Long-Term Monitoring of Cork and Holm Oak Stands Productivity in Portugal with Landsat Imagery
Abstract
:1. Introduction
2. Datasets and Pre-Processing
2.1. Spatial Distribution of Cork and Holm Oaks in Portugal
- Cork oak forests: The tree canopy covers no less than 10% of the area (for 4-meter canopy radius, 20 trees/ha). The understory is not used for agriculture (agroforestry) or recreative activities (urban parks). This class regroups pure and mixed forests (hosting other broadleaf and coniferous species) dominated by cork oaks;
- Holm oak forests: Forests as defined above for cork oaks, in this case dominated by holm oaks;
- Cork oak agroforestry systems (AFS): AFS are associations of temporary crops or grasslands with permanent tree species. At least 10% of the area is covered by the forest canopy and dominated by cork oaks;
- Holm oak agroforestry systems: AFS, as defined above, here dominated by holm oaks;
- Agroforestry systems with cork and holm oaks: Particular case of AFS, as defined above, in which both species co-occur and none represents more than 75% of the forest canopy cover.
2.2. Representative Study Sites
2.3. Landsat and MODIS Imagery
2.4. Trend Analysis
2.5. Exploring Relationships with Field Productivity
3. Results
3.1. TM and ETM Adjustment
3.2. Country Level Cork and Holm Oak NDVI Trends
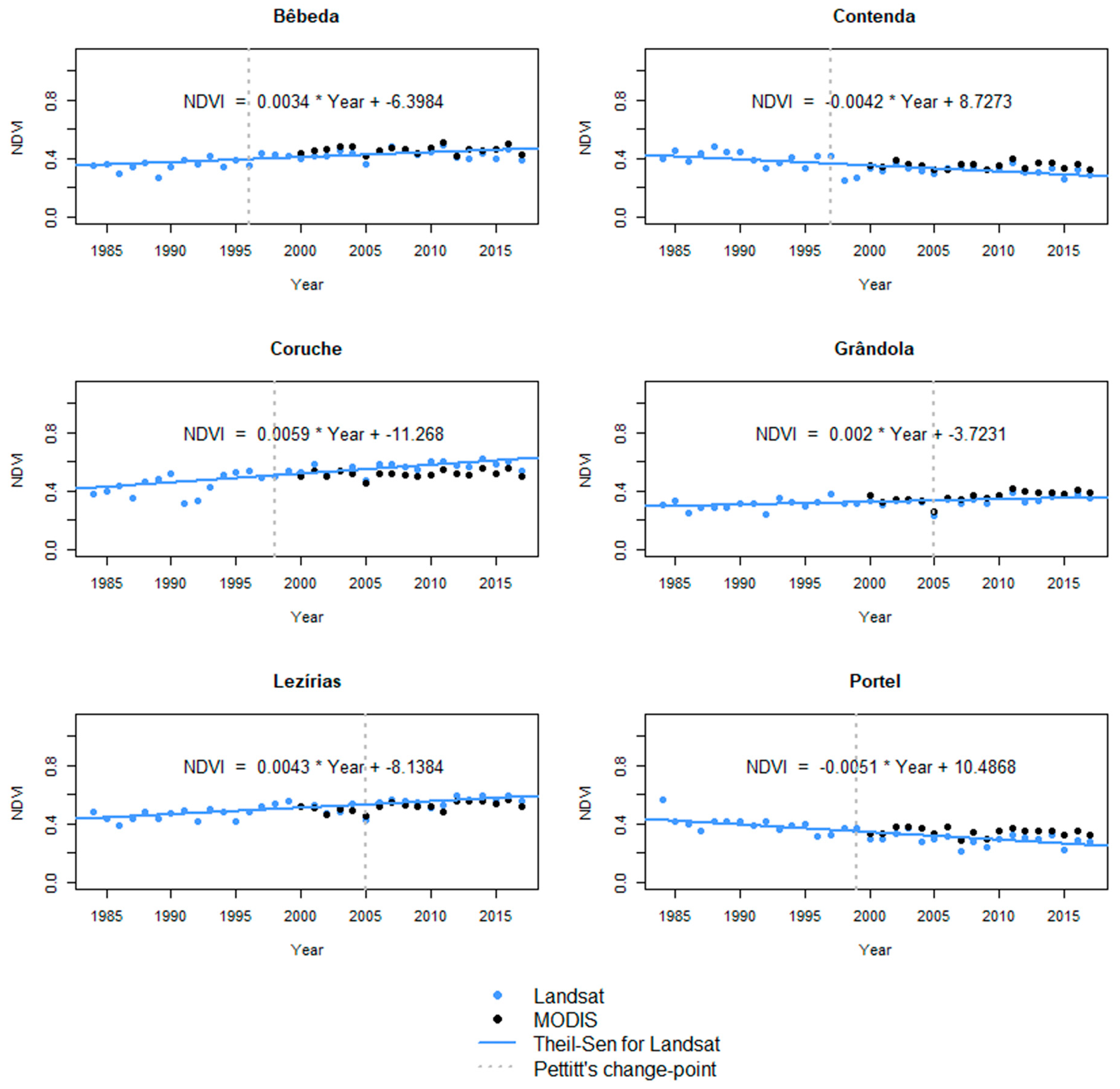
3.3. Study Sites Trends
3.4. Comparison with MODIS Trends
3.5. Comparison with Field Data
4. Discussion
5. Conclusions
Author Contributions
Funding
Acknowledgments
Conflicts of Interest
References
- Natividade, J.V. Subericultura; Ministério da Economia–Direcção Geral dos Serviços Florestais e Aquícolas: Lisboa, Portugal, 1950. [Google Scholar]
- Pereira, H.; Tomé, M. Cork oak. In Encyclopedia of Forest Sciences; Elsevier: Oxford, UK, 2004; pp. 613–620. [Google Scholar]
- Moreno, G.; Aviron, S.; Berg, S.; Crous-Duran, J.; Franca, A.; de Jalón, S.G.; Hartel, T.; Mirck, J.; Pantera, A.; Palma, J.H.N. Agroforestry systems of high nature and cultural value in Europe: Provision of commercial goods and other ecosystem services. In Agroforestry Systems; Springer: Berlin, Germany, 2017; pp. 1–15. [Google Scholar]
- Da Silva, P.M.; Aguiar, C.A.; Niemelä, J.; Sousa, J.P.; Serrano, A.R. Cork-oak woodlands as key-habitats for biodiversity conservation in Mediterranean landscapes: A case study using rove and ground beetles (Coleoptera: Staphylinidae, Carabidae). Biodivers. Conserv. 2009, 18, 605–619. [Google Scholar] [CrossRef]
