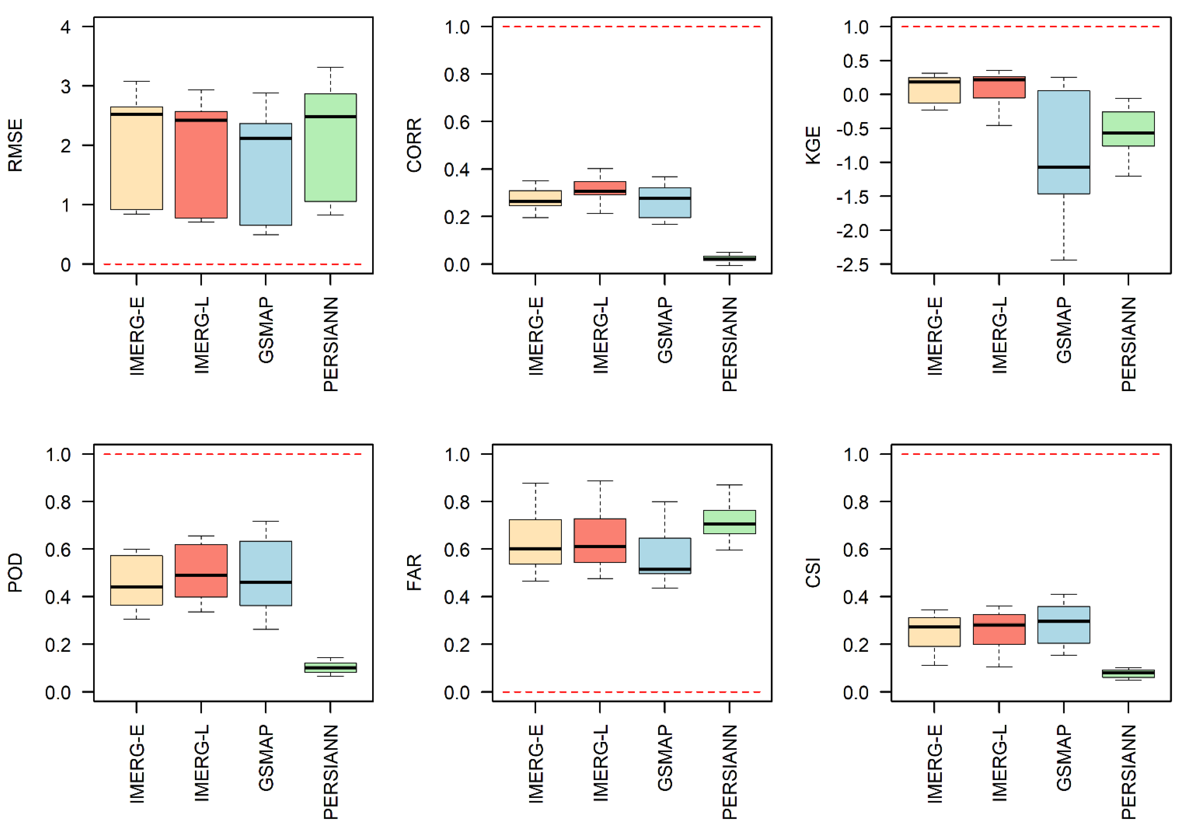
4.1. Preliminary Evaluation of the SPPs
4.2. Variable Importance Analysis
4.3. Integration Framework Performance
4.4. Spatial Consistency Analysis
4.5. Calibration and Validation of the GR4H Model
4.6. Flood Event Analysis
5. Future Perspectives and Final Remarks
Author Contributions
Funding
Institutional Review Board Statement
Informed Consent Statement
Data Availability Statement
Acknowledgments
Conflicts of Interest
Appendix A
| Metric | Definition | Optimum Value | Range | Unit |
|---|---|---|---|---|
| RMSE | 0 | (0, Inf) | mm/h | |
| CORR | 1 | (−1, 1) | - | |
| KGE | 1 | (−Inf, 1) | - | |
| POD | 1 | (0, 1) | - | |
| FAR | 0 | (0, 1) | - | |
| CSI | 1 | (0, 1) | - |
| Metric | Definition | Optimum Value | Range | Unit |
|---|---|---|---|---|
| KGE* | 1 | (−Inf, 1) | - | |
| PBIAS | 0 | (−1, 1) | - |

| Hydrological Unit | Drainage Area (km2) | X1 (mm) | X2 (mm/h) | X3 (mm) | X4 (h) |
|---|---|---|---|---|---|
| 1 | 328.39 | 372.531 | 3.545 | 91.785 | 1.457 |
| 2 | 466.98 | 798.960 | 2.912 | 203.279 | 5.888 |
| 3 | 369.02 | 1427.643 | −0.616 | 381.813 | 6.067 |
| 4 | 423.61 | 372.098 | 4.673 | 208.614 | 3.718 |
| 5 | 319.81 | 862.500 | −3.369 | 25.443 | 4.300 |
| 6 | 377.84 | 1655.687 | −2.707 | 37.678 | 5.290 |
| 7 | 397.35 | 637.224 | −2.467 | 42.853 | 11.838 |
| 8 | 443.70 | 1525.332 | −1.473 | 95.359 | 4.400 |
| 9 | 290.62 | 7793.437 | 5.571 | 11.600 | 46.452 |
| 10 | 250.62 | 3343.290 | 0.395 | 376.779 | 20.223 |
| 11 | 342.42 | 1965.463 | 2.554 | 306.836 | 16.395 |
| 12 | 317.35 | 7165.090 | −3.850 | 672.142 | 22.799 |
| 13 | 239.31 | 1764.858 | 0.237 | 9.706 | 4.586 |
| 14 | 230.22 | 2624.721 | 9.469 | 929.230 | 6.712 |
| 15 | 423.28 | 195.575 | 1.922 | 657.576 | 11.714 |
| 16 | 312.19 | 10.933 | −0.507 | 98.951 | 1.902 |
| 17 | 319.57 | 24.993 | 4.878 | 45.301 | 4.939 |
| 18 | 240.08 | 10.734 | 6.262 | 66.297 | 13.210 |
| Hydrological Unit | Lag Time (h) | |
|---|---|---|
| Upstream | Downstream | |
| 1 | 2 | 0.81 |
| 2 | 3 | 2.84 |
| 4 | 5 | 3.09 |
| 3 | 5 | 3.53 |
| 6 | 7 | 2.33 |
| 7 | 8 | 4.01 |
| 9 | 10 | 5.54 |
| 10 | 11 | 0.97 |
| 12 | 13 | 3.15 |
| 11 | 14 | 6.89 |
| 13 | 14 | 5.96 |
| 15 | 16 | 3.94 |
| 16 | 17 | 10.84 |
| 8 | 17 | 10.47 |
| 17 | 18 | 7.10 |
References
- Sun, Q.; Miao, C.; Duan, Q.; Ashouri, H.; Sorooshian, S.; Hsu, K. A Review of Global Precipitation Data Sets: Data Sources, Estimation, and Intercomparisons. Rev. Geophys. 2018, 56, 79–107. [Google Scholar] [CrossRef] [Green Version]
- Zanchetta, A.; Coulibaly, P. Recent Advances in Real-Time Pluvial Flash Flood Forecasting. Water 2020, 12, 570. [Google Scholar] [CrossRef] [Green Version]
- Alazzy, A.A.; Lü, H.; Chen, R.; Ali, A.B.; Zhu, Y.; Su, J. Evaluation of Satellite Precipitation Products and Their Potential Influence on Hydrological Modeling over the Ganzi River Basin of the Tibetan Plateau. Adv. Meteorol. 2017, 2017, 3695285. [Google Scholar] [CrossRef] [Green Version]
- Xu, H.; Xu, C.-Y.; Chen, H.; Zhang, Z.; Li, L. Assessing the influence of rain gauge density and distribution on hydrological model performance in a humid region of China. J. Hydrol. 2013, 505, 1–12. [Google Scholar] [CrossRef]
