Long-Term Dynamic of Poyang Lake Surface Water: A Mapping Work Based on the Google Earth Engine Cloud Platform
Abstract
1. Introduction
- Mapping and exploring the spatial–temporal variation of the surface water of Poyang Lake during the last few decades on GEE;
- Making a comparison of the lake’s surface water between the pre-TGD (1988–2002) and post-TGD (2003–2016) periods;
- Analyzing the precipitation influence on the variation of the lake’s surface water body area.
2. Materials and Methods
2.1. Study Area
2.2. Data Collection
2.3. Data Processing
2.3.1. Detection, Frequency Mapping, and Classification of the Surface Water of Poyang Lake
2.3.2. Spatial–Temporal Variation Analysis
2.3.3. A Comparison of Poyang Lake’s Surface Water between Two Periods
2.3.4. Relationship between the Poyang Lake Water and Precipitation
2.4. Data Processing Tools
3. Results
3.1. Inundation Frequency Mapping
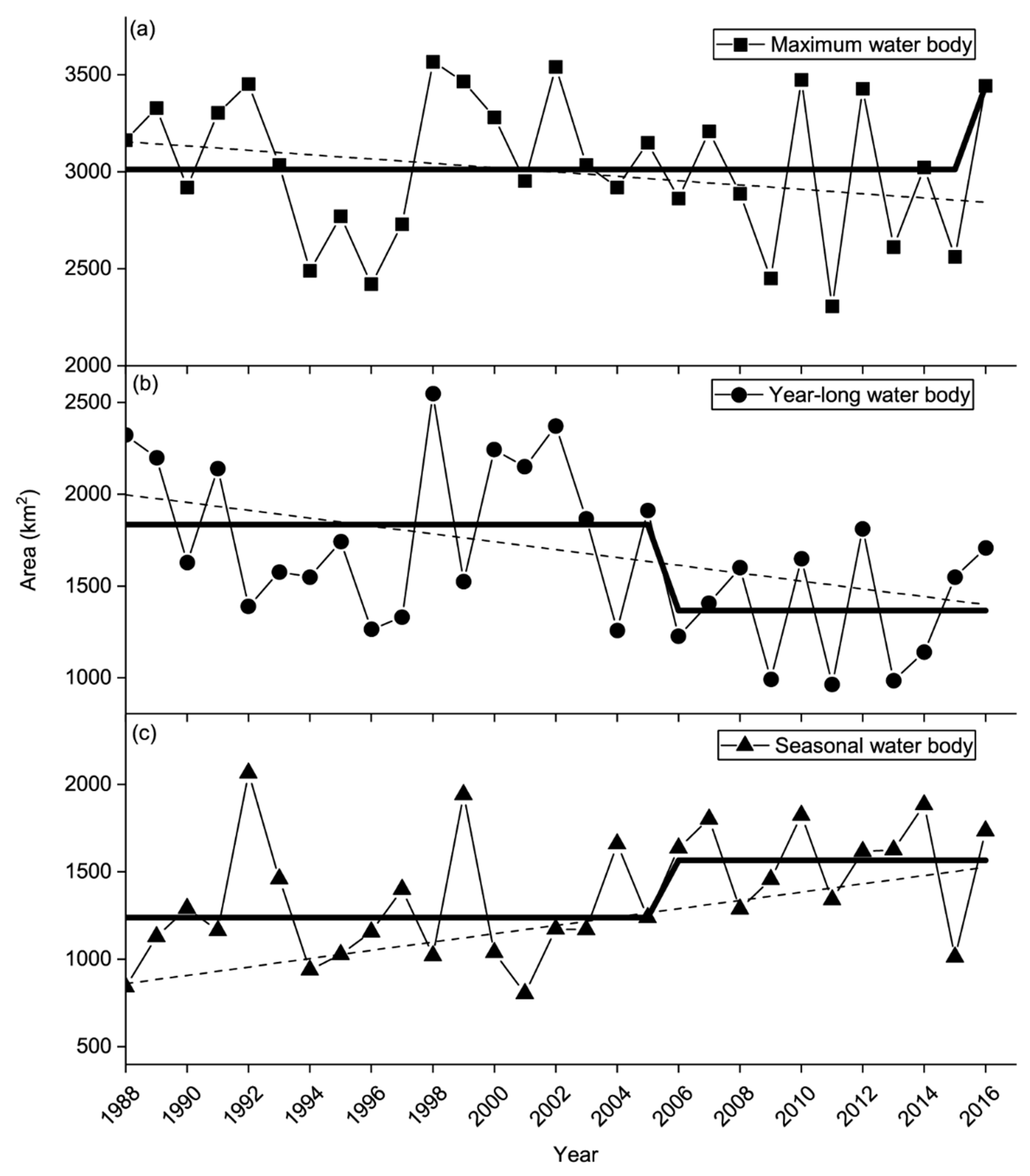
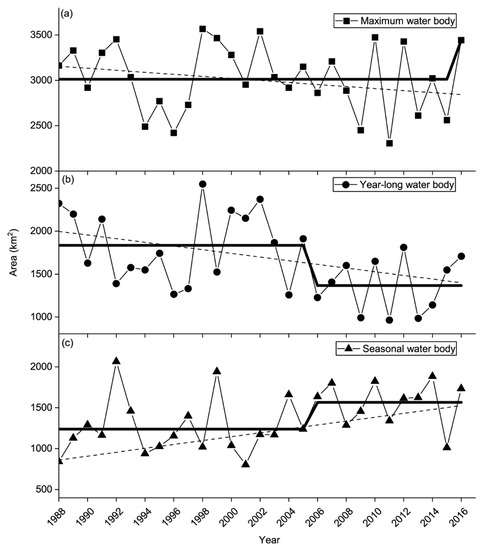
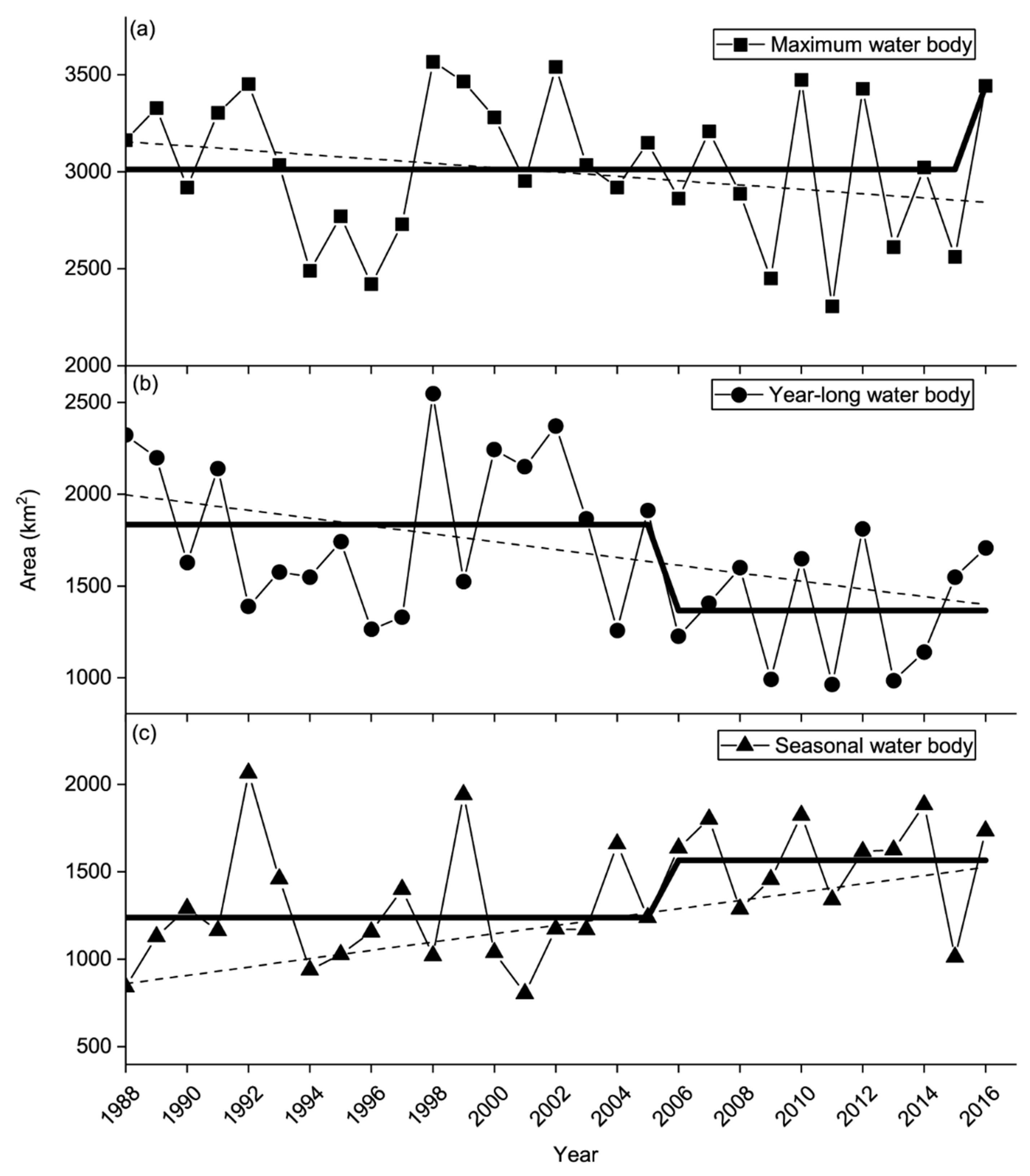
3.2. Surface Water Variation of Poyang Lake during 1988–2016
3.3. Differences in the Poyang Lake Water between the Pre- and Post-TGD Periods
3.4. Relationship between the Upstream Basin Precipitation and Poyang Lake’s Water
4. Discussion
5. Conclusions
Supplementary Materials
Author Contributions
Funding
Acknowledgments
Conflicts of Interest
References
- Beeton, A.M. Large freshwater lakes: Present state, trends, and future. Environ. Conserv. 2002, 29, 21–38. [Google Scholar] [CrossRef]
- Palmer, S.C.J.; Kutser, T.; Hunter, P.D. Remote sensing of inland waters: Challenges, progress and future directions. Remote Sens. Environ. 2015, 157, 1–8. [Google Scholar] [CrossRef]
- Wu, G.; Liu, Y. Satellite-based detection of water surface variation in China’s largest freshwater lake in response to hydro-climatic drought. Int. J. Remote Sens. 2014, 35, 4544–4558. [Google Scholar] [CrossRef]
- Zou, Z.; Xiao, X.; Dong, J.; Qin, Y.; Doughty, R.B.; Menarguez, M.A.; Zhang, G.; Wang, J. Divergent trends of open-surface water body area in the contiguous united states from 1984 to 2016. Proc. Natl. Acad. Sci. USA 2018. [Google Scholar] [CrossRef] [PubMed]
- Du, Y.; Xue, H.-P.; Wu, S.-J.; Ling, F.; Xiao, F.; Wei, X.-H. Lake area changes in the middle yangtze region of China over the 20th century. J. Environ. Manag. 2011, 92, 1248–1255. [Google Scholar] [CrossRef] [PubMed]
