Relationships between the Spatio-Temporal Variation in Reflectance Data from the Sentinel-2 Satellite and Potato (Solanum Tuberosum L.) Yield and Stem Density
Abstract
1. Introduction
2. Materials and Methods
2.1. Site Characterisation
2.2. Sampling Design
2.3. Collection and Processing of Satellite Imagery
2.4. Principal Component Analysis
2.5. Rates of Change in Reflectance
2.6. Estimation of Red-Edge Inflection Points
2.7. Yield Data Collection
2.8. Statistical Analysis
3. Results
3.1. Summary of Spectral Reflectance and Intrinsic Indices
3.2. Summary of Temporal Variables
3.2.1. Principal Components of Reflectance at Different Time Points
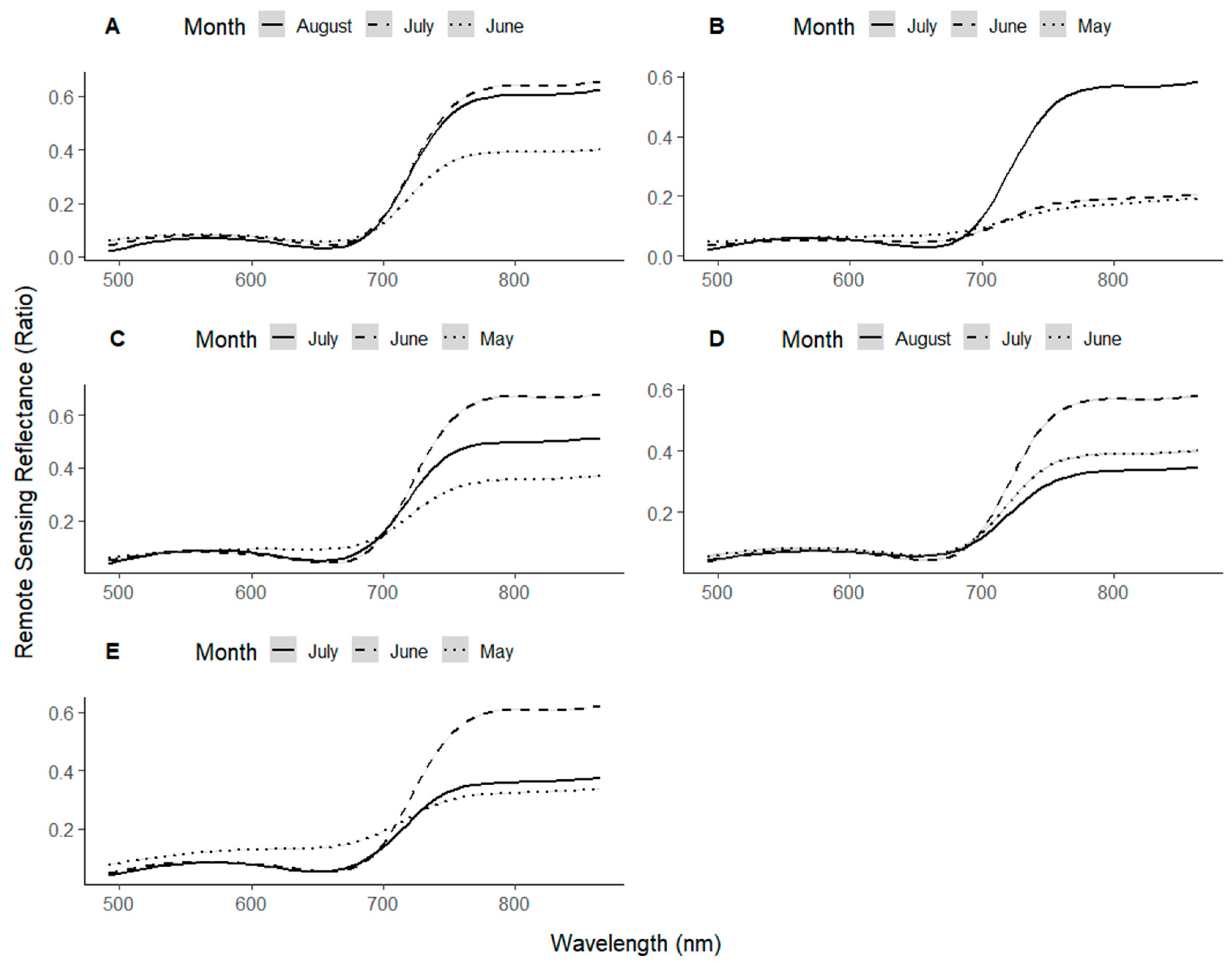
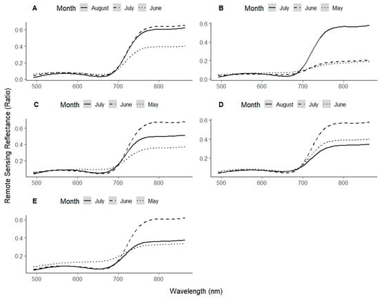
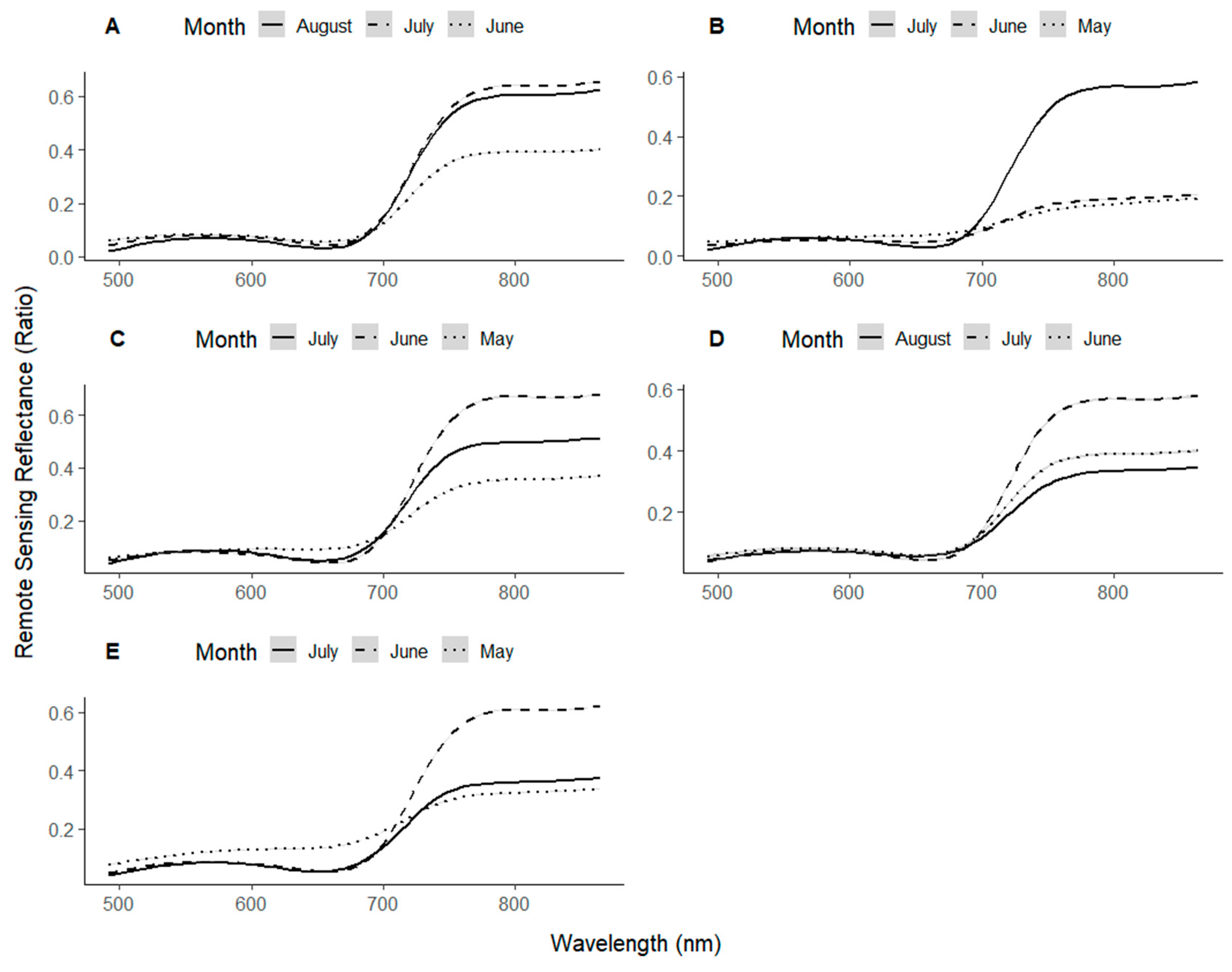
3.2.2. Temporal Change in the Spectral Signature and Position of the Red-Edge Inflection Point
3.3. Summary Statistics of In-Situ Potato data
3.4. Linear Model for Marketable Yield
3.5. Modelling Stem Density
4. Discussion
5. Conclusions
Author Contributions
Funding
Institutional Review Board Statement
Informed Consent Statement
Data Availability Statement
Acknowledgments
Conflicts of Interest
References
- Dev Acharya, T.; Yang, I. Exploring landsat 8. Int. J. IT Eng. Appl. Sci. Res. 2015, 4, 4–10. [Google Scholar]
- Bauer, M.E. Identification of agricultural crops by computer processing of ERTS-MSS data. LARS Tech. Reports Pap. 1973, 20, 1–9. [Google Scholar]
- Szantoi, Z.; Strobl, P. Copernicus sentinel-2 calibration and validation. Eur. J. Remote. Sens. 2019, 52, 253–255. [Google Scholar] [CrossRef]
- Rouse, J.W.; Haas, R.H.; Schell, J.A.; Deeering, D. Monitoring vegetation systems in the Great Plains with ERTS (Earth Resources Technology Satellite). NASA Spec. Publ. 1974, 351, 309. [Google Scholar]
- Turvey, C.G.; McLaurin, M.K. Applicability of the normalized difference vegetation index (NDVI) In index-based crop insurance design. Weather. Clim. Soc. 2012, 4, 271–284. [Google Scholar] [CrossRef]
- De Jong, H. Impact of the potato on society. Am. J. Potato Res. 2016, 93, 415–429. [Google Scholar] [CrossRef]
- Bradshaw, J.E.; Ramsay, G. Potato origin and production. In Advances in Potato Chemistry and Technology; Academic Press: Cambridge, MA, USA, 2009; pp. 1–26. [Google Scholar] [CrossRef]
- Unkovich, M.; Baldock, J.; Forbes, M. Variability in harvest index of grain crops and potential significance for carbon accounting: Examples from australian agriculture. Adv. Agron. 2010, 105, 173–219. [Google Scholar] [CrossRef]
- Knowles, N.R.; Knowles, L.O. Manipulating stem number, tuber set, and yield relationships for northern- and southern-grown potato seed lots. Crop. Sci. 2006, 46, 284–296. [Google Scholar] [CrossRef]
- Li, B.; Xu, X.; Han, J.; Zhang, L.; Bian, C.; Jin, L.; Liu, J. The estimation of crop emergence in potatoes by UAV RGB imagery. Plant Methods 2019, 15, 15. [Google Scholar] [CrossRef]