- Derin, Y.; Anagnostou, E.; Berne, A.; Borga, M.; Boudevillain, B.; Buytaert, W.; Chang, C.-H.; Chen, H.; Delrieu, G.; Hsu, Y.; et al. Evaluation of GPM-Era Global Satellite Precipitation Products over Multiple Complex Terrain Regions. Remote Sens. 2019, 11, 2936. [Google Scholar] [CrossRef] [Green Version]
- Domeneghetti, A.; Schumann, G.J.-P.; Tarpanelli, A. Preface: Remote Sensing for Flood Mapping and Monitoring of Flood Dynamics. Remote Sens. 2019, 11, 943. [Google Scholar] [CrossRef] [Green Version]
- Villarini, G.; Krajewski, W.F.; Smith, J.A. New paradigm for statistical validation of satellite precipitation estimates: Application to a large sample of the TMPA 0.25° 3-hourly estimates over Oklahoma. J. Geophys. Res. 2009, 114, D12106. [Google Scholar] [CrossRef]
- Maggioni, V.; Sapiano, M.R.P.; Adler, R.F. Estimating Uncertainties in High-Resolution Satellite Precipitation Products: Systematic or Random Error? J. Hydrometeorol. 2016, 17, 1119–1129. [Google Scholar] [CrossRef]
- Serrat-Capdevila, A.; Valdes, J.B.; Stakhiv, E.Z. Water Management Applications for Satellite Precipitation Products: Synthesis and Recommendations. JAWRA J. Am. Water Resour. Assoc. 2014, 50, 509–525. [Google Scholar] [CrossRef]
- Ciupak, M.; Ozga-Zielinski, B.; Adamowski, J.; Deo, R.C.; Kochanek, K. Correcting Satellite Precipitation Data and Assimilating Satellite-Derived Soil Moisture Data to Generate Ensemble Hydrological Forecasts within the HBV Rainfall-Runoff Model. Water 2019, 11, 2138. [Google Scholar] [CrossRef] [Green Version]
- Tobin, K.J.; Bennett, M.E. Adjusting Satellite Precipitation Data to Facilitate Hydrologic Modeling. J. Hydrometeorol. 2010, 11, 966–978. [Google Scholar] [CrossRef]
- He, Z.; Hu, H.; Tian, F.; Ni, G.; Hu, Q. Correcting the TRMM rainfall product for hydrological modelling in sparsely-gauged mountainous basins. Hydrol. Sci. J. 2017, 62, 306–318. [Google Scholar] [CrossRef]
- Lu; Tang; Wang; Liu; Wei; Zhang The Development of a Two-Step Merging and Downscaling Method for Satellite Precipitation Products. Remote Sens. 2020, 12, 398. [CrossRef] [Green Version]
- Hessami, M.; Gachon, P.; Ouarda, T.B.M.J.; St-Hilaire, A. Automated regression-based statistical downscaling tool. Environ. Model. Softw. 2008, 23, 813–834. [Google Scholar] [CrossRef]
- Duan, Z.; Bastiaanssen, W.G.M. First results from Version 7 TRMM 3B43 precipitation product in combination with a new downscaling–calibration procedure. Remote Sens. Environ. 2013, 131, 1–13. [Google Scholar] [CrossRef]
- Chen, C.; Zhao, S.; Duan, Z.; Qin, Z. An Improved Spatial Downscaling Procedure for TRMM 3B43 Precipitation Product Using Geographically Weighted Regression. IEEE J. Sel. Top. Appl. Earth Obs. Remote Sens. 2015, 8, 4592–4604. [Google Scholar] [CrossRef]
- Bhatti, H.; Rientjes, T.; Haile, A.; Habib, E.; Verhoef, W. Evaluation of Bias Correction Method for Satellite-Based Rainfall Data. Sensors 2016, 16, 884. [Google Scholar] [CrossRef] [PubMed] [Green Version]
- Vernimmen, R.R.E.; Hooijer, A.; Aldrian, E.; van Dijk, A.I.J.M. Evaluation and bias correction of satellite rainfall data for drought monitoring in Indonesia. Hydrol. Earth Syst. Sci. 2012, 16, 133–146. [Google Scholar] [CrossRef] [Green Version]