- Coops, H.; Beklioglu, M.; Crisman, T.L. The role of water-level fluctuations in shallow lake ecosystems—Workshop conclusions. Hydrobiologia 2003, 506, 23–27. [Google Scholar] [CrossRef]
- Verpoorter, C.; Kutser, T.; Seekell, D.A.; Tranvik, L.J. A global inventory of lakes based on high-resolution satellite imagery. Geophys. Res. Lett. 2014, 41, 6396–6402. [Google Scholar] [CrossRef]
- Fluet-Chouinard, E.; Lehner, B.; Rebelo, L.-M.; Papa, F.; Hamilton, S.K. Development of a global inundation map at high spatial resolution from topographic downscaling of coarse-scale remote sensing data. Remote Sens. Environ. 2015, 158, 348–361. [Google Scholar] [CrossRef]
- Pekel, J.-F.; Cottam, A.; Gorelick, N.; Belward, A.S. High-resolution mapping of global surface water and its long-term changes. Nature 2016, 540, 418. [Google Scholar] [CrossRef]
- Sheng, Y.; Song, C.; Wang, J.; Lyons, E.A.; Knox, B.R.; Cox, J.S.; Gao, F. Representative lake water extent mapping at continental scales using multi-temporal landsat-8 imagery. Remote Sens. Environ. 2016, 185, 129–141. [Google Scholar] [CrossRef]
- Lyons, E.; Sheng, Y. Laketime: Automated seasonal scene selection for global lake mapping using Landsat ETM+ and OLI. Remote Sens. 2018, 10, 54. [Google Scholar] [CrossRef]
- Tao, S.; Fang, J.; Zhao, X.; Zhao, S.; Shen, H.; Hu, H.; Tang, Z.; Wang, Z.; Guo, Q. Rapid loss of lakes on the Mongolian plateau. Proc. Natl. Acad. Sci. USA 2015, 112, 2281–2286. [Google Scholar] [CrossRef] [PubMed]
- Liu, H.; Yin, Y.; Piao, S.; Zhao, F.; Engels, M.; Ciais, P. Disappearing lakes in semiarid northern China: Drivers and environmental impact. Environ. Sci. Technol. 2013, 47, 12107–12114. [Google Scholar] [CrossRef] [PubMed]
- Gorelick, N.; Hancher, M.; Dixon, M.; Ilyushchenko, S.; Thau, D.; Moore, R. Google earth engine: Planetary-scale geospatial analysis for everyone. Remote Sens. Environ. 2017, 202, 18–27. [Google Scholar] [CrossRef]
- Hird, J.; DeLancey, E.; McDermid, G.; Kariyeva, J. Google earth engine, open-access satellite data, and machine learning in support of large-area probabilistic wetland mapping. Remote Sens. 2017, 9, 1315. [Google Scholar] [CrossRef]
- Donchyts, G.; Baart, F.; Winsemius, H.; Gorelick, N.; Kwadijk, J.; van de Giesen, N. Earth’s surface water change over the past 30 years. Nat. Clim. Chang. 2016, 6, 810. [Google Scholar] [CrossRef]