- Mhango, J.K.; Harris, E.W.; Green, R.; Monaghan, J.M. Mapping potato plant density variation using aerial imagery and deep learning techniques for precision agriculture. Remote Sens. 2021, 13, 2705. [Google Scholar] [CrossRef]
- Mhango, J.K.; Grove, I.G.; Hartley, W.; Harris, E.W.; Monaghan, J.M. Applying colour-based feature extraction and transfer learning to develop a high throughput inference system for potato (Solanum tuberosum L.) stems with images from unmanned aerial vehicles after canopy consolidation. Precis. Agric. 2021. Published online. [Google Scholar] [CrossRef]
- Bleasdale, J.K.A. Relationships between set characters and yield in maincrop potatoes. J. Agric. Sci. 1965, 64, 361–366. [Google Scholar] [CrossRef]
- Gray, D. Spacing and harvest date experiments with Maris Peer potatoes. J. Agric. Sci. 1972, 79, 281–290. [Google Scholar] [CrossRef]
- Love, S.L.; Thompson-Johns, A. Seed piece spacing influences yield, tuber size distribution, stem and tuber density, and net returns of three processing potato cultivars. HortScience 1999, 34, 629–633. [Google Scholar] [CrossRef]
- Wurr, D.C.E. Some effects of seed size and spacing on the yield and grading of two maincrop potato varieties: I. Final yield and its relationship to plant population. J. Agric. Sci. 1974, 82, 37–45. [Google Scholar] [CrossRef]
- Salvador, P.; Gómez, D.; Sanz, J.; Casanova, J.L. Estimation of potato yield using satellite data at a municipal level: A machine learning approach. ISPRS Int. J. Geo Inf. 2020, 9, 343. [Google Scholar] [CrossRef]
- Bala, S.K.; Islam, A.S. Correlation between potato yield and MODIS-derived vegetation indices. Int. J. Remote Sens. 2009, 30, 2491–2507. [Google Scholar] [CrossRef]
- Al-Gaadi, K.A.; Hassaballa, A.A.; Tola, E.; Kayad, A.G.; Madugundu, R.; Alblewi, B.; Assiri, F. Prediction of potato crop yield using precision agriculture techniques. PLoS ONE 2016, 11, e0162219. [Google Scholar] [CrossRef] [PubMed]
- Kharel, T.P.; Ashworth, A.J.; Owens, P.R.; Buser, M. Spatially and temporally disparate data in systems agriculture: Issues and prospective solutions. Agron. J. 2020, 112, 4498–4510. [Google Scholar] [CrossRef]
- Ali, I.; Cawkwell, F.; Dwyer, E.; Barrett, B.; Green, S. Satellite remote sensing of grasslands: From observation to management. J. Plant Ecol. 2016, 9, 649–671. [Google Scholar] [CrossRef]
- Hunt, M.L.; Blackburn, G.A.; Carrasco, L.; Redhead, J.W.; Rowland, C.S. High resolution wheat yield mapping using Sentinel-2. Remote Sens. Environ. 2019, 233, 111410. [Google Scholar] [CrossRef]
- Escolà, A.; Badia, N.; Arnó, J.; Martínez-Casasnovas, J.A. Using Sentinel-2 images to implement Precision Agriculture techniques in large arable fields: First results of a case study. Adv. Anim. Biosci. 2017, 8, 377–382. [Google Scholar] [CrossRef]
- McCullagh, P.; Clifford, D. Evidence for conformal invariance of crop yields. Proc. R. Soc. A Math. Phys. Eng. Sci. 2006, 462, 2119–2143. [Google Scholar] [CrossRef]
