Abstract
As the subject of how economic development affects the quality of the natural environment has gained great momentum, this paper focuses on examining the extent to which the openness of a market economy and the quality of the institution affect environmental performance. The majority of the current studies focus on the Environmental Kuznets Curve and the level of economic growth. This paper addresses this question by relating environmental (“Environmental Performance Index”) to macroeconomic (Gross Domestic Product per capita, “Open Markets Index”) and governance indicators (“Worldwide Governance Indicators”). The sample consists of 75 countries, including all G20 and EU members, comprising “more than 90% of global trade and investment”. Findings show that the Environmental Performance Index is positively correlated to each of the (institutional) indicators, so as to confirm that the selected indices are consistent with previous studies, suggesting that environmental performance increases in line with economic development and that good governance increases a country’s levels of environmental protection. By applying factor analysis, an empirical model of the Environmental Performance Index is estimated, suggesting that there is a significant positive correlation between a country’s economic growth, the openness of an economy, high levels of effective governance, and its environmental performance.
1. Introduction
Economic growth and the natural environment are viewed as both conflicting and, at other times, cooperative concepts [1,2]. The conflicting approach entails that a higher economic growth rate might be responsible for a higher level of environmental degradation in a given country. The first generation of papers and reports of environmental economists, technocrats, and policy scientists have raised some doubts regarding the smooth relationship between economic growth and environmental degradation [3,4]. Thus, a political device of sustainable development has been launched to reconcile these concepts in order to balance economic development, environmental degradation, and social equity [5]. The cooperative approach shows that, at an early stage of a country’s economic growth, a high level of environmental degradation is observed [6], while, after a critical point of economic growth, a gradual decline in environmental degradation is reported. This relationship has been mainly examined through the Environmental Kuznets Curve, which is outlined as a inverted U-shaped function of various environmental indicators and Gross Domestic Product per capita (GDPc) [7,8].
Stern [9] provides a range of factors that explain the reason why countries at an early stage of economic growth have a negative influence on the quality of the natural environment. In particular, he considers the scale of production to be significant, in addition to the different environmental impacts per different sector, the industry’s substitution capability with alternative materials, and the industry’s productivity growth. After the early stage, economic growth passes from the primary and secondary sector to the third (service) sector, where the economy is less capital-intensive. The majority of such studies are restricted to comparing ex ante (environmental and economic) performance indicators and to providing general explanations through an automatic relationship of an early or mature stage of an economy and the level of environmental degradation.
However, it should not be forgotten that economic actors (e.g., industries and consumers—the supply and the demand) adjust their behavior according to institutional requirements or attempt to make changes in institution operation according to their power. Institutional economics and sociology consider external factors as significant in changing industry behavior. Institutions are classified in two general categories: public and private [10]. The former category includes governmental organizations that enact regulative requirements for firms. Command and control instruments play these roles, where governmental organizations define the “rules of [the] game” by which firms should operate [11]. This category also includes economic instruments (e.g. taxes, subsidies, and tradable permits) that encourage firms to quickly shift in adopting environmental strategies in order to achieve better environmental performance. The latter category includes private institutions that create normative and cognitive requirements on economic actors, such as the chemical industry. Private institution requirements enforce economic actors to adjust their operations in order to gain legitimacy, or adapt to the general sector’s or society’s expectations [12,13]. Other political institutions requirements, such as good governance (or an open political system) seem to be affected by economic actors in having a positive effect on environmental performance [14,15,16]. Another significant institutional factor is democratic establishments that also contribute to better environmental performance [17,18]. Mukherjee and Chakrabotry [15] show the positive relation between environmental performance and socioeconomic and sociopolitical factors. Finally, there is an admittedly positive effect of institutional quality [19,20] and an open political system [21] on economic growth. The quality of the institution, the level of democracy, and good governance are what make a country economically advance or decline. Institutions that function well reduce the levels of uncertainty, a significant factor for a country’s long term economic development; in particular, political instability has been shown to be negatively related to economic development [22].