- Hashemi, H.; Nordin, M.; Lakshmi, V.; Huffman, G.J.; Knight, R. Bias Correction of Long-Term Satellite Monthly Precipitation Product (TRMM 3B43) over the Conterminous United States. J. Hydrometeorol. 2017, 18, 2491–2509. [Google Scholar] [CrossRef]
- Saber, M.; Yilmaz, K. Evaluation and Bias Correction of Satellite-Based Rainfall Estimates for Modelling Flash Floods over the Mediterranean region: Application to Karpuz River Basin, Turkey. Water 2018, 10, 657. [Google Scholar] [CrossRef] [Green Version]
- Chen, F.; Yuan, H.; Sun, R.; Yang, C. Streamflow simulations using error correction ensembles of satellite rainfall products over the Huaihe river basin. J. Hydrol. 2020, 589, 125179. [Google Scholar] [CrossRef]
- Maggioni, V.; Massari, C. On the performance of satellite precipitation products in riverine flood modeling: A review. J. Hydrol. 2018, 558, 214–224. [Google Scholar] [CrossRef]
- Camici, S.; Crow, W.T.; Brocca, L. Recent advances in remote sensing of precipitation and soil moisture products for riverine flood prediction. In Extreme Hydroclimatic Events and Multivariate Hazards in a Changing Environment; Elsevier: Amsterdam, The Netherlands, 2019; pp. 247–266. [Google Scholar]
- Le, X.-H.; Lee, G.; Jung, K.; An, H.; Lee, S.; Jung, Y. Application of Convolutional Neural Network for Spatiotemporal Bias Correction of Daily Satellite-Based Precipitation. Remote Sens. 2020, 12, 2731. [Google Scholar] [CrossRef]
- Chivers, B.D.; Wallbank, J.; Cole, S.J.; Sebek, O.; Stanley, S.; Fry, M.; Leontidis, G. Imputation of missing sub-hourly precipitation data in a large sensor network: A machine learning approach. J. Hydrol. 2020, 588, 125126. [Google Scholar] [CrossRef]
- Wolfensberger, D.; Gabella, M.; Boscacci, M.; Germann, U.; Berne, A. RainForest: A random forest algorithm for quantitative precipitation estimation over Switzerland. Atmos. Meas. Tech. 2021, 14, 3169–3193. [Google Scholar] [CrossRef]
- Baez-Villanueva, O.M.; Zambrano-Bigiarini, M.; Beck, H.E.; McNamara, I.; Ribbe, L.; Nauditt, A.; Birkel, C.; Verbist, K.; Giraldo-Osorio, J.D.; Xuan Thinh, N. RF-MEP: A novel Random Forest method for merging gridded precipitation products and ground-based measurements. Remote Sens. Environ. 2020, 239, 111606. [Google Scholar] [CrossRef]
- Kolluru, V.; Kolluru, S.; Wagle, N.; Acharya, T.D. Secondary Precipitation Estimate Merging Using Machine Learning: Development and Evaluation over Krishna River Basin, India. Remote Sens. 2020, 12, 3013. [Google Scholar] [CrossRef]
- Crow, W.T.; van den Berg, M.J.; Huffman, G.J.; Pellarin, T. Correcting rainfall using satellite-based surface soil moisture retrievals: The Soil Moisture Analysis Rainfall Tool (SMART). Water Resour. Res. 2011, 47, W08521. [Google Scholar] [CrossRef]
- Pellarin, T.; Louvet, S.; Gruhier, C.; Quantin, G.; Legout, C. A simple and effective method for correcting soil moisture and precipitation estimates using AMSR-E measurements. Remote Sens. Environ. 2013, 136, 28–36. [Google Scholar] [CrossRef]
- Brocca, L.; Moramarco, T.; Melone, F.; Wagner, W.; Hasenauer, S.; Hahn, S. Assimilation of Surface- and Root-Zone ASCAT Soil Moisture Products Into Rainfall Runoff Modeling. IEEE Trans. Geosci. Remote Sens. 2012, 50, 2542–2555. [Google Scholar] [CrossRef]