- Minasny, B.; McBratney, A.B. The Matérn function as a general model for soil variograms. Geoderma 2005, 128, 192–207. [Google Scholar] [CrossRef]
- Minasny, B.; McBratney, A.B. A conditioned Latin hypercube method for sampling in the presence of ancillary information. Comput. Geosci. 2006, 32, 1378–1388. [Google Scholar] [CrossRef]
- O’sullivan, D. Geographically Weighted Regression: The Analysis of Spatially Varying Relationships; John Wiley & Sons: Hoboken, NJ, USA, 2003. [Google Scholar] [CrossRef]
- Rousset, F.; Ferdy, J.B. Testing environmental and genetic effects in the presence of spatial autocorrelation. Ecography 2014, 37, 781–790. [Google Scholar] [CrossRef]
- Unnithan, S.L.K.; Gnanappazham, L. Spatiotemporal mixed effects modeling for the estimation of PM 2.5 from MODIS AOD over the Indian subcontinent. GIScience Remote. Sens. 2020, 57, 159–173. [Google Scholar] [CrossRef]
- Kooman, P.L.; Haverkort, A.J. Modelling development and growth of the potato crop influenced by temperature and daylength: LINTUL-POTATO. In Potato Ecology and Modelling of Crops under Conditions Limiting Growth; Springer: Dordrecht, The Netherlands, 1995; pp. 41–59. [Google Scholar] [CrossRef]
- Silva-Díaz, C.; Ramírez, D.A.; Rinza, J.; Ninanya, J.; Loayza, H.; Gómez, R.; Anglin, N.L.; Eyzaguirre, R.; Quiroz, R. Radiation interception, conversion and partitioning efficiency in potato landraces: How far are we from the optimum? Plants 2020, 9, 787. [Google Scholar] [CrossRef]
- Haverkort, A.J.; Franke, A.C.; Steyn, J.M.; Pronk, A.A.; Caldiz, D.O.; Kooman, P.L. A robust potato model: LINTUL-POTATO-DSS. Potato Res. 2015, 58, 313–327. [Google Scholar] [CrossRef]
- Geremew, E.B.; Steyn, J.M.; Annandale, J.G. Evaluation of growth performance and dry matter partitioning of four processing potato (Solanum tuberosum) cultivars. New Zealand J. Crop. Hortic. Sci. 2007, 35, 385–393. [Google Scholar] [CrossRef]
- Machefer, M.; Lemarchand, F.; Bonnefond, V.; Hitchins, A.; Sidiropoulos, P. Mask R-CNN refitting strategy for plant counting and sizing in UAV imagery. Remote Sens. 2020, 12, 3015. [Google Scholar] [CrossRef]
- Goudriaan, J.; Monteith, J.L. A mathematical function for crop growth based on light interception and leaf area expansion. Ann. Bot. 1990, 66, 695–701. [Google Scholar] [CrossRef]
- Thapa, S.; Rudd, J.C.; Xue, Q.; Bhandari, M.; Reddy, S.K.; Jessup, K.E.; Liu, S.; Devkota, R.N.; Baker, J.; Baker, S. Use of NDVI for characterizing winter wheat response to water stress in a semi-arid environment. J. Crop. Improv. 2019, 33, 633–648. [Google Scholar] [CrossRef]
- Aparicio, N.; Villegas, D.; Casadesus, J.; Araus, J.L.; Royo, C. Spectral vegetation indices as nondestructive tools for determining durum wheat yield. Agron. J. 2000, 92, 83–91. [Google Scholar] [CrossRef]
- Johnson, D.M. A comprehensive assessment of the correlations between field crop yields and commonly used MODIS products. Int. J. Appl. Earth Obs. Geoinf. 2016, 52, 65–81. [Google Scholar] [CrossRef]