- Modica, G.; Solano, F.; Merlino, A.; Fazio, S.D.; Barreca, F.; Laudari, L.; Fichera, C.R. Using Landsat 8 imagery in detecting cork oak (Quercus suber L.) woodlands: A case study in Calabria (Italy). J. Agric. Eng. 2016, 47, 205–215. [Google Scholar] [CrossRef]
- Joffre, R.; Rambal, S. Tree-grass interactions in the south-western Iberian Peninsula dehesas and montados. Sci. Chang. Planétaires Sécher. 2006, 17, 340–342. [Google Scholar]
- Rigueiro-Rodríguez, A.; McAdam, J.; Mosquera-Losada, M.R. Agroforestry in Europe: Current Status and Future Prospects; Springer Science & Business Media: Berlin, Germany, 2008; Volume 6, ISBN 1-4020-8271-1. [Google Scholar]
- Pereira, H. Cork: Biology, Production and Uses; Elsevier: Amsterdam, The Netherlands, 2007; ISBN 978-0-444-52967-1. [Google Scholar]
- Associação patronal do setor corticeiro (APCOR). Cork Yearbook; APCOR: Santa Maria de Lamas, Portugal, 2018. [Google Scholar]
- Godinho, S.; Guiomar, N.; Machado, R.; Santos, P.; Sá-Sousa, P.; Fernandes, J.P.; Neves, N.; Pinto-Correia, T. Assessment of environment, land management, and spatial variables on recent changes in montado land cover in southern Portugal. Agrofor. Syst. 2016, 90, 177–192. [Google Scholar] [CrossRef]
- David, T.S.; Henriques, M.O.; Kurz-Besson, C.; Nunes, J.; Valente, F.; Vaz, M.; Pereira, J.S.; Siegwolf, R.; Chaves, M.M.; Gazarini, L.C.; et al. Water-use strategies in two co-occurring Mediterranean evergreen oaks: Surviving the summer drought. Tree Physiol. 2007, 27, 793–803. [Google Scholar] [CrossRef] [PubMed]
- Kim, H.N.; Jin, H.Y.; Kwak, M.J.; Khaine, I.; You, H.N.; Lee, T.Y.; Ahn, T.H.; Woo, S.Y. Why does Quercus suber species decline in Mediterranean areas? J. Asia-Pac. Biodivers. 2017, 10, 337–341. [Google Scholar] [CrossRef]
- Brasier, C.M.; Robredo, F.; Ferraz, J.F.P. Evidence for Phytophthora cinnamomi involvement in Iberian oak decline. Plant Pathol. 1993, 42, 140–145. [Google Scholar] [CrossRef]
- Romero, M.A.; Sánchez, J.E.; Jiménez, J.J.; Belbahri, L.; Trapero, A.; Lefort, F.; Sánchez, M.E. New Pythium Taxa Causing Root Rot on Mediterranean Quercus Species in South-west Spain and Portugal. J. Phytopathol. 2007, 155, 289–295. [Google Scholar] [CrossRef]
- Costa, A.; Pereira, H.; Madeira, M. Landscape dynamics in endangered cork oak woodlands in Southwestern Portugal (1958–2005). Agrofor. Syst. 2009, 77, 83. [Google Scholar] [CrossRef]
- Silva, J.S. Os Montados; Fundação Luso-Americana: Público, Lisboa, 2007; ISBN 978-989-619-106-1. [Google Scholar]
- Paulo, J.; Faias, S.; Ventura-Giroux, C.; Tomé, M. Estimation of stand crown cover using a generalized crown diameter model: Application for the analysis of Portuguese cork oak stands stocking evolution. IForest Biogeosci. For. 2016, 9, 437–444. [Google Scholar] [CrossRef]