These significant factors are less examined by the previous macroeconomic analysis of economic growth and environmental degradation. In particular, variables of institutional quality and economic openness have yet to be extensively discussed. Thus, this paper aims at examining the effect of an open economy and high institutional quality on a country’s environmental performance. The research question is raised as a tug of war between an open and a protected (more state-centered) economy in dealing with environmental issues. An open economy is associated with economic liberalism and free market [23,24], ideas that have received great criticism over the years from the environmental point of view. The question is whether or not an open economic system could positively affect environmental performance. Put differently, are economic development and the openness of an economy the critical reasons for the downturn of environmental quality, or are they a prerequisite for a decrease in environmental pressure? Finally, is an open economy the answer to a more sustainable future? To address this question, a set of representative countries, and environmental, economic, and governance indicators are selected. Additionally, a factor analysis is performed in order to test the relationships between environmental performance and economic growth and governance quality.
The rest of the paper is structured as follows: Section 2 details the research methodology and the procedure of selecting the indicators and the countries examined. In Section 3, the results and analysis of the estimated statistical models are presented and discussed, and Section 4 consists of the overall conclusions and further research suggestions.
2. Research Methodology
In this section, the selected countries and indices are presented and described, in addition to the statistical approach used for the empirical model estimation.
2.1. Country Selection
The set of the 75 sampled countries, consisting of all G20 and EU countries and accounting for more than “90% of global trade and investment”, are the ones presented in the International Chamber of Commerce’s (ICC) “Open Markets Index” (OMI) report [25]. The selected countries are Algeria, Argentina, Australia, Austria, Bangladesh, Belgium, Brazil, Bulgaria, Canada, Chile, China, Colombia, Cyprus, Czech Republic, Denmark, Egypt, Estonia, Ethiopia, Finland, France, Germany, Greece, Hong Kong, Hungary, Iceland, India, Indonesia, Ireland, Israel, Italy, Japan, Jordan, Kazakhstan, Kenya, South Korea, Latvia, Lithuania, Luxembourg, Malaysia, Malta, Mexico, Morocco, Netherlands, New Zealand, Nigeria, Norway, Pakistan, Peru, Philippines, Poland, Portugal, Romania, Russian Federation, Saudi Arabia, Singapore, Slovakia, Slovenia, South Africa, Spain, Sri Lanka, Sudan, Sweden, Switzerland, Chinese Taipei, Thailand, Tunisia, Turkey, Uganda, Ukraine, United Arab Emirates, United Kingdom, United States, Uruguay, Venezuela, and Vietnam. Due to a lack of data on the rest of the indicators, Hong Kong and Chinese Taipei were not included in the analysis.
2.2. Environmental Performance Index
The Environmental Performance Index (EPI), calculated by the Yale Center for Environmental Law and Policy (YCELP) in 2014, measures the performance of each of the 178 presented countries on “the protection of human health from environmental harm and the protection of ecosystems”. EPI is an indicator that is “a country's distance to target” [26] and is calculated based on two main weighed indicators: Environmental Health (30%) and Ecosystem Vitality (70%), divided into 10 policy categories, overall measuring 22 different indicators. EPI is a positive indicator, meaning that the higher the EPI, the better the respective country’s environmental performance. EPI succeeds in combining many indicators—which were only individually taken into account when testing environmental quality—in one. It is becoming quite popular in measuring environmental performance due to its integration of academic research [27,28,29], thus making it, in the authors’ opinion, the most complete and appropriate indicator for the overall measurement of environmental performance.
2.3. Open Markets Index
For the economic performance evaluation of the studied countries, apart from GDPc—data on which are obtained from YCELP—we consider OMI, proposed by the ICC [25]. OMI is an index that measures a country’s openness to trade, aiming at providing a valid measurement of the openness of the economy, or “synthesize information on market access to major markets worldwide.” OMI is selected for the present study, as it is calculated based on categories that accurately reflect the factors indicating the openness of an economy. For the making of the index, the ICC used 28 time series for 75 countries, based on four weighed indicators (Trade Openness, Trade Policy, FDI Openness, and Trade Enabling Infrastructure), with an overall measurement of 13 indicators. The examined countries are categorized into five groups of openness: excellent (5–6), above average (4–4.99), average (3–3.99), below average (2–2.99), and very weak (1–1.99).