- Yang, Y.; Luo, Y.; Lu, M.; Schädel, C.; Han, W. Terrestrial C:N stoichiometry in response to elevated CO2 and N addition: A synthesis of two meta-analyses. Plant Soil 2011, 343, 393–400. [Google Scholar] [CrossRef]
- Costa, J.J.F.; Giasson, É.; da Silva, E.B.; Coblinski, J.A.; Tiecher, T. Use of color parameters in the grouping of soil samples produces more accurate predictions of soil texture and soil organic carbon. Comput. Electron. Agric. 2020, 177, 105710. [Google Scholar] [CrossRef]
- Mponela, P.; Snapp, S.; Villamor, G.B.; Tamene, L.; Le, Q.B.; Borgemeister, C. Digital soil mapping of nitrogen, phosphorus, potassium, organic carbon and their crop response thresholds in smallholder managed escarpments of Malawi. Appl. Geogr. 2020, 124, 102299. [Google Scholar] [CrossRef]
- Taylor, J.A.; Chen, H.; Smallwood, M.; Marshall, B. Investigations into the opportunity for spatial management of the quality and quantity of production in UK potato systems. Field Crop. Res. 2018, 229, 95–102. [Google Scholar] [CrossRef]
- Bohl, W.H.; Stark, J.C.; McIntosh, C.S. Potato seed piece size, spacing, and seeding rate effects on yield, quality and economic return. Am. J. Potato Res. 2011, 88, 470–478. [Google Scholar] [CrossRef]
- Cohen, J. Statistical Power for the Social Sciences; Laurence Erlbaum Assoc: Hillsdale, NJ, USA, 1988. [Google Scholar]
- R. Core Team. R: A Language and Environment for Statistical Computing; R Foundation for Statistical Computing: Vienna, Austria, 2019. [Google Scholar]
- ESRI. ArcGIS Pro (Version 2.5.2); Environmental Systems Research Institute: West Redlands, CA, USA, 2020; Available online: https://www.esri.com/en-us/arcgis/products/arcgis-pro/overview (accessed on 22 September 2020).
- Ranghetti, L.; Boschetti, M.; Nutini, F.; Busetto, L. “sen2r”: An R toolbox for automatically downloading and preprocessing Sentinel-2 satellite data. Comput. Geosci. 2020, 139, 104473. [Google Scholar] [CrossRef]
- Wolf, J. Comparison of two potato simulation models under climate change. I. Model calibration and sensitivity analyses. Clim. Res. 2002, 21, 173–186. [Google Scholar] [CrossRef]
- Wolf, J.; Van Oijen, M. Modelling the dependence of European potato yields on changes in climate and CO2. Agric. For. Meteorol. 2002, 112, 217–231. [Google Scholar] [CrossRef]
- Shamal, S.A.M.; Weatherhead, K. Assessing spectral similarities between rainfed and irrigated croplands in a humid environment for irrigated land mapping. Outlook Agric. 2014, 43, 109–114. [Google Scholar] [CrossRef]
- Islam, A.S.; Bala, S.K. Assessment of potato phenological characteristics using MODIS-derived NDVI and LAI information. GIScience Remote Sens. 2008, 45, 454–470. [Google Scholar] [CrossRef]
- Velichkova, K.; Krezhova, D. Extraction of the red edge position from hyperspectral reflectance data for plant stress monitoring. In AIP Conference Proceedings; AIP Publishing LLC: Melville, NY, USA, 2019; p. 130018. [Google Scholar] [CrossRef]