- Chen, F.; Zhang, M.; Tian, B.; Li, Z. Extraction of glacial lake outlines in Tibet plateau using Landsat 8 imagery and google earth engine. IEEE J. Sel. Top. Appl. Earth Obs. Remote Sens. 2017, 10, 4002–4009. [Google Scholar] [CrossRef]
- Xu, H.; Bai, Y. In Evaluation of urban lake evolution using google earth engine—A case study of Wuhan, China. In Proceedings of the 2015 Fourth International Conference on Agro-Geoinformatics (Agro-geoinformatics), Istanbul, Turkey, 20–24 July 2015. [Google Scholar]
- Feng, L.; Hu, C.; Chen, X.; Zhao, X. Dramatic inundation changes of China’s two largest freshwater lakes linked to the three gorges dam. Environ. Sci. Technol. 2013, 47, 9628–9634. [Google Scholar] [CrossRef]
- Liu, Y.; Wu, G.; Zhao, X. Recent declines in China’s largest freshwater lake: Trend or regime shift? Environ. Res. Lett. 2013, 8. [Google Scholar] [CrossRef]
- Zhang, Q.; Ye, X.-C.; Werner, A.D.; Li, Y.-L.; Yao, J.; Li, X.-H.; Xu, C.-Y. An investigation of enhanced recessions in Poyang lake: Comparison of Yangtze river and local catchment impacts. J. Hydrol. 2014, 517, 425–434. [Google Scholar] [CrossRef]
- Guo, H.; Hu, Q.; Zhang, Q.; Feng, S. Effects of the three gorges dam on Yangtze river flow and river interaction with Poyang lake, China: 2003–2008. J. Hydrol. 2012, 416, 19–27. [Google Scholar] [CrossRef]
- Feng, L.; Hu, C.; Chen, X. Satellites capture the drought severity around China’s largest freshwater lake. IEEE J. Sel. Top. Appl. Earth Obs. Remote Sens. 2012, 5, 1266–1271. [Google Scholar] [CrossRef]
- Feng, L.; Hu, C.; Chen, X.; Cai, X.; Tian, L.; Gan, W. Assessment of inundation changes of Poyang lake using MODIS observations between 2000 and 2010. Remote Sens. Environ. 2012, 121, 80–92. [Google Scholar] [CrossRef]
- Wang, J.; Sheng, Y.; Wada, Y. Little impact of the three gorges dam on recent decadal lake decline across China’s Yangtze plain. Water Resour. Res. 2017, 53, 3854–3877. [Google Scholar] [CrossRef]
- Wang, J.; Sheng, Y.; Tong, T.S.D. Monitoring decadal lake dynamics across the Yangtze basin downstream of three gorges dam. Remote Sens. Environ. 2014, 152, 251–269. [Google Scholar] [CrossRef]
- Lai, X.; Jiang, J.; Yang, G.; Lu, X.X. Should the three gorges dam be blamed for the extremely low water levels in the middle-lower Yangtze river? Hydrol. Process. 2014, 28, 150–160. [Google Scholar] [CrossRef]