- Paulo, J.A.; Pereira, H.; Tomé, M. Analysis of variables influencing tree cork caliper in two consecutive cork extractions using cork growth index modelling. Agrofor. Syst. 2017, 91, 221–237. [Google Scholar] [CrossRef]
- Pettorelli, N. Chapter 5: NDVI and environmental monitoring & Chapter 6: NDVI and plant ecology. In The Normalized Difference Vegetation Index; Oxford University Press: Oxford, UK, 2013; pp. 56–80. [Google Scholar]
- Wang, J.; Rich, P.M.; Price, K.P.; Kettle, W.D. Relations between NDVI and tree productivity in the central Great Plains. Int. J. Remote Sens. 2004, 25, 3127–3138. [Google Scholar] [CrossRef]
- Ogaya, R.; Barbeta, A.; Başnou, C.; Peñuelas, J. Satellite data as indicators of tree biomass growth and forest dieback in a Mediterranean holm oak forest. Ann. For. Sci. 2015, 72, 135–144. [Google Scholar] [CrossRef]
- Julien, Y.; Sobrino, J.A.; Mattar, C.; Ruescas, A.B.; Jiménez-Muñoz, J.C.; Sòria, G.; Hidalgo, V.; Atitar, M.; Franch, B.; Cuenca, J. Temporal analysis of normalized difference vegetation index (NDVI) and land surface temperature (LST) parameters to detect changes in the Iberian land cover between 1981 and 2001. Int. J. Remote Sens. 2011, 32, 2057–2068. [Google Scholar] [CrossRef]
- Novillo, C.J.; Arrogante-Funes, P.; Romero-Calcerrada, R. Recent NDVI Trends in Mainland Spain: Land-Cover and Phytoclimatic-Type Implications. ISPRS Int. J. Geo-Inf. 2019, 8, 43. [Google Scholar] [CrossRef]
- Röder, A.; Hill, J.; Duguy, B.; Alloza, J.A.; Vallejo, R. Using long time series of Landsat data to monitor fire events and post-fire dynamics and identify driving factors. A case study in the Ayora region (eastern Spain). Remote Sens. Environ. 2008, 112, 259–273. [Google Scholar] [CrossRef]
- Reichstein, M.; Ciais, P.; Papale, D.; Valentini, R.; Running, S.; Viovy, N.; Cramer, W.; Granier, A.; Ogée, J.; Allard, V.; et al. Reduction of ecosystem productivity and respiration during the European summer 2003 climate anomaly: A joint flux tower, remote sensing and modelling analysis. Glob. Chang. Biol. 2007, 13, 634–651. [Google Scholar] [CrossRef]
- Ramos, A.; Pereira, M.J.; Soares, A.; do Rosário, L.; Matos, P.; Nunes, A.; Branquinho, C.; Pinho, P. Seasonal patterns of Mediterranean evergreen woodlands (Montado) are explained by long-term precipitation. Agric. For. Meteorol. 2015, 202, 44–50. [Google Scholar] [CrossRef]
- Santos, M.J.; Baumann, M.; Esgalhado, C. Drivers of Productivity Trends in Cork Oak Woodlands over the Last 15 Years. Remote Sens. 2016, 8, 486. [Google Scholar] [CrossRef]