- Lymburner, L.; Beggs, P.J.; Jacobson, C.R. Estimation of canopy-average surface-specific leaf area using Landsat TM data. Photogramm. Eng. Remote. Sens. 2000, 66, 183–191. [Google Scholar]
- Gitelson, A.A.; Viña, A.; Arkebauer, T.J.; Rundquist, D.C.; Keydan, G.; Leavitt, B. Remote estimation of leaf area index and green leaf biomass in maize canopies. Geophys. Res. Lett. 2003, 30. [Google Scholar] [CrossRef]
- Wilson, E.H.; Sader, S.A. Detection of forest harvest type using multiple dates of Landsat TM imagery. Remote Sens. Environ. 2002, 80, 385–396. [Google Scholar] [CrossRef]
- Hallik, L.; Kuusk, A.; Lang, M.; Kuusk, J. Reflectance properties of hemiboreal mixed forest canopies with focus on red edge and near infrared spectral regions. Remote Sens. 2019, 11, 1717. [Google Scholar] [CrossRef]
- Horler, D.N.H.; Dockray, M.; Barber, J. The red edge of plant leaf reflectance. Int. J. Remote Sens. 1983, 4, 273–288. [Google Scholar] [CrossRef]
- Gitelson, A.A.; Merzlyak, M.N.; Lichtenthaler, H.K. Detection of red edge position and chlorophyll content by reflectance measurements near 700 nm. J. Plant Physiol. 1996, 148, 501–508. [Google Scholar] [CrossRef]
- Vogelmann, J.E.; Rock, B.N.; Moss, D.M. Red edge spectral measurements from sugar maple leaves. Int. J. Remote Sens. 1993, 14, 1563–1575. [Google Scholar] [CrossRef]
- Smith, K.L.; Steven, M.D.; Colls, J.J. Use of hyperspectral derivative ratios in the red-edge region to identify plant stress responses to gas leaks. Remote Sens. Environ. 2004, 92, 207–217. [Google Scholar] [CrossRef]
- Savitzky, A.; Golay, M.J.E. Smoothing and differentiation of data by simplified least squares procedures. Anal. Chem. 1964, 36, 1627–1639. [Google Scholar] [CrossRef]
- Ishikawa, D.; Hoogenboom, G.; Hakoyama, S.; Ishiguro, E. A potential of the growth stage estimation for paddy rice by using chlorophyll absorption bands in the 400-1100 nm region. J. Agric. Meteorol. 2015, 71, 24–31. [Google Scholar] [CrossRef]
- Pan, Z.; Hu, Y.; Cao, B. Construction of smooth daily remote sensing time series data: A higher spatiotemporal resolution perspective. Open Geospat. Data Softw. Stand. 2017, 2, 25. [Google Scholar] [CrossRef][Green Version]
- Stein, M.L. Interpolation of Spatial Data; Springer: New York, NY, USA, 1999. [Google Scholar] [CrossRef]
- Nakagawa, S.; Johnson, P.C.D.; Schielzeth, H. The coefficient of determination R 2 and intra-class correlation coefficient from generalized linear mixed-effects models revisited and expanded. J. R. Soc. Interface 2017, 14, 20170213. [Google Scholar] [CrossRef] [PubMed]
- Gates, D.M.; Keegan, H.J.; Schleter, J.C.; Weidner, V.R. Spectral properties of plants. Appl. Opt. 1965, 4, 11–20. [Google Scholar] [CrossRef]
- Herrmann, I.; Pimstein, A.; Karnieli, A.; Cohen, Y.; Alchanatis, V.; Bonfil, D.J. LAI assessment of wheat and potato crops by VENμS and Sentinel-2 bands. Remote Sens. Environ. 2011, 115, 2141–2151. [Google Scholar] [CrossRef]