- Li, L.; Xia, H.; Li, Z.; Zhang, Z. Temporal-spatial evolution analysis of lake size-distribution in the middle and lower Yangtze river basin using Landsat imagery data. Remote Sens. 2015, 7, 10364–10384. [Google Scholar] [CrossRef]
- Lai, X.; Shankman, D.; Huber, C.; Yesou, H.; Huang, Q.; Jiang, J. Sand mining and increasing Poyang lake’s discharge ability: A reassessment of causes for lake decline in China. J. Hydrol. 2014, 519, 1698–1706. [Google Scholar] [CrossRef]
- De Leeuw, J.; Shankman, D.; Wu, G.; de Boer, W.F.; Burnham, J.; He, Q.; Yesou, H.; Xiao, J. Strategic assessment of the magnitude and impacts of sand mining in Poyang lake, China. Reg. Environ. Chang. 2010, 10, 95–102. [Google Scholar] [CrossRef]
- Han, X.; Chen, X.; Feng, L. Four decades of winter wetland changes in Poyang lake based on Landsat observations between 1973 and 2013. Remote Sens. Environ. 2015, 156, 426–437. [Google Scholar] [CrossRef]
- Wang, J.; Sheng, Y.; Gleason, C.J.; Wada, Y. Downstream Yangtze river levels impacted by three gorges dam. Environ. Res. Lett. 2013, 8. [Google Scholar] [CrossRef]
- Zhang, L.; Yin, J.; Jiang, Y.; Wang, H. Relationship between the hydrological conditions and the distribution of vegetation communities within the Poyang lake national nature reserve, China. Ecol. Inform. 2012, 11, 65–75. [Google Scholar] [CrossRef]
- Wu, G.; de Leeuw, J.; Skidmore, A.K.; Prins, H.H.T.; Best, E.P.H.; Liu, Y. Will the three gorges dam affect the underwater light climate of Vallisneria spiralis L. and food habitat of Siberian crane in Poyang lake? Hydrobiologia 2009, 623, 213–222. [Google Scholar] [CrossRef]
- Li, X.; Yu, X.; Jiang, L.; Li, W.; Liu, Y.; Hou, X. How important are the wetlands in the middle-lower Yangtze river region: An ecosystem service valuation approach. Ecosyst. Serv. 2014, 10, 54–60. [Google Scholar] [CrossRef]
- Shankman, D.; Keim, B.D.; Nakayama, T.; Li, R.; Wu, D.; Remington, W.C. Hydroclimate analysis of severe floods in China’s Poyang lake region. Earth Interact. 2012, 16, 1–16. [Google Scholar] [CrossRef]
- Shankman, D.; Keim, B.D.; Song, J. Flood frequency in China’s Poyang lake region: Trends and teleconnections. Int. J. Climatol. 2006, 26, 1255–1266. [Google Scholar] [CrossRef]
- Zhou, W.B.; Wan, J.B.; Jiang, J.H. Impacts of the Variation of Poyang Lake Water Level on Its Ecosystem; Science Press: Beijing, China, 2011; ISBN 7030315545. [Google Scholar]