2.4. Worldwide Governance Indicators
The selected governance indicators are the ones presented in the Worldwide Governance Indicators (WGI) project, the most popular among governance indicators [30]. The WGI project analyzes data from 213 countries from 1996 to 2013, in the following six governance sections: “Voice and Accountability” (VA), “Political Stability” (PS), “Government Effectiveness” (GE), “Regulatory Quality” (RQ), “Rule of Law” (RL), and “Control of Corruption” (CC). For every year, each of the aforementioned indicators has an upper and lower value. In this analysis, for the empirical model estimation, the mean of these two values is used as each respective country’s performance. Data on the WGI indicators are taken from the updated dataset of 2014.
2.5. Statistical Analysis
The respective relations of EPI with each of the economic and governance indicators are examined in order to show that the results support what has been suggested in a previously published work on the subject and that the indices are consistent with economic theory. By applying factor analysis with principal component analysis (for GDPc, OMI, and WGI) as the extraction method, and Varimax with Kaiser normalization as the rotation method, we estimate an empirical model of EPI. Data for OMI are only available for 2011, 2013, and 2015 and, for EPI, 2006, 2008, 2010, 2012, 2014, and 2016. Panel data analysis could not be applied due to this limitation of data not being available for more years.
3. Results and Discussion
This section consists of the results and discussion of our analysis. At first, we examine if the relations of environmental performance with economic development and institutional quality, as represented by the selected indices, i.e., GDPc, OMI, CC, RQ, PS, VA, GE, and RL, support what has already been suggested by previous work. All indicators are shown to have a positive relation to EPI, supported by their respective model estimations. A world map visualization of how the selected countries perform on OMI and EPI is introduced, in addition to their cross section, in order to further elaborate on the positive relationship between a country’s openness of the economy and its environmental performance. As the selected indices are shown to be consistent with economic theory, we proceed using factor analysis, with the estimation of an empirical model of EPI, which strongly suggested that environmental performance increases in line with economic development and high institutional quality.
3.1. Descriptive Statistics
Table 1 consists of the descriptive statistics of the selected indicators, and Table 2 consists of the correlations between GDPc, OMI, CC, RL, PS, VA, GE, and RQ. All indicators examined are highly correlated with one another. In order to overcome the limitation of multicollinearity, we perform factor analysis to estimate the empirical model of EPI (see Section 3.4 Model Estimations).
Table 1.
Descriptive statistics of the indicators.
Table 2.
Correlation matrix of the indicators (p < 0.001 in all pairwise comparisons).
3.2. Relations of EPI and the Indicators
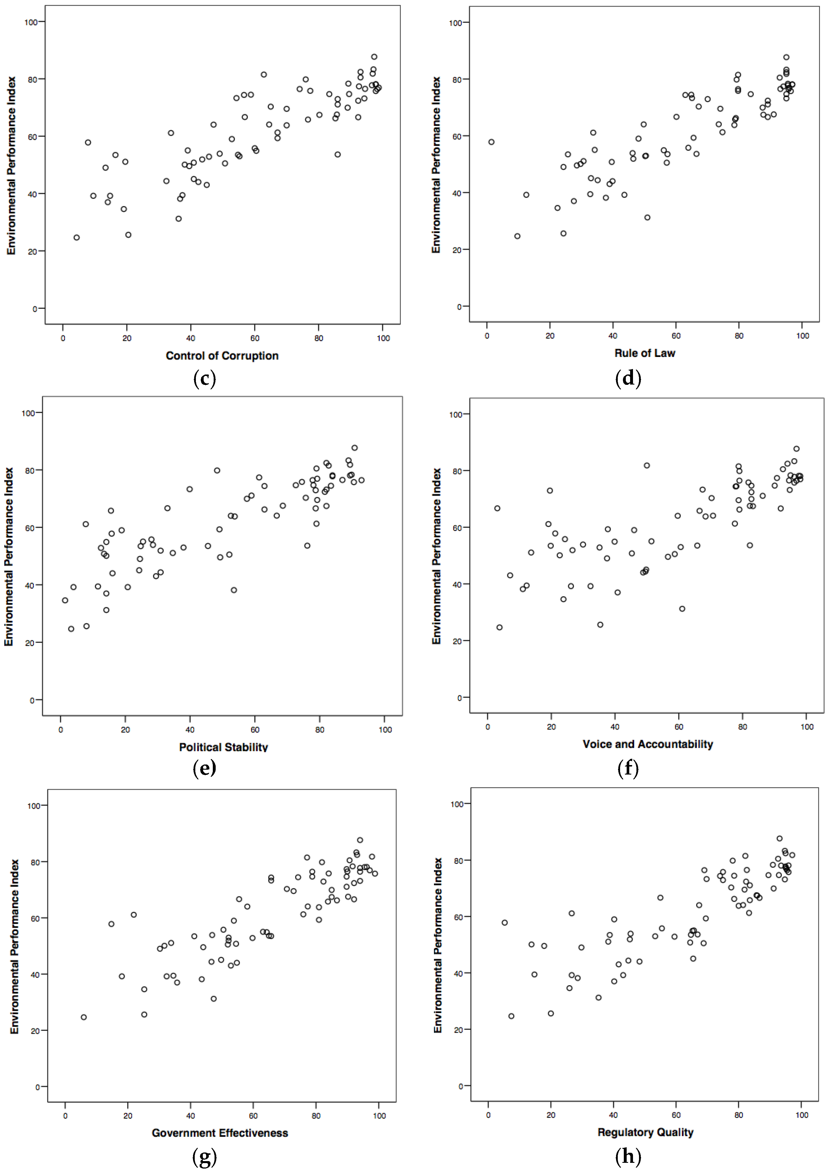