- Fernández, C.I.; Leblon, B.; Haddadi, A.; Wang, K.; Wang, J. Potato late blight detection at the leaf and canopy levels based in the red and red-edge spectral regions. Remote Sens. 2020, 12, 1292. [Google Scholar] [CrossRef]
- Datt, B. Remote sensing of chlorophyll a, chlorophyll b, chlorophyll a+b, and total carotenoid content in eucalyptus leaves. Remote Sens. Environ. 1998, 66, 111–121. [Google Scholar] [CrossRef]
- Lorenzen, B.; Jensen, A. Reflectance of blue, green, red and near infrared radiation from wetland vegetation used in a model discriminating live and dead above ground biomass. New Phytol. 1988, 108, 345–355. [Google Scholar] [CrossRef]
- Sims, D.A.; Gamon, J.A. Relationships between leaf pigment content and spectral reflectance across a wide range of species, leaf structures and developmental stages. Remote Sens. Environ. 2002, 81, 337–354. [Google Scholar] [CrossRef]
- Bélanger, G.; Walsh, J.R.; Richards, J.E.; Milbum, P.H.; Ziadi, N. Tuber growth and biomass partitioning of two potato cultivars grown under different n fertilization rates with and without irrigation. Am. J. Potato Res. 2001, 78, 109–117. [Google Scholar] [CrossRef]
- Mackerron, D.K.L.; Heilbronn, T.D. A method for estimating harvest indices for use in surveys of potato crops. Potato Res. 1985, 28, 279–282. [Google Scholar] [CrossRef]
- Oparka, K.J. Changes in partitioning of current assimilate during tuber bulking in potato (solarium tuberosum l.) cv maris piper. Ann. Bot. 1985, 55, 705–713. [Google Scholar] [CrossRef]
- Oparka, K.J.; Davies, H.V.; Prior, D.A.M. The influence of applied nitrogen on export and partitioning of current assimilate by field-grown potato plants. Ann. Bot. 1987, 59, 311–323. [Google Scholar] [CrossRef]
- Connell, T.R.; Binning, L.K.; Schmitt, W.G. A canopy development model for potatoes. Am. J. Potato Res. 1999, 76, 153–159. [Google Scholar] [CrossRef]
- O’Brien, P.J.; Allen, E.J. Effects of seed crop husbandry, seed source, seed tuber weight and seed rate on the growth of ware potato crops. J. Agric. Sci. 1992, 119, 355–366. [Google Scholar] [CrossRef]
- Aliche, E.B.; Oortwijn, M.; Theeuwen, T.P.J.M.; Bachem, C.W.B.; Visser, R.G.F.; van der Linden, C.G. Drought response in field grown potatoes and the interactions between canopy growth and yield. Agric. Water Manag. 2018, 206, 20–30. [Google Scholar] [CrossRef]
- Knipling, E.B. Physical and physiological basis for the reflectance of visible and near-infrared radiation from vegetation. Remote Sens. Environ. 1970, 1, 155–159. [Google Scholar] [CrossRef]
- Kamenova, I.; Dimitrov, P. Evaluation of Sentinel-2 vegetation indices for prediction of LAI, fAPAR and fCover of winter wheat in Bulgaria. Eur. J. Remote Sens. 2020, 54 (Suppl. 1), 89–108. [Google Scholar] [CrossRef]
- Clevers, J.; Kooistra, L.; van den Brande, M. Using Sentinel-2 Data for Retrieving LAI and Leaf and Canopy Chlorophyll Content of a Potato Crop. Remote Sens. 2017, 9, 405. [Google Scholar] [CrossRef]