- Landsat 5/7/8 Surface Reflectance Datasets. Available online: https://code.earthengine.google.com/dataset/LANDSAT/LC8_SR (accessed on 17 December 2017).
- Vermote, E.; Justice, C.; Claverie, M.; Franch, B. Preliminary analysis of the performance of the Landsat 8/OLI land surface reflectance product. Remote Sens. Environ. 2016, 185, 46–56. [Google Scholar] [CrossRef]
- Allen, R.G.; Pereira, L.S.; Raes, D.; Smith, M. Crop Evapotranspiration-Guidelines for Computing Crop Water Requirements-FAO Irrigation and Drainage Paper 56; FAO: Rome, Italy, 1998; Volume 300, D05109. [Google Scholar]
- Ashouri, H.; Hsu, K.-L.; Sorooshian, S.; Braithwaite, D.K.; Knapp, K.R.; Cecil, L.D.; Nelson, B.R.; Prat, O.P. PERSIANN-CDR: Daily precipitation climate data record from multisatellite observations for hydrological and climate studies. Bull. Am. Meteorol. Soc. 2015, 96, 69–83. [Google Scholar] [CrossRef]
- Xu, H. Modification of normalised difference water index (NDWI) to enhance open water features in remotely sensed imagery. Int. J. Remote Sens. 2006, 27, 3025–3033. [Google Scholar] [CrossRef]
- McFeeters, S.K. The use of the normalized difference water index (NDWI) in the delineation of open water features. Int. J. Remote Sens. 1996, 17, 1425–1432. [Google Scholar] [CrossRef]
- Dong, J.; Xiao, X.; Kou, W.; Qin, Y.; Zhang, G.; Li, L.; Jin, C.; Zhou, Y.; Wang, J.; Biradar, C.; et al. Tracking the dynamics of paddy rice planting area in 1986–2010 through time series Landsat images and phenology-based algorithms. Remote Sens. Environ. 2015, 160, 99–113. [Google Scholar] [CrossRef]
- Zhou, Y.; Dong, J.; Xiao, X.; Xiao, T.; Yang, Z.; Zhao, G.; Zou, Z.; Qin, Y. Open surface water mapping algorithms: A comparison of water-related spectral indices and sensors. Water 2017, 9, 256. [Google Scholar] [CrossRef]
- Zou, Z.; Dong, J.; Menarguez, M.A.; Xiao, X.; Qin, Y.; Doughty, R.B.; Hooker, K.V.; David Hambright, K. Continued decrease of open surface water body area in Oklahoma during 1984–2015. Sci. Total Environ. 2017, 595, 451–460. [Google Scholar] [CrossRef] [PubMed]
- Foga, S.; Scaramuzza, P.L.; Guo, S.; Zhu, Z.; Dilley, R.D.; Beckmann, T.; Schmidt, G.L.; Dwyer, J.L.; Joseph Hughes, M.; Laue, B. Cloud detection algorithm comparison and validation for operational Landsat data products. Remote Sens. Environ. 2017, 194, 379–390. [Google Scholar] [CrossRef]