- Sulla-Menashe, D.; Friedl, M.A.; Woodcock, C.E. Sources of bias and variability in long-term Landsat time series over Canadian boreal forests. Remote Sens. Environ. 2016, 177, 206–219. [Google Scholar] [CrossRef]
- Kovalskyy, V.; Roy, D.P.; Zhang, X.Y.; Ju, J. The suitability of multi-temporal web-enabled Landsat data NDVI for phenological monitoring—A comparison with flux tower and MODIS NDVI. Remote Sens. Lett. 2012, 3, 325–334. [Google Scholar] [CrossRef]
- Van Leeuwen, W.J.D.; Orr, B.J.; Marsh, S.E.; Herrmann, S.M. Multi-sensor NDVI data continuity: Uncertainties and implications for vegetation monitoring applications. Remote Sens. Environ. 2006, 100, 67–81. [Google Scholar] [CrossRef]
- Teillet, P.; Barker, J.; Markham, B.; Irish, R.; Fedosejevs, G.; Storey, J. Radiometric cross-calibration of the Landsat-7 ETM+ and Landsat-5 TM sensors based on tandem data sets. Remote Sens. Environ. 2001, 78, 39–54. [Google Scholar] [CrossRef]
- Liu, Y.; Hill, M.J.; Zhang, X.; Wang, Z.; Richardson, A.D.; Hufkens, K.; Filippa, G.; Baldocchi, D.D.; Ma, S.; Verfaillie, J.; et al. Using data from Landsat, MODIS, VIIRS and PhenoCams to monitor the phenology of California oak/grass savanna and open grassland across spatial scales. Agric. For. Meteorol. 2017, 237–238, 311–325. [Google Scholar] [CrossRef]
- Carreiras, J.M.B.; Pereira, J.M.C.; Pereira, J.S. Estimation of tree canopy cover in evergreen oak woodlands using remote sensing. For. Ecol. Manag. 2006, 223, 45–53. [Google Scholar] [CrossRef]
- Helman, D.; Lensky, I.M.; Tessler, N.; Osem, Y. A Phenology-Based Method for Monitoring Woody and Herbaceous Vegetation in Mediterranean Forests from NDVI Time Series. Remote Sens. 2015, 7, 12314–12335. [Google Scholar] [CrossRef]
- Ju, J.; Masek, J.G. The vegetation greenness trend in Canada and US Alaska from 1984–2012 Landsat data. Remote Sens. Environ. 2016, 176, 1–16. [Google Scholar] [CrossRef]
- Cerasoli, S.; e Silva, F.C.; Silva, J.M. Temporal dynamics of spectral bioindicators evidence biological and ecological differences among functional types in a cork oak open woodland. Int. J. Biometeorol. 2016, 60, 813–825. [Google Scholar] [CrossRef] [PubMed]
- Gorelick, N.; Hancher, M.; Dixon, M.; Ilyushchenko, S.; Thau, D.; Moore, R. Google Earth Engine: Planetary-scale geospatial analysis for everyone. Remote Sens. Environ. 2017, 202, 18–27. [Google Scholar] [CrossRef]
- DGTerritório-Carta de Uso e Ocupação do Solo de Portugal Continental (COS). Available online: http://www.dgterritorio.pt/dados_abertos/cos/ (accessed on 11 November 2018).