- Rietra, R.P.J.J.; Heinen, M.; Dimkpa, C.O.; Bindraban, P.S. Effects of nutrient antagonism and synergism on yield and fertilizer use efficiency. Commun. Soil Sci. Plant Anal. 2017, 48, 1895–1920. [Google Scholar] [CrossRef]
- Chapepa, B.; Mudada, N.; Mapuranga, R. The impact of plant density and spatial arrangement on light interception on cotton crop and seed cotton yield: An overview. J. Cotton Res. 2020, 3, 18. [Google Scholar] [CrossRef]
- Allen, E.J.; Wurr, D.C.E. Plant density. In Potato Crop; Springer: Dordrecht, The Netherlands, 1992; pp. 292–333. [Google Scholar] [CrossRef]
- Shafian, S.; Rajan, N.; Schnell, R.; Bagavathiannan, M.; Valasek, J.; Shi, Y.; Olsenholler, J. Unmanned aerial systems-based remote sensing for monitoring sorghum growth and development. PLoS ONE 2018, 13, e0196605. [Google Scholar] [CrossRef] [PubMed]
- Arnall, D.B.; Raun, W.R.; Solie, J.B.; Stone, M.L.; Johnson, G.V.; Girma, K.; Freeman, K.W.; Teal, R.K.; Martin, K.L. Relationship between coefficient of variation measured by spectral reflectance and plant density at early growth stages in winter wheat. J. Plant Nutr. 2006, 29, 1983–1997. [Google Scholar] [CrossRef]







| Field Name | Location | Variety | Number of Samples | Planting Date | Harvest Date |
|---|---|---|---|---|---|
| Deaton 6 | 53°12′20.97″N 0°21′55.06″W | Maris Piper | 12 | 10 April 2019 | 05 August 2019 |
| HF7 | 53°12′40.71″N 0°24′49.76″W | Maris Piper | 23 | 12 April 2020 | 18 August 2020 |
| Buttery Hill | 52°46′22.05″N 2°25′40.46″W | Amora | 30 | 20 March 2020 | 24 July 2020 |
| Horse Foxhole | 52°46′26.94″N 2°25′49.38″W | Amora | 23 | 27 March 2019 | 11 July 2019 |
| Crabtree Leasow | 52°46′15.73″N 2°25′35.51″W | Pentland Dell | 6 | 16 April 2020 | 21 August 2020 |
| Index Name | Main Reported Use | Formula | Reference |
|---|---|---|---|
| Normalized Difference Vegetation Index (NDVI) | Classification of vegetation against non-vegetation background | [4] | |
| Specific Leaf Area Vegetation Index (SLAVI) | Approximating leaf area index | [53] | |
| Chlorophyll Index Green (CIG) | Approximating vegetation chlorophyll variations | [54] | |
| Normalized Difference Moisture Index (NDMI) | Approximating vegetation moisture variation | [55] |
| Site * | NDVI 1 | SLAVI 2 | CIG 3 | NDMI 4 | REIP 5 (nm) | REIPr 6 | NDVIinit 7 |
|---|---|---|---|---|---|---|---|
| D6 | 0.93 (0.01) | 5.88 (0.12) | 4.17 (0.48) | 0.53 (0.01) | 723.66 (0.51) | 170 (9) | 0.62 (0.09) |
| HF7 | 0.94 (0.03) | 5.56 (0.91) | 5.21 (1.00) | 0.58 (0.04) | 711.68 (21.23) | 153 (18) | 0.53 (0.03) |
| BH | 0.94 (0.03) | 5.18 (0.71) | 3.32 (0.83) | 0.51 (0.03) | 723.39 (0.42) | 268 (28) | 0.14 (0.14) |
| CT | 0.87 (0.02) | 3.85 (0.31) | 4.10 (1.63) | 0.44 (0.02) | 719.01 (2.20) | 305 (19) | 0.51 (0.11) |
| HFx | 0.81 (0.03) | 3.38 (0.35) | 5.51 (0.61) | 0.44 (0.03) | 722.56 (0.49) | 457 (7) | 0.35 (0.06) |