- Bhuiyan, M.A.E.; Nikolopoulos, E.I.; Anagnostou, E.N.; Quintana-Seguí, P.; Barella-Ortiz, A. A nonparametric statistical technique for combining global precipitation datasets: Development and hydrological evaluation over the Iberian Peninsula. Hydrol. Earth Syst. Sci. 2018, 22, 1371–1389. [Google Scholar] [CrossRef] [Green Version]
- Chan, S.K.; Bindlish, R.; O’Neill, P.; Jackson, T.; Njoku, E.; Dunbar, S.; Chaubell, J.; Piepmeier, J.; Yueh, S.; Entekhabi, D.; et al. Development and assessment of the SMAP enhanced passive soil moisture product. Remote Sens. Environ. 2018, 204, 931–941. [Google Scholar] [CrossRef] [PubMed] [Green Version]
- Lapo, C. Análisis Espacio-Temporal del Riesgo de Inundacion Mediante Simulación Espacial en la Parroquia Puerto Napo, Universidad Nacional de Chimborazo. 2017. Available online: http://dspace.unach.edu.ec/handle/51000/5842 (accessed on 20 March 2021).
- Hurtado, J.; Acero Triana, J.S.; Espitia-Sarmiento, E.; Jarrín-Pérez, F. Flood Hazard Assessment in Data-Scarce Watersheds Using Model Coupling, Event Sampling, and Survey Data. Water 2020, 12, 2768. [Google Scholar] [CrossRef]
- Laraque, A.; Bernal, C.; Bourrel, L.; Darrozes, J.; Christophoul, F.; Armijos, E.; Fraizy, P.; Pombosa, R.; Guyot, J.L. Sediment budget of the Napo River, Amazon basin, Ecuador and Peru. Hydrol. Process. 2009, 23, 3509–3524. [Google Scholar] [CrossRef] [Green Version]
- Wittmann, H.; von Blanckenburg, F.; Guyot, J.L.; Laraque, A.; Bernal, C.; Kubik, P.W. Sediment production and transport from in situ-produced cosmogenic 10Be and river loads in the Napo River basin, an upper Amazon tributary of Ecuador and Peru. J. S. Am. Earth Sci. 2011, 31, 45–53. [Google Scholar] [CrossRef]
- Muñoz, P.; Orellana-Alvear, J.; Willems, P.; Célleri, R. Flash-Flood Forecasting in an Andean Mountain Catchment—Development of a Step-Wise Methodology Based on the Random Forest Algorithm. Water 2018, 10, 1519. [Google Scholar] [CrossRef] [Green Version]
- Padrón, R.S.; Wilcox, B.P.; Crespo, P.; Célleri, R. Rainfall in the Andean Páramo: New Insights from High-Resolution Monitoring in Southern Ecuador. J. Hydrometeorol. 2015, 16, 985–996. [Google Scholar] [CrossRef]
- Ochoa-Sánchez, A.; Crespo, P.; Célleri, R. Quantification of rainfall interception in the high Andean tussock grasslands. Ecohydrology 2018, 11, e1946. [Google Scholar] [CrossRef]
- Laraque, A.; Ronchail, J.; Cochonneau, G.; Pombosa, R.; Guyot, J.L. Heterogeneous Distribution of Rainfall and Discharge Regimes in the Ecuadorian Amazon Basin. J. Hydrometeorol. 2007, 8, 1364–1381. [Google Scholar] [CrossRef] [Green Version]
- IHS Meteorological and Hydrologial Stations Network. Available online: http://hidrometeorologia.ikiam.edu.ec/meteoviewer (accessed on 24 March 2021).
- Cruz Cueva, G.E. Elaboración de un Plan de Contingencia por Inundación del río Tena en Los Barrios: Bellavista, Las Hierbitas, El Tereré y Barrio Central de la Ciudad de Tena; PUCE: Quito, Ecuador, 2016. [Google Scholar]
- Servicio Nacional de Gestión de Riesgos y Emergencias. Base de Datos de Eventos de Inundación Registrados en Napo y Orellana, Periodo 2010–2019; SNGRE: Tena, Ecuador, 2020.
- INAMHI. Anuario Hidrológico del Ecuador: 2014–2016; INAMHI: Quito, Ecuador, 2019.