Figure 1 depicts the relations of EPI with GDPc, OMI, CC, RL, PS, VA, GE, and RQ. Figure 1a suggests that a country’s environmental performance increases up to a point as income per capita increases, and the relationship holds afterwards—in line with the Environmental Kuznets Curve hypothesis, i.e., that environmental degradation decreases as economic growth increases [31]. This implies that higher economic growth provides the essential conditions for environmental protection due to the fact that rich countries have higher levels of educated citizens who demand better environmental and healthy living conditions and the establishment of environmental standards for industry operation [32]. This actually integrates institutional aspects in a market economy and indirectly indicates key factors that play a critical role in the environmental protection of economically developed countries. OMI positively correlates with EPI as well (Figure 1b), overall suggesting that economic development positively affects environmental performance. This is confirmed by relative literature suggesting that the openness of an economy plays an important role in developed counties [33] through raising foreign direct investments and liberalizing the financial and capital markets, and an open economy seems to assist countries with the reduction of CO2 per capita [34]. Frankel and Rose [35] illustrate that the effects of trade and growth on air pollution (e.g., SO2 and NO2) is good enough, while the openness of the economy and CO2 emissions do not have a good relationship.

Figure 1.
Relations of Environmental Performance Index (EPI). (a) gross domestic product per capita (GDPc); (b) Open Markets Index (OMI); (c) Control of Corruption (CC); (d) Rule of Law (RL); (e) Political Stability (PS); (f) Voice and Accountability (VA); (g) Government Effectiveness (GE); (h) Regulatory Quality (RQ).
The same relationship holds for EPI and each of the six governance indicators (Figure 1c–h). All indicators increase as EPI increases, showing that each section of governance positively affects environmental performance. Frankel and Rose [35] explain some of these correlations through a schematic illustration of rational linear relationships with democracy, environmental regulations, trade, GDP, and environmental quality. In particular, they support that good democratic institutions free their citizens to demand better environmental regulations in trade procedures. Trade and GDP are positively associated, and a regulative regime is associated with higher environmental quality. Similarly, Frazin and Bond [36] identify that democracy and freedoms shape the essential conditions for society agents to freely express their preferences for environmental quality. The relations of EPI and each of the selected indicators are further supported by their regressions in Section 3.3. Visualizations of OMI and EPI.
3.3. Visualizations of OMI and EPI
The countries with an OMI score above 4, i.e., countries in the groups “excellent” (5–6) (only Singapore) and “above average” (4–5), are 27 in total (37% of our sample). When this list is cross-referenced with the one consisting of the 27 countries scoring the highest in EPI, the set of the following 19 countries is obtained: Australia, Austria, Canada, Czech Republic, Denmark, Estonia, Finland, Germany, Iceland, Ireland, Luxembourg, Netherlands, Norway, Slovac Republic, Slovenia, Sweden, Switzerland, United Arab Emirates, and United Kingdom. Figure 2 and Figure 3 show the countries’ scores in OMI and EPI, respectively, and the 19 cross-referenced countries are presented in Figure 4.
Figure 2.
OMI scores of the selected countries.
Figure 3.
EPI scores of the selected countries.
Figure 4.