- Zhu, Z.; Wang, S.; Woodcock, C.E. Improvement and expansion of the Fmask algorithm: Cloud, cloud shadow, and snow detection for Landsats 4–7, 8, and sentinel 2 images. Remote Sens. Environ. 2015, 159, 269–277. [Google Scholar] [CrossRef]
- Zhu, Z. Change detection using Landsat time series: A review of frequencies, preprocessing, algorithms, and applications. ISPRS J. Photogramm. Remote Sens. 2017, 130, 370–384. [Google Scholar] [CrossRef]
- Theil, H. A rank-invariant method of linear and polynomial regression analysis. In Henri Theil’s Contributions to Economics and Econometrics; Springer: Dordrecht, The Netherlands, 1992; pp. 345–381. [Google Scholar]
- Nitze, I.; Grosse, G.; Jones, B.; Arp, C.; Ulrich, M.; Fedorov, A.; Veremeeva, A. Landsat-based trend analysis of lake dynamics across northern permafrost regions. Remote Sens. 2017, 9, 640. [Google Scholar] [CrossRef]
- Fickas, K.C.; Cohen, W.B.; Yang, Z. Landsat-based monitoring of annual wetland change in the willamette valley of Oregon, USA from 1972 to 2012. Wetlands Ecol. Manag. 2016, 24, 73–92. [Google Scholar] [CrossRef]
- Sen, P.K. Estimates of the regression coefficient based on Kendall’s tau. J. Am. Stat. Assoc. 1968, 63, 1379–1389. [Google Scholar] [CrossRef]
- Siegel, A.F. Robust regression using repeated medians. Biometrika 1982, 69, 242–244. [Google Scholar] [CrossRef]
- Villarini, G.; Smith, J.A.; Serinaldi, F.; Ntelekos, A.A. Analyses of seasonal and annual maximum daily discharge records for central Europe. J. Hydrol. 2011, 399, 299–312. [Google Scholar] [CrossRef]
- Rodionov, S.N. A sequential algorithm for testing climate regime shifts. Geophys. Res. Lett. 2004, 31. [Google Scholar] [CrossRef]
- Frank, K.T.; Petrie, B.; Fisher, J.A.D.; Leggett, W.C. Transient dynamics of an altered large marine ecosystem. Nature 2011, 477, 86. [Google Scholar] [CrossRef]
- Rodionov, S. A sequential method of detecting abrupt changes in the correlation coefficient and its application to Bering sea climate. Climate 2015, 3, 474. [Google Scholar] [CrossRef]
- Lo, T.-T.; Hsu, H.-H. The early 1950s regime shift in temperature in Taiwan and east Asia. Clim. Dyn. 2008, 31, 449–461. [Google Scholar] [CrossRef]
- Regime Shift Detection Software. Available online: https://sites.google.com/site/climatelogic/documentation (accessed on 12 March 2018).