- INAMHI Red de Estaciones Automáticas Hidrometeorológicas. Available online: http://186.42.174.236/InamhiEmas/ (accessed on 12 June 2020).
- Chebana, F.; Dabo-Niang, S.; Ouarda, T.B.M.J. Exploratory functional flood frequency analysis and outlier detection. Water Resour. Res. 2012, 48. [Google Scholar] [CrossRef] [Green Version]
- Skofronick-Jackson, G.; Kirschbaum, D.; Petersen, W.; Huffman, G.; Kidd, C.; Stocker, E.; Kakar, R. The Global Precipitation Measurement (GPM) mission’s scientific achievements and societal contributions: Reviewing four years of advanced rain and snow observations. Q. J. R. Meteorol. Soc. 2018, 144, 27–48. [Google Scholar] [CrossRef] [PubMed] [Green Version]
- Skofronick-Jackson, G.; Petersen, W.A.; Berg, W.; Kidd, C.; Stocker, E.F.; Kirschbaum, D.B.; Kakar, R.; Braun, S.A.; Huffman, G.J.; Iguchi, T.; et al. The Global Precipitation Measurement (GPM) Mission for Science and Society. Bull. Am. Meteorol. Soc. 2017, 98, 1679–1695. [Google Scholar] [CrossRef]
- Kubota, T.; Shige, S.; Hashizume, H.; Aonashi, K.; Takahashi, N.; Seto, S.; Hirose, M.; Takayabu, Y.N.; Ushio, T.; Nakagawa, K.; et al. Global Precipitation Map Using Satellite-Borne Microwave Radiometers by the GSMaP Project: Production and Validation. IEEE Trans. Geosci. Remote Sens. 2007, 45, 2259–2275. [Google Scholar] [CrossRef]
- Aohashi, K.; Awaka, J.; Hirose, M.; Kozu, T.; Kubota, T.; Liu, G.; Shige, S.; Kida, S.; Seto, S.; Takahashi, N.; et al. GSMaP Passive Microwave Precipitation Retrieval Algorithm: Algorithm Description and Validation. J. Meteorol. Soc. Jpn. 2009, 87, 119–136. [Google Scholar]
- Mahrooghy, M.; Anantharaj, V.G.; Younan, N.H.; Aanstoos, J.; Hsu, K.-L. On an Enhanced PERSIANN-CCS Algorithm for Precipitation Estimation. J. Atmos. Ocean. Technol. 2012, 29, 922–932. [Google Scholar] [CrossRef] [Green Version]
- Khodadoust, S.; Saghafian, B.; Moazami, S. Comprehensive evaluation of 3-hourly TRMM and half-hourly GPM-IMERG satellite precipitation products. Int. J. Remote Sens. 2017, 38, 558–571. [Google Scholar] [CrossRef]
- Ma, M.; Wang, H.; Jia, P.; Tang, G.; Wang, D.; Ma, Z.; Yan, H. Application of the GPM-IMERG Products in Flash Flood Warning: A Case Study in Yunnan, China. Remote Sens. 2020, 12, 1954. [Google Scholar] [CrossRef]
- Bakheet, A.; Sefelnasr, A. Application of Remote Sensing data (GSMaP) to Flash Flood Modeling in an Arid Environment, Egypt. Int. Conf. Chem. Environ. Eng. 2018, 9, 252–272. [Google Scholar] [CrossRef]
- Tang, S.; Li, R.; He, J.; Wang, H.; Fan, X.; Yao, S. Comparative Evaluation of the GPM IMERG Early, Late, and Final Hourly Precipitation Products Using the CMPA Data over Sichuan Basin of China. Water 2020, 12, 554. [Google Scholar] [CrossRef] [Green Version]
- Senanayake, I.P.; Yeo, I.-Y.; Willgoose, G.R.; Hancock, G.R. Disaggregating satellite soil moisture products based on soil thermal inertia: A comparison of a downscaling model built at two spatial scales. J. Hydrol. 2021, 594, 125894. [Google Scholar] [CrossRef]
- Lepot, M.; Aubin, J.-B.; Clemens, F. Interpolation in Time Series: An Introductive Overview of Existing Methods, Their Performance Criteria and Uncertainty Assessment. Water 2017, 9, 796. [Google Scholar] [CrossRef] [Green Version]
- Zhang, J.; Fan, H.; He, D.; Chen, J. Integrating precipitation zoning with random forest regression for the spatial downscaling of satellite-based precipitation: A case study of the Lancang–Mekong River basin. Int. J. Climatol. 2019, 39, 3947–3961. [Google Scholar] [CrossRef]
- Nashwan, M.S.; Shahid, S. Symmetrical uncertainty and random forest for the evaluation of gridded precipitation and temperature data. Atmos. Res. 2019, 230, 104632. [Google Scholar] [CrossRef]
- Das, S.; Chakraborty, R.; Maitra, A. A random forest algorithm for nowcasting of intense precipitation events. Adv. Sp. Res. 2017, 60, 1271–1282. [Google Scholar] [CrossRef]
- Liaw, A.; Wiener, M. Classification and Regression by randomForest. Newsl. R Proj. 2002, 2, 18–22. [Google Scholar]
- Mendez, M.; Maathuis, B.; Hein-Griggs, D.; Alvarado-Gamboa, L.-F. Performance Evaluation of Bias Correction Methods for Climate Change Monthly Precipitation Projections over Costa Rica. Water 2020, 12, 482. [Google Scholar] [CrossRef] [Green Version]
- Fang, G.H.; Yang, J.; Chen, Y.N.; Zammit, C. Comparing bias correction methods in downscaling meteorological variables for a hydrologic impact study in an arid area in China. Hydrol. Earth Syst. Sci. 2015, 19, 2547–2559. [Google Scholar] [CrossRef] [Green Version]
- Mathevet, T. Quels Modeles Pluie-Debit Globaux au Pas de Temps Horaire? Développements Empiriques et Intercomparaison de Modeles Sur un Large Echantillon de Bassins Versants, Ecole Nationale Du Genie Rural, Des eaux et des Forêts. 2005. Available online: https://hal.inrae.fr/tel-02587642 (accessed on 14 September 2020).