Best performing EPI & OMI cross-referenced countries.
The cross section between the 27 best performing countries in OMI and the 27 best performing countries in EPI are 19 out of 27 in total; a percentage of 70.37%. As shown in Figure 4, it is evident that there is a strong connection between OMI and EPI scores, supporting our hypothesis that countries with an open economy score higher in environmental performance. Overall, our evidence shows that the level of the openness of an economy is associated with a country’s environmental protection. This could be explained, as mentioned above, by high levels of literacy, the markets’ high levels of liberalism, and the strong democratic values.
3.4. Model Estimations
Table 3 presents the model estimations of EPI with each of the economic and governance indicators, with pcGDPc,OMI and pcWGI denoting the principal components derived by GDPc & OMI, and the WGIs, respectively. All equations are of the form y = α + βx, where y is EPI and x is the respective indicator.
Table 3.
Linear regression estimations of EPI and the indicators.
The model estimations show that EPI positively correlates with GDPc, OMI, CC, RL, GE, PS, VA, and PS, in line with what has been suggested in previous studies, i.e., that high GDP per capita, the openness of the economy, and high governance quality individually positively affect a country’s environmental performance.
For the statistical model of EPI, we apply factor analysis to GDPc, OMI, CC, PS, RQ, RL, VA, and GE, using principal component analysis as the extraction method and Varimax with Kaiser normalization as the rotation method. We first needed to examine the reliability of the method and the extracted factors. We performed the Kaiser-Meyer-Olkin measure of sampling adequacy, which, with a value of 0.909, shows that the analysis would provide reliable factors. In addition, the Bartlett’s test of sphericity, with a p-value less than 0.001, shows that factor analysis is the appropriate method. The rotation sums of squared loadings show how much of the total variability can be accounted for by each of the factors [37]. The first and second factor account for 58.63% and 31.50% of the variability of all factors, respectively (Table 4). Table 5 consists of the rotated component matrix, showing the loadings of the two factors’ variables.
Table 4.
Total variance explained.
Table 5.
Rotated component matrix.
Figure 5 shows the scatter diagram of the factor analysis. EPI is associated with the z-axis, and Factor 1 and Factor 2 with the x-axis and y-axis, respectively.
Figure 5.
Scatter diagram of EPI and the two extracted factors.
The model equation of EPI, which is denoted by y, with pc1 and pc2 denoting Factor 1 and Factor 2, respectively, is as follows:
y = 61.776 + 11.057pc1 + 7.983pc2.
The statistical model estimation of EPI, with an adjusted R2 of 0.783, suggests that a country’s environmental performance increases in line with economic development and institutional quality. Table 6 consists of the regression analysis results.
Table 6.
Results of the regression analysis.
Based on the presented results, it is suggested that high-income countries with open market economies and high governance quality achieve higher environmental performance. Firstly, good governance is observed to be positively associated with economic development. Vogel [38] shows that the rich countries’ good governance plays a critical role in their environmental quality, as does the poor countries’ environmental quality, through market mechanisms that transfer environmental requirements to the latter. This, in turn, increases openness to trade, resulting in higher environmental protection. This is also confirmed by the ICC [25], supporting that the liberalization of trade has been of great importance to the improvement of life quality worldwide and, in order for “‘greener’ economic activities and policies to be adopted,” it needs to be further liberalized. Secondly, statistical significance between EPI and the openness of the economy is observed. Damaria et al. [39] identify stricter environmental regulations in countries with open trade. They also identify the critical role that the government’s corruption plays in environmental quality. Higher governmental corruption is associated with weak environmental regulation, mainly in closed countries. On the contrary, governmental corruption in open economies is restricted by trade liberalism, where environmental norms and standards are transferred from honest governments and environmentally sensitive countries with democratic values.
4. Conclusions
This study analyzed the relationship between various variables that rise from institutional theory supporting environmental quality. In particular, in the classic debate of economic growth and environmental quality, several significant institutional variables (e.g., governance, efficiency, rule of law) and market characteristics, such as the openness of the economy and trade legalism, were introduced. This was done in a novel way by combining the selected macro-level market variables (GDPc & OMI), environmental (EPI) and governance (WGIs) indicators, in order to examine the effect of a country’s good governance and the openness of the economy on its environmental performance. Though economic development and good governance (mostly with the use of governance indicators) have been suggested to individually positively affect environmental performance, the relationship between the three had not been examined up to this point.