- Mei, X.; Dai, Z.; Du, J.; Chen, J. Linkage between three gorges dam impacts and the dramatic recessions in China’s largest freshwater lake, Poyang lake. Sci. Rep. 2015, 5. [Google Scholar] [CrossRef] [PubMed]
- Wu, G.; Liu, Y. Assessment of the hydro-ecological impacts of the three gorges dam on China’s largest freshwater lake. Remote Sens. 2017, 9. [Google Scholar] [CrossRef]
- Cai, X.; Feng, L.; Wang, Y.; Chen, X. Influence of the three gorges project on the water resource components of Poyang lake watershed: Observations from TRMM and grace. Adv. Meteorol. 2015. [Google Scholar] [CrossRef]
- Feng, L.; Hu, C.; Chen, X.; Li, R. Satellite observations make it possible to estimate Poyang lake’s water budget. Environ. Res. Lett. 2011, 6. [Google Scholar] [CrossRef]
- Ou, C.; Li, J.; Zhang, Z.; Li, X.; Yu, G.; Liao, X. Effects of the dispatch modes of the three gorges reservoir on the water regimes in the Dongting lake area in typical years. J. Geogr. Sci. 2012, 22, 594–608. [Google Scholar] [CrossRef]
- Wang, X.; de Linage, C.; Famiglietti, J.; Zender, C.S. Gravity recovery and climate experiment (grace) detection of water storage changes in the three gorges reservoir of China and comparison with in situ measurements. Water Resour. Res. 2011, 47. [Google Scholar] [CrossRef]
- Zhang, Q.; Li, L.; Wang, Y.G.; Werner, A.D.; Xin, P.; Jiang, T.; Barry, D.A. Has the three-gorges dam made the Poyang lake wetlands wetter and drier? Geophys. Res. Lett. 2012, 39. [Google Scholar] [CrossRef]
- Hu, Q.; Feng, S.; Guo, H.; Chen, G.; Jiang, T. Interactions of the yangtze river flow and hydrologic processes of the Poyang lake, China. J. Hydrol. 2007, 347, 90–100. [Google Scholar] [CrossRef]
- Shankman, D.; Liang, Q. Landscape changes and increasing flood frequency in China’s Poyang lake region. Prof. Geogr. 2003, 55, 434–445. [Google Scholar] [CrossRef]
- Herve, Y.; Claire, H.; Lai, X.; Stephane, A.; Li, J.; Sylviane, D.; Muriel, B.-N.; Chen, X.; Huang, S.; Burnham, J.; et al. Nine years of water resources monitoring over the middle reaches of the Yangtze river, with ENVISAT, MODIS, Beijing-1 time series, Altimetric data and field measurements. Lakes Reserv. Res. Manag. 2011, 16, 227–243. [Google Scholar] [CrossRef]
- Dai, Z.; Liu, J.T. Impacts of large dams on downstream fluvial sedimentation: An example of the three gorges dam (TGD) on the Changjiang (Yangtze river). J. Hydrol. 2013, 480, 10–18. [Google Scholar] [CrossRef]
- Yang, S.L.; Xu, K.H.; Milliman, J.D.; Yang, H.F.; Wu, C.S. Decline of Yangtze river water and sediment discharge: Impact from natural and anthropogenic changes. Sci. Rep. 2015, 5, 12581. [Google Scholar] [CrossRef]
- Yang, S.L.; Milliman, J.D.; Xu, K.H.; Deng, B.; Zhang, X.Y.; Luo, X.X. Downstream sedimentary and geomorphic impacts of the three gorges dam on the Yangtze river. Earth-Sci. Rev. 2014, 138, 469–486. [Google Scholar] [CrossRef]
- Lai, X.; Liang, Q.; Huang, Q.; Jiang, J.; Lu, X.X. Numerical evaluation of flow regime changes induced by the three gorges dam in the middle Yangtze. Hydrol. Res. 2016, 47, 149–160. [Google Scholar] [CrossRef]
- Zhao, G.; Hörmann, G.; Fohrer, N.; Zhang, Z.; Zhai, J. Streamflow trends and climate variability impacts in Poyang lake basin, China. Water Resour. Manag. 2010, 24, 689–706. [Google Scholar] [CrossRef]
- Huang, L.; Shao, Q.; Liu, J. Forest restoration to achieve both ecological and economic progress, Poyang lake basin, China. Ecol. Eng. 2012, 44, 53–60. [Google Scholar] [CrossRef]










| Zone * | Mean ± SD | |
|---|---|---|
| 2016 | 1988–2016 | |