- Bennett, J.C.; Robertson, D.E.; Shrestha, D.L.; Wang, Q.J.; Enever, D.; Hapuarachchi, P.; Tuteja, N.K. A System for Continuous Hydrological Ensemble Forecasting (SCHEF) to lead times of 9 days. J. Hydrol. 2014, 519, 2832–2846. [Google Scholar] [CrossRef]
- Llauca, H.; Lavado-Casimiro, W.; León, K.; Jimenez, J.; Traverso, K.; Rau, P. Assessing Near Real-Time Satellite Precipitation Products for Flood Simulations at Sub-Daily Scales in a Sparsely Gauged Watershed in Peruvian Andes. Remote Sens. 2021, 13, 826. [Google Scholar] [CrossRef]
- Espitia, E.F.; Chancay, J.E.; Acero-Triana, J. A Preliminary Approach for Flood Forecasting in Data-Scare Ecuadorian Amazon Subbasin Using the GR4H model. Submitted IEI. 2021. Available online: http://hidrometeorologia.ikiam.edu.ec/research/articles/espitia2021.pdf (accessed on 14 September 2020).
- Olmedo, G.F.; Ortega-Farías, S.; de La Fuente-Sáiz, D.; Fonseca, D.; Fuentes-Peñailillo, F. water: Tools and Functions to Estimate Actual Evapotranspiration Using Land Surface Energy Balance Models in R. R J. 2016, 8, 352. [Google Scholar] [CrossRef] [Green Version]
- Snyder, R.; Eching, S. Penman-Monteith (hourly) Reference Evapotranspiration Equations for Estimating ETos and ETrs with Hourly Weather Data. Regents Univ. Calif. 2001, 8. Available online: https://www.researchgate.net/publication/237412886_Penman-Monteith_hourly_Reference_Evapotranspiration_Equations_for_Estimating_ETos_and_ETrs_with_Hourly_Weather_Data (accessed on 16 September 2020).
- Vrugt, J.A.; Gupta, H.V.; Bouten, W.; Sorooshian, S. A Shuffled Complex Evolution Metropolis algorithm for optimization and uncertainty assessment of hydrologic model parameters. Water Resour. Res. 2003, 39, 1201. [Google Scholar] [CrossRef] [Green Version]
- Pool, S.; Vis, M.; Seibert, J. Evaluating model performance: Towards a non-parametric variant of the Kling-Gupta efficiency. Hydrol. Sci. J. 2018, 63, 1941–1953. [Google Scholar] [CrossRef]
- Liu, D. A rational performance criterion for hydrological model. J. Hydrol. 2020, 590, 125488. [Google Scholar] [CrossRef]
- Katwal, R.; Li, J.; Zhang, T.; Hu, C.; Rafique, M.A.; Zheng, Y. Event-based and continous flood modeling in Zijinguan watershed, Northern China. Nat. Hazards 2021, 108, 733–753. [Google Scholar] [CrossRef]
- Bulovic, N.; McIntyre, N.; Johnson, F. Evaluation of IMERG V05B 30-Min Rainfall Estimates over the High-Elevation Tropical Andes Mountains. J. Hydrometeorol. 2020, 21, 2875–2892. [Google Scholar] [CrossRef]
- Contreras, J.; Ballari, D.; de Bruin, S.; Samaniego, E. Rainfall monitoring network design using conditioned Latin hypercube sampling and satellite precipitation estimates: An application in the ungauged Ecuadorian Amazon. Int. J. Climatol. 2019, 39, 2209–2226. [Google Scholar] [CrossRef]
- Chua, Z.-W.; Kuleshov, Y.; Watkins, A. Evaluation of Satellite Precipitation Estimates over Australia. Remote Sens. 2020, 12, 678. [Google Scholar] [CrossRef] [Green Version]
- Manz, B.; Páez-Bimos, S.; Horna, N.; Buytaert, W.; Ochoa-Tocachi, B.; Lavado-Casimiro, W.; Willems, B. Comparative Ground Validation of IMERG and TMPA at Variable Spatiotemporal Scales in the Tropical Andes. J. Hydrometeorol. 2017, 18, 2469–2489. [Google Scholar] [CrossRef]
- Hobouchian, M.P.; Salio, P.; García Skabar, Y.; Vila, D.; Garreaud, R. Assessment of satellite precipitation estimates over the slopes of the subtropical Andes. Atmos. Res. 2017, 190, 43–54. [Google Scholar] [CrossRef]