The results show that EPI positively correlates with GDPc and is directly proportional to OMI and each one of the WGIs. This indirectly provided a signal that a country's environmental performance increases in line with economic development and institutional quality. Several scholars have theoretically or empirically confirmed some of the findings of this paper or have provided good explanations that fill in some conceptually institutive connections of this paper's findings. What is useful to be stated is that the relationship of OMI and environmental quality could be explained by the fact that economic openness provides a fertile ground for transfers, not only for products, but for environmental institutional norms from institutional mature countries to more closed-economy countries as well [39]. Additionally, variables such as democracy and rule of law, which score higher in more developed countries with open economies, seem to play a critical role in environmental quality [40]. In high-income countries, there is a positive causality between rule of law and environmental quality. Greater democratic freedoms are connected with greater citizen rights, in addition to their freedom to express their opinions through democratic procedures, a fact that shows that those countries have stricter environmental regulations for economic agents [36].
This paper also contributes to institutional theory, showing that normative, cognitive, and regulative factors play a critical role in the openness of an economy, due to the fact that they drive economic actors to change their behavior to be more environmentally friendly, with greater economic benefits (win–win situation). In particular, institutional scholars have changed in order to broaden the bundle of institutional variables by introducing several political, social, and economic variables in order to explain the better environmental quality of high-income countries. It also contributes to the field of environmental economics, where computational correlations of economic and environmental parameters are explained only through an economic determinism. This proposal identifies that economic openness provides the essential conditions for “destructive creation” and the free movement of economic agents, as well as less state intervention and costs.
Finally, this paper could be of interest to policy makers as well, as it emphasizes the strong correlation between economic development—in combination with good governance—and environmental performance and, consequently, sustainable development. Overall, we argue that countries could turn to a more open economy and political system when introducing legislations and regulations, in order to achieve higher levels of environmental performance.
However, this study, like the majority of other studies, has limitations that might be good starting points for future research. Firstly, though the indices taken into account are reliable and the statistical analysis follows a standard procedure of combining the indices and estimating the empirical model of EPI, there could be one or more variables that affect environmental performance that have not been considered in this study. In addition, the fact that data are only available for one year restricts the generalization of the findings; thus, an extension of this study, when more data are available, is necessary in the future. A series of separate pairwise tests was performed in order to show this relationship of the economy with the environment. This might be valuable for future research, so as to identify an econometric model with many factors and to identify any other variables, apart from economic growth, openness, and institutional quality, that may affect environmental performance. However, the value of these findings is to provide a sign relating institutional theory and economic theory with the environmental field.
Though data used to estimate the model is limited to 73 countries, this is an important finding that needs to be further explored by including more countries and variables. When the ICC and YCELP provide more data on OMI and EPI, respectively, then panel data analysis could be applied for the estimation of a more complete statistical model in order to better explain the role of the economy and the political system in the environmental performance at a macroeconomic level.
Acknowledgments
This paper received funds for covering the costs to publish in open access by the Special Account for Research Funds, Democritus University of Thrace, Project number 81203: MSc in The Technologies of Environmental Legislation. We would also like to express our sincere gratitude to Matthias Bannert, KOF Swiss Economic Institute, for his advice on the statistical analysis.
Author Contributions
Amaryllis Mavragani, Ioannis E. Nikolaou, and Konstantinos P. Tsagarakis conceived and designed the research; Amaryllis Mavragani and Konstantinos P. Tsagarakis performed the research; Amaryllis Mavragani analyzed the data; Amaryllis Mavragani and Konstantinos P. Tsagarakis contributed analysis tools; Amaryllis Mavragani, Ioannis E. Nikolaou, and Konstantinos P. Tsagarakis wrote the paper.
Conflicts of Interest
The authors declare no conflict of interest.