- Caetano, M. Especificações Técnicas da Carta de Uso e Ocupação do Solo de Portugal Continental Para 1995, 2007, 2010 e 2015; Direção-Geral do Território: Lisboa, Portugal, 2018; p. 103. [Google Scholar]
- Oliveira, S.L.J.; Pereira, J.M.C.; Carreiras, J.M.B. Fire frequency analysis in Portugal (1975–2005), using Landsat-based burnt area maps. Int. J. Wildland Fire 2012, 21, 48–60. [Google Scholar] [CrossRef]
- Informação Geográfica—ICNF. Available online: http://www2.icnf.pt/portal/florestas/dfci/inc/info-geo (accessed on 9 December 2018).
- Regulation (EC) No 1059/2003 of the European Parliament and of the Council of 26 May 2003 on the establishment of a common classification of territorial units for statistics (NUTS). Available online: http://data.europa.eu/eli/reg/2003/1059/2018-01-18 (accessed on 11 January 2019).
- Food and Agriculture Organization of the United Nations. World Reference Base for Soil Resources 2014: International Soil Classification System for Naming Soils and Creating Legends for Soil Map; FAO: Rome, Italy, 2014; ISBN 978-92-5-108369-7. [Google Scholar]
- Sexton, J.O.; Song, X.-P.; Feng, M.; Noojipady, P.; Anand, A.; Huang, C.; Kim, D.-H.; Collins, K.M.; Channan, S.; DiMiceli, C.; et al. Global, 30-m resolution continuous fields of tree cover: Landsat-based rescaling of MODIS vegetation continuous fields with lidar-based estimates of error. Int. J. Digit. Earth 2013, 6, 427–448. [Google Scholar] [CrossRef]
- Rouse, J., Jr.; Haas, R.H.; Schell, J.A.; Deering, D.W. Monitoring Vegetation Systems in the Great Plains with ERTS; NTRS: Chicago, IL, USA, 1974. [Google Scholar]
- Zhu, Z.; Woodcock, C.E. Object-based cloud and cloud shadow detection in Landsat imagery. Remote Sens. Environ. 2012, 118, 83–94. [Google Scholar] [CrossRef]
- Steven, M.D.; Malthus, T.J.; Baret, F.; Xu, H.; Chopping, M.J. Intercalibration of vegetation indices from different sensor systems. Remote Sens. Environ. 2003, 88, 412–422. [Google Scholar] [CrossRef]
- Mann, H.B. Nonparametric tests against trend. Econ. J. Econ. Soc. 1945, 13, 245–259. [Google Scholar] [CrossRef]
- Kendall, M.G. Rank Correlation Methods; American Psychological Association: Washington, DC, USA, 1975; Volume 35. [Google Scholar]
- Neeti, N.; Eastman, J.R. A Contextual Mann-Kendall Approach for the Assessment of Trend Significance in Image Time Series. Trans. GIS 2011, 15, 599–611. [Google Scholar] [CrossRef]
- Theil, H. A rank-invariant method of linear and polynomial regression analysis. In Henri Theil’s Contributions to Economics and Econometrics; Springer: Berlin, Germany, 1992; pp. 345–381. [Google Scholar]
- Sen, P.K. Estimates of the regression coefficient based on Kendall’s tau. J. Am. Stat. Assoc. 1968, 63, 1379–1389. [Google Scholar] [CrossRef]
- Pettitt, A.N. A non-parametric approach to the change-point problem. Appl. Stat. 1979, 28, 126–135. [Google Scholar] [CrossRef]
- Team, R.C. R: A language and Environment for Statistical Computing; R Foundation for Statistical Computing: Vienna, Austria, 2017; ISBN 3-900051-07-0. Available online: https://www.r-project.org/ (accessed on 1 March 2019).