| Location | Principal Component 1 | Principal Component 2 | Principal Component 3 |
|---|---|---|---|
| Deaton 6 | 81.44 (0.24) | 18.49 (0.23) | 0.06 (0.01) |
| HF7 | 82.73 (10.34) | 16.87 (10.51) | 0.32 (0.41) |
| Buttery Hill | 88.96 (5.67) | 10.71 (5.64) | 0.26 (0.06) |
| Crabtree Leasow | 90.54 (6.58) | 9.34 (6.55) | 0.08 (0.03) |
| Horse Foxhole | 87.57 (5.13) | 12.24 (1.07) | 0.14 (0.06) |
| Yield Component | Deaton 6 | HF7 | Buttery Hill | Crabtree Leasow | Horse Foxhole |
|---|---|---|---|---|---|
| Marketable yield (kg/m2) | 4.17 (0.48) | 5.21 (1.00) | 3.32 (0.83) | 4.10 (1.63) | 5.49 (0.61) |
| Number of Plants/m2 | 2.50 (0.29) | 2.51 (0.60) | 2.78 (0.70) | 2.67 (0.61) | 5.19 (1.58) |
| Number of Stems/m2 | 9.77 (1.67) | 12.37 (4.17) | 13.52 (3.83) | 12.22 (2.83) | 17.03 (2.70) |
| Explanatory Variables | Estimate 1 |
|---|---|
| Intercept | 4.47 ± 0.18 |
| NDVIinit 2 | 0.55 ± 0.19 |
| Stem Density | 0.48 ± 0.18 |
| λ559 | −0.53 ± 0.18 |
| λ703 | 0.22 ± 0.19 |
| Model Properties | |
| nRMSEfixef 3 | 0.16 |
| delta AICc 4 | 18.56 |
| R2 | 0.65 |
| D.F. 5 | 87.99 |
| CC1 6 | 0.21 |
| Explanatory Variables | Estimate 1 |
|---|---|
| Intercept | 13.5 ± 1.42 |
| REIPDAP 2 | 1.18 ± 0.79 |
| REIPr 3 | 3.43 ± 1.9 |
| SLAVIpeak 4 | 1.66 ± 1.59 |
| NDVIinit 5 | 1.19 ± 1.01 |
| Model Properties | |
| nRMSEfixef 6 | 0.24 |
| delta AICc 7 | 18.92 |
| R2 | 0.51 |
| D.F. 8 | 74.17 |
| ICC1 9 | 0.28 |
Publisher’s Note: MDPI stays neutral with regard to jurisdictional claims in published maps and institutional affiliations. |
© 2021 by the authors. Licensee MDPI, Basel, Switzerland. This article is an open access article distributed under the terms and conditions of the Creative Commons Attribution (CC BY) license (https://creativecommons.org/licenses/by/4.0/).
Share and Cite
Mhango, J.K.; Harris, W.E.; Monaghan, J.M. Relationships between the Spatio-Temporal Variation in Reflectance Data from the Sentinel-2 Satellite and Potato (Solanum Tuberosum L.) Yield and Stem Density. Remote Sens. 2021, 13, 4371. https://doi.org/10.3390/rs13214371
Mhango JK, Harris WE, Monaghan JM. Relationships between the Spatio-Temporal Variation in Reflectance Data from the Sentinel-2 Satellite and Potato (Solanum Tuberosum L.) Yield and Stem Density. Remote Sensing. 2021; 13(21):4371. https://doi.org/10.3390/rs13214371
Chicago/Turabian StyleMhango, Joseph K., W. Edwin Harris, and James M. Monaghan. 2021. "Relationships between the Spatio-Temporal Variation in Reflectance Data from the Sentinel-2 Satellite and Potato (Solanum Tuberosum L.) Yield and Stem Density" Remote Sensing 13, no. 21: 4371. https://doi.org/10.3390/rs13214371
APA StyleMhango, J. K., Harris, W. E., & Monaghan, J. M. (2021). Relationships between the Spatio-Temporal Variation in Reflectance Data from the Sentinel-2 Satellite and Potato (Solanum Tuberosum L.) Yield and Stem Density. Remote Sensing, 13(21), 4371. https://doi.org/10.3390/rs13214371