Abbreviations
The following abbreviations are used in this manuscript:
- CC: Control of Corruption
- EPI: Environmental Performance Index
- GDPc: Gross Domestic Product per capita
- GE: Government Effectiveness
- ICC: International Chamber of Commerce
- OMI: Open Markets Index
- PS: Political Stability
- RL: Rule of Law
- RQ: Regulatory Quality
- VA: Voice and Accountability
- WGIs: Worldwide Governance Indicators
- YCELP: Yale Center for Environmental Law and Policy
References
- Ekins, P. ‘Limits to growth’ and ‘sustainable development’: Grappling with ecological realities. Ecol. Econ. 1993, 8, 269–288. [Google Scholar] [CrossRef]
- Illge, L.; Schawarze, R. A matter of opinion—How ecological and neoclassical environmental economics and think about sustainability and economics. Ecol. Econ. 2009, 68, 594–604. [Google Scholar] [CrossRef]
- Arrow, K.; Bolin, B.; Constanza, R.; Dasgupta, P.; Folke, C.; Halling, C.S.; Jansson, B.O.; Levin, S.; Maler, K.G.; Perring, C.; et al. Economic growth, carrying capacity, and the environment. Science 1995, 268, 520–521. [Google Scholar] [CrossRef] [PubMed]
- Cole, M.A. Limits to growth, sustainable development and environmental Kuznets curves: And examination of the environmental impact of economic development. Sustain. Dev. 1999, 7, 87–97. [Google Scholar] [CrossRef]
- United Nations World Commission on Environment and Development (WCED). Our Common Future; Oxford University Press: Oxford, UK, 1987. [Google Scholar]
- Dergiades, T.; Kaufmann, R.K.; Panagiotidis, T. Long-run changes in radiative forcing and surface temperature: The effect of human activity over the last five centuries. J. Environ. Econ. Manag. 2016, 76, 67–85. [Google Scholar] [CrossRef]
- Vehmas, J.; Luukkanen, J.; Kaivo-oja, J. Linking analyses and environmental Kuznets curves for aggregated material flows in the EU. J. Clean. Prod. 2007, 15, 1662–1673. [Google Scholar] [CrossRef]
- Chen, C.C.; Chen, Y.T. Income effect or policy result: A test of the environmental Kuznets Curve. J. Clean. Prod. 2008, 16, 59–65. [Google Scholar] [CrossRef]
- Stern, D.I. The rise and fall of the environmental Kuznet curve. World Dev. 2004, 32, 1419–1439. [Google Scholar] [CrossRef]
- Platteau, J.P. Behind the market stage where real societies exist—Part I: The role of public and private order institutions. J. Dev. Stud. 1994, 30, 533–577. [Google Scholar] [CrossRef]
- Tietenberg, T.H. Economic instruments for environmental regulation. Oxf. Rev. Econ. Policy 1990, 6, 17–33. [Google Scholar] [CrossRef]
- Scott, W.R. Organizations: Rational, National and Open Systems; Prentice Hall: Upper Saddle River, NJ, USA, 1992. [Google Scholar]
- DiMagio, P.J.; Powell, W.W. The iron core cage revisited: Isntitutional isomophism and collective rationality in organizational fields. Am. Sociol. Rev. 1983, 48, 147–160. [Google Scholar] [CrossRef]
- Verbeke, T.; de Clercqa, M. The income-environment relationship: Evidence from a binary response model. Ecol. Econ. 2006, 59, 419–428. [Google Scholar] [CrossRef]
- Mukherjee, S.; Chakraborty, D. Is environmental sustainability influenced by socioeconomic and sociopolitical factors? Cross-country empirical evidence. Sustain. Dev. 2013, 21, 353–371. [Google Scholar] [CrossRef]
- Fihlo, W.L.; Platje, J.; Gerstlberger, W.; Viergis, R.; Kaaria, J.; Klavins, M.; Kliucininkas, L. The role of governance in realising the transition towards sustainable societies. J. Clean. Prod. 2016, 113, 755–766. [Google Scholar]
- Chakraborty, D.; Mukherjee, S. How do trade and investement flows affect environmental sustainability? Evidence from panel data. Environ. Dev. 2013, 6, 34–47. [Google Scholar] [CrossRef]
- Bernauer, T.; Koubi, V. Effects of political institutions on air quality. Ecol. Econ. 2009, 68, 1355–1365. [Google Scholar] [CrossRef]
- Dima, B.; Dima, S.M.; Lobont, O.R. New empirical evidence of the linkages between governance and economic output in the European Union. J. Econ. Policy Reform 2014, 16, 68–89. [Google Scholar] [CrossRef]
- Governance Matters 2009: Learning From Over a Decade of the Worldwide Governance Indicators. Available online: http://www.brookings.edu/research/opinions/2009/06/29-governance-indicators-kaufmann (accessed on 15 October 2014).