- Bronaugh, D.; Werner, A. Zyp: Zhang+ Yue-Pilon Trends Package (Pacific Climate Impacts Consortium); R Package Version 0.10-1; R Foundation for Statistical Computing: Vienna, Austria, 2013. [Google Scholar]
- Pohlert, T. Trend: Non-Parametric Trend Tests and Change-Point Detection; R Package Version 1.1.0; R Foundation for Statistical Computing: Vienna, Austria, 2018. [Google Scholar]
- Faias, S.P.; Paulo, J.A.; Palma, J.H.N.; Tomé, M. Understory effect on tree and cork growth in cork oak woodlands. For. Syst. 2018, 27, 2. [Google Scholar] [CrossRef]
- Costa, A.; Pereira, H.; Oliveira, A. Variability of radial growth in cork oak adult trees under cork production. For. Ecol. Manag. 2003, 175, 239–246. [Google Scholar] [CrossRef]
- Correia, O.A.; Oliveira, G.; Martins-Loução, M.A.; Catarino, F.M. Effects of bark-stripping on the water relations of Quercus suber L. Scientia gerundensis. 1992, 18, 195–204. [Google Scholar]
- Paulo, J.A.; Tomé, M. Does debarking intensity during the first cork extraction affect future cork thickness? Ann. For. Sci. 2017, 74, 66. [Google Scholar] [CrossRef]
- Häusler, M.; Silva, J.M.; Cerasoli, S.; López-Saldaña, G.; Pereira, J.M. Modelling spectral reflectance of open cork oak woodland: A simulation analysis of the effects of vegetation structure and background. Int. J. Remote Sens. 2016, 37, 492–515. [Google Scholar] [CrossRef]
- Vivas, E.; Maia, R. Characterization of Historical Drought situations in mainland Portugal—The importance of indicators use. In 2.as Jornadas de Hidráulica, Recursos Hídricos e Ambiente; Faculdade de Engenharia da Universidade do Porto: Porto, Portugal, 2007; pp. 51–61. ISBN 978-989-95557-1-6. [Google Scholar]
- Vaz, M.; Pereira, J.S.; Gazarini, L.C.; David, T.S.; David, J.S.; Rodrigues, A.; Maroco, J.; Chaves, M.M. Drought-induced photosynthetic inhibition and autumn recovery in two Mediterranean oak species (Quercus ilex and Quercus suber). Tree Physiol. 2010, 30, 946–956. [Google Scholar] [CrossRef] [PubMed]
- Pal, J.S.; Giorgi, F.; Bi, X. Consistency of recent European summer precipitation trends and extremes with future regional climate projections. Geophys. Res. Lett. 2004, 31. [Google Scholar] [CrossRef]
- De Sampaio e Paiva Camilo-Alves, C.; da Clara, M.I.E.; de Almeida Ribeiro, N.M.C. Decline of Mediterranean oak trees and its association with Phytophthora cinnamomi: A review. Eur. J. For. Res. 2013, 132, 411–432. [Google Scholar] [CrossRef]
- Costa, A.; Madeira, M.; Lima Santos, J.; Oliveira, Â. Change and dynamics in Mediterranean evergreen oak woodlands landscapes of Southwestern Iberian Peninsula. Landsc. Urban Plan. 2011, 102, 164–176. [Google Scholar] [CrossRef]