| 0 | 0.679 ± 0.281 | 0.681 ± 0.281 |
| 1 | 0.761 ± 0.227 | 0.796 ± 0.170 |
| 2 | 0.751 ± 0.259 | 0.831 ± 0.204 |
| 3 | 0.549 ± 0.277 | 0.521 ± 0.297 |
| 4 | 0.645 ± 0.268 | 0.608 ± 0.277 |
| 5 | 0.724 ± 0.296 | 0.747 ± 0.266 |
| Study | Comparative Item | R | p-Value |
|---|---|---|---|
| Study 1 | Average water body area | 0.701 * | <0.001 |
| Study 2 | Average water body area | 0.829 * | 0.002 |
| Study 3 | Average water body area | 0.821 * | 0.004 |
| JRC data | Year-long/Permanent water body area | 0.659 * | <0.001 |
| Zone | Water Body Type | Rate of Change (yr−1) | ||
|---|---|---|---|---|
| Area (km2) | % of Mean | p-Value | ||
| 0 | Maximum | −11.18 | −0.37 | 0.121 |
| Year-long | −21.38 * | −1.29 * | <0.001 | |
| Seasonal | 23.79 * | 1.74 * | <0.001 | |
| 1 | Maximum | −0.14 | −0.03 | 0.092 |
| Year-long | −6.06 * | −1.95 * | <0.001 | |
| Seasonal | 6.33 * | 3.10 * | <0.001 | |
| 2 | Maximum | 0.08 * | 0.02 * | 0.026 |
| Year-long | −4.99 * | −1.67 * | <0.001 | |
| Seasonal | 4.48 * | 3.68 * | <0.001 | |
| 3 | Maximum | −1.23 | −0.32 | 0.347 |
| Year-long | −1.11 | −0.83 | 0.190 | |
| Seasonal | 0.34 | 0.14 | 0.733 | |
| 4 | Maximum | −8.62 * | −0.98 * | 0.020 |
| Year-long | −9.50 * | −2.33 * | <0.001 | |
| Seasonal | 7.86 * | 1.66 * | 0.006 | |
| 5 | Maximum | −1.66 | −0.20 | 0.205 |
| Year-long | −4.55 * | −0.90 * | 0.003 | |
| Seasonal | 5.25 * | 1.66 * | 0.004 | |
| Water Body Type | Precipitation Time Lag (months) | |||||||
|---|---|---|---|---|---|---|---|---|
| 0 | 1 | 2 | 3 | |||||
| R2 | p-Value | R2 | p-Value | R2 | p-Value | R2 | p-Value | |
| Month-maximum | 0.448 * | 0.017 | 0.735 * | <0.001 | 0.716 * | <0.001 | 0.430 * | 0.021 |
| Month-long | 0.488 * | 0.012 | 0.831 * | <0.001 | 0.787 * | <0.001 | 0.439 * | 0.019 |
| Month-short | 0.199 | 0.146 | 0.394 * | 0.029 | 0.332 | 0.050 | 0.132 | 0.247 |
| Water Body Type | R2 | p-Value |
|---|---|---|
| Spring-maximum | 0.344 * | 0.001 |
| Spring-long | 0.583 * | <0.001 |
| Spring-short | 0.070 | 0.18 |
| Summer-maximum | 0.064 | 0.203 |
| Summer-long | 0.108 | 0.095 |
| Summer-short | 0.083 | 0.145 |
| Fall-maximum | 0.197 * | 0.020 |
| Fall-long | 0.301 * | 0.003 |
| Fall-short | 0.050 | 0.262 |
| Winter-maximum | 0.0002 | 0.941 |
| Winter-long | 0.024 | 0.440 |
| Winter-short | 0.012 | 0.583 |
© 2019 by the authors. Licensee MDPI, Basel, Switzerland. This article is an open access article distributed under the terms and conditions of the Creative Commons Attribution (CC BY) license (http://creativecommons.org/licenses/by/4.0/).
Share and Cite
Wang, Y.; Ma, J.; Xiao, X.; Wang, X.; Dai, S.; Zhao, B. Long-Term Dynamic of Poyang Lake Surface Water: A Mapping Work Based on the Google Earth Engine Cloud Platform. Remote Sens. 2019, 11, 313. https://doi.org/10.3390/rs11030313
Wang Y, Ma J, Xiao X, Wang X, Dai S, Zhao B. Long-Term Dynamic of Poyang Lake Surface Water: A Mapping Work Based on the Google Earth Engine Cloud Platform. Remote Sensing. 2019; 11(3):313. https://doi.org/10.3390/rs11030313
Chicago/Turabian StyleWang, Yingbing, Jun Ma, Xiangming Xiao, Xinxin Wang, Shengqi Dai, and Bin Zhao. 2019. "Long-Term Dynamic of Poyang Lake Surface Water: A Mapping Work Based on the Google Earth Engine Cloud Platform" Remote Sensing 11, no. 3: 313. https://doi.org/10.3390/rs11030313
APA StyleWang, Y., Ma, J., Xiao, X., Wang, X., Dai, S., & Zhao, B. (2019). Long-Term Dynamic of Poyang Lake Surface Water: A Mapping Work Based on the Google Earth Engine Cloud Platform. Remote Sensing, 11(3), 313. https://doi.org/10.3390/rs11030313