- Chira, I. The impact of governance characteristics on the stock price of cross listed companies. J. Econ. Financ. 2014, 38, 53–70. [Google Scholar] [CrossRef]
- Prochniak, M. To what extent is the institutional environment responsible for worldwide differences in economic development. Contemp. Econ. 2013, 7, 17–38. [Google Scholar] [CrossRef]
- Friedman, M. Capitalism and Freedom; University of Chicago Press: Chicago, IL, USA, 1962. [Google Scholar]
- Hayek, F.A. The Constitution of Liberty; University of Chicago Press: Chicago, IL, USA, 1960. [Google Scholar]
- International Chamber of Commerce. Open Markets Index, 2nd ed.; International Chamber of Commerce: Paris, France, 2013. [Google Scholar]
- Measuring Progress: A Practical Guide from the Developers of the Environmental Performance Index (EPI). Available online: http://epi.yale.edu/sites/default/files/ycelp_measuring_progress_manual.pdf (accessed on 10 August 2014).
- Hsu, A.; Lloyd, A.; Emerson, J.W. What progress have we made since Rio? Results from the 2012 Environmental Performance Index (EPI) and Pilot Trend EPI. Environ. Sci. Policy 2013, 33, 171–185. [Google Scholar]
- Srebotnjak, T. The role of environmental statisticians in environmental policy: The case of performance measurement. Environ. Sci. Policy 2007, 5, 405–418. [Google Scholar] [CrossRef]
- Gallego-Álvarez, I.; Vicente-Galindo, P.; Rodríguez-Rosa, M. Environmental performance in countries worldwide: Determinant factors and multivariate analysis. Sustainability 2014, 6, 7807–7832. [Google Scholar] [CrossRef]
- Arndt, C. The politics of governance ratings. Int. Public Manag. J. 2008, 11, 275–297. [Google Scholar] [CrossRef]
- Dinda, S. Environmental Kuznets curve hypothesis: A survey. Ecol. Econ. 2004, 49, 431–455. [Google Scholar] [CrossRef]
- Grossman, G.M.; Krueger, A.B. Economic growth and the environment. Q. J. Econ. 1995, 110, 353–377. [Google Scholar] [CrossRef]
- Chortareas, G.; Magkonis, G.; Moschos, D.; Panagiotidis, T. Financial development and economic activity in advanced and developing open economies: Evidence from panel cointegration. Rev. Dev. Econ. 2015, 19, 163–177. [Google Scholar] [CrossRef]
- Tamazian, A.; Shoosa, J.P.; Vandlannati, C. Does higher economic and financial development lead to environmental degradation: Evidence from BRIC countries. Energ. Policy 2009, 37, 246–253. [Google Scholar] [CrossRef]
- Frankel, J.A.; Rose, A.K. Is trade good or bad for the environment? Sorting out the causality. Rev. Econ. Stat. 2008, 110, 353–377. [Google Scholar]
- Frazin, Y.H.; Bond, C.A. Democracy and environmental quality. J. Dev. Econ. 2006, 81, 213–235. [Google Scholar] [CrossRef]
- Yong, A.G.; Pearce, S.A. Beginner’s guide to factor analysis: Focusing on exploratory factor analysis. Tutor. Quant. Methods Psychol. 2013, 9, 79–94. [Google Scholar]
- Vogel, D. Trading up and governing across: Transnational governance and environmental protection. J. Eur. Public Policy 1997, 4, 556–571. [Google Scholar] [CrossRef]
- Damania, R.; Fredrikssson, P.G.; List, J.A. Trade liberalization, corruption, and environmental policy formation: Theory and evidence. J. Environ. Econ. Manag. 2003, 46, 49–512. [Google Scholar] [CrossRef]
- Castiglione, D.; Infante, D.; Smirnova, J. Environment and economic growth: Is the rule of law the go-between? The case of high-income countries. Energ. Sustain. Soc. 2014, 5, 1–7. [Google Scholar] [CrossRef]
© 2016 by the authors; licensee MDPI, Basel, Switzerland. This article is an open access article distributed under the terms and conditions of the Creative Commons Attribution (CC-BY) license (http://creativecommons.org/licenses/by/4.0/).