- Gouveia, A.C.; Freitas, H. Intraspecific competition and water use efficiency in Quercus suber: Evidence of an optimum tree density? Trees 2008, 22, 521. [Google Scholar] [CrossRef]
- Gea-Izquierdo, G.; Cherubini, P.; Cañellas, I. Tree-rings reflect the impact of climate change on Quercus ilex L. along a temperature gradient in Spain over the last 100years. For. Ecol. Manag. 2011, 262, 1807–1816. [Google Scholar] [CrossRef]
- União da Floresta Mediterrânica (UNAC). Capitulo 4: Caraterização dos modelos de produção de cortiça. In Estudo de Determinação dos Pontos de Valor Acrescentado da Fileira da Cortiça; UNAC: Lisbon, Portugal, 2013; pp. 17–25. [Google Scholar]









| Land Cover Class | Initial Area (ha) | Fire-Masked Area (ha) | Proportion of Area Removed (%) | 
|---|---|---|---|
| Cork oak forests | 844,153 | 663,644 | 21.4 | 
| Holm oak forests | 264,896 | 225,879 | 14.7 | 
| Cork oak agroforestry systems | 292,334 | 273,598 | 6.4 | 
| Holm oak agroforestry systems | 614,577 | 586,124 | 4.6 | 
| Agroforestry systems with cork oak and holm oak | 161,158 | 153,114 | 5.0 | 
| Total | 2,177,117 | 1,902,360 | 12.6 | 
| Sensor | Range of Dates | Time Scale | Spatial Resolution | GEE Image Collection ID | 
|---|---|---|---|---|
| Landsat-5 TM | 1984-01-01–2012-05-05 | 16-day cycle | 30 × 30 m | LANDSAT/LT05/C01/T1_SR | 
| Landsat-7 ETM+ | 1999-01-01–2017-12-31 | 16-day cycle | 30 × 30 m | LANDSAT/LE07/C01/T1_SR | 
| MODIS Terra V6 Vegetation Indices | 2000-02-18–2017-12-31 | 16-day cycle | 250 × 250 m | MODIS/006/MOD13Q1 | 
| Location | Equation | R2 | 
|---|---|---|
| Bêbeda | ETM+ = 1.0205 * TM | 0.9866 | 
| Contenda | ETM+ = 1.0101 * TM | 0.9754 | 
| Coruche | ETM+ = 1.0124 * TM | 0.9922 | 
| Grândola | ETM+ = 1.0109 * TM | 0.9821 | 
| Lezírias | ETM+ = 1.0039 * TM | 0.9878 | 
| Portel | ETM+ = 1.0345 * TM | 0.9772 | 
| Site | Type | Raw Data | Equation (2) | Equation (3) | Site Specific | 
|---|---|---|---|---|---|
| Bêbeda | Mean error (%) | −5.275 | −3.492 | −1.770 | −3.329 | 
| Contenda | Mean error (%) | −8.785 | −7.085 | −5.410 | −7.868 | 
| Coruche | Mean error (%) | −3.499 | −1.644 | 0.072 | −2.303 | 
| Grândola | Mean error (%) | −9.750 | −8.074 | −6.411 | −8.764 | 
| Lezírias | Mean error (%) | −1.707 | 0.177 | 1.930 | −1.324 | 
| Portel | Mean error (%) | −7.582 | −5.880 | −4.162 | −4.391 | 
| Average mean error (%) | −6.099 | −4.392 | −3.292 | −4.663 | |
| Bêbeda | Median error (%) | −5.010 | −3.224 | −1.496 | −3.060 | 
| Contenda | Median error (%) | −13.134 | −11.540 | −9.920 | −12.260 | 
| Coruche | Median error (%) | −3.293 | −1.435 | 0.285 | −2.094 | 