- Bhuiyan, M.A.E.; Nikolopoulos, E.I.; Anagnostou, E.N. Machine Learning–Based Blending of Satellite and Reanalysis Precipitation Datasets: A Multiregional Tropical Complex Terrain Evaluation. J. Hydrometeorol. 2019, 20, 2147–2161. [Google Scholar] [CrossRef]
- Bhuiyan, M.A.E.; Yang, F.; Biswas, N.K.; Rahat, S.H.; Neelam, T.J. Machine Learning-Based Error Modeling to Improve GPM IMERG Precipitation Product over the Brahmaputra River Basin. Forecasting 2020, 2, 248–266. [Google Scholar] [CrossRef]
- Ballari, D.; Giraldo, R.; Campozano, L.; Samaniego, E. Spatial functional data analysis for regionalizing precipitation seasonality and intensity in a sparsely monitored region: Unveiling the spatio-temporal dependencies of precipitation in Ecuador. Int. J. Climatol. 2018, 38, 3337–3354. [Google Scholar] [CrossRef]
- Nunes, A.M.P.; Silva Dias, M.A.F.; Anselmo, E.M.; Morales, C.A. Severe Convection Features in the Amazon Basin: A TRMM-Based 15-Year Evaluation. Front. Earth Sci. 2016, 4, 37. [Google Scholar] [CrossRef] [Green Version]
- Tan, M.L.; Santo, H. Comparison of GPM IMERG, TMPA 3B42 and PERSIANN-CDR satellite precipitation products over Malaysia. Atmos. Res. 2018, 202, 63–76. [Google Scholar] [CrossRef]
- Zhang, G.; Lu, Y. Bias-corrected random forests in regression. J. Appl. Stat. 2012, 39, 151–160. [Google Scholar] [CrossRef]
- Behrangi, A.; Khakbaz, B.; Jaw, T.C.; AghaKouchak, A.; Hsu, K.; Sorooshian, S. Hydrologic evaluation of satellite precipitation products over a mid-size basin. J. Hydrol. 2011, 397, 225–237. [Google Scholar] [CrossRef] [Green Version]
- Arvor, D.; Funatsu, B.; Michot, V.; Dubreuil, V. Monitoring Rainfall Patterns in the Southern Amazon with PERSIANN-CDR Data: Long-Term Characteristics and Trends. Remote Sens. 2017, 9, 889. [Google Scholar] [CrossRef] [Green Version]
- UNESCO. Atlas Pluviométrico del Ecuador; ESPOL: Quito, Ecuador, 2010. [Google Scholar]
- Espinoza Villar, J.C.; Ronchail, J.; Guyot, J.L.; Cochonneau, G.; Naziano, F.; Lavado, W.; De Oliveira, E.; Pombosa, R.; Vauchelh, P. Spatio-temporal rainfall variability in the Amazon basin countries (Brazil, Peru, Bolivia, Colombia, and Ecuador). J. Climatol. 2009, 29, 1574–1594. [Google Scholar] [CrossRef] [Green Version]
- Moriasi, D.; Arnold, J.; Van Liew, M.; Bingner, R.; Harmel, R.; Veith, T. Model evaluation guidelines for systematic quantification of accuracy in watershed simulations. Am. Soc. Agric. Biol. Eng. 2007, 50, 885–900. [Google Scholar]
- Du, E.; Tian, Y.; Cai, X.; Zheng, Y.; Li, X.; Zheng, C. Exploring spatial heterogeneity and temporal dynamics of human-hydrological interactions in large river basins with intensive agriculture: A tightly coupled, fully integrated modeling approach. J. Hydrol. 2020, 591, 125313. [Google Scholar] [CrossRef]
- Liu, Y.; Gupta, H.V. Uncertainty in hydrologic modeling: Toward an integrated data assimilation framework. Water Resour. Res. 2007, 43, W07401. [Google Scholar] [CrossRef]
- Shahrban, M.; Walker, J.P.; Wang, Q.J.; Robertson, D.E. On the importance of soil moisture in calibration of rainfall–runoff models: Two case studies. Hydrol. Sci. J. 2018, 63, 1292–1312. [Google Scholar] [CrossRef] [Green Version]
- Bentura, P.L.F.; Michel, C. Flood routing in a wide channel with a quadratic lag-and-route method. Hydrol. Sci. J. 1997, 42, 169–189. [Google Scholar] [CrossRef]
- Wilson, J.P.; Lam, C.S.; Deng, Y. Comparison of the performance of flow-routing algorithms used in GIS-based hydrologic analysis. Hydrol. Process. 2007, 21, 1026–1044. [Google Scholar] [CrossRef]










| Satellite Product | Spatial Resolution | Temporal Resolution | Latency | Download Website 1 |