| Grândola | Median error (%) | −10.412 | −8.772 | −7.097 | −9.433 | 
| Lezírias | Median error (%) | −1.815 | 0.066 | 1.818 | −1.432 | 
| Portel | Median error (%) | −6.667 | −4.963 | −3.213 | −3.444 | 
| Average median error (%) | −6.722 | −5.000 | −3.971 | −5.287 | |
| Area (ha) | Proportion of Total Area (%) | |
|---|---|---|
| Significant trends | 763,573 | 40.14 | 
| of which: | ||
| 
 | 539,451 | 28.36 | 
| 
 | 224,109 | 11.78 | 
| Not significant trends | 1,138,787 | 59.86 | 
| Total area | 1,902,360 | 100 | 
| Study Site | Landsat (1984–2017) | Landsat (2000–2017) | MODIS (2000–2017) | |||
|---|---|---|---|---|---|---|
| Tau | p-Value | Tau | p-Value | Tau | p-Value | |
| Bêbeda | 0.4581 | 8.64 × 10−5 | −0.0065 | 1.0000 | 0.0327 | 0.8814 | 
| Contenda | −0.4831 | 3.14 × 10−5 | −0.2288 | 0.2008 | −0.0525 | 0.7617 | 
| Coruche | 0.6542 | 2.96 × 10−9 | 0.3464 | 0.0477 | 0.1242 | 0.5009 | 
| Grândola | 0.4759 | 4.23 × 10−5 | 0.4771 | 0.0051 | 0.5948 | 0.0003 | 
| Lezírias | 0.6054 | 4.99 × 10−7 | 0.5508 | 0.0015 | 0.4459 | 0.0100 | 
| Portel | −0.6364 | 9.83 × 10−9 | −0.2026 | 0.2599 | −0.2288 | 0.2008 | 
| Study Site | Landsat (1984–2017) | Landsat (2000–2017) | MODIS (2000–2017) | 
|---|---|---|---|
| Bêbeda | 0.0034 * | −0.00025 | 0.0002 | 
| Contenda | −0.0042 * | −0.00199 | −0.0005 | 
| Coruche | 0.0059 * | 0.00339 * | 0.001 | 
| Grândola | 0.002 * | 0.00284 * | 0.0043 * | 
| Lezírias | 0.0043 * | 0.00478 * | 0.0034 * | 
| Portel | −0.0051 * | −0.00148 | −0.0014 | 
© 2019 by the authors. Licensee MDPI, Basel, Switzerland. This article is an open access article distributed under the terms and conditions of the Creative Commons Attribution (CC BY) license (http://creativecommons.org/licenses/by/4.0/).
Share and Cite
Aubard, V.; Paulo, J.A.; Silva, J.M.N. Long-Term Monitoring of Cork and Holm Oak Stands Productivity in Portugal with Landsat Imagery. Remote Sens. 2019, 11, 525. https://doi.org/10.3390/rs11050525
Aubard V, Paulo JA, Silva JMN. Long-Term Monitoring of Cork and Holm Oak Stands Productivity in Portugal with Landsat Imagery. Remote Sensing. 2019; 11(5):525. https://doi.org/10.3390/rs11050525
Chicago/Turabian StyleAubard, Valentine, Joana Amaral Paulo, and João M. N. Silva. 2019. "Long-Term Monitoring of Cork and Holm Oak Stands Productivity in Portugal with Landsat Imagery" Remote Sensing 11, no. 5: 525. https://doi.org/10.3390/rs11050525
APA StyleAubard, V., Paulo, J. A., & Silva, J. M. N. (2019). Long-Term Monitoring of Cork and Holm Oak Stands Productivity in Portugal with Landsat Imagery. Remote Sensing, 11(5), 525. https://doi.org/10.3390/rs11050525
 
        



 
                         
       