|---|---|---|---|---|
| GPM IMERG-E | 0.10° | 0.5 h | 6 h | https://giovanni.gsfc.nasa.gov/giovanni/ |
| GPM IMERG-L | 0.10° | 0.5 h | 12 h | https://giovanni.gsfc.nasa.gov/giovanni/ |
| GSMAP | 0.10° | 1 h | 1 h | https://sharaku.eorc.jaxa.jp/GSMaP/ |
| PERSIANN-CCS | 0.04° | 1 h | 1 h | https://chrsdata.eng.uci.edu/ |
| SMAP L4-SM | 0.09° | 3 h | 7 d | https://nsidc.org/data/SPL4SMGP/versions/5 |
| Event | Start (Datetime) | Duration (h) | Peak Discharge (m3/s) | ||
|---|---|---|---|---|---|
| TRB | JRB | NRB | |||
| 1 | 2017-09-02 19:00 | 53 | 1896 | 1160 | 3570 |
| 2 | 2018-07-22 01:00 | 51 | 657 | 2579 | 4574 |
| 3 | 2019-05-25 20:00 | 28 | 242 | 1184 | 6407 |
| 4 | 2019-06-20 00:00 | 72 | 250 | 2659 | 6338 |
| 5 | 2020-05-01 00:00 | 80 | 593 | 896 | 8925 |
| Streamflow threshold for flood events | 210 | 2200 | 4500 | ||
| Event | Basin | Peak Flow (m3/s) | Runoff Volume (Hm3) | Difference in Peak Timing (h) | ||||
|---|---|---|---|---|---|---|---|---|
| Obs. | Sim. | Diff. (%) | Obs. | Sim. | Diff. (%) | |||
| 1 | TRB | 1896 | 1379 | −27.2 | 33.8 | 29.9 | −11.5 | 0 |
| JRB | 1160 | 2117 | 82.4 | 109.4 | 160.8 | 46.9 | −3 | |
| NRB | 3570 | 3231 | −9.5 | 245.5 | 333.7 | 35.9 | 2 | |
| 2 | TRB | 657 | 365 | −44.4 | 30.1 | 23.0 | −23.6 | 0 |
| JRB | 2579 | 1344 | −47.8 | 270.3 | 198.0 | −26.2 | 1 | |
| NRB | 4574 | 3614 | −20.9 | 390.5 | 359.0 | −8.1 | 1 | |
| 3 | TRB | 242 | 258 | 6.5 | 8.7 | 5.8 | −33.3 | 0 |
| JRB | 1184 | 877 | −25.9 | 60.2 | 73.0 | 21.2 | 12 | |
| NRB | 6407 | 5661 | −11.6 | 276.2 | 240.4 | −13.0 | −1 | |
| 4 | TRB | 250 | 241 | −3.8 | 17.2 | 16.6 | −3.5 | −3 |
| JRB | 2659 | 1573 | −40.8 | 294.3 | 150.4 | −48.9 | 0 | |
| NRB | 6338 | 5952 | −6.1 | 733.4 | 605.5 | −17.4 | −6 | |
| 5 | TRB | 593 | 486 | −18.0 | 19.7 | 21.3 | 8.12 | 0 |
| JRB | 896 | 640 | −28.6 | 100.1 | 69.4 | −44.2 | 2 | |
| NRB | 8925 | 7980 | −10.6 | 668.9 | 453.9 | −47.4 | −1 | |
Publisher’s Note: MDPI stays neutral with regard to jurisdictional claims in published maps and institutional affiliations. |
© 2021 by the authors. Licensee MDPI, Basel, Switzerland. This article is an open access article distributed under the terms and conditions of the Creative Commons Attribution (CC BY) license (https://creativecommons.org/licenses/by/4.0/).
Share and Cite
Chancay, J.E.; Espitia-Sarmiento, E.F. Improving Hourly Precipitation Estimates for Flash Flood Modeling in Data-Scarce Andean-Amazon Basins: An Integrative Framework Based on Machine Learning and Multiple Remotely Sensed Data. Remote Sens. 2021, 13, 4446. https://doi.org/10.3390/rs13214446
Chancay JE, Espitia-Sarmiento EF. Improving Hourly Precipitation Estimates for Flash Flood Modeling in Data-Scarce Andean-Amazon Basins: An Integrative Framework Based on Machine Learning and Multiple Remotely Sensed Data. Remote Sensing. 2021; 13(21):4446. https://doi.org/10.3390/rs13214446
Chicago/Turabian StyleChancay, Juseth E., and Edgar Fabian Espitia-Sarmiento. 2021. "Improving Hourly Precipitation Estimates for Flash Flood Modeling in Data-Scarce Andean-Amazon Basins: An Integrative Framework Based on Machine Learning and Multiple Remotely Sensed Data" Remote Sensing 13, no. 21: 4446. https://doi.org/10.3390/rs13214446
APA StyleChancay, J. E., & Espitia-Sarmiento, E. F. (2021). Improving Hourly Precipitation Estimates for Flash Flood Modeling in Data-Scarce Andean-Amazon Basins: An Integrative Framework Based on Machine Learning and Multiple Remotely Sensed Data. Remote Sensing, 13(21), 4446. https://doi.org/10.3390/rs13214446